文章信息
- 张衡, 赵科伕, 何睿欣, 赵德胜, 谢明玉, 王舒思, 白丽君, 程强, 张言武, 苏虹.
- Zhang Heng, Zhao Kefu, He Ruixin, Zhao Desheng, Xie Mingyu, Wang Shusi, Bai Lijun, Cheng Qiang, Zhang Yanwu, Su Hong.
- 温湿指数对合肥市细菌性痢疾影响的时间序列研究
- Influence of humidex on incidence of bacillary dysentery in Hefei:a time-series study
- 中华流行病学杂志, 2017, 38(11): 1523-1527
- Chinese Journal of Epidemiology, 2017, 38(11): 1523-1527
- http://dx.doi.org/10.3760/cma.j.issn.0254-6450.2017.11.017
-
文章历史
收稿日期: 2017-05-07
2. 230061 合肥市疾病预防控制中心应急办;
3. 610041 成都, 四川大学华西临床医学院
2. Office of Emergency Management, Hefei Center for Disease Control and Prevention, Hefei 230061, China;
3. West China School of Medicine, Sichuan University, Chengdu 610041, China
细菌性痢疾发病存在明显的季节性,一般在夏秋季高发[1]。当前,虽已有研究表明温度和相对湿度与细菌性痢疾的发病存在关联,但这些研究往往是在分析模型中控制温度或者相对湿度的影响,探讨另一个气象因素与疾病之间的关系[2-3]。在不同的湿度条件下,人体对同一环境温度会产生完全不同的体感温度[4]。因此,有必要开展相关研究探讨温度和相对湿度共同作用下,人群发生细菌性痢疾的风险。加拿大气象局将温度和相对湿度相结合制定出一个综合指标,称为温湿指数(Humidex,https://en.wikipedia.org/wiki/Humidex),用来反映人体对外界环境温度的感觉。有研究发现,温湿指数增加会导致手足口病的发病风险增加,且其效应受到年龄、居住地等个体特征的影响[5]。本研究收集2006-2013年合肥市每日细菌性痢疾发病数和同期的每日气象数据,利用分布滞后非线性模型(distributed lag non-linear model,DLNM)分析温度与湿度的联合作用(即温湿指数)对细菌性痢疾发病的影响及其滞后效应,为本地区开展细菌性痢疾的防控和早期预警提供科学依据。
资料与方法 (1) 疾病资料2006年1月1日至2013年12月31日每日细菌性痢疾发病资料来自“中国疾病预防控制信息系统”合肥市疫情监测,选取每年高发月份(5-10月)作为研究时间段。收集信息包括发病日期、性别、年龄和居住住址等。为分析脆弱人群,根据资料对患者进行亚组划分:①未成年人(≤18岁)、成年人(19~64岁)和老年人(>64岁);②男性和女性;③城区(包括蜀山区、庐阳区、瑶海区、包河区)和农村(包括肥东县、肥西县、长丰县、巢湖市、庐江县)。
(2) 气象资料来自合肥市气象局同期的每日监测数据,包括平均温度、相对湿度、气压、日照时数、风速和降雨量等。参考加拿大温湿指数计算方法(http://www.csgnetwork.com/),计算出每日温湿指数。
(3) 统计学分析采用Spearman等级相关分析温湿指数和各气象因素之间的相关性。为避免变量间共线性的影响,强相关(rs>0.7)[6]的气象因素不能同时纳入分布滞后非线性模型;由于温湿指数是结合温度和相对湿度计算所得,温度和相对湿度亦不纳入模型中。考虑气象因素对疾病的影响常呈非线性且存在滞后效应;同时,以合肥市人口为基数,细菌性痢疾发病被认为是小概率事件,其分布近似Poisson分布。采用Poisson广义线性回归结合DLNM模型评价温湿指数与细菌性痢疾发病之间的关系,控制季节性和长期趋势、星期几效应(day of week,DOW)等,公式:
式中,t指观察日期,Yt指t时间内的细菌性痢疾总发病数;α指模型的截距,Humidext,l是应用DLNM中的交叉基函数获得的关于温湿指数的二维矩阵,β是该矩阵的系数;ns(Weather confounders,4)指使用自由度等于4的自然立方样条函数控制其他气象因素(风速、日照时数、降雨量)的影响,ns(Timet,4)指使用自由度等于4的自然立方样条函数控制长期趋势;DOWt和Holidayt为分类变量,分别用于控制星期几效应和节假日效应,η和ν是它们的系数。
模型设定最大滞后天数为7,因为滞后7 d,温湿指数的效应可以忽略,且根据赤池信息准则(Akaike information criterion,AIC)判断,此时的AIC值相对较小。敏感性分析中,通过调整风速、日照时数、降雨量,以及季节性和长期趋势的自由度,比较结果的变化,同时分析最终模型残差的时间分布图,以判断模型拟合结果的稳定性。
应用R(3.1.1)软件中的“splines”和“dlnm”软件包进行数据的统计学分析。采用双侧统计学检验,检验水准α=0.05。
结果 (1) 基本情况2006-2013年每年的5-10月合肥市共报告细菌性痢疾14 333例,其中男性7 958例,女性6 375例(男女比例为1.25 : 1),城市居民9 705例,农村居民4 628例(城市与农村比例为2.10 : 1),温湿指数、平均温度、相对湿度、降雨量、风速、日照时间日均值分别为32.6、24.7 ℃、76.5%、3.7 mm、2.2 m/s、5.5 h。温湿指数和细菌性痢疾的时间分布图显示两者的分布趋势及对应的高峰时段较为一致,提示温湿指数与细菌性菌痢存在关联,见图 1。
|
| 图 1 2006-2013年合肥市细菌性痢疾发病人数与温湿指数的时间序列 |
温湿指数与降雨量、日照时间和风速呈正相关,rs分别为0.120、0.191、0.104,由于其相关性均较小,故纳入DLNM模型进行调整。温湿指数与气压呈高度负相关(rs=-0.796),考虑共线性问题,气压未被纳入DLNM模型进行控制。
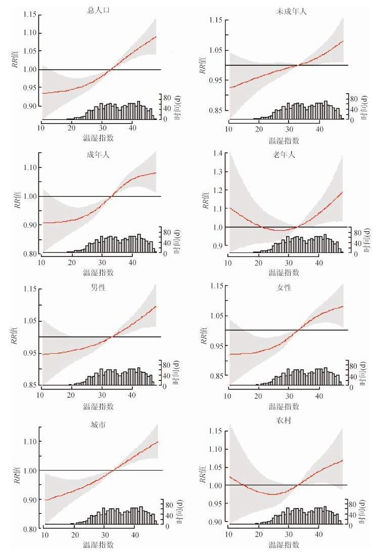
(3) 温湿指数对细菌性痢疾发病的影响随着温湿指数增大,发生细菌性痢疾的风险不断增加(图 2)。表 1分析高温湿指数(P90)在不同滞后时间对细菌性菌痢发病的影响,结果显示,高温湿指数在滞后2 d开始产生危害效应,并持续至滞后5 d,其中在滞后4 d时效应最大。同时,亚组分析发现,在滞后2~5 d,高温湿指数对各亚组人群均存在危害效应,且各亚组效应值之间的差异提示个体特征因素可能对其危害效应存在一定的修饰作用。为进一步明确温湿指数变化与细菌性痢疾发病之间的暴露反应关系,图 3分析滞后4 d温湿指数对不同特征人群细菌性痢疾发病的影响,结果显示,在滞后4 d温湿指数变化对各亚组人群细菌性痢疾发病均存在危害效应。
|
| 图 2 温湿指数对合肥市总人群细菌性痢疾发病影响的剂量反应关系 |
|
| 图 3 滞后4 d温湿指数变化对不同特征人群细菌性痢疾发病的影响 |
为检验模型模拟结果的稳定性,通过改变控制长期趋势的自由度(df=3~5)和降雨量、日照时间、风速的自由度(df=3~5),结果显示,拟合的结果变化较小,模型残差在时间上呈随机分布,且残差服从正态分布。
讨论传染病的流行过程受自然因素和社会因素的影响,而气象因素作为重要的自然因素对传染病的影响不容忽视。有研究发现,温度升高会增加细菌性痢疾的发病风险[7-8],但这些研究中均控制了湿度。然而,在高湿条件下,机体的散热受阻,会导致机体的体感温度比环境温度要高[5]。基于此,近年来温湿指数作为反映温度和湿度共同作用的指标逐渐被用来分析不同气象条件对人体健康的影响。Zhang等[9]在广州市开展的研究发现高温湿指数能增加手足口病的发病风险。合肥市属于亚热带季风性湿润气候,暖季时高温高湿气候明显,虽然年均最高气温只有34.4 ℃,但是温湿指数却可高达48。结合合肥地区细菌性痢疾的发病较为严重[10],因此,有必要探索合肥地区温湿指数对细菌性痢疾发病的影响。
本研究结果显示,2006-2013年合肥市细菌性痢疾发病集中在5-10月,7、8月达到高峰,存在明显的季节分布差异,与其他地区的研究结果相似[11]。同时,细菌性痢疾发病的分布趋势与温湿指数的分布基本一致,提示细菌性痢疾发病可能受到温湿指数的影响。采用时间序列分析发现,随着温湿指数增大,发生细菌性痢疾的风险增加。虽然以往未有研究报道温湿指数与细菌性痢疾的关系,但有研究结果显示,细菌性痢疾发病与平均气温、相对湿度均存在显著正相关[12-13]。可能是因为高温高湿条件下,食物比较容易变质,有利于痢疾杆菌的存活和繁殖。同时人们的行为生活方式也会发生较大变化,如饮用生水、生吃瓜果和吃凉拌菜等增加了接触病菌的机会。滞后效应分析结果显示,高温湿指数对细菌性痢疾发病的危害效应在滞后2 d产生,在第4天达到最大,到第6天没有意义。这与董继元等[14]研究发现气温在暴露当天产生效应有所区别,但两个研究发现效应达到峰值的时间基本一致,分析可能原因是湿度对细菌性痢疾发病也存在影响[15],两个因素合成综合指标后,对疾病的效应会受到一定影响。进一步的亚组分析发现:在高温湿指数作用下,各亚组人群的细菌性痢疾发病均会受到影响,且个体特征因素可能对其效应有一定的修饰作用。推测可能原因是老年人年龄大体质差,抵抗力相对较弱;女性相对男性,抵抗力也较弱,两者较容易受到温湿指数变化的影响;而城市地区由于人口密度大,在痢疾杆菌大量繁殖时增加了其传播机会,导致城市居民相对农村居民可能更易受到影响。
细菌性痢疾遍及各地,如何有效降低其发病率一直是许多地区传染病防治工作的重点内容。本研究采用综合指标温湿指数结合分布滞后非线性模型探索了气象因素与细菌性痢疾发病之间的关系以及滞后效应,为将来充分利用气象数据评估的可操作性和可预见性等优势,提前进行疾病预警,完善本地区疾病的防控系统提供了科学的指导数据。但本研究中考虑了温度和相对湿度两个气象因素指标,一些其他的相关指标未考虑,将来的研究需要进一步的分析。
利益冲突: 无
| [1] | Xu ZW, Hu WB, Zhang YW, et al. Spatiotemporal pattern of bacillary dysentery in China from 1990 to 2009:what is the driver behind?[J]. PLoS One, 2014, 9(8): e104329. DOI:10.1371/journal.pone.0104329 |
| [2] | Ma WP, Sun XD, Song YY, et al. Applied mixed generalized additive model to assess the effect of temperature on the incidence of bacillary dysentery and its forecast[J]. PLoS One, 2013, 8(4): e62122. DOI:10.1371/journal.pone.0062122 |
| [3] | Li ZJ, Zhang XJ, Hou XX, et al. Nonlinear and threshold of the association between meteorological factors and bacillary dysentery in Beijing, China[J]. Epidemiol Infect, 2015, 143(16): 3510–3519. DOI:10.1017/S0950268815001156 |
| [4] | Smoyer-Tomic KE, Rainham DG. Beating the heat:development and evaluation of a Canadian hot weather health-response plan[J]. Environ Health Perspect, 2001, 109(12): 1241–1248. DOI:10.1289/ehp.011091241 |
| [5] | Zhang WJ, Du ZC, Zhang DM, et al. Assessing the impact of humidex on HFMD in Guangdong province and its variability across social-economic status and age groups[J]. Sci Rep, 2016, 6: 18965. DOI:10.1038/srep18965 |
| [6] | Khamutian R, Najafi F, Soltanian M, et al. The association between air pollution and weather conditions with increase in the number of admissions of asthmatic patients in emergency wards:a case study in Kermanshah[J]. Med J Islam Repub Iran, 2015, 29: 229. |
| [7] | Li ZJ, Wang LH, Sun WG, et al. Identifying high-risk areas of bacillary dysentery and associated meteorological factors in Wuhan, China[J]. Sci Rep, 2013, 3: 3239. DOI:10.1038/srep03239 |
| [8] | Cheng J, Xie MY, Zhao KF, et al. Impacts of ambient temperature on the burden of bacillary dysentery in urban and rural Hefei, China[J]. Epidemiol Infect, 2017, 145(8): 1567–1576. DOI:10.1017/S0950268817000280 |
| [9] | Zhang WJ, Du ZC, Zhang DM, et al. Quantifying the adverse effect of excessive heat on children:an elevated risk of hand, foot and mouth disease in hot days[J]. Sci Total Environ, 2016, 541: 194–199. DOI:10.1016/j.scitotenv.2015.09.089 |
| [10] |
吴家兵, 邱兴庆, 龚磊, 等.
安徽省2005-2011年细菌性痢疾流行状况和病原特征分析[J]. 中华疾病控制杂志, 2014, 18(8): 722–725.
Wu JB, Qiu XQ, Gong L, et al. Analysis on the epidemic and pathogenic character of bacillary dysentery in Anhui province from 2005 to 2011[J]. Chin J Dis Control Prev, 2014, 18(8): 722–725. |
| [11] |
陈伟, 刘颖, 陈正利, 等.
河南省2010年细菌性痢疾流行特征及其与气象因素相关性分析[J]. 现代预防医学, 2012, 29(22): 5818–5820.
Chen W, Liu Y, Chen ZL, et al. Analysis on relativity between epidemic characteristics of bacillary dysentery and Meteorological factors in Henan province in 2010[J]. Mod Prev Med, 2012, 29(22): 5818–5820. |
| [12] | Zhao Y, Zhu YX, Zhu ZW, et al. Association between meteorological factors and bacillary dysentery incidence in Chaoyang city, China:an ecological study[J]. BMJ Open, 2016, 6(12): e013376. DOI:10.1136/bmjopen-2016-013376 |
| [13] | Xu C, Li Y, Wang J, et al. Spatial-temporal detection of risk factors for bacillary dysentery in Beijing, Tianjin and Hebei, China[J]. BMC Public Health, 2017, 17(1): 743. DOI:10.1186/s12889-017-4762-1 |
| [14] |
董继元, 李世雄, 周骥, 等.
嘉峪关市气温对细菌性痢疾发病的滞后效应研究[J]. 气候变化研究进展, 2017, 13(2): 149–156.
Dong JY, Li SX, Zhou J, et al. Distributed lag effects in the relationship between daily mean temperature and the incidence of bacillary dysentery in Jiayuguan city, China[J]. Climate Change Res, 2017, 13(2): 149–156. DOI:10.12006/j.issn.1673-1719.2016.111 |
| [15] | Liu JN, Wu XX, Li CL, et al. Identification of weather variables sensitive to dysentery in disease-affected county of China[J]. Sci Total Environ, 2017, 575: 956–962. DOI:10.1016/j.scitotenv.2016.09.153 |
2017, Vol. 38


