b Zhejiang Collaborative Innovation Center for Full-Process Monitoring and Green Governance of Emerging Contaminants, College of Biology and Environmental Engineering, Zhejiang Shuren University, Hangzhou 310015, China;
c School of Chemistry and Chemical Engineering, Qufu Normal University, Qufu 273165, China;
d Green Pharmaceutical Technology Key Laboratory of Luzhou City, School of Pharmacy, Southwest Medical University, Luzhou 646000, China;
e College of Chemical Engineering, Nanjing Forestry University, Nanjing 210037, China
The carbene transfer reactions have exhibited extensive applications in material science, drug discovery, and synthetic chemistry [1-3]. The generation of free carbene from various carbene precursors such as diazo compounds, hydrazones, cyclopropenes, loheptatrienes, enynones and fluoroalkylacylsilanes has been increasingly explored in recent years [4-7]. As one kind of important carbene precursors, diazo compounds have been widely utilized in a number of carbene transfer reactions owing to their accessibility and the release of N2 as the non-toxic byproduct [8-11]. The chemistry of diazo compounds has been greatly studied through thermal metal-catalyzed procedures, which have shown good reactivity and chemo-selectivity in various transformations such as cycloaddition reactions [12-15], sigmatropic rearrangements [16], X-H insertions [17-19] and cross-coupling reactions [20,21]. Although such reactions allow access to highly reactive metal carbenes, the use of toxic and expensive metal reagents or the relatively harsh reaction conditions might sometimes give rise to problems with the reactions.
Visible light is an abundant, clean and sustainable energy source. During the past several decades, visible-light-mediated reactions have become a powerful and promising protocol for the construction of various functionalized compounds [22-35]. In comparison with traditional thermal or metal-catalyzed methods, visible light-promoted carbene transfer reactions of diazo compounds provide a mild and eco-friendly approach to access organic molecules with structural diversity [36-51]. Cyclic ethers such as tetrahydrofuran and 1,4-dioxane are common solvents and starting materials in organic chemistry [52-54]. Carbene insertion-initiated ring-opening reactions of cyclic ethers offer a valuable strategy for constructing new carbon-oxygen bonds and accessing a variety of complex products. Recently, visible light-induced multi-component transformations involving the combination of carbene transfer and ring-opening of cyclic ethers have emerged as powerful synthetic tools for the efficient assembly of structurally diverse functionalized products, which are often challenging to synthesize through conventional methods.
In this review, we summarize the recent advances in visible-light-induced multi-component carbene transfer reactions of α-diazoesters via ring-opening of cyclic ethers. The main achievements in this area are presented in terms of the reaction pattern of different nucleophiles, including N, C, O, and S-nucleophiles. Selected substrate examples and specific emphasis of reaction mechanism have been discussed in this review. Finally, a personal outlook on future research is described to help researchers to develop more sustainable and efficient synthetic methodologies.
2. N–NucleophilesNitrogen-containing organic compounds such as (aza)uracils, amines and N-heterocyclic molecules are widely used in material science and drug chemistry, which have attracted considerable attention of synthetic chemists owing to their potent biological and pharmaceutical activities [55-58]. In 2016, Szabó and co-workers reported metal-catalyzed ring opening of cyclic ethers with diazo compounds and N-fluorobenzenesulfonimide (Scheme 1) [59]. This reaction is compatible with various aromatic and aliphatic α-diazoketones by using Rh2(OAc)4 as catalyst. Nevertheless, none of the desired product was observed when ethyl phenyldiazoacetate was used as substrate, which might be caused by the lower reactivity of donor−acceptor carbenoids compared to acceptor carbenoids.
|
Download:
|
| Scheme 1. Rhodium-catalyzed oxy-aminofluorination of diazoketones with tetrahydrofurans and NFSI. | |
In 2020, Koenigs and co-workers developed visible-light-mediated method for the construction of fluoroamino etherification products from aryldiazoacetates, NFSI and cyclic ethers under the irradiation of 3 W blue LEDs [60]. The reaction exhibited a broad substrate scope and aryldiazoacetates with different substitution patterns at the ester group and the aromatic ring were compatible with this reaction, affording the corresponding products in moderate to good yields (Scheme 2).
|
Download:
|
| Scheme 2. Photochemical fluoro-amino etherification reactions of aryldiazoacetates with NFSI and cyclic ethers. | |
The possible mechanism is demonstrated as shown in Scheme 3. First, aryl diazoacetate 5 was irradiated by visible light to generate the carbene intermediate 8, which was trapped by 1,4-dioxane to gain the oxonium ylide intermediate 9. Then, NFSI 2 underwent fluorination reaction with the oxonium ylide intermediate to yield 11. Finally, the nucleophilic addition of benzenesulfonimide negative ion to oxonium ylide intermediategave the desired product 7.
|
Download:
|
| Scheme 3. The possible mechanism for photocatalytic fluoro-amino etherification reactions of aryldiazoacetates with NFSI and cyclic ethers. | |
In 2021, Sen’s group established an additive-free visible-light-promoted three-component amino etherification reaction of aryl diazoacetates, 1,4-dioxane/tetrahydropyran (THP) and N-nucleophiles such as pyrroles and indoles in water (Scheme 4) [61]. A number of aryl diazoacetates and N-heterocycles were tolerated in this reaction system, in which oxonium ylides could be formed in aqueous medium without use of any metal or base.
|
Download:
|
| Scheme 4. Visible-light-initiated three-component reactions of aryl diazoacetates, 1,4-dioxane/tetrahydropyran and N-heterocycles. | |
It’s worthy that the reaction of aryl diazoacetate with 1,4-dioxane readily undergoes 1,4-dioxane ring expansion process in the absence of external nucleophiles under irradiation of 3 W blue LEDs. Through this methodology, a series of seven-membered ring expanded aryl 1,4-dioxepane carboxylates 14 were obtained in good yields in water (Scheme 5).
|
Download:
|
| Scheme 5. Synthesis of ring-expanded aryl 1,4-dioxepane carboxylates under light irradiation. | |
The transformations of phthalimide derivatives have also been carried out to show the utility of this visible-light-induced amino etherification reaction. Phthalimide derivatives reacted with NH2NH2·H2O at 60 ℃ in MeOH to easily construct the amine intermediate 13’, which underwent intramolecular lactamization with the ester moiety to access the dioxyazanonane 15 (Scheme 6). The formed amino crown ethers have potential application as clinical candidate against Hepatitis B infection, protein kinase inhibitors and cation complexing agents.
|
Download:
|
| Scheme 6. The preparation of the nine membered aza crown ethers. | |
In 2023, Murarka's group described a visible-light-induced three-component imide alkylation of aryl diazoesters, azauracils andcyclic ethers leading to substituted imide products [62]. This alkylation reaction proceeded under mild conditions without requiring any catalyst or additives. Aryl diazoesters with electron-rich or electron-deficient substituents at the para-, meta- or ortho-positions of the phenyl ring provided the desired products 17a-17f in 80%−85% yields. Additionally, various azauracils bearing electronically and structurally varied N2-substituents afforded the corresponding products 17g-17m in 80%−90% yields. Pleasingly, azauridine and uracils were also suitable for this method, providing the desired products 17n and 17o in 60% and 65% yields, respectively. It should be noted that other cyclic ether such as tetrahydrofuran was tolerated in this procedure to afford the desired product 17p in 88% yield (Scheme 7).
|
Download:
|
| Scheme 7. Visible-light-induced three-component reaction of aryl diazoesters, azauracils and cyclic ethers. | |
The possible mechanism for this three-component reaction is shown in Scheme 8. First, under the irradiation of blue light, α-diazoester generated carbene intermediate 8, which was trapped by 1,4-dioxane to gain oxonium ylide intermediate 9. Next, the subsequent nucleophilic addition of azauracil to oxonium ylide intermediate 9 afforded carbon anion intermediate 18. Finally, the intramolecular hydrogen transfer of 18 produced three-component product 17.
|
Download:
|
| Scheme 8. The possible mechanism for three-component reaction of aryl diazoesters, azauracils and cyclic ethers. | |
In 2022, Jurberg reported a simple visible-light-induced amino etherification reaction of aryl diazoesters with cyclic ethers and pyrazoles leading to substituted pyrazoles [63]. As demonstrated in Scheme 9, a number of different aryl diazoesters and pyrazole rings containing donor or electron-withdrawing groups allowed the synthesis of compounds 20 in 63%−93% yields.
|
Download:
|
| Scheme 9. Visible-light-promoted three-component reaction of α-diazoester, tetrahydrofuran and pyrazoles. | |
In 2023, Wang’s group developed a visible-light-promoted N—H functionalization reaction between diazoesters, THF and O-substituted hydroxamic acid to construct corresponding three-component products [64]. This reaction could be performed in the absence of any catalysts. Meanwhile, when 1,4-dioxane was employed as the solvent, diazo esters and O-substituted hydroxamic acid could proceed through direct N—H insertion reaction.
The possible mechanism for this transformation is demonstrated in Scheme 10. Initially, blue light irradiation of α-diazoester generated carbene intermediate 8. Meanwhile, N-(benzyloxy)-2–bromo-2-methylpropanamide 21 was transformed into N-(benzyloxy)methacrylamide 24 through the loss of one molecular HBr in the presence of base. When this reaction was carried out in 1,4-dioxane, the carben intermediate 8 was trapped by 24, affording the N–H insertion product 23. When this reaction was performed in THF, carbene intermediate 8 was trapped by THF to generate the oxonium ylide intermediate 25. Meanwhile, the intermediate 24 underwent a ring-opening reaction with the oxonium ylide intermediate 25 yielding an anion intermediate 26 in the presence of base. Finally, the protonation of anion intermediate 26 generated the final N—H functionalization product 22.
|
Download:
|
| Scheme 10. Visible-light-promoted N—H functionalization of O-substituted hydroxamic acid with diazo esters. | |
In 2022, Wei’s group described a novel visible-light-initiated three-component carbene transfer reaction for the synthesis of organic azides [65]. The method involves the reaction of α-diazoester, tetrahydrofuran, and TMSN3 to efficiently obtain diverse azidation products in the absence of any bases, strong oxidants, external metal reagents and photocatalysts. The representative examples for this transformation are described in Scheme 11. Aryl diazoesters with functional groups at the phenyl ring provided the corresponding products 28a-28d in 81%−89% yields. Methyl 1-naphthyldiazoacetate was also tolerated well in this process, affording the desired product 28e in 88% yield. In addition, α-diazoesters with a range of substituents at the ester position including isopentyl, allyl and benzyl groups were all suitable for the reaction to form the expected products 28f-28h in good yields.
|
Download:
|
| Scheme 11. Visible-light-initiated three-component reactions of α-diazoesters, tetrahydrofuran and TMSN3. | |
In 2023, Xuan’s group reported visible-light-promoted multi-component reaction of diazoalkanes, alkynes, and cyclic ethers to synthesize poly-substituted pyrazoles (Scheme 12) [66]. This reaction could be conducted under mild conditions using both cycloaddition reactivity and the carbene reactivity of diazoalkanes in one pot procedure. The detailed reaction pathway is presented in Scheme 12. Initially, the [3 + 2]-cycloaddition of diazoalkane 29 and alkyne 30 afforded the 1H-pyrazole-3,4,5-tricarboxylate intermediate 32. Meanwhile, the photolysis of diazoalkane generated a free carbene, which will be trapped by cyclic ether to give oxonium ylide intermediate 33. Then, the nucleophilic ring opening of oxonium ylide 33 with 32 produced the multi-substituted pyrazole 31.
|
Download:
|
| Scheme 12. Visible-light-initiated three-component reactions of diazoalkanes, alkynes, and cyclic ethers. | |
3. C–Nucleophiles
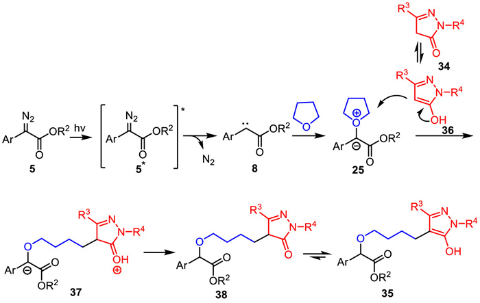
As a highly valuable nitrogen-containing heterocycles, pyrazoles frequently exist in various natural products, functional materials, and pharmaceutical molecues [67-69]. In 2022, Wei’s group reported a visible-light-promoted three-component carbene transfer reaction of α-diazoesters with cyclic ethers and pyrazolones leading to multisubstituted pyrazoles [70]. A number of multisubstituted pyrazoles could be selectively obtained through this transformation at room temperature. The representative examples for this reaction are described in Scheme 13. Various α-diazoesters including the substituents at the ester and benzene ring positions were all suitable for this reaction to provide products in moderate to good yields. Phenyl unit with ortho-, meta- or para-substituent and alkyl group on 1 and 3 positions of pyrazolone were all compatible with this reaction providing the corresponding products 35i-35m in good yields. Cyclic ethers such as 2,5-dihydrofuran and tetrahydropyran were also suitable substrates leading to the desired products 35n and 35o in relatively lower yields.
|
Download:
|
| Scheme 13. Visible-light-mediated three-component reaction of α-diazoesters with cyclic ethers and pyrazolones. | |
The possible reaction pathway for this method is described in Scheme 14. First, α-diazoester generated its excited state 5* under the irradiation of 3 W blue LEDs. Excited state 5* would give the free carbene intermediate 8 with the loss of N2. Subsequently, the reaction of carbene intermediate 8 with THF produced oxonium ylide intermediate 25 Meanwhile, enol intermediate 34 was formed through the tautomerization of pyrazolone 36. Then, the ring-opening of oxonium ylide 25 with enol intermediate 36 gave intermediate 37, which underwent intramolecular hydrogen transfer to give substituted pyrazolone 38. Finally, the desired pyrazole 35 was produced through rapid tautomerization.
|
Download:
|
| Scheme 14. Possible mechanism for the synthesis of multisubstituted pyrazoles. | |
Notably, when 1,3-dicarbonyl compound 39 was employed in this reaction system, a number of substituted 1,3-dicarbonyl derivatives 40 could also be efficiently obtained through visible-light-mediated carbene transfer reaction of α-diazoesters with cyclic ethers and 1,3-dicarbonyl compounds (Scheme 15).
|
Download:
|
| Scheme 15. Visible-light-mediated carbene transfer reaction of α-diazoesters with cyclic ethers and 1,3-dicarbonyl compounds. | |
In the same year, Wei and co-workers also reported an additive-free visible-light-mediated three-component reaction of α-diazoesters with cyclic ethers and TMSCN to access structurally diverse organic nitriles (Scheme 16) [65]. This reaction was conducted at room temperature to afford organic nitriles by using TMSCN as nucleophile. It is worth noting that the resulting nitrile products could be converted to other useful compounds such as amide and phosphoramidate. A plausible reaction pathway is proposed in Scheme 16. Initially, carbene intermediate 8 was generated from α-diazoester under visible-light irradiation. Subsequently, the carbene intermediate 8 was trapped by ether to form the oxonium ylide intermediate 25. Then, the nucleophilic addition of TMSCN 41 to oxonium ylide intermediate 25 gave intermediate 43. Finally, the protonation of intermediate 43 by water produced the corresponding product 42.
|
Download:
|
| Scheme 16. Visible-light-initiated three-component reactions of α-diazoesters, cyclic ethers, and TMSCN. | |
4. O–Nucleophiles
Carbon dioxide (CO2) is widely utilized as a C1 feedstock in organic synthesis due to its abundance, nontoxicity, and renewability [71,72]. In 2020, Jiang’s group reported a visible-light-promoted strategy for the synthesis of organic carbamates from carbon dioxide under catalyst- and additive-free conditions [73]. When THF was used as the solvent in system, a number of organic carbamates were obtained through visible-light-induced four-component carbene transfer reaction of α-aryldiazoesters with amines, carbon dioxide and THF. However, when 1,4-dioxane/MeCN (1:1) mixed solvent was used as the reaction medium, three-component coupling reaction of α-aryldiazoesters, amines and carbon dioxide proceeded smoothly to construct various three-component organic carbamates (Scheme 17).
|
Download:
|
| Scheme 17. Photolysis of α-aryldiazoesters to synthesize organic carbamates from CO2. | |
As shown in Scheme 17, a variety of α-diazoesters were suitable for this four-component carbene transfer reaction generating the expected products 46a-46g in moderate to good yields. A series of amines including secondary amines (cyclic or acyclic) and aliphatic primary amines were also compatible with this procedure to obtain the desired products 46h-46o in 63%−85% yields. Notably, polycyclic amine was also a suitable substrate, and the corresponding product 46p could be obtained in 53% yield, showing the possible application of this strategy in drug discovery.
Oxime ethers are important organic compounds with applications in medicinal and synthetic organic chemistry [74,75]. In 2021, Xuan and co-workers described a green and sustainable method for the formation of oxime ethers via visible-light-promoted O-H functionalization of oximes with aryldiazoesters [76]. When cyclic ether was used as the solvent, visible-light-promoted cyclic ethers-participated three-component ring-opening reaction underwent efficiently under mild conditions. The reaction demonstrates a broad substrate scope and representative examples are demonstrated in Scheme 18. α-Aryldiazoesters with different electron-neutral, electron-donating, or electron-withdrawing substituents on the phenyl ring were well-tolerated to provide the desired products in good yields with broad functional group tolerance. Different aryl-substituted aldoximes and acetophenone-derived oximes reacted well under the standard reaction conditions to give the corresponding oxime ethers in moderate to good yields. Heteroaryl-substituted aldoximes and acetophenone-derived oximes all reacted well to provide the corresponding oxime ethers in moderate to good yields. In addition to tetrahydrofuran, other cyclic ethers such as 2,3-dihydrofuran, 2,3-dihydrofuran, tetrahydropyran, and 1,4-dioxane are also successfully applied in this procedure, and the corresponding products are obtained in moderate yields.
|
Download:
|
| Scheme 18. Visible-light-promoted O-H functionalization of oximes with diazo esters. | |
In the same year, Jurberg’s group also reported a similar visible-light-promoted three-component carbene transfer reaction of aryldiazoacetates, oximes, and cyclic ethers [77]. Meanwhile, when DCM was utilized as the solvent, visible-light-mediated O—H insertion reaction of oximes with aryldiazoacetates also underwent smoothly to afford two-component oxime ether products (Scheme 19).
|
Download:
|
| Scheme 19. Visible-light-promoted O-H functionalization of oximes with diazo esters. | |
In 2021, Xuan’s group reported an efficient and green strategy for the synthesis of trisubstituted hydroxylamines through visible-light-promoted multi-component reaction of aryldiazoacetates, 2-nitrosopyridine and β-keto esters without additional catalysts or additives [78]. As shown in Scheme 20, four-component products and three-component products could be conveniently obtained in moderate to good yields by simply changing the reaction solvents under 24 W blue LED irradiation.
|
Download:
|
| Scheme 20. Visible light-promoted multi-component strategy for the synthesis of trisubstituted hydroxylamines. | |
The possible reaction pathway for this reaction is described in Scheme 21. First, β-keto ester 53 reacted with 2-nitrosopyridine 54 to generate product 57. Meanwhile, visible-light irradiation of aryldiazoacetate produced the reactive carbene species 8 with the loss of N2. When the reaction was performed in DCM, carbene 8 underwent O–H insertion with 57 to obtain the corresponding three-component product 56. Moreover, when the reaction was performed in THF, the carbene 8 was trapped by THF to form the active oxonium ylide intermediate 25. Finally, nucleophilic ring-opening of oxonium ylide intermediate 25 by 57 yielded the corresponding four-component product 55.
|
Download:
|
| Scheme 21. The mechanism for visible-light-promoted multi-component strategy to access trisubstituted hydroxylamines. | |
In 2022, Wei’s group described a visible-light-initiated multi-component carbene transfer reaction of α-diazoesters, cyclic ethers, and P(O)H leading to organophosphorus compounds under air [79]. This multi-component reaction produced a variety of phosphonates and phosphinates by using dioxygen as oxygen source under mild and metal-free conditions, which exhibited gram-scale synthesis and good functional group tolerance in organic synthesis (Scheme 22).
|
Download:
|
| Scheme 22. Visible-light-initiated multi-component carbene transfer reaction to access organophosphorus compounds. | |
The possible mechanism for this transformation is demonstrated in Scheme 23. First, methyl phenyldiazoacetate 5a formed an excited state 5a* under visible-light irradiation, which underwent denitrogenation to generate free carbene intermediate 8a. Then, free carbene intermediate 8a was smoothly attacked by THF to form oxonium ylide intermediate 25a. Meanwhile, free carbene intermediate 8a abstracts the hydrogen atom from diphenylphosphine oxide 58a would give phosphinoyl radical 60a and carbon radical 8b. Next, the reaction of phosphinoyl radical 60a with dioxygen provided a peroxy radical intermediate 61a, which abstracted a hydrogen atom from 58a to offer phosphinoyl radical 60a and phosphoryl hydroperoxide 62a. The reduction of phosphoryl hydroperoxide 62a by diphenylphosphine oxide 58a generated diphenylphosphinic acid 63a. Then, the nucleophilic reaction of diphenylphosphinic acid 63a with oxonium ylide intermediate 25a and intramolecular hydrogen transfer afforded the desired product 59a. On the other hand, the coupling of carbon radical 8b and phosphoryloxy radical 64a could also give the product 59b.
|
Download:
|
| Scheme 23. The mechanism for visible-light-initiated multi-component carbene transfer reaction to access organophosphorus compounds. | |
Hydroxamic acid esters are important pharmacological compounds with a broad spectrum of activities, including antibacterial, antifungal, and anticancer properties [80,81]. In 2022, Xuan and Koenigs provided a mild approach for the synthesis of hydroxamic acid esters through visible-light-promoted NHC-catalyzed photochemical multi-component carbene transfer reactions (Scheme 24) [82]. When cyclic ether was used as the solvent in this system, the four-component reaction of aldehydes, nitrosoarenes, α-diazoalkanes and cyclic ether underwent efficiently to deliver various biologically important hydroxamic acid esters 67 in moderate to good yields. On the other hand, when DCM was used as reaction medium, the reaction of aldehydes, nitrosoarenes and α-diazoalkanes generated the expected three-component products 68 under the irradiation of 24 W blue LED. NHC-catalyzed formation of hydroxamic acid and blue light-mediated generation of free carbene species are two key factors for both multi-component carbene transfer reactions.
|
Download:
|
| Scheme 24. Synthesis of hydroxamic acid esters via NHC catalysis and photochemical multi-component carbene transfer reaction. | |
Xuan and Koenigs propose the detailed mechanism as presented in Scheme 25. Under the standard reaction conditions, the deprotonation of triazolium salt 69 generated the NHC catalyst 70, which activated aldehyde to afford the nucleophilic Breslow intermediate 71. Next, nucleophilic addition of the nucleophilic Breslow intermediate 71 to nitroarenes afforded intermediate 72. Then, hydroxamic acid 73 was produced through the release of NHC catalyst 70. Meanwhile, aryldiazoacetate 5 underwent denitrogenation to generate free carbene intermediate 8 under blue LED. When the reaction was performed in THF, this reaction would generate an oxonium ylide intermediate 25, which reacted with 73 to produce the four-component product 67. When the reaction was performed in DCM, free carbene intermediate 8 reacted with 73 to obtain the three-component product 68 through O–H insertion.
|
Download:
|
| Scheme 25. The detailed mechanism for the synthesis of hydroxamic acid esters via NHC catalysis and carbene transfer. | |
In 2022, Wei's group reported a visible-light-induced method for constructing α-oxyimido esters through the denitrification oxygenation reaction of α-diazo esters with N-hydroxyphthalimide (NHI) [83]. A number of α-oximide esters were synthesized effectively in 1,4-dioxane at room temperature under irradiation of 3 W blue LED lamps in the absence of photocatalyst. When THF was used as the solvent, three-component coupling products involving ring-opening of tetrahydrofuran could be conveniently obtained. The reaction could also be scaled up to gram scale, which provided a green and practical synthetic method to access α-oxyimide esters. The possible reaction pathway involves the denitrogenation process of α-diazoester under 3 W blue LED irradiation, formation of oxonium ylide intermediate and subsequent nucleophilic ring-opening of oxonium ylide with NHI (Scheme 26).
|
Download:
|
| Scheme 26. Visible-light-initiated multi-component reaction to access α-oxyimido esters. | |
In 2022, Jurberg and co-workers also reported a blue light-induced three-component carbene transfer strategy for the synthesis of aryl ethers and esters through the ring-opening of THF using phenols and carboxylic acids as nucleophiles [54]. This photochemical reaction could be carried out under mild conditions to afford a variety of products in the absence of metals and additives (Scheme 27).
|
Download:
|
| Scheme 27. Visible-light-initiated three-component carbene transfer strategy for the synthesis of aryl ethers and esters. | |
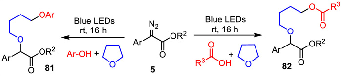
The control of regioselective C/O-alkylation of 1,3-dicarbonyl compounds has been long-term research interest in synthetic chemistry. In 2023, Li’s group reported a novel visible-light-promoted three-component alkylation reaction of 1,3-dicarbonyl compounds, aryldiazoacetates and cyclic ethers [84]. This reaction could undergo through selective O-alkylation of 1,3-dicarbonyl compounds beyond C-alkylation, which provides an environmentally benign and practical approach to construct highly stereoselective enol ethers. The representative examples are demonstrated in Scheme 28. Many 1,3-dicarbonyl compounds such as ethyl 3-oxobutanoate, 3-oxo-3-(pyridin-2-yl)propanoate, and substrates including other electron-withdrawing groups (COCF3 and CN) all worked well and delivered products 82a-82d in 42%–85% yields. It is worth noting that five- and six-membered 1,3-dicarbonyl compounds were also suitable in this transformation, providing the corresponding products 82e and 82f in 62% and 55% yields.
|
Download:
|
| Scheme 28. Visible light-induced regioselective O-alkylation of 1,3-dicarbonyl compounds with diazoacetates and cyclic ethers. | |
tert–Butyl nitrite (TBN) is an inexpensive and readily available material, which has been increasingly employed as a nitro reagent in the construction of nitrate esters [85-87]. In 2024, Wei’s group established an additive-free and sustainable visible-light-induced three-component reaction of α-diazoesters, cyclic ethers and t-BuONO leading to nitrate esters in the presence of dioxygen (O2) [88]. This reaction offers an efficient strategy for the synthesis of various nitrate esters through aerobic nitrooxylation ring-opening of cyclic ethers with TBN, which features the advantages of clean energy source, green oxidant, simple operation and mild condition.
The possible reaction mechanism for this transformation is proposed as shown in Scheme 29. First, t-BuONO underwent the hydrolysis with water to afford nitrous acid. The decomposition of nitrous acid generated NO and NO2. Then, NO could be rapidly oxidized by dioxygen to form NO2, which reacted with H2O to access HNO3 (path A). Another pathway B for the synthesis of HNO3 was that t-BuONO generated NO under visible-light-irradiation. The subsequent oxidation of NO by O2 afforded ·ONO2, which reacted with H2O to give HNO3. Meanwhile, α-diazoesters 5 generated the excited state 5* under visible-light irradiation, which decomposed to generate carbene intermediate 8. This carbene intermediate 8 was trapped by THF to form oxonium ylide intermediate 25. Finally, intermediate 25 underwent nucleophilic reaction with HNO3 to construct the desired product 84.
|
Download:
|
| Scheme 29. Visible-light-initiated aerobic nitrooxylation reaction of α-diazoesters and cyclic ethers with t-BuONO. | |
5. S-Nucleophiles
Sulfur-containing organic compounds are widely present in bioactive molecules and functional materials, which exhibit important application value in the fields of the chemical industry, agrochemistry, and pharmaceutical research [89-91]. Therefore, the development of efficient and selective methods for the construction of organosulfur compounds from simple and readily available materials is of great importance in organic synthesis [92-96].
In 2022, He's group reported a facile visible-light-induced strategy for the synthesis of N,S-dialkyl dithiocarbamates through multi-component reaction of α-diazoesters, amines, CS2 and tetrahydrofuran [97]. This transformation could rapidly and efficiently obtain various structurally diverse four-component coupling products with the assembly of the ring-opening of THF by simply using DBU as the additive (Scheme 30). The reaction exhibited a broad substrate scope at room temperature. α-Diazoesters with diverse substituents, including electron-deficient or electron-rich groups at varying positions on the phenyl moiety, reacted rapidly to afford the diverse N,S-dialkyl dithiocarbamates 87a-87f in excellent yields. α-Diazoesters with different ester groups such as ethyl, benzyl and isopropyl groups were all suitable substrates, generating the corresponding products 87g-87i in good yields. The scope of amines was also investigated. Apart from pyrrolidine, cyclic amines such as morpholine and 4-methylpiperidine were compatible with the reaction, delivering the desired products 87j and 87k in 79% and 75% yields. In addition, acyclic secondary amines such as dimethylamine and dibenzylamine also participated reaction effectively, affording the corresponding products 87l and 87m in 72% and 85% yields.
|
Download:
|
| Scheme 30. Visible-light-initiated multi-component reaction to access S-alkyl dithiocarbamates. | |
Other cyclic ethers such as tetrahydropyran and 1,4-dioxane were also examined in this reaction system. As shown in Scheme 31, when tetrahydropyran was used as the solvent, the reaction afforded the mixture of three-component dithiocarbamate 88a and four-component product 88a’ with the ring-opening of tetrahydropyran. When 1,4-dioxane was employed as the solvent, three-component dithiocarbamate 88a was obtained as main product and four-component product dithiocarbamate 88a’’ was isolated with a low yield.
|
Download:
|
| Scheme 31. The products in tetrahydropyran and 1,4-dioxane. | |
Elemental sulfur is cheap, low-toxic, and odorless sulphur source, which has been increasingly utilized for the synthesis of sulfur-containing molecules in organic synthesis. In 2022, Wei and Yue established a metal-free strategy for the synthesis of S-alkyl phosphorothioates through visible-light-mediated four-component reactions of α-diazoesters, elemental sulfur, cyclic ethers and H-phosphonates [98]. Notably, three-component products of α-diazoesters, elemental sulfur and H-phosphonates could be efficiently obtained by changing the solvent. This methodology features an environmentally benign energy source, no metal-catalyst and good functional group tolerance.
The possible reaction mechanism is proposed as shown in Scheme 32. First, the reaction between elemental sulfur 89 and H-phosphonates 90 produced phosphorothioic acid 93, which was deprotonated by DBU to form sulfur anion 94. Meanwhile, α-diazoesters generated carbene intermediate 8 with the release of N2 under visible-light irradiation. When 1,4-dioxane was used as the reaction medium, sulfur anion 94 reacted with carbene intermediate 8 to form anionic intermediate 95. The protonation of anionic intermediate 95 with DBU-H+ would lead to the formation of S-alkyl phosphorothioate 91. On the other hand, when THF was used as the solvent, carbene intermediate 8 was trapped by THF to obtain oxonium ylide intermediate 25, which was attacked by sulfur anion 94 to afford intermediate 96. Finally, intermediate 96 underwent rapid protonation to yield product 92.
|
Download:
|
| Scheme 32. Visible-light-initiated multi-component reaction to access S-alkyl phosphorothioates. | |
In the same year, Wei’s group developed a visible-light-induced DBU (10 mol%) catalyzed four-component reaction of α-diazoesters, elemental sulfur, cyclic ethers and TMSCN [99]. This reaction exhibited a broad substrate scope, which avoided the use of metal catalysts, strong oxidants and harsh reaction conditions. α-Diazoesters bearing either electron-donating or electron-withdrawing substituents at various positions of the aromatic ring all reacted effectively under the standard conditions, affording the desired products 98a-98f in 77%−89% yields. Next, the effect of ester substituents in aryldiazoacetates was investigated. Besides methyl group, other groups including ethyl, benzyl and isopropyl groups were all compatible with the reaction system, yielding the corresponding products 98g-98i in 79%−92% yields. Other cyclic ether such as tetrahydropyran was also well tolerated to form the corresponding product 98j in 64% yield. The proposed mechanism involved the reaction of elemental sulfur with TMSCN to generate thiocyanate anion 99 and its subsequent nucleophilic attack on oxonium ylide intermediate 25 to give organic thiocyanate 98 (Scheme 33).
|
Download:
|
| Scheme 33. Visible-light-initiated multi-component reaction to access organic thiocyanates. | |
Shortly afterward, Wei and Zhong also proposed a green and environmentally three-component visible-light-promoted reaction of α-diazoesters, cyclic ethers and NaSCN to access the organic thiocyanate [100]. In this system, α-diazoesters bearing various substituents on both the aromatic ring and ester group reacted smoothly under the standard conditions, affording the desired products in 52%−70% yields. Notably, heteroaryl α-diazoester was also suitable substrate to yield the corresponding product 98j in 47% yield (Scheme 34).
|
Download:
|
| Scheme 34. Visible-light-initiated three-component reaction of α-diazoesters, cyclic ethers and NaSCN to access organic thiocyanates. | |
Thioethers frequently exist in various pharmaceutical and bioactive molecules. In 2023, Wei’s group reported an additive-free visible-light-induced three-component carbene transfer reactions of α-diazoesters, cyclic ethers and thiols to access thioethers [101]. This multi-component reaction could be conducted under mild conditions to access various thioethers in moderate to good yields. The proposed mechanism is presented in Scheme 35, visible-light irradiation of α-diazoester 5 generated the excited state 5*, which underwent denitrification to form carbene intermediate 8. Subsequently, carbene 8 was captured by THF to form oxonium ylide intermediate 25. Nucleophilic attack of thiols 102 on oxonium ylide 25 gave the carbanion intermediate 104. Finally, the carbanion intermediate 104 underwent intramolecular hydrogen transfer to produce the desired product 103 (Scheme 35).
|
Download:
|
| Scheme 35. Visible-light-initiated multi-component reaction to access various thioethers. | |
In 2024, Yi and Wei developed a green and additive-free photochemical four-component reaction of α-diazoesters, aryl isothiocyanates, amines and cyclic ethers to synthesize S-substituted isothioureas (Scheme 36) [102]. This strategy has the advantage of mild reaction conditions, simple operation, high efficiency, and good functional group tolerance, which demonstrates its potential for application in organic synthesis and medicinal chemistry. Representative examples are presented in Scheme 35, α-diazoesters bearing various substituents on both the aromatic ring and the ester group reacted efficiently under the standard conditions, providing the corresponding products 107a-107i in 47%−97% yields. Aryl isothiocyanates with various groups at different positions of the aryl rings also showed good reactivity, affording the desired four-component products 107j-107o in good yields. Furthermore, secondary aliphatic amines such as diethylamine and N-methyl-1-phenylmethanamine were compatible with this procedure, generating the corresponding products 107p and 107q in 85% and 95% yields. However, when a secondary aromatic amine such as diphenylamine was used in this reaction system, no transformation was observed. In addition, other cyclic ethers including tetrahydropyran and 2,5-dihydrofuran also participated effectively to afford the desired products 107s and 107t in moderate yields.
|
Download:
|
| Scheme 36. Visible-light-initiated multi-component reaction to obtain S-substituted isothioureas. | |
The corresponding reaction mechanism is demonstrated in Scheme 37. First, carbene intermediate 8 was formed from the excited state 5* under visible-light irradiation. Then, carbene intermediate 8 reacted with THF to give oxonium ylide 25. On the other hand, the addition of amine 106 to aryl isothiocyanate 105 gave thiourea 108. Next, the tautomerization of thiourea 108 afforded isothiourea 109, which underwent the nucleophilic addition to oxonium ylide intermediate 25 and further ring-opening reaction afforded intermediate 110. Finally, the four-component product 107 was produced through the intramolecular H-transfer process.
|
Download:
|
| Scheme 37. The mechanism for visible-light-initiated multi-component reaction to obtain S-substituted isothioureas. | |
6. Conclusions
In summary, visible-light-induced multi-component carbene transfer reactions of diazo compounds through ring-opening of cyclic ethers have been increasingly studied in recent years. This mild and metal-free multi-component strategy has emerged as an attractive and powerful protocol for the synthesis of various complex molecular architectures, which have been historically inaccessible or commonly achieved by using metal reagents. In this review, the reaction pattern of different nucleophiles, selected substrate examples and specific emphasis on reaction mechanism have been discussed. The sustainable generation of highly reactive carbenes and subsequent ring-opening reactions of oxonium ylides to form valuable molecules hold significant application potential in synthetic chemistry, pharmaceutical research, and fine chemical industry.
Although some significant advancements have been made in recent years, there are still some opportunities and challenges waiting to be explored. For example, most carbene precursors are limited to the use of aryl α-diazoesters. The exploration of photochemical reactions involving other types of diazo alkanes and hydrazones to yield carbenes with unique reactivities and selectivities will expand the synthetic potential of these reactions. Furthermore, deeper insights into the conversion of carbenes to oxonium ylides need to be further studied by the combining of computational and experimental methods, which will aid in designing more efficient and selective multi-component carbene transfer reactions. Additionally, late-stage modifications and asymmetric reaction modes have not been fully disclosed, which is expected to be developed in the near future. It is strongly believed that ongoing research in this field will make this multi-component reaction strategy become one of the most practical and valuable protocols in synthetic and pharmaceutical chemistry.
Declaration of competing interestWe declare that we do not have any commercial or associative interest that represents a conflict of interest in connection with the work submitted.
CRediT authorship contribution statementFeng Zhao: Writing – original draft, Funding acquisition. Hongyu Ding: Writing – original draft. Ting Sun: Writing – original draft. Chao Shen: Writing – review & editing. Zu-Li Wang: Writing – review & editing. Wei Wei: Writing – review & editing, Supervision, Conceptualization. Dong Yi: Writing – review & editing, Conceptualization.
AcknowledgmentsWe acknowledge the Science and Technology Foundation of Guizhou Province (No. QKHJC-ZK[2024]654) and Guizhou Provincial University Key Laboratory of Advanced Functional Electronic Materials (No. QJJ[2023]021).
| [1] |
C. Empel, S. Jana, R.M. Koenigs, Molecules 25 (2020) 880. DOI:10.3390/molecules25040880 |
| [2] |
S.T. Liu, K.R. Reddy, Chem. Soc. Rev. 28 (1999) 315-322. |
| [3] |
T.R. Roose, D.S. Verdoorn, P. Mampuys, et al., Chem. Soc. Rev. 51 (2022) 5842-5877. DOI:10.1039/d1cs00305d |
| [4] |
D. Zhu, L. Chen, H. Fan, et al., Chem. Soc. Rev. 49 (2020) 908-950. DOI:10.1039/c9cs00542k |
| [5] |
M.Y. Huang, S.F. Zhu, Chem. Sci. 12 (2021) 15790-15801. DOI:10.1039/d1sc03328j |
| [6] |
X. Shen, Acc. Chem. Res. 58 (2025) 1519-1533. DOI:10.1021/acs.accounts.5c00136 |
| [7] |
Y. Zhang, G. Zhou, S. Liu, X. Shen, Chem. Soc. Rev. 54 (2025) 1870-1904. DOI:10.1039/d4cs01275e |
| [8] |
C. Damiano, P. Sonzini, E. Gallo, Chem. Soc. Rev. 49 (2020) 4867-4905. DOI:10.1039/d0cs00221f |
| [9] |
X. Zhang, L. Li, P. Sivaguru, et al., Chem. Commun. 58 (2022) 13699-13715. DOI:10.1039/d2cc04845k |
| [10] |
D. Qiu, J. Wang, Recent Developments of Diazo Compounds in Organic Synthesis. World Scientific, 2021.
|
| [11] |
J. Wang, C.M. Che, M.P. Doyle, Transition Metal-Catalyzed Carbene Transformations. John Wiley & Sons, 2021.
|
| [12] |
Y. He, Z. Huang, K. Wu, et al., Chem. Soc. Rev. 51 (2022) 2759-2852. DOI:10.1039/d1cs00895a |
| [13] |
C. Jing, Q.Q. Cheng, Y. Deng, et al., Org. Lett. 18 (2016) 4550-4553. DOI:10.1021/acs.orglett.6b02192 |
| [14] |
C. Qin, H.M.L. Davies, J. Am. Chem. Soc. 135 (2013) 14516-14519. DOI:10.1021/ja4069003 |
| [15] |
W. Zhang, S. Chen, Y. Zhang, et al., Angew. Chem. Int. Ed. 64 (2025) e202422020. |
| [16] |
D.M. Hodgson, F.Y.T.M. Pierard, P.A. Stupple, Chem. Soc. Rev. 30 (2001) 50-61. |
| [17] |
F. Tan, X. Liu, X. Hao, et al., ACS Catal. 6 (2016) 6930-6934. DOI:10.1021/acscatal.6b02184 |
| [18] |
S.F. Zhu, B. Xu, G.P. Wang, et al., J. Am. Chem. Soc. 134 (2012) 436-442. DOI:10.1021/ja2084493 |
| [19] |
C. Qin, H.M.L. Davies, J. Am. Chem. Soc. 136 (2014) 9792-9796. DOI:10.1021/ja504797x |
| [20] |
Y. Xia, D. Qiu, J.B. Wang, Chem. Rev. 117 (2017) 13810-13889. DOI:10.1021/acs.chemrev.7b00382 |
| [21] |
Y. Xia, Y. Zhang, J.B. Wang, ACS Catal. 3 (2013) 2586-2598. DOI:10.1021/cs4006666 |
| [22] |
S. Gupta, A. Kundu, S. Ghosh, et al., Green Chem. 25 (2023) 8459-8493. DOI:10.1039/d3gc03291d |
| [23] |
Q. Feng, J. Hao, Y. Hu, et al., Chin. Chem. Lett. 36 (2025) 110582. |
| [24] |
H.C. Li, M. Zhang, Q. Lv, et al., Chin. Chem. Lett. 36 (2025) 110579. |
| [25] |
Q. Zhao, Q. Zhang, X. Wu, et al., Chin. Chem. Lett. 36 (2025) 110167. |
| [26] |
Y. Wang, J. Wang, C. Chen, et al., Chem. Commun. 61 (2025) 10812-10815. DOI:10.1039/d5cc02744f |
| [27] |
Y.H. Lu, C. Wu, J.C. Hou, et al., ACS Catal. 13 (2023) 13071-13076. DOI:10.1021/acscatal.3c02268 |
| [28] |
H.T. Ji, K.L. Wang, W.T. Ouyang, et al., Green Chem. 25 (2023) 7983-7987. DOI:10.1039/d3gc02575f |
| [29] |
L.W. Ciszewski, K. Rybicka-Jasinska, D. Gryko, Org. Biomol. Chem. 17 (2019) 432-448. DOI:10.1039/c8ob02703j |
| [30] |
Z. Yang, M.L. Stivanin, I.D. Jurberg, et al., Chem. Soc. Rev. 49 (2020) 6833-6847. DOI:10.1039/d0cs00224k |
| [31] |
W.T. Ouyang, J. Jiang, Y.F. Jiang, et al., Chin. Chem. Lett. 35 (2024) 110038. |
| [32] |
H.Y. Song, J. Jiang, C. Wu, et al., Green Chem. 25 (2023) 3292-3296. DOI:10.1039/d2gc04843d |
| [33] |
N. Meng, Y. Lv, Q. Liu, et al., Chin. Chem. Lett. 32 (2021) 258-262. |
| [34] |
M. Zhang, G. Nan, X. Zhao, et al., Chin. J. Org. Chem. 42 (2022) 4315-4322. DOI:10.6023/cjoc202209013 |
| [35] |
Y.H. Lu, S.Y. Mu, J. Jiang, et al., ChemSusChem 16 (2023) e202300523. |
| [36] |
X. Cheng, B.G. Cai, H. Mao, et al., Org. Lett. 23 (2021) 4109-4114. DOI:10.1021/acs.orglett.1c00979 |
| [37] |
H.B. Ye, X.Y. Zhou, L. Li, et al., Org. Lett. 24 (2022) 6018-6023. DOI:10.1021/acs.orglett.2c02313 |
| [38] |
S. Li, J. Ling, L. Zhou, Org. Lett. 26 (2024) 5220-5225. DOI:10.1021/acs.orglett.4c01876 |
| [39] |
I.D. Jurberg, H.M.L. Davies, Chem. Sci. 9 (2018) 5112-5118. DOI:10.1039/c8sc01165f |
| [40] |
T. Xiao, M. Mei, Y. He, L. Zhou, Chem. Commun. 54 (2018) 8865-8868. DOI:10.1039/c8cc04609c |
| [41] |
R. Hommelsheim, Y. Guo, Z. Yang, et al., Angew. Chem. Int. Ed. 58 (2019) 1203-1207. DOI:10.1002/anie.201811991 |
| [42] |
B.G. Cai, S.S. Luo, L. Li, et al., CCS Chem. 2 (2020) 2764-2771. |
| [43] |
R. Cheng, C. Qi, L. Wang, et al., Chem. Soc. Rev. 49 (2020) 6833-6847. |
| [44] |
S. Zhou, B. Cai, C. Hu, et al., Chin. Chem. Lett. 32 (2021) 2577-2581. |
| [45] |
Z. Chen, J. Chen, J. Xuan, Chin. Chem. Lett. 33 (2022) 2763-2764. |
| [46] |
P. Duan, H. Zhao, J. Yang, et al., Org. Lett. 24 (2022) 608-612. DOI:10.1021/acs.orglett.1c04048 |
| [47] |
Y. Guo, G. Zhou, X. Shen, Chin. J. Chem. 42 (2024) 887-902. DOI:10.1002/cjoc.202300569 |
| [48] |
G. Zhou, X. Shen, Angew. Chem. Int. Ed. 61 (2022) e202115334. |
| [49] |
S. Chen, Y. Zhang, S. Liu, X. Shen, Sci. China Chem. 66 (2023) 3141-3147. DOI:10.1007/s11426-023-1676-y |
| [50] |
R.D.C. Gallo, G. Cariello, T.A.C. Goulart, I.D. Jurberg, Chem. Commun. 59 (2023) 7346-7360. DOI:10.1039/d3cc00988b |
| [51] |
Z. Zhang, V. Gevorgyan, Chem. Rev. 124 (2024) 7214-7261. DOI:10.1021/acs.chemrev.3c00869 |
| [52] |
D. Qi, J. Bai, H. Zhang, et al., Green Chem. 24 (2022) 5046-5051. DOI:10.1039/d2gc01362b |
| [53] |
D.K. Jha, S. Acharya, N. Sakkani, et al., Org. Lett. 26 (2024) 172-177. DOI:10.1021/acs.orglett.3c03805 |
| [54] |
Y.N. Wang, X. Wang, S.J. Li, Y. Lan, Org. Chem. Front. 9 (2022) 1247-1253. DOI:10.1039/d1qo01730f |
| [55] |
T. Wang, N. Jiao, Acc. Chem. Res. 47 (2014) 1137-1145. DOI:10.1021/ar400259e |
| [56] |
F.F. Fleming, L. Yao, P.C. Ravikumar, et al., J. Med. Chem. 53 (2010) 7902-7917. DOI:10.1021/jm100762r |
| [57] |
J.M. Crance, N. Scaramozzino, A. Jouan, D. Garin, Antiviral Res. 58 (2003) 73-79. |
| [58] |
J. Liu, Y. Gong, J. Shi, et al., Eur. J. Med. Chem. 194 (2020) 112244. |
| [59] |
W. Yuan, K.J. Szabó, ACS Catal. 6 (2016) 6687-6691. DOI:10.1021/acscatal.6b01760 |
| [60] |
F. He, C. Pei, R.M. Koenigs, Chem. Commun. 56 (2020) 599-602. DOI:10.1039/c9cc08888a |
| [61] |
D. Maiti, R. Das, S. Sen, Green Chem. 23 (2021) 8533-8544. DOI:10.1039/d1gc02797b |
| [62] |
S.K. Hota, S. Murarka, Chem. Asian J. (2023) e202301027. |
| [63] |
M.L. Stivanin, R.D.C. Gallo, J.P.M. Spadeto, et al., Org. Chem. Front. 9 (2022) 1321-1326. DOI:10.1039/d1qo01780b |
| [64] |
S. Xia, Y. Jian, L. Zhang, et al., RSC Adv. 13 (2023) 14501-14505. DOI:10.1039/d3ra02407e |
| [65] |
Z. Wang, J. Hao, Y. Lv, et al., Asian J. Org. Chem. 11 (2022) e202200484. |
| [66] |
B.G. Cai, G.Y. Xu, J. Xuan, Chin. Chem. Lett. 34 (2023) 108335. |
| [67] |
S. Fustero, M. Sánchez-Roselló, P. Barrio, A. Simón-Fuentes, Chem. Rev. 111 (2011) 6984-7034. DOI:10.1021/cr2000459 |
| [68] |
M.F. Khan, M.M. Alam, G. Verma, et al., Eur. J. Med. Chem. 120 (2016) 170-201. |
| [69] |
V. Kumar, K. Kaur, G.K. Gupta, A.K. Sharma, Eur. J. Med. Chem. 69 (2013) 735-753. |
| [70] |
H. Ding, Z. Wang, C. Qu, et al., Org. Chem. Front. 9 (2022) 5530-5535. DOI:10.1039/d2qo01082h |
| [71] |
J. Klankermayer, S. Wesselbaum, K. Beydoun, W. Leitner, Angew. Chem. Int. Ed. 55 (2016) 7296-7343. DOI:10.1002/anie.201507458 |
| [72] |
S.S. Yan, Q. Fu, L.L. Liao, et al., Coord. Chem. Rev. 374 (2018) 439-463. |
| [73] |
R. Cheng, C. Qi, L. Wang, et al., Green Chem. 22 (2020) 4890-4895. DOI:10.1039/d0gc00910e |
| [74] |
B. Rong, G. Xu, H. Yan, et al., Chem. Commun. 57 (2021) 7272-7275. DOI:10.1039/d1cc02422a |
| [75] |
M. Murakami, N. Ishida, Chem. Rev. 121 (2021) 264-299. DOI:10.1021/acs.chemrev.0c00569 |
| [76] |
Q. Li, B.G. Cai, L. Li, J. Xuan, Org. Lett. 23 (2021) 6951-6955. DOI:10.1021/acs.orglett.1c02555 |
| [77] |
M.L. Stivanin, M. Duarte, L.P.M.O. Leão, et al., J. Org. Chem. 86 (2021) 17528-17532. DOI:10.1021/acs.joc.1c02411 |
| [78] |
B.-G. Cai, Q. Li, Q. Zhang, et al., Org. Chem. Front. 8 (2021) 5982-5987. DOI:10.1039/d1qo01102b |
| [79] |
C. Qu, J. Hao, H. Ding, et al., J. Org. Chem. 87 (2022) 12921-12931. DOI:10.1021/acs.joc.2c01499 |
| [80] |
S. Bertrand, J.J. Helesbeux, G. Larcher, O. Duval, Mini-Rev. Med. Chem. 13 (2013) 1311-1326. DOI:10.2174/13895575113139990007 |
| [81] |
A. Citarella, D. Moi, L. Pinzi, et al., ACS Omega 6 (2021) 21843-21849. DOI:10.1021/acsomega.1c03628 |
| [82] |
B.G. Cai, Li Q, C. Empel, et al., ACS Catal. 12 (2022) 11129-11136. DOI:10.1021/acscatal.2c02875 |
| [83] |
R. Liu, S. Fu, X. Chu, et al., Chin. J. Org. Chem. 42 (2022) 2462-2470. DOI:10.6023/cjoc202204014 |
| [84] |
K. Zhu, W.J. Yu, X. Zhou, et al., Chem. Commun. 59 (2023) 12605-12608. DOI:10.1039/d3cc03317a |
| [85] |
P. Li, X. Jia, Synthesis (2018) 711-722. |
| [86] |
R. Bag, D. Sar, T. Punniyamurthy, ACS Omega 2 (2017) 6278-6290. DOI:10.1021/acsomega.7b01111 |
| [87] |
B.A. Mir, S. Rajamanickam, P. Begum, B.K. Patel, Eur. J. Org. Chem. (2020) 2617-2625. DOI:10.1002/ejoc.202000149 |
| [88] |
Y. Lv, J. Hao, J. Huang, et al., Chem. Commun. 60 (2024) 9801-9804. DOI:10.1039/d4cc03272a |
| [89] |
S. Dutta, H. Abe, S. Aoyagi, et al., J. Am. Chem. Soc. 127 (2005) 15004-15005. DOI:10.1021/ja053735i |
| [90] |
M. Burow, A. Bergner, J. Gershenzon, U. Wittstock, Plant Mol. Biol. 63 (2006) 49-61. DOI:10.1007/s11103-006-9071-5 |
| [91] |
R. Ding, S. Shi, C. Ma, et al., Chin. J. Org. Chem. 44 (2024) 2216-2222. DOI:10.6023/cjoc202403029 |
| [92] |
X.M. Chen, L. Song, J. Pan, et al., Chin. Chem. Lett. 35 (2024) 110112. |
| [93] |
X. Chen, J. Huang, J. Pan, et al., Org. Lett. 26 (2024) 3883-3888. DOI:10.1021/acs.orglett.4c01038 |
| [94] |
J. Li, C. Chen, X. Li, et al., Chin. Chem. Lett. 35 (2024) 109732. |
| [95] |
J. Hao, Y. Lv, S. Tian, et al., Chin. Chem. Lett. 35 (2024) 109513. |
| [96] |
C. Wu, S. Wu, Q. Huang, et al., Chin. Chem. Lett. 36 (2025) 110250. |
| [97] |
Y. Lv, R. Liu, H. Ding, et al., Org. Chem. Front. 9 (2022) 3486-3492. DOI:10.1039/d2qo00311b |
| [98] |
C. Qu, R. Liu, Z. Wang, et al., Green Chem. 24 (2022) 4915-4920. DOI:10.1039/d2gc00903j |
| [99] |
Z. Wang, R. Liu, C. Qu, et al., Org. Chem. Front. 9 (2022) 3565-3570. DOI:10.1039/d2qo00539e |
| [100] |
Z. Wang, N. Meng, Y. Lv, et al., Chin. Chem. Lett. 34 (2023) 107599. |
| [101] |
Y. Lv, Z. Wang, J. Hao, et al., Asian J. Org. Chem. 12 (2023) e202300290. |
| [102] |
Y. Lv, H. Ding, J. You, et al., Chin. Chem. Lett. 35 (2024) 109107. |
2026, Vol. 37 

