b Key Laboratory of Integrated Regulation and Resource Development of Shallow Lakes, Ministry of Education, College of Environment, Hohai University, Nanjing 210098, China;
c Chengdu Environment Investment Group Co., Ltd., Chengdu 610095, China;
d School of Resources and Environment, Anqing Normal University, Anqing 246011, China
Approximately 40% of the world's population is confronting the complication of water scarcity [1], while approximately 98% of the earth's water is present in the form of seawater and brackish water. That is why acquiring freshwater from these unconventional water resources is immensely entailed [2]. Currently, many technologies have been developed for sea/brackish water desalination, which is classified as pressure-, electrochemical-, and thermal-driven desalination processes.
Reverse osmosis (RO) is the classical pressure-driven desalination process, successfully used for sea and brackish water treatment and resource recovery [3,4]. However, it has the disadvantages of high energy consumption, significant infrastructure investment, susceptibility to scaling and extremely sensitive to temperature, which is easily overlooked [5,6]. A previous study claimed that RO permeate was reduced by 3% when the feedwater temperature declined by 1 ℃ [7]. Thus, the feedwater temperature is a significant parameters owing to the unavoidable seasonal temperature variability of sea/brackish water (in the range of 15 ℃ to 40 ℃) [8].
Capacitive deionization (CDI) is a rapidly advancing electrochemical-based desalination technology that employs porous carbon electrodes. During the charging phase, these electrodes adsorb ions from the feedwater. Subsequently, during the discharging phase, the ions are released, which regenerates the electrodes [9,10]. In the development of CDI, membrane CDI (MCDI) is regarded as the most popular one and closest to commercialization [11,12]. In MCDI system, ion exchange membranes (IEMs) with high internal charge density are employed to prevent co-ions (ions with similar charge) but allow counter-ions (ions with opposite charge) to pass through the IEMs under the drive of electric field [13]. The presence of IEMs mitigates the undesired Faradaic reactions (e.g., oxygen reduction) by preventing migration of dissolved oxygen into cathode, therefore, enhancing the stability and performance of MCDI system [14].
To date, operating parameters (e.g., applied voltage/current, feed salt concentration, and hydraulic retention time) have been extensively explored to enhance the desalination performances [15,16]. However, sporadic studies have paid attention to the influences of temperature on CDI performances. Huang et al. [17] conducted a preliminary experiment, which revealed that the adsorption capacity of the CDI showed a slightly decline when increasing the feedwater temperature. However, the underlying mechanism of this phenomenon is still unclear. Previous studies have suggested that higher temperature provided ions greater kinetic energy, which improved the tendency of ions escaping from the electrodes, and therefore, decreasing the adsorption capacity [18,19]. In addition, the impacts of feedwater temperature fluctuation on MCDI desalination performance is still unclear and requires further investigation. It should be noticed that temperature will also influence the Faradaic reactions in the cell, thus, influencing the stability of the whole MCDI system. While previous studies claimed that RO is significantly more energy efficient than CDI for brackish water desalination in routine conditions, it is necessary to have more comprehensive comparisons between these two technologies at various temperatures.
The primary purpose of this study is to thoroughly explore the effects of feedwater temperature fluctuations on MCDI performance. We investigated the productivity, salt removal efficiency, and energy consumption, and current efficiency of MCDI when changing the feedwater temperatures (i.e., from 15 ℃ to 40 ℃). In addition, the impacts of feedwater temperature on Faradaic reactions are also discussed in current study. Finally, comprehensive comparisons between these MCDI and RO, the most prevalent desalination technology, at various temperatures are conducted.
Milli-Q water (18.2 MΩ cm) and analytically graded drugs was used in this study. Specific information on synthetic feed, electrode preparation, MCDI structural (Fig. S1 in Supporting information), calculation, and analysis were included in the supporting information. The experimental setup for MCDI cell and RO system shown in Fig. 1.
|
Download:
|
| Fig. 1. Schematic diagram of the (a) MCDI cell and (b) RO system. | |
The effects of voltages applied to the MCDI device on the salt removal efficiency, feedwater conductivity, specific energy consumption, and current efficiency were shown in Fig. 2 and Fig. S2 (Supporting information). When the applied voltage increased (i.e., 0.3–1.2 V), the salt removal efficiency increased sharply (i.e., 16.1%−93.7%) but slowly increased to 97.4% when the applied voltage further increased to 1.5 V (Fig. S2) primarily attributed to the possibility of water electrolysis [20]. The specific energy consumption increased (i.e., 0.04 to 0.93 kWh/m3) when the applied voltage increased (i.e., 0.3–1.5 V) (Fig. 2b). Additionally, the current efficiency initially increased to 95.8% at 0.9 V but later decreased to 80.7% at 1.5 V. It is reasonable to surmise that faradic reaction been induced and side effects like water electrolysis which is undesirable happened in cell, as a result, the current efficiency showed a declining trend. Considering the salt removal efficiency and specific energy consumption, we finally chose 1.2 V as the operating voltage for further study.
|
Download:
|
| Fig. 2. Variation of (a) feedwater conductivity and (b) specific energy consumption and current efficiency in MCDI with voltages changed. (c) Salt removal efficiency and (d) specific energy consumption and current efficiency for different flow rates. | |
The effects of feedwater flow rate on MCDI performances are illustrated in Fig. 2 and Fig. S3 (Supporting information). As shown in Fig. 2c, the salt removal efficiency increased slightly from 90.0% to 96.1%, when the feedwater flow rate increased from 3.6 mL/min to 24.6 mL/min. However, when the feedwater flow rate was further increased (i.e., 44.6 mL/min), the salt removal efficiency decreased to 89.5%. The slow flow results in a reduced mass transfer rate, as the ions have less opportunity to reach the electrode surfaces for adsorption. Excessively low flow rates can also lead to a decrease in the average concentration of ions within the MCDI cell, reducing the driving force for ion transport towards the electrodes and consequently lowering the salt removal efficiency [21]. The increase in flow rate decreases the thickness of the diffusion layer near the IEM, thus reducing the concentration polarisation at the IEM surface. On the contrary, a faster flow rate provides a high pumping force that limits the transfer rate of ions in feedwater [10]. Therefore, the salt removal efficiency does not increase but rather decreases when the feedwater flow rate exceeds 24.6 mL/min.
As the flow rate increases from 3.6 mL/min to 30.6 mL/min, the specific energy consumption increases from 0.65 kWh/m3 to 0.75 kWh/m3. The specific energy consumption increased when the flow rate increased to 30.6 mL/min but then remained consistent even though the feedwater flow rate increased (Fig. 2d). Additionally, the current efficiency showed a declining trend (i.e., 89.5% to 74.1%) when the feedwater flow rate increased from 3.6 mL/min to 44.6 mL/min. The difference in energy consumption between each feedwater flow rate was due to the alleviation of current while increasing feedwater flow rates, which might be associated with dissimilar ion concentration characterizations of the bulk solution in the MCDI device. Previous study suggest that nonlinear ion concentration polarization reduces exponential current due to electrosorption overpowering ion flux, causing ion depletion and current drop near the electrode [22]. Additionally, a higher feedwater flow rate resulted in less ion concentration polarization. The low feedwater flow rate causes a lower ohmic drop that governs less energy loss in the internal resistance [23]. However, the total coulomb increased as the feedwater flow rate increased. The extremely fast feedwater flow rate creates difficulty for ions to be absorbed by electrodes, which might cause less applied Coulomb force in electrosorption. Therefore, the specific energy consumption increased with the feedwater flow rate increasing. The current efficiency slightly increased at first, and the total coulomb increased more significantly with the feedwater flow rates.
In summary, the optimal feedwater flow rate in this study for better performance of MCDI ranged from 18.6 mL/min to 30.6 mL/min. We finally selected 18.6 mL/min as the feedwater flow rate in the subsequent experiment.
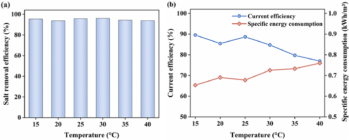
The MCDI operational procedure operated in batch mode based on variation of solution feedwater temperatures was tested with charging/discharging voltages to analyze the MCDI desalination performance. We noticed an interesting observation that the salt removal efficiency of the MCDI remains at approximately 92% throughout the variation of temperatures from 15 ℃ to 40 ℃. Surprisingly, the specific energy consumption slightly increased (i.e., 0.65–0.76 kWh/m3), and the current efficiency decreased 14% with variation in solution feedwater temperatures in MCDI operation, as shown in Fig. 3. Furthermore, Fig. S4 (Supporting information) illustrates that the temporal variation in conductivity is roughly the same, which indicates the stable performance of MCDI under various temperatures.
|
Download:
|
| Fig. 3. Variation of the (a) salt removal efficiency, (b) specific energy consumption and current efficiency in MCDI when feedwater temperatures changed from 15 ℃ to 40 ℃. | |
Surprisingly, the above-mentioned results are different when compared to the conventional CDI system, which showed sensitivity to variations in temperature. A previous published study by Huang and Tang reported that the adsorption capacity decreased 35.3% as the temperature increased from 15 ℃ to 45 ℃ [17]. Additionally, the salt removal efficiency decreased due to the increment of temperature from 8 ℃ to 22 ℃ [24]. The effects of temperature on these phenomena might be explained by the following reasons. First, the electrostatic attraction force between the electrodes and ions was insufficient to hold them tightly because the ion motion rate accelerated due to the increase in temperature. This phenomenon could be further elaborated by the diffusion coefficient (DAB) in the Stokes-Einstein equation (Eq. S5 in Supporting information), which states that as the temperature of the solution increases, the kinetic viscosity considerably decreases, resulting in an increase in the diffusion coefficient factor and subsequently an increase in the ion diffusion flow rate. Second, a hydrophilic to hydrophobic transition might occur on the electrodes, which weakens the electronic affinity among the interfacial hydrated ions and active groups on the electrodes. Li et al. investigated a high salt removal efficiency at low temperature due to the hydrophobic to hydrophilic transition on the surface of electrode films [24]. The physical structure of the isotherm of single-walled nanotubes revealed a convex structure at 8.0 ℃ and a concave structure at 22.0 ℃, which represented hydrophilic and hydrophilic surfaces, respectively, also explaining why the structure of interfacial water changed with variation in temperature, which led to a decrease in the electronic affinity of active groups on the electrode surfaces with ions [25].
On the other hand, with IEMs installed in the CDI system, an increase in the effective pore size of the IEM (i.e., 0.58 ± 0.03 to 0.66 ± 0.01 nm) was observed when the temperature was increased (i.e., 22–50 ℃) due to the enhanced activity of the polymer chains [26-28]. Additionally, the higher temperatures reduce the radius of hydrated ions [28]. Salt ions can easily pass through the IEM at elevated temperatures due to the expansion of the membrane pore size and the decrease in the hydration radius of the ions. In a recent study, Zhang et al. discovered that the ion transmembrane current near the ion membrane in flow electrode capacitive deionization (FCDI) shows an increasing trend with the rise in temperature. The primary reason for this is attributed to the increase in electrolyte conductivity with temperature, which enhances the ion transmembrane current, leading to an increase in current density and facilitating the ion transfer process [29]. However, even at low temperatures, the provision of a sufficient electric field to drive the ions across the IEMs to be separated is at an acceptable level, albeit with some increased energy consumption. Therefore, an overall deduction is that the positive impact of temperature changes on the migration of ions through the IEMs counteracts the negative effects of temperature on ion adsorption at the electrodes, thereby enabling the MCDI system to maintain excellent desalination efficiency despite temperature fluctuations. From current efficiency equation (Eq. S4 in Supporting information), the feedwater solution with high temperature results in lower resistance and higher current efficiency at time t under the same voltage. On the other hand, from specific energy consumption equation (Eq. S3 in Supporting information), the feedwater solution with higher temperatures results in higher total energy consumption due to the high current, which leads to better specific energy consumption.
The pH variation of feedwater caused by various temperatures is shown in Fig. 4. The pH value of the feedwater in the MCDI operated under different temperatures decreased to around 4 during charging processes, but increased to the original value during the discharging processes. It should also be noticed that higher feedwater temperature induced a faster pH decline rate. The results are similar to the pH variation in CDI operated under the same conditions except that the initial rate of pH decline is fast in CDI and can be explained by Faradaic reactions, which are the main cause of pH change compared with non-Faradaic reactions [30]. Faradaic reactions are commonly known as anodic oxidation reactions generating H+ (Eqs. 1-3) and cathodic reduction reactions consuming H+ (Eqs. 4-6) [31]. At the applied voltage we used, the anode Faradaic reactions containing water hydrolysis (Eq. 4) and anode carbon oxidation (Eq. 5) are the major reactions that occur in the MCDI cell. After H+ was generated in the anode chamber, it passed the anion exchange membrane (AEM) and moved to the spacer, causing the pH value of the feedwater to decrease. It is worth noting that the movement could be influenced by electrostatic repulsion effects, resulting in a slower pH decrease compared to that in CDI cells [32].
| $ \begin{aligned} 1 / 2 \mathrm{O}_2+\mathrm{e}^{-}+\mathrm{H}^{+} \rightarrow 1 / 2 \mathrm{H}_2 \mathrm{O}_2, E^0=0.69 \mathrm{~V} / \mathrm{SHE} \end{aligned} $ | (1) |
| $ \begin{aligned} 1 / 2 \mathrm{H}_2 \mathrm{O}_2+\mathrm{e}^{-}+\mathrm{H}^{+} \rightarrow \mathrm{H}_2 \mathrm{O}, E^0=1.78 \mathrm{~V} / \mathrm{SHE} \end{aligned} $ | (2) |
| $ \begin{aligned} \mathrm{H}^{+}+\mathrm{e}^{-} \rightarrow 1 / 2 \mathrm{H}_2, E^0=0 \mathrm{~V} / \mathrm{SHE} \end{aligned} $ | (3) |
| $ 1 / 2 \mathrm{H}_2 \mathrm{O}_2 \rightarrow 1 / 4 \mathrm{O}_2+\mathrm{H}^{+}+\mathrm{e}^{-}, E^0=1.23 \mathrm{~V} / \mathrm{SHE} $ | (4) |
| $ 1 / 4 \mathrm{C}+1 / 2 \mathrm{H}_2 \mathrm{O} \rightarrow 1 / 4 \mathrm{CO}_2+\mathrm{H}^{+}+\mathrm{e}^{-}, E^0=0.7-0.9 \mathrm{~V} / \mathrm{SHE} $ | (5) |
| $ 1 / 2 \mathrm{H}_2 \mathrm{O}_2 \rightarrow 1 / 2 \mathrm{O}_2+\mathrm{H}^{+}+\mathrm{e}^{-}, E^0=0.69 \mathrm{~V} / \mathrm{SHE} $ | (6) |
|
Download:
|
| Fig. 4. The variations in feedwater pH under different temperatures. | |
Eq. 7 shows the standard electrode potential (E0) under different temperatures.
| ${{E}^{0}}T={{E}^{0}}_{298}^{{}}+(T-298.15)\times \quad {{\left( d{{E}^{0}}/dT \right)}_{298}} $ | (7) |
where E0T is the standard electrode potential under temperature T and
As the temperature coefficient is a negative constant for the reactions we focused on, E0T is inversely proportional to temperature [33]. This means that when the feedwater temperature increases, the E0T of the reactions decreases (Eq. 7). Therefore, with increasing temperature, Faradaic anodic reactions (Eqs. 4 and 5) can occur much more easily under a constant applied voltage and generate more H+, causing the pH to decrease faster.
On the other hand, Yu et al. [34] analyzed the higher Li+ recovery capacity in an LMO/NiHCF cell at higher temperatures from a kinetic aspect and illustrated that with increasing temperature from 20 ℃ to 60 ℃, the ion transfer resistance in source solutions declined, and the reaction constant of lithium embedded in LMO and the diffusion coefficient of lithium increased, resulting in lower overvoltage and higher discharge voltage [35]. Therefore, we can reasonably speculate that the increase in temperature may decrease the charge transfer resistance and improve H+ diffusion in the feedwater, leading to a higher electron transfer and hydrogen ion diffusion rate, which can promote anodic Faradaic reactions (Eqs. 4 and 5). As a result, feedwater pH fluctuations become severe with the increase of temperature.
We further compared the performance of the RO system operating at different temperatures (15, 20, 25, and 30 ℃). As shown in Fig. 5, salt rejection efficiency increased slightly from 89.5% to 94.2% with rising temperature (Fig. 5a), indicating a minimal impact of feedwater temperature on salt rejection. However, we observed a significant impact of feedwater temperature on the RO productivity. At 15 ℃, the productivity was 33.68 L m‒2 h‒1, but it rose to 52.33 L m‒2 h‒1 when the temperature was elevated to 30 ℃, representing a 35.6% increase (Fig. 5b). Consequently, the energy consumption of the RO system will significantly increase when processing feedwater at lower temperatures due to the substantial decrease in productivity. The details are displayed in Table S1 (Supporting information).
|
Download:
|
| Fig. 5. Variation in the (a) salt removal efficiency and (b) water productivity in RO when the feedwater temperature changed from 15 ℃ to 30 ℃. | |
According to a previous study, the water productivity decreased 3% when the temperature decreased per 1 ℃ [7]. However, the salt removal efficiency increased with increasing temperature due to the solute diffusivity and decrease of the degree of concentration polarization (CP) [36]. The dynamic viscosity was increased and the solubility of sodium chloride was declined by the alleviation of temperature [37]. Additionally, the viscosity of the feedwater solution increased, which contributed to the velocity of water molecules decreasing while passing through the membrane [38].
The experimental findings demonstrate that under low-temperature conditions, MCDI can sustain the quality and stability of water flux with reduced energy expenditure, whereas RO systems exhibit diminished water productivity at lower temperatures, necessitating increased energy input to maintain equivalent water output. The underlying mechanisms for these performance disparities are as follows: The separation performance of RO membranes is correlated with the physical properties of water; at low temperatures, increased viscosity and diminished diffusive capabilities slow the transmembrane velocity of water molecules. In contrast, MCDI drives ion migration to the electrode surface through electrostatic forces, with its performance being primarily influenced by voltage and flow rate, and exhibiting insensitivity to temperature variations. Therefore, MCDI has greater application potential in low-temperature environments.
To further investigate the long-term performance and stability of the MCDI system at various temperatures, 10 cycle tests were carried out at 15 ℃ and 30 ℃, respectively. Table S2 (Supporting information) shows the desalination efficiency of the MCDI cell in the first cycle and in the 10th cycle. After 10 cycles, the desalination performance at 15 ℃ and 30 ℃ decreased slightly. This was attributed to the increase of in oxygen functional groups and the loss of carbon from the anodes (Fig. S5 in Supporting information). Similarly, the desalination efficiency remained at around 91% after 10 cycles at 15 ℃ and 30 ℃. Combined with the results of Table S3 (Supporting information), the O/C of the electrode at different temperatures was essentially similar, indicating the long-term performance of MCDI at different temperatures. By developing more stable electrode materials, the MCDI system is expected to expand its range of applications in various fields in the future.
In this study, the factors that influence the MCDI desalination performance, such as the applied voltages and feedwater flow rates, were first investigated to determine the optimum conditions for further study. Then, various solution feedwater temperatures (15, 20, 25, 30, 35, and 40 ℃) were surveyed with charging/discharging voltages (±1.2 V) at a flow rate of 18.6 mL/min to evaluate the MCDI desalination performance. Additionally, the performances of the RO system under various temperatures were also observed. The results revealed that MCDI is less sensitive to temperature fluctuation than RO. At lower temperature (below 20 ℃), MCDI showed better desalination performance compared to that of RO. The insensitivity of temperature makes MCDI more advantageous over the RO system when treating brackish water in areas with larger temperature fluctuations (e.g., Middle East countries) and cold regions (e.g., Northern Europe).
Declaration of competing interestThe authors have no known competing financial interests or personal relationships that could have appeared to influence the work reported in this paper.
CRediT authorship contribution statementChuanjian Cui: Writing – original draft, Supervision, Project administration, Methodology, Investigation, Formal analysis, Data curation, Conceptualization. Zhuang Liu: Methodology, Data curation. Shiyu Yang: Writing – review & editing, Investigation. Qiang Wei: Writing – review & editing, Supervision, Data curation. Jiahui Ding: Writing – review & editing. Ziyang Xu: Writing – review & editing. Changyong Zhang: Writing – review & editing, Supervision, Data curation, Conceptualization.
AcknowledgmentsThe study was supported by the National Natural Science Foundation of China (Nos. 52370090, 52300016), and China Postdoctoral Science Foundation (Nos. 2023M733379, 2024M753122).
Supplementary materialsSupplementary material associated with this article can be found, in the online version, at doi:10.1016/j.cclet.2025.111342.
| [1] |
F. Yu, H. Yin, X. Bai, et al., Chin. Chem. Lett. 34 (2023) 108362. DOI:10.1016/j.cclet.2023.108362 |
| [2] |
M. Elimelech, W.A. Phillip, Science 333 (2011) 712-717. DOI:10.1126/science.1200488 |
| [3] |
C. Chen, Y. Yang, N. Graham, et al., Water Res. 151 (2024) 120914. |
| [4] |
K. Yuan, Y. Liu, H. Feng, et al., Chin. Chem. Lett. 35 (2024) 109022. DOI:10.1016/j.cclet.2023.109022 |
| [5] |
Y. Xie, K. Yuan, B. Luo, et al., Chin. Chem. Lett. 36 (2025) 110433. DOI:10.1016/j.cclet.2024.110433 |
| [6] |
J. Swaminathan, E.W. Tow, R.L. Stover, et al., Desalination 470 (2019) 114097. DOI:10.1016/j.desal.2019.114097 |
| [7] |
S.A. Mohammed, A.D. Abbas, L.S. Sabry, J. Eng. 20 (2014) 61-70. |
| [8] |
C.P. Koutsou, E.M. Kritikos, A.J. Karabelas, et al., Desalination 476 (2020) 114213. DOI:10.1016/j.desal.2019.114213 |
| [9] |
K. Ramalingam, Q. Wei, G. Babu, et al., ACS Appl. Mater. Interfaces 14 (2022) 30907-30913. DOI:10.1021/acsami.2c07310 |
| [10] |
J. Zhou, X. Zhang, Y. Zhang, et al., Sep. Purif. Technol. 283 (2022) 120172. DOI:10.1016/j.seppur.2021.120172 |
| [11] |
L. Tang, Q. Wei, J. Yan, et al., J. Electrochem. Soc. 169 (2022) 013501. DOI:10.1149/1945-7111/ac47e9 |
| [12] |
Q. Wei, L. Tang, K. Ramalingam, et al., J. Mater. Chem. A 9 (2021) 22254-22261. DOI:10.1039/D1TA05350G |
| [13] |
M.E. Suss, S. Porada, X. Sun, et al., Energy Environ. Sci. 8 (2015) 2296-2319. DOI:10.1039/C5EE00519A |
| [14] |
H. Yoon, J. Lee, S. Kim, et al., Sep. Purif. Technol. 215 (2019) 190-207. DOI:10.1016/j.seppur.2018.12.071 |
| [15] |
Z. He, S. Liu, B. Lian, et al., Water Res. 204 (2021) 117646. DOI:10.1016/j.watres.2021.117646 |
| [16] |
W. Tang, D. He, C. Zhang, et al., Water Res. 121 (2017) 302-310. DOI:10.1016/j.watres.2017.05.046 |
| [17] |
K.Z. Huang, H.L. Tang, Environ. Technol. 41 (2020) 3456-3463. DOI:10.1080/09593330.2019.1611941 |
| [18] |
R. Zhao, O. Satpradit, H.H.M. Rijnaarts, et al., Water Res. 47 (2013) 1941-1952. DOI:10.1016/j.watres.2013.01.025 |
| [19] |
M. Mossad, W. Zhang, L. Zou, Desalination 308 (2013) 154-160. DOI:10.1016/j.desal.2012.05.021 |
| [20] |
H. He, Q. Xia, B. Wang, et al., Chin. Chem. Lett. 31 (2020) 984-987. DOI:10.1016/j.cclet.2019.08.025 |
| [21] |
S. Porada, L. Zhang, J. Dykstra, et al., Desalination 488 (2020) 114383. DOI:10.1016/j.desal.2020.114383 |
| [22] |
H. Lee, D. Kim, J.Y. Kang, et al., Desalination 458 (2019) 14-24. DOI:10.1016/j.desal.2019.01.032 |
| [23] |
R. Zhao, S. Porada, P.M. Biesheuvel, et al., Desalination 330 (2013) 35-41. DOI:10.1016/j.desal.2013.08.017 |
| [24] |
H. Li, L. Pan, Y. Zhang, et al., Chem. Phys. Lett. 485 (2010) 161-166. DOI:10.1016/j.cplett.2009.12.031 |
| [25] |
H.J. Wang, X.K. Xi, A. Kleinhammes, et al., Science 322 (2008) 80-83. DOI:10.1126/science.1162412 |
| [26] |
N. Ben Amar, H. Saidani, A. Deratani, et al., Langmuir 23 (2007) 2937-2952. DOI:10.1021/la060268p |
| [27] |
Y. Roy, D.M. Warsinger, J.H. Lienhard, Desalination 420 (2017) 241-257. DOI:10.1016/j.desal.2017.07.020 |
| [28] |
L.M. Zhao, Q.B. Chen, Z.Y. Ji, et al., Chem. Eng. Res. Des. 140 (2018) 116-127. DOI:10.1016/j.cherd.2018.10.009 |
| [29] |
H. Zhou, X. Zhang, H. Zhang, Environ. Sci. Technol. 58 (2024) 14886-14894. DOI:10.1021/acs.est.4c01085 |
| [30] |
C. Zhang, D. He, J. Ma, et al., Electrochim. Acta 299 (2019) 727-735. DOI:10.1016/j.electacta.2019.01.058 |
| [31] |
C. Zhang, D. He, J. Ma, et al., Water Res. 128 (2018) 314-330. DOI:10.1016/j.watres.2017.10.024 |
| [32] |
W. Tang, D. He, C. Zhang, et al., Water Res. 120 (2017) 229-237. DOI:10.1016/j.watres.2017.05.009 |
| [33] |
S. Grimme, J. Antony, S. Ehrlich, et al., J. Chem. Phys. 132 (2010) 154104. DOI:10.1063/1.3382344 |
| [34] |
Y. Yu, Z. Yuan, Z. Yu, et al., Water Res. 223 (2022) 118969. DOI:10.1016/j.watres.2022.118969 |
| [35] |
V.J. Ovejas, A. Cuadras, J. Power. Sources 418 (2019) 176-185. DOI:10.1016/j.jpowsour.2019.02.046 |
| [36] |
S.P. Agashichev, Desalination 179 (2005) 61-72. DOI:10.1016/j.desal.2004.11.055 |
| [37] |
Y.N. Baghdadi, S.Y. Alnouri, T. Matsuura, et al., Chem. Eng. Technol. 41 (2018) 1905-1912. DOI:10.1002/ceat.201800184 |
| [38] |
W. Mickols, Z. Mai, B. van der Bruggen, Desalination 501 (2021) 114905. DOI:10.1016/j.desal.2020.114905 |
2026, Vol. 37 

