Pyrimidine, with the chemical formula C4H4N2, is a nitrogen heterocyclic aromatic compound that results from replacing two carbon atoms with two nitrogen atoms in the interstitial position of the benzene molecule. They are present in caffeine, vitamin B1, theophylline, and nucleic acids such as uracil, cytosine, and thymine [1,2]. Pyrimidine heterocyclic compounds are extensively employed in pesticides and medicine due to their high selectivity, low toxicity, and ease of structural modification [3,4]. The search was carried out on the SciFinder research platform using keywords such as pyrimidine compounds, insecticides, fungicides, herbicides, antiviral agents, and plant growth regulators. A total of 882 literature sources were found on the investigation of compounds with pyrimidine structure in pesticides from 2014 to 2024. The number of literature reporting pyrimidine compounds with insecticidal activity is 101, with fungicidal activity is 380, with herbicidal activity is 344, with antiviral activity is 23, and with plant growth regulating function is 34. Pyrimidine compounds are mainly used in fungicides and herbicides, followed by insecticides, and are less researched in antiviral agents and plant growth regulators [5,6], In world pesticide patents, heterocyclic compounds accounted for more than 90%, with more than 60 pesticide commodities containing pyrimidine structure, including 13 fungicides, more than 40 herbicides and herbicide antidotes, and 8 insecticides. This trend is similar to the amount of literature published on pyrimidine compounds (Fig. S1 in Supporting information).
Pesticide commodities containing the pyrimidine structure are mainly small-molecule organic compounds, with pyrimidine as the parent structure and active groups in their R1-R4 positions [7,8]. Examples include insecticides like pyrimidifen, flufenerim, and pirimicarb (Fig. 1); herbicides such as nicosulfuron, propyrisulfuron, and primisulfuron (Fig. 1); fungicides like pyrimethanil mepanipyrim, cyprodinil, and ethirimol; the antiviral agent ningnanmycin (Fig. 1); and plant growth regulators like 6-benzyladenine (6-BA) and ancymidol (Fig. 1). However, the continuous use of these pesticide commodities with pyrimidine structures in crops leads to mutations or reduced sensitivity of target loci for plant diseases, insects, and grasses, resulting in resistance [9]. Secondly, pesticides containing pyrimidine structures are not ideal due to issues with dosage, spraying methods, and potential hazards to non-target organisms (bees, fish, and birds, etc.) and pesticide residues [10]. The mounting environmental protection awareness and the stringent registration policies for chemical pesticides have led to escalating costs and challenges in developing new pesticides, thereby impeding the expeditious replacement of existing products. Therefore, many researchers have designed and synthesized pyrimidine-containing compounds with low toxicity, high efficiency and biosafety for non-target organisms based on the pyrimidine structure through intermediate derivatization, structural modification or splicing of active molecules with the aim of discovering candidate compounds with the potential to become pesticides and solving the problem of pesticide resistance to pests and weeds, the problem of their own pesticide residues and the problem of biosafety for non-target organisms. The increasing awareness of environmental protection and strict registration policies for chemical pesticides have made it difficult and expensive to develop new pesticides, hindering the replacement of existing products. As a result, researchers have been focusing on designing and synthesizing pyrimidine-containing compounds with low toxicity, high efficiency, and biosafety for non-target organisms. By modifying the pyrimidine structure through various methods, they aim to discover potential pesticide candidates that can address issues such as pesticide resistance, residue accumulation, and harm to non-target organisms.
|
Download:
|
| Fig. 1. Partial pyrimidine compound pesticides. | |
This paper provides a summary of the characteristics of highly active pyrimidine analogues by examining the relationship between compound structure and biological activity. The compounds are categorized as pyrimidine amines, pyrimidine sulfurs(ethers), pyrimidine diketones, and fused heterocyclic pyrimidines based on their structural features. Research conducted in the last decade on pyrimidine analogues with insecticidal, herbicidal, antibacterial, antiviral, and plant growth regulating properties is outlined. This summary aims to support further research on pyrimidine analogues in the field of pesticides. Additionally, the use of pyrimidine-containing heterocyclic compounds in medicine has also been documented by researchers [11-13], but will not be reiterated in this paper.
2. Insecticidal activity 2.1. Pyrimidine amine compoundsIn the 1950s, the development of insecticidal pyrimidine compounds began with the commercialization of diazinon for subterranean pest control. Other pyrimidine-based insecticides such as fenazaquin, flufenerim [14], and pyramat were subsequently developed by Dow, UBE (now Sumitomo Chemical Company) in Japan, and Ciba-Geigy (now Syngenta), respectively [15]. However, these insecticides have various drawbacks such as toxicity to beneficial insects like bees, silkworms, and fish, as well as potential environmental impacts. Despite these challenges, pyrimethanil insecticides offer broad spectrum control, high efficiency, and a unique mode of action, making them a focus of ongoing research in molecular design, synthesis, and bioactivity studies [16-18].
Despite the threat flufenerim poses to honeybee reproduction and survival, its low toxicity, high insecticidal activity, and ease of structural modification have made it a popular choice for researchers looking to develop new pesticides [19]. For instance, Liu et al. [20] synthesized a series of pyrimidinamine compounds by modifying the structure of flufenerim to give compound 1. This compound 1 (Fig. 2) showed good insecticidal activity against Mythimna separata, Aphis medicagini, and Tetranychus cinnabarinus, with median lethal concentration (LC50) values of 3.6 and 4.2 mg/L against Mythimna separata, respectively. The conformational relationship indicated that the structural R had a significant impact on insecticidal activity, with the activity trend being Cl > Br > H. Molecular docking results revealed that compounds 1a and 1b (Fig. 2) have a similar mode of action to flufenerim, binding at the acetylcholine receptor, but docked in an opposite manner to flufenerim at the acetylcholinesterase (AChE) active site. Uneme et al. [21] designed and synthesized compound 2 (Fig. 2) by connecting the amino group on the parent body of flufenerim with 2-(4-fluorophenyl)ethyl. It demonstrated good insecticidal activity against Adoxophyes orana Fisher, Nilaparvata lugens (Stal), and Aphis gossypi at a concentration of 500 mg/L, all with lethality exceeding 90%. Additionally, compound 3 (Fig. 2) was found to have excellent activity against Myzus persicae (Sulzer) by replacing a part of the structure of flufenerim with a phenylpyrazole fragment [22]. It exhibited 100% lethality against Myzus persicae (Sulzer) at concentrations of 600 mg/L and 100 mg/L, and still had 88% lethality at 10 mg/L. Li et al. [23,24] conducted molecular substitution and optimization of substituents attached to the amino position on the molecular structure of flufenerim. They discovered that compound 4 (Fig. 2) had superior controlling efficacy against Tetranychus cinnabarinus. At a concentration of 100 mg/L, the lethality of compound 4 against Tetranychus cinnabarinus was 97%, which was higher than that of the control propargite (80%). Furthermore, compound 5 (Fig. 2) showed good insecticidal activity against cotton Tetranychus cinnabarinus (LC50=1.02 mg/L), which was comparable to the control cyenopyrafen.
|
Download:
|
| Fig. 2. The insecticidal activity of pyrimidine amine compounds. | |
Pyrimidine compounds containing biphenyl ether, phenoxazole, and azepine structures showed significant insecticidal activity. For instance, compound 6 (Fig. 2) [15] showed 80% lethality against Mythimna separata and 69% lethality against Plutella xylostella at a concentration of 20 mg/L. Even at a reduced concentration of 4 mg/L, compound 6 still exhibited 40% lethality against Mythimna separata. The introduction of large-site-resistant substituted phenoxy groups was found to enhance the insecticidal activity of these compounds. Compounds 7–8 (Fig. 2) [25] displayed strong insecticidal activity against Aphis fabae and Tetranychus urticae, making them potential pesticide candidates. Among them, compound 7 showed a superior LC50 of 0.52 mg/L against Aphis fabae compared to the control imidacloprid (LC50 = 1.02 mg/L). Against Tetranychus urticae, compound 7 had an LC50 of 2.49 mg/L, which was similar to the commercial spirotetramat (LC50 = 2.27 mg/L). The ethyl group at the 4-position of the pyrimidine ring and the alkyl group as a sub-substituent of the benzene ring were found to contribute to the biological activity of compound 7. Compound 8 had an LC50 of 2.08 mg/L against Tetranychus urticae, which was better than the control spirotetramat. Compound 9 (Fig. 2) [26] exhibited good insecticidal activity against Aphis fabae, with an LC50 value of 0.42 mg/L, which was better than the control imidacloprid (LC50 = 0.51 mg/L). The position of substituents on the benzene ring had a significant impact on the activity against Aphis fabae, with the order of activity being 4-CH3 > 2,4-di-CH3 > 3-CH3, H > 2-Cl > 4-CF3 > 2,4-di-Cl > 4-C2H5 > 2-CH3. Compound 10 (Fig. 2) [27] was effective against various insects at a concentration of 200 mg/L, with insecticidal effects ranging from 61.3% to 80.9%. However, the effects were lower than those of the control chlorantraniliprole. Further structural modification and optimization of these compounds are expected to lead to the discovery of pesticide compounds with high insecticidal efficiency.
2.2. Pyrimidine sulfur (ether) compoundsThe introduction of heterocyclic and active molecular fragments into the pyrimidine structure is a common approach for the discovery of compounds with outstanding activity. Nokura et al. [28] introduced a triazole group at position 6 of the pyrimidine ring and optimized the molecular fragment substitution of the moiety attached to the methoxy linkage at position 4 of the pyrimidine ring, and synthesized the majority of the compounds with good insecticidal activity against Bemisia tabaci and Aphis gossypi. Among them, compound 11 (Fig. 3) showed a lethality of more than 90% against both Bemisia tabaci and Aphis gossypi at a concentration of 500 mg/L. The compounds were also found to have good insecticidal activity against the tobacco louse and the cotton aphid. In addition, the methoxyacrylate moiety has good bactericidal activity due to the methoxyacrylate group [29]. The Shenyang Research Institute of Chemical Industry introduced the β-methoxyacrylate group into the pyrimidine structure, resulting in compound 12 with excellent insecticidal activity against Tetranychus cinnabarinus and a bactericidal effect [30]. At a concentration of 0.626 mg/L, the lethality of compounds 12a and 12b (Fig. 3) against Tetranychus cinnabarinus was 90% and 95%, respectively, which was superior to that of the control agent pyriminostrobin. Meanwhile, compound 13 (Fig. 3) [31] exhibited excellent acaricidal activity against Tetranychus cinnabarinus. Among them, the larvicidal and ovicidal activities of compound 13a (Fig. 3) were almost twice those of fluacrypyrim at a concentration of 4 mg/L. The field test results showed that at a concentration of 100 mg/L, compound 13a had effectiveness of 96.61%, 97.36%, 96.25%, and 81.02% against citrus red mites after treating the crops for 3, 7, 10, and 20 days. It is notable that compound 13a demonstrated persistent, rapid, and effective control of Panonychus citri, with relatively low acute toxicity to mammals, birds, and bees. The conformational relationship indicated that the R substituent group on the pyrimidine structure had a more significant influence on the acaricidal activity, with an activity trend of CF3 > CHF2 > CH3 > C2H5. Compound 14 (Fig. 3) [32] exhibited good inhibitory activity against Tetranychus cinnabarinus and Aphis craccivora Koch, with 100% lethality at a concentration of 500 mg/L. Compound 15 (Fig. 3) [33] showed a significant effect against Aedes aegypti, with 70% lethality at a concentration of 2 mg/L.
|
Download:
|
| Fig. 3. The insecticidal activity of pyrimidine sulfur (ether) compounds. | |
Trifluoromethyl is a highly useful class of structural motifs as it can enhance the properties of drug absorption, distribution, metabolism, and excretion [4]. Based on this, numerous researchers have introduced trifluoromethyl groups into pyrimidine compounds. For example, compound 16 (Fig. 3) [34] exhibited 100% lethality against Plutella xylostella at a concentration of 5 mg/L. Notably, at a low concentration of 1 mg/L, compound 16 could still achieve 97% lethality against Plutella xylostella, which was superior to the control tolfenpyrad. At a concentration of 500 mg/L, compounds 17a and 17b (Fig. 3) [35] demonstrated better insecticidal activity against Mythimna separata and Spodoptera frugiperda. Compound 18 (Fig. 3) [36] showed moderate insecticidal activity against Mythimna separata and Spodoptera frugiperda at a concentration of 500 mg/L, with lethality of 86.67% and 90.00% respectively. The conformational relationship revealed that the introduction of the trifluoromethyl group on the pyrimidine structure was beneficial in increasing the insecticidal activity of the compounds. Compound 19 (Fig. 3) [37] showed excellent insecticidal effect against Plutella xylostella, with a 97% inactivation rate at a concentration of 10 mg/L, which was better than the control tolfenpyrad (93%). Additionally, compound 19 had low toxicity to beneficial organisms, was easy to degrade, and had good environmental compatibility. Compound 20 (Fig. 3) [38] showed good activity against Mythimna separata and Culex and had low toxicity to fish. Among them, compound 20a (Fig. 3), at concentrations of 600 mg/L and 200 mg/L, showed 100% lethality against Mythimna separata, and 60% lethality against Culex larvae at a concentration of 2 mg/L, while compound 20b (Fig. 3) showed 100% lethality against Culex larvae at a concentration of 25 mg/L.
2.3. Fused heterocyclic pyrimidinesFused heterocyclic pyrimidines are formed by combining pyrimidine rings with other aromatic or heterocyclic rings, especially in living organisms. They function as the bases of nucleic acids, vitamins, proteins, and alkaloids, playing important roles in biological activities [39]. Furthermore, heterocyclic pyrimidines have been used in the development of pesticide lead compounds, and several compounds with insecticidal effects have been identified in recent years [40,41]. Compound 21 (Fig. S2 in Supporting information) [42] effectively inactivated Aphis craccivora Koch at 500 mg/L, resulting in an 83.0% lethality rate. Meanwhile, compound 22 (Fig. S2) [43] demonstrated a strong inactivation effect on Mythimna separata, achieving a 100% inhibition rate at the same concentration of 500 mg/L. Compounds 23 and 24 (Fig. S2) displayed effective inactivation activity against Plutella xylostella at a concentration of 500 mg/L [44]. Additionally, compound 25 (Fig. S2) [45] exhibited strong insecticidal activity against both Aphis craccivora larvae and adults. Compounds 25a-25c (Fig. S2) demonstrated LC50 values of 1.051, 0.187, 0.840, and 1.295, 0.792, 2.975 mg/L against Aphis craccivora larvae and adults, respectively. Furthermore, compound 26 (Fig. S2) [46] exhibited outstanding insecticidal activity against Plutella xylostella, Mythimna separata, and Tetranychus cinnabarinus. Notably, both compounds 26a and 26b (Fig. S2) showed 100% lethality against Plutella xylostella at a 600 mg/L dose, whereas compounds 26b and 26c (Fig. S2) were 100% lethal against Tetranychus cinnabarinus at a 100 mg/L dose.
Mesoionic compounds, which bear a resemblance to fused heterocyclic pyrimidines and are susceptible to hydrolysis in both acidic and alkaline conditions, demonstrate remarkable insecticidal activity [47]. Earl accidentally discovered a stable crystalline compound during treatment experiments in 1935 and named it after sydnone [48]. Sydnone is an compound that forms a ring and supplies π-electrons to create an out-of-domain 6-electron system. This is particularly challenging to represent using a general valence bond structure. The concept of mesoionic compounds was later introduced to describe sydnone and its analogs [49]. Triflumezopyrim and dicloromezotiaz are two mesoionic compounds that have been commercialized. Triflumezopyrim is a nicotinic acetylcholine receptor antagonist used to control rice planthopper by blocking neurotransmission in the target pest. Dicloromezotiaz, on the other hand, acts as a nicotinic acetylcholine receptor channel antagonist and has excellent insecticidal activity against Plutella xylostella, Mythimna separata, and Myzus persicae.
Due to the exceptional insecticidal properties of mesoionic compounds and the presence of numerous modification sites in their structures, optimizing the group substitutions of R1 and R2 on the core ring of pyrido[1,2-a]pyrimidines can lead to the discovery of highly potent pesticide lead compounds. Cui [50] stated that compound 27 (Fig. S2) exhibited strong insecticidal activity towards aphids, along with an inhibitory impact on Potato virus Y (PVY). Zhang et al. [51] synthesized compound 28 (Fig. S2) with excellent insecticidal activity against Aphis craccivora and Sogatella furcifera by adding a benzo[b]thiophene structure at the R2 position of the core ring of pyrido[1,2-a]pyrimidine. Compound 28 had an LC50 of 1.82 mg/L against Aphis craccivora, outperforming triflumezopyrim (LC50 = 4.76 mg/L). It also showed inhibitory effects on ATPase, potentially affecting the central nervous system of aphids and interacting with acetylcholine receptors. The best insecticidal activity was observed when the chlorine atom substituted the halogen atom on the benzo[b]thiophene moiety, with the order of halogen substitution activity being Cl > F > Br. Compound 29 (Fig. S2) [52] exhibited significant insecticidal activity against Aphis craccivora, resulting in 92% mortality at a concentration of 100 mg/L. Compounds 30–32 (Fig. S2) showed both cross-spectrum insecticidal activity against multiple insect species and excellent efficacy against imidacloprid-resistant Nilaparvata lugens (Stal) [53]. Compound 33 (Fig. S2), which contains cyanoethyl, was developed by Nippon Kayaku Co., Ltd. [54]. Compound 33a (Fig. S2) demonstrated 100% lethality against Aphis gossypi at a concentration of 0.1 mg/L, outperforming the control agents triflumezopyrim and dicloromezotiaz. Compounds 33b and 33d (Fig. S2) showed 100% lethality against Nilaparvata lugens (Stal) at a concentration of 0.05 mg/L, which was better than the control agents. It was observed that attaching an electron-withdrawing group to the R-position of compound 33 enhanced its insecticidal activity. Additionally, attaching cyanoethyl to the pyrido-pyrimidine ring of compound 33 increased its activity. Yang et al. [55] introduced an indole substituent at the 1-position of pyrido[1,2-a]pyrimidine to synthesize compound 34 (Fig. S2), which exhibited good insecticidal activity against Aphis craccivora with an LC50 value of 2.97 mg/L, comparable to the positive control triflumezopyrim.
3. Herbicidal activity 3.1. Pyrimidine amine compoundsAmidosulfuron, bensulfuron-methyl, and chlorimuron-ethyl are herbicide pesticides with a pyrimidine amine structure. They all contain a sulfonylurea bridge structure, which inhibits the synthesis of amino acids during plant metabolism to achieve the herbicidal effect [56]. By introducing a sulfonylurea molecular fragment at position 2 of the pyrimidine ring, Pan et al. [57] enhanced the inhibitory activity of compound 35 (Fig. 4) against oilseed rape and Amaranthus retroflexus L. Compound 36 (Fig. 4) [58] showed higher herbicidal activity against monocotyledonous weed species compared to the commercial pesticides triasulfuron and nicosulfuron. With a dosage as low as 7.5 g/ha, compound 36a (Fig. 4) demonstrated strong herbicidal effects on Echinochloa crus-galli (L.) P. Beauv. and Digitaria sanguinalis in peanut fields, both pre-emergence and post-emergence. This compound could be a promising candidate for herbicides in peanut cultivation. Additionally, compound 37 (Fig. 4) exhibited 100% pre-emergence inhibitory activity against kale-type Brassica napus L. at a dose of 75 g (ai)/ha, comparable to monosulfuron and chlorsulfuron herbicides [59]. Compound 38 (Fig. 4) exhibited strong herbicidal activity against Digitaria sanguinalis L. and Amaranthus retroflexus L. Compound 38a (Fig. 4) inhibited oilseed rape root growth by 81.5% at 100 mg/L, outperforming the control tribenuron-methyl. Compound 38b (Fig. 4) showed an 81% inhibition rate on Digitaria sanguinalis L. root growth, surpassing the control bensulfuron. The study suggested that a small R substituent on the pyrimidine ring was advantageous for enhancing herbicidal activity, with the activity trend of compound 38 being Cl > OCH3 > CH3 [60].
|
Download:
|
| Fig. 4. The herbicidal activity of pyrimidine amine compounds. | |
The addition of groups such as formyl oxime, heterocycles, and fused heterocycles to the pyrimidine ring resulted in compounds with increased herbicidal activity. For instance, Lian et al. [61] incorporated a formyl oxime molecular fragment at the R position on the pyrimidine ring and discovered that compound 39 (Fig. 4) exhibited 100% growth control of Sagittaria trifolia L., Veronica polita Fries, and Echinochloa crus-galli (L.) P. Beauv. at a dose of 30 g (ai)/ha, surpassing the control, halauxifen-methyl significantly. Compound 40 (Fig. 4) [62] achieved 100% inhibition of oilseed rape stem and root growth, while the growth of radish stems was inhibited by over 70% at a concentration of 100 mg/L. Compounds 41a and 41b (Fig. 4) exhibited 100% herbicidal activity against pre-seedling Amaranthus retroflexus, Echinochloa crus-galli (L.) P. Beauv., Setaria viridis, and Stellaria media when applied at a rate of 320 g/ha [63]. Compound 42 (Fig. 4) [64] exhibited a wide-ranging herbicidal impact on various weeds, achieving 100%, 100%, 90%, and 90% inhibition of Echinochloa crusgali (Linn.), Amaranthus retroflexus L., Setaria faberi R. A. W. Herrmann, and Galium spurium L., respectively, at a dosage of 1000 g (ai)/ha. Compound 43 (Fig. 4) demonstrated effective control over field weeds in wheat and other crops. It requires a low application rate, delivers strong weed management, possesses long-lasting effects, low toxicity, and is non-irritating [65].
3.2. Pyrimidine sulfur (ether) compoundsAHAS is a crucial enzyme in the biosynthesis of branched-chain amino acids (isoleucine, leucine, and valine) [66]. If plants lack the three key amino acids, namely isoleucine, leucine, and valine, this will affect the synthesis of plant proteins and inhibit cell division, leading to weed tissue chlorosis, leaf yellowing, growth retardation, and ultimately gradual death [67]. Therefore, the design and synthesis of compounds that block AHAS in plants based on AHAS targets have significant value in controlling the growth of various weeds [68,69]. Li et al. [70] synthesized a series of pyrimidine biphenyl compounds with a good inhibitory effect on AHAS by optimizing the structure of the triazolopyrimidine salicylic acid group. Compounds 44a and 44b (Fig. 5) showed higher inhibitory activity against AHAS in Arabidopsis thaliana compared to bispyribac and flumetsulam. These compounds also demonstrated excellent herbicidal activity at the seedling stage, with compound 44a showing 100% and 87.5% herbicidal activity against Descurainia sophia and Ammannia arenaria, respectively, at a dose of 0.94 g/ha. Compound 44b showed 100% and 92.5% herbicidal activity against the same weeds, both higher than bispyribac. The structure-activity relationship indicated that the compounds with electron-donating groups exhibited more effective Arabidopsis thaliana (AtAHAS) inhibitory activity than those with electron-withdrawing groups.
|
Download:
|
| Fig. 5. The herbicidal activity of pyrimidine sulfur (ether) compounds. | |
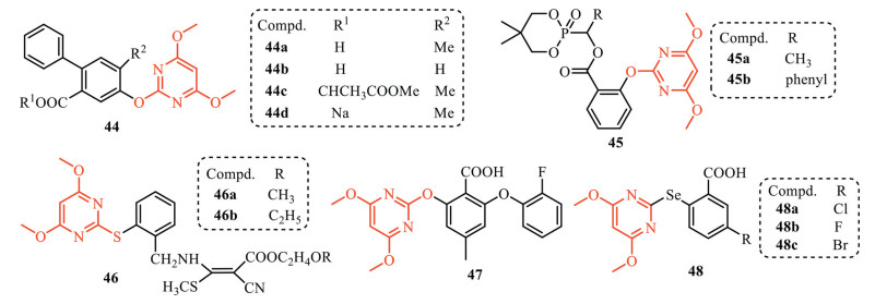
Zhang [71] introduced diaryl ethers to the methoxypyrimidine ring, resulting in the discovery of compound 45 (Fig. 5) with significant post-emergence herbicidal activity against monocotyledonous plants at a dose of 112.5 g (ai)/ha. Furthermore, due to their strong biological activities, cyanoacrylate compounds are highly valued [72]. Dai et al. [73] then added 2-cyanoacrylate active units to the pyrimidine ring to design and synthesize compound 46 (Fig. 5). Compounds 46a and 46b (Fig. 5) exhibited 90% and 100% herbicidal activity against Brassica juncea, Stellaria media, and Chenopodium serotinum L. when applied at a dose of 1500 g/ha. Notably, at a lower dose of 375 g/ha, compound 46b showed inhibition rates of 90%, 80%, and 90% on the stems and leaves of Brassica juncea, Stellaria media, and Chenopodium album, respectively. Furthermore, compound 47 (Fig. 5) [74] demonstrated herbicidal activity exceeding 80% against Descurainia sophia at a dose of 150 g/ha. Compound 48 (Fig. 5) [75] effectively controls graminaceous weeds and broadleaf weeds such as barnyard grass, Echinochloa crus-galli (L.) P. Beauv., Portulaca oleracea L., Eleusine indica, Setaria viridis. It is environmentally friendly, low in toxicity, and safe for cotton crops. Compounds 48a-48c (Fig. 5) showed better inhibitory activity against Echinochloa crus-galli (L.) P. Beauv., Eleusine indica, and Portulaca oleracea compared to the reference substance pyrithiobac-sodium at a concentration of 10 mg/L. Compounds containing fluorine, chlorine, and bromine were more effective than those containing methyl and methoxy compounds. Carboxyl para-group compounds exhibited slightly better herbicidal effects than meta-group compounds.
3.3. Pyrimidine diketone compoundsProtoporphyrin PPO-based herbicides work by causing the buildup of protoporphyrin Ⅸ in plant cells, which causes protoporphyrinogen Ⅸ to leak into the cytoplasm. This disrupts plant photosynthesis, leading to the peroxidative destruction of cell membranes and plant death [76]. PPO-based herbicides stand out from other herbicides due to their low dosage, broad herbicidal spectrum, fast effect, long-lasting effect, and low environmental impact [77,78]. Hence, through the manipulation of intermediate derivatization, substitution, structural modification, and active molecule splicing, the addition of different active groups with herbicidal effects to the 5th position of the benzene ring connected to the N of the 3rd position of the pyrimidinedione of the chemical general formula 49 (Fig. S3 in Supporting information) is projected to unveil innovative and highly effective PPO-inhibiting herbicides [79].
Liu et al. [80] introduced isoxazoline into the pyrimidine diketone framework and observed that compound 50 (Fig. S3) provided excellent control efficacy against glyphosate-resistant weeds Eleusine indica (L.) Gaertn. and Conyza canadensis (L.) Cronq. Compound 51 (Fig. S3) [81] demonstrated good to excellent herbicidal activity against broadleaf weeds, achieving up to 100% preemergence control of Echinochloa crus-galli (L.) P. Beauv. at a dosage of 150 g (ai)/ha, suggesting its potential as a lead compound in the search for preemergence herbicides. Lian [82] synthesized compound 52 (Fig. S3) by adding an oxime ether ester structure at position 5 of the N-linked benzene ring at position 3 of pyrimidinedione. This compound was highly effective against weeds Descurainia sophia (L.) Webb ex Prantl. and Cyperus rotundus L. with a low application dose of 7.5 g (ai)/ha. Compound 53 (Fig. S3) [83] exhibited strong herbicidal efficacy at 25 g (ai)/ha against both broadleaf and grass weeds, similar to saflufenacil. The structural relationship analysis indicated that the herbicidal potency of the compounds tended to increase significantly with the presence of an aliphatic side chain of the acrylate group linked by a sulfide bond in the benzene ring of compound 53. At a dosage of 25 g (ai)/ha, compound 54 (Fig. S3) [84] displayed superior herbicidal efficacy against Digitaria sanguinalis (L.) Scop. and Echinochloa crus-galli (L.) P. Beauv. compared to the control drug, saflufenacil, showcasing its broad-spectrum activity. The addition of a cyclopropyl group via a thioether bond at the 5th position of the benzene ring connected to N at the 3rd position of pyrimidinedione increases the herbicidal effectiveness of the compound. Compound 55 (Fig. S3) [85] has shown herbicidal activity of over 90% against Abutilon juncea, Amaranthus retroflexus, Eclipta prostrata, and Digitaria sanguinalis (L.) Scop. at a dose of 37.5–150 g (ai)/ha, while also displaying high tolerance to rice. The structure-activity relationship indicates that adding methyl groups to the sulfur atom and the carbonyl methylene group can enhance the hydrogen bonds of the ring system, decrease the metabolic rate of rice, increase the binding affinity of the target molecule, and improve biological activity. However, extending the carbon chain does not improve herbicidal activity. Compounds 56 and 57 (Fig. S3) [86] showed effective herbicidal activity against various weeds such as Echinochloa crus-galli (L.) P. Beauv., Digitaria sanguinalis (L.) Scop., Setaria Viridis L., Abutilon theophrasti Medicus, Amaranthus retroflexus L., and Veronica polita Fries at doses between 37.5 and 150 g (ai)/ha. Compound 57, at a low dose of 16 g/ha, displayed outstanding herbicidal activity against Amaranthus retroflexus L., Veratrum album, and Setaria Viridis L.. Yang et al. [87] discovered a potential compound 58 (Fig. S3) for weed control in corn fields. At a dosage of 75 g (ai)/ha, it achieved 100% inhibition of Capsella bursa-pastoris (L.) Medik., Amaranthus retroflexus L., and Abutilon theophrasti Medicus. The herbicidal activity of the compound was found to increase with the electron-withdrawing capacity of the halogen atom on the monohalogen monosubstituted benzene ring.
3.4. Fused heterocyclic pyrimidinesIn recent years, there have been fewer reports on fused heterocyclic pyrimidines with herbicidal activity. However, herbicide pesticides such as strongarm, cloransulam-methyl, and florasulam, which contain triazole active groups, inhibit photosynthesis in plants and hinder carotenoid synthesis to achieve their herbicidal effect [88]. Prolonged use of these herbicides can lead to weed resistance. These compounds are known for their high efficiency, quick action, and low toxicity [89,90]. Wang et al. [91] introduced triazoles onto pyrimidine heterocyclic structures, leading to the discovery of compound 59 (Fig. S4 in Supporting information). Compound 59a (Fig. S4) demonstrated 100% inhibition of radish roots and stems, as well as more than 60% inhibition of oilseed rape root growth. Similarly, compound 59b (Fig. S4) exhibited 100% inhibition of radish roots and oilseed rape stems at a concentration of 100 mg/L. Compound 60 (Fig. S4) [92] proved to be effective against both monocotyledonous and dicotyledonous plants. Compounds 60a-60f (Fig. S4) displayed excellent herbicidal activity against monocotyledonous plants such as Triticum aestivum L., Echinochloa crus-galli (L.) P. Beauv., and Sorghum bicolor L., as well as dicotyledonous plants including radish, oilseed rape, and cucumber. At a concentration of 100 mg/L, these compounds achieved 100% inhibition of root and stem length in the test plants.
Yang et al. [93,94] identified compounds 61–62 (Fig. S4) as having remarkable herbicidal activity through the introduction of the heterocyclic structure of oxazinones onto the heterocyclic structure of pyrimidines. Compound 61 (Fig. S4) [93] demonstrates broad-spectrum herbicidal effects on Amaranthus retroflexus, Medicago sativa, Eclipta prostrata, Ipomoea nil, Chloris virgata, and Setaria italica at a dosage of 37.5–150 g (ai)/ha. Its herbicidal activity is similar to that of the commercial herbicide flumioxazin when it is used post-emergence and pre-emergence. Compound 62 (Fig. S4) [94] exhibits strong herbicidal activity against various weed species at a dosage of 37.5–150 g (ai)/ha. It is particularly effective against Amaranthus retroflexus, Abutilon juncea, Echinochloa crus-galli (L.) P. Beauv., and Digitaria sanguinalis (L.) Scop. Compound 62 has a high inhibitory effect on the mitochondrial protoporphyrinogen oxidase of tobacco (NtPPO) with a Ki value of 2.5 nmol/L, which is significantly higher than that of the control drugs trifludimoxazin (Ki = 31 nmol/L) and flumioxazin (Ki = 46 nmol/L). It is also safe for use on corn crops. The structure-activity relationship suggests that adding hydrophobic groups at position 2 of the benzoxazinone moiety improves the compound's activity. However, excessive steric hindrance from the added group can reduce its herbicidal effectiveness. The incorporation of fluorine atoms into the molecule enhances the compound's lipophilicity and thermal stability.
4. Antifungal activity 4.1. Pyrimidine amine compoundsSince the introduction of the first fungicide pesticide containing a pyrimidine structure, mepanipyrim, there have been advancements in the development of highly active pyrimidine amine compounds such as diflumetorim and pyrimethanil. Diflumetorim is effective against cucumber downy mildew and wheat powdery mildew at a lower dose, but less effective against corn rust. Pyrimethanil may cause phytotoxicity symptoms on eggplants. However, pyrimidine amine fungicides are known for their high efficacy, low toxicity, unique mechanism of action, and strong impact on diseases caused by Botrytis cinerea [95]. It is evident that adding active groups to the pyrimidine structure is a promising approach for discovering new pyrimidine amine fungicide compounds.
For instance, Guan et al. [96] substituted the 1-(4-(difluoromethoxy)phenyl)propyl group attached to N in the diflumetorim molecule with 2-(6-phenoxypyridin-3-yl)ethan-1-amine, leading to the identification of compound 63 (Fig. 6). The inhibitory activity of compound 63a against cucumber downy mildew (EC50 = 0.19 mg/L) was notably better than that of diflumetorim (half maximal effective concentration (EC50) = 23.06 mg/L), flumorph (EC50 = 7.77 mg/L), and cyazofamid (EC50 = 1.01 mg/L). Additionally, it showed significant inhibitory activity against southern corn rust and wheat powdery mildew. The structural relationships indicated that the substitution position of the chlorine atom on the phenyl group had a strong influence on the antimicrobial activity of the compounds. Subsequent structural optimization showed that compound 63b with a difluoromethyl group exhibited better inhibitory activity against downy mildew (EC50 = 0.10 mg/L) compared to compound 63a (EC50 = 0.19 mg/L) and common fungicides like diflumetorim, dimethomorph, and cyazofamid (EC50 = 1.01–23.06 mg/L). The field efficacy of compound 63b was also superior to compound 63a, cyazofamid, and flumorph, making it a potential candidate as a fungicide [97]. Following the structural optimization of compound 63b in the same year, Guan et al. [98] observed that compound 64 (Fig. 6) demonstrated an EC50 value of 2.16 mg/L against southern corn rust, surpassing the control diflumetorim (EC50 = 53.26 mg/L). It was deemed a promising lead compound for antirust purposes. The conformational relationship indicated that enhancing the fungicidal activity of compound 64 was favored by adding an electron-donating group at the para-position of the benzene ring, an electron-withdrawing group at the meta-position of the benzene ring, and substituting the pyrimidine amine group at the 4-position on the pyridine ring. Yan et al. [99] added the pyrimidine ring containing the phenyl thiazole group to pyrimidine ring 2 of diflumetorim, and discovered that compound 65 (Fig. 6) had a greater effect on the antimicrobial activity of Puccinia sorghi (EC50 = 0.93 mg/L) and Blumeria graminis (EC50 = 1.24 mg/L) compared to diflumetorim, tebuconazole, and flusilazole. The cytotoxicity tests revealed that compound 65 was less toxic than diflumetorim. Compound 66 (Fig. 6) [100] demonstrated outstanding fungicidal activity against Pseudoperonospora cubensis (EC50 = 0.422 mg/L), surpassing the effectiveness of commercially available fungicides such as cyazofamid, flumorph, and diflumetorim. The activity of the entire molecule is thought to be boosted by the presence of the substituted F atom on the phenyl ring in compound 66. Additionally, compound 67 (Fig. 6) [101] demonstrated control efficacy exceeding 80% against cucumber downy mildew, wheat powdery mildew, and colletotrichum orbiculare.
|
Download:
|
| Fig. 6. The antifungal activity of pyrimidine amine compounds. | |
Introducing heterocyclic, phenyl, and fused heterocyclic groups into the pyrimidine structure has notably led to the discovery of pyrimidine amine compounds 68–71 (Fig. 6) with superior fungicidal activity. At a concentration of 500 mg/L, compound 68 [102] with a piperazine structure demonstrated more than 90% inhibition of all multi-dominant Corynebacterium species. Moreover, it surpassed the control thiophanate-methyl (68.71%) with an 80.63% inhibitory rate against cucumber downy mildew. Compound 69 (Fig. 6) [103] exhibited effective bacteriostatic activity against wheat powdery mildew and corn rust, with EC50 values of 0.16 and 1.14 mg/L, respectively. These values were notably superior to fungicides like valconazole, while also demonstrating low toxicity to mice. Compound 70 (Fig. 6) [104] exhibited broad-spectrum bactericidal activity against Botrytis cinerea, Rhizoctonia solani, Fusarium oxysporum, Alternaria solani, and Gibberella zeae. Compound 71 (Fig. 6) [105], which contains 1,3,4-oxadiazole, shows a favorable inhibitory rate against Botryosphaeria dothidea. Compound 71a (Fig. 6) inhibits Botryosphaeria dothidea by 90.5% at a concentration of 50 mg/L, while compound 71b (Fig. 6) inhibits it by 85.2% at the same concentration.
4.2. Pyrimidine sulfur (ether) compoundsAzoxystrobin is a common pyrimidine sulfur (ether) fungicide, known for its wide-ranging fungicidal properties, effective systemic conductivity, and extended persistence period. Yet, as its use becomes more frequent, an escalating number of pathogenic fungi are developing resistance to it. Moreover, it poses a danger to bees, fish, and other organisms [106]. To tackle the problem of fungal resistance to pesticides, it is essential to develop and produce pyrimidine sulfur (ether) compounds that are environmentally friendly, effective, and harmless to non-target organisms.
Compounds 72–73 (Fig. 7) were discovered to have enhanced fungicidal activity by incorporating plant-derived ferulic acid and myricetin active substances into the pyrimidine structure [107,108], based on the concept of green pesticides. Among them, compound 72a (Fig. 7) demonstrated excellent antifungal activity against Phomopsis sp. with an EC50 value of 12.64 mg/L, which was better than that of pyrimethanil (EC50 = 35.16 mg/L) and hymexazol (EC50 = 27.01 mg/L). Compound 72b (Fig. 7) exhibited potent antimicrobial activity against Xanthomonas axonopodis in vitro, demonstrating an inhibition rate of 85.76%, surpassing that of thiodiazole copper (76.59% at 100 mg/L). Compound 73a (Fig. 7) displayed an outstanding inhibitory effect against X. axonopodis (EC50 = 15.5 mg/L) and Xanthomonas oryzae (EC50 = 14.9 mg/L). Its therapeutic (42.4%) and protective (49.2%) effects against Xanthomonas oryzae were superior to those of bismerthiazol (35.2%) and thiadiazole copper (30.8%). Compound 73b (Fig. 7) showed significant antimicrobial activity against Ralstonia solanacearum (EC50 = 14.7 mg/L), which was better than bismerthiazol (EC50 = 71 mg/L) and thiadiazole copper (EC50 = 52.7 mg/L). Zhang et al. [109] utilized an intermediate derivatization method to replace the methoxy acrylate in azoxystrobin with 1-(4-chlorophenyl)-1H-pyrazol-3-ol, resulting in compound 74 (Fig. 7). This compound exhibited strong fungicidal activity against cucumber downy mildew (EC50 = 1.22 mg/L), outperforming diflumetorim (EC50 = 23.06 mg/L) and flumorph (EC50 = 7.77 mg/L). The positioning of an electron-withdrawing substituent in the para-position of the phenyl ring and the attachment of the pyrimidine ether group to the 3-position of the pyrazole ring were identified as key factors in enhancing fungicidal activity.
|
Download:
|
| Fig. 7. The antifungal activity of pyrimidine sulfur (ether) compounds. | |
Tang et al. [110] synthesized a series of trifluoromethylated compounds 75 (Fig. 7), including compounds 75a and 75b (Fig. 7), which exhibited higher activity against Phytophthora sojae (96.3% and 96.0% respectively) compared to the control, azoxystrobin (86.3%). Compound 75a showed a notable inhibitory impact on Rhizoctonia solani, similar to azoxystrobin. Wang [111] synthesized compound 76 (Fig. 7) with a disulfide bond by adding an allicin disulfide bonding functional group to the pyrimidine structure. Compound 76a (Fig. 7) exhibited good in vitro inhibitory activity (EC50 = 5.92 mg/L) against Monilinia fructicola, affecting the growth of its mycelium by inducing contraction, disrupting the plasma membrane integrity, and causing cellular content damage and leakage. Compound 76b (Fig. 7) showed better inhibitory effects against Xanthomonas oryzae compared to the positive control thiodiazole copper. By introducing a quinoline moiety into the pyrimidine structure, Zhang et al. [112] discovered that compound 77 (Fig. 7) exhibited effective in vitro antibacterial activity against Valsa mali and Sclerotinia sclerotiorum with EC50 values of 0.71 and 2.47 mg/L, respectively. Moreover, at 50 µmol/L, compound 77 demonstrated a 68.08% inhibition of chitinase synthase, surpassing polyoxin D (63.84%).
The introduction of reactive groups such as the sulfonic acid group, the trifluoromethyl group, the phenyl group, the phenoxy group, and the fused heterocyclic ring into the pyrimidine structure resulted in the discovery of compounds 78–80 (Fig. 7) with outstanding bactericidal activity. For example, compound 78 (Fig. 7) containing the sulfonic acid group exhibited potent inhibitory effects against Xanthomonas oryzae (EC50 = 4.24 mg/L) and X. axonopodis (EC50 = 70.8 mg/L) [113]. Its antimicrobial mechanism involves causing contraction and rupture of the cell walls of the pathogens, leading to their destruction. Furthermore, compound 78 was found to enhance the activity of enzymes in rice, thereby boosting its disease resistance. Compound 79 (Fig. 7) [114], which includes phenoxypropionic acid, demonstrated outstanding bactericidal effectiveness at 400 mg/L against cucumber downy mildew and Phytophthora infestans, resulting in a 100% inactivation rate. The benzimidazole fused heterocyclic compound 80 (Fig. 7) [115] exhibited a remarkable antifungal effect against Botrytis cinerea. The EC50 values of compounds 80a-80i (Fig. 7) against Botrytis cinerea varied from 0.13 mg/L to 0.24 mg/L, which are similar to or greater than those of carbendazim (EC50 = 0.21 mg/L). Compound 80e (Fig. 7) exhibited the most potent activity against Botrytis cinerea, with an EC50 of 0.13 mg/L. The conformational relationship demonstrated that the bactericidal activity was greatly impacted by the type of substituents R1 and R2, with the activity at the R1 position following the trend OCH3 > Cl > H. Compounds possessing substituents 4-FC6H4 or 4-CH3OC6H4 at the R2 position of compound 80 demonstrated strong activity, whereas compounds containing an alkyl group or lacking a substituent in the benzene ring displayed relatively low activity.
4.3. Fused heterocyclic pyrimidinesIn recent years, many fused heterocyclic pyrimidines with fungicidal activity have been documented. For instance, Sun et al. [116] discovered that the pyrazolyl-containing pyrimidine compound 81 (Fig. S5 in Supporting information) exhibited an excellent fungicidal effect against cucumber downy mildew. At a concentration of 25 mg/L, compound 81 achieved 100% efficacy against cucumber downy mildew in all instances. At a lower dose of 12.5 mg/L, compounds 81a and 81b (Fig. S5) showed efficacies of 80% and 90% against cucumber downy mildew, respectively. Moreover, compound 81a exhibited 100% and 80% efficacy against wheat powdery mildew and corn rust at a concentration of 400 mg/L. Wang et al. [117] discovered that compound 82 (Fig. S5), containing pyrazolo[3,4-d]pyrimidin-4-one, demonstrated an EC50 of 1.93 mg/L against Valsa mali Miyabe et Yamada, surpassing the control boscalid (6.71 mg/L). Following this, a chiral group was added to compound 82, resulting in the identification of two chiral configurations, compounds 83a and 83b (Fig. S5). Compound 83a exhibited notable inhibitory effects on Cytospora sp and Botryosphaeria dothidea, with EC50 values of 0.22 and 0.55 mg/L, respectively. The conformational relationship indicated that altering the phenyl portion had a significant influence on antifungal activity when the substituents at position 4 on the pyridine ring were identical. Compound 83 (Fig. S5) showed a significant impact on fungicidal activity, with the activity trend Cl > F > CH3 > H. At a concentration of 20 mg/L, compound 84 (Fig. S5) [118] showed potent inhibitory activity against phytopathogenic fungi and bacteria, resulting in 100% inhibition of Botrytis cinerea Pers and 96% inhibition of Thielaviopsis basicola. Compound 85a (Fig. S5) showed inhibitory activity of 96.6% against Botrytis cinerea Pers and 100% against Magnaporthe oryzae. Meanwhile, compound 85b (Fig. S5) exhibited inhibitory activity of 100% against Potato Blackleg and 93.4% against Botrytis cinerea Pers.
Mesoionic compounds with a structure resembling pyrimidine heterocycles exhibit beneficial bactericidal activity. For example, compound 86 (Fig. S5) [119] exhibited superior in vitro antimicrobial efficacy against Xanthomonas oryzae with an EC50 of 1.1 mg/L, surpassing both bismerthiazol (EC50 = 92.7 mg/L) and thiodiazole copper (105.4 mg/L). The greenhouse pot experiment showed that compound 86 had protective and therapeutic activities of 75.12% and 72.04% against Xanthomonas oryzae, outperforming bismerthiazol (62.24% and 50.83%, respectively) and thiodiazole copper (53.35% and 65.04%, respectively). The presence of various 4-hydroxybenzaldehyde substituents on the pyrido[1,2a]pyrimidinone mesoionic framework was found to impact antimicrobial activity. Electron-donating substituents were shown to have better activity than electron-withdrawing substituents. Compounds 87–88 (Fig. S5) [120] exhibited exceptional in vitro antimicrobial activity against Xanthomonas oryzae. With an EC50 of 27.5 mg/L against Xanthomonas oryzae, compound 87 (Fig. S5) showed superiority over the positive control thiodiazole copper (EC50 = 97.1 mg/L). Compound 87 showed a therapeutic effect of 38.5% and a protective effect of 36.8% against Xanthomonas oryzae at a concentration of 100 mg/L, surpassing thiodiazole copper (31.2% and 32.6%). In comparison, compound 88 (Fig. S5) exhibited a therapeutic activity of 29.6% and a protective activity of 33.2% against Xanthomonas oryzae, similar to the control thiodiazole copper. Compound 87 is believed to boost chlorophyll levels in rice plants, making them more resistant to bacterial attacks by adjusting the photosynthetic process and increasing the activity of defense enzymes.
Furthermore, compound 89 (Fig. S5) [121] demonstrated strong in vitro antimicrobial activity, with EC50 values of 47.6 and 36.8 µmol/L against Xanthomonas oryzae and X. axonopodis respectively. It outperformed the control agents thiodiazole copper (281 and 259 µmol/L) and bismerthiazol (245 and 220 µmol/L). In the in vivo pot experiment, compound 89 showed protective activities of 39.7% and 49.2% against Xanthomonas oryzae and X. axonopodis respectively, surpassing bismerthiazol (31.5% and 40.7%). During the initial exploration of its mechanism of action, compound 89 was discovered to enhance the activity of defense enzymes and up-regulate the expression of succinate dehydrogenase in the oxidative phosphorylation pathway in rice. Compound 90 (Fig. S5) [122] demonstrates excellent antibacterial efficacy against Xanthomonas oryzae and X. axonopodis, with EC50 values of 10.9 and 17.5 mg/L respectively, surpassing those of bismerthiazol (29.3 and 39.8 mg/L) and thiodiazole copper (64.8 and 78.1 mg/L). Moreover, compound 90 exhibits protective effects against bacterial leaf blight and bacterial leaf streak at 43.9% and 41.7% respectively, outperforming thiodiazole copper (40.6% and 35.0%).
5. Antiviral activityPlant virus diseases are highly damaging disorders that affect crops such as rice, tobacco, and vegetables, leading to significant economic losses [123]. Currently, only a few commercial agents, such as ningnanmycin, ribavirin, physcion, moroxydine, lentinan, and chitosan, are used to control these diseases. However, their effectiveness is limited, and there is a scarcity of effective anti-plant virus agents [124]. In recent years, there have been few reports on potent antiviral compounds with pyrimidine structures [125].
5.1. Pyrimidine amine compoundsThe main emphasis in research has been on the substitution of groups within the pyrimidine structure to study the antiviral activity of compounds [126]. Compound 91 (Fig. 8) [127], which contains β-amino acid esters, showed 56.1% therapeutic activity, 70.7% inactivation activity, and 95.7% protective activity against tobacco mosaic virus (TMV) at a concentration of 500 mg/L. This performance exceeded that of the commercially available ningnanmycin, which had 52.6% therapeutic activity, 62.0% inactivation activity, and 90.2% protective activity. Compound 92 (Fig. 8) [128] with chiral β-amino acid esters demonstrated excellent antiviral activity against TMV. It achieved 52.7%, 61.2%, and 91.4% therapeutic, protective, and blunting effects against TMV, outperforming the control drug ningnanmycin (49.2%, 57.3%, and 86.4%). In addition, compounds lacking substituents on the benzene ring of compound 92 exhibited extremely low antiviral activity. Compound 93 (Fig. 8) [129], which includes the piperazine moiety, exhibited strong antiviral activity against the TMV virus. It displayed therapeutic (48.9%), protective (74.1%), and inhibitory activity (65.1%) against TMV at a concentration of 500 mg/mL. Molecular docking studies suggested that compound 93 could interfere with the self-assembly and replication of TMV, resulting in exceptional antiviral efficacy. Compound 94 (Fig. 8) [130], with a morpholino-guanidine structure, showed excellent antiviral activity against TMV. It inhibited necrotic spot formation induced by TMV in Nicotiana glutinosa, reduced the accumulation of motility-deficient TMV in plants, and decreased viral RNA accumulation in tobacco protoplasts. RNA sequencing revealed significant changes in genes and pathways related to stress response, defense response, signal transduction, phytohormone response, and metabolism. Molecular docking suggested that compound 94 could bind to TMV deconjugase and capsid proteins.
|
Download:
|
| Fig. 8. The antiviral activity of pyrimidine compounds. | |
The pyrimidine ring can be used in drug design to improve pharmacological activity through bioelectronic isoexclusion principles [131,132]. Zu et al. [133] synthesized compound 95 (Fig. 8) by using xiangcaoliusuobingmi (XCLSBM) as the lead compound and pyrimidine as the intermediate linking group through the active molecule splicing method. Testing showed that compound 95 had strong inactivation activity against tomato spotted wilt virus (TSWV), with an EC50 value of 144 mg/L, outperforming ningnanmycin (EC50 = 149 mg/L) and the lead compound XCLSBM (EC50 = 525 mg/L). The microscale thermophoresis assay results revealed that compound 95 has a stronger binding affinity to TSWV-CP (Kd = 4.4 µmol/L) than ningnanmycin (Kd = 6.2 µmol/L) and XCLSBM (Kd = 59.1 µmol/L), indicating its promise as a potential antiviral drug candidate. Zan et al. [134] found compound 96 (Fig. 8) to have strong antiviral effects against tomato chlorosis virus (ToCV) by incorporating trobilurin pharmacophore and disulfide acetal molecular fragments with a pyrimidine spacer group. Microcalorimetry results indicated that compound 96 exhibited a potent binding effect on the coat protein of tomato chlorosis virus ToCV CP with dissociation constants (Kd) of 0.09 and 0.06 µmol/L, which were lower than those of ningnanmycin (0.19 µmol/L) and ribavirin (6.54 µmol/L). This compound was able to inhibit the virus's proliferation and metastasis effectively. Moreover, in vivo studies showed that compound 96 effectively reduced the expression of the Nicotiana benthamiana ToCV CP gene, suggesting that pyrimidine sulfides with dithiopyrimidine acetal and strobilurin components are important for anti-ToCV drug development. Pan et al. [135] discovered that compound 97 (Fig. 8), containing a 1,3,4-oxadiazole thioether, demonstrated significant protective activity against TMV in vivo, with an EC50 value of 0.42 µmol/L, surpassing ningnanmycin (0.60 µmol/L).
5.3. Fused heterocyclic pyrimidinesThienopyrimidines and pyridopyrimidines play a significant role in organic synthesis, and their derivatives commonly display a range of biological activities, such as anti-inflammatory and antiviral effects [136,137]. Wang [138] synthesized compound 98 (Fig. 8), a thienopyrimidine-containing compound, using active molecule splicing. Compound 98 showed promising activities in treating, protecting against, and inactivating TSWV, with EC50 values of 252.8 mg/L for protection activity and 113.5 mg/L for inactivation activity. These values were better than those of ningnanmycin and XCLSBM. The anti-TSWV activity of compound 98 was linked to the activities of defense-related enzymes such as peroxidase (POD), catalase (CAT), phenylalanine ammonia lyase (PAL), and superoxide dismutase (SOD), which could enhance photosynthesis and reduce stress response, ultimately improving disease resistance. Wang [139] synthesized compound 99 (Fig. 8) with a pyrazole-pyrimidine ring structure, showing 93% inactivation of TMV, higher than the commercial reagent ningnanmycin (90%). The conformational relationship revealed that incorporating thiophene could significantly improve the efficacy of the compounds. During molecular dynamics simulations, it was discovered that compound 99 can form strong hydrophobic interactions with the amino acid residues Trp 352, Tyr 139, and Asn 73 in the active pocket of TMV-CP, thereby disrupting viral self-assembly.
Purines play a crucial role in human and plant health as significant endogenous substances. Moreover, natural purines and their derivatives have been valuable sources of pesticide compounds due to their novel structures [140]. Song's team found multiple antiviral activities associated with purine-containing structural compounds. For instance, at 500 mg/L concentration, compounds 100a and 100b (Fig. 8) [141] exhibited remarkable therapeutic and protective activities against potato virus Y (PVY) (52.5%, 60.0%) and cucumber mosaic virus (CMV) (52.0%, 60.2%), exceeding the efficacy of ningnanmycin, ribavirin, and chitosan oligosaccharide. Notably, compound 100a (EC50 = 48.8 mg/L) showed superior inactivation activity against TMV compared to ningnanmycin (EC50 = 84.7 mg/L), ribavirin (150.4 mg/L), and chitosan oligosaccharide (521.3 mg/L). The conformational relationships showed that the electron-donating group is more effective than the electron-withdrawing group for anti-TMV therapeutic activity when the substituent group on the benzene ring is positioned at the 4-position. Compound 101 (Fig. 8) [142] showed better protection against CMV and PVY with EC50 values of 137 and 209 mg/L respectively, surpassing the control ningnanmycin (EC50 values of 508 mg/L for CMV and 431 mg/L for PVY). The protective activity of the compounds against CMV decreased significantly when the Br atom in the para-position of the benzene ring was replaced by the Cl atom. It tended to decrease initially and then increase when the para-position of the benzene ring was substituted by F, Cl, and Br atoms. Compound 102 (Fig. 8) [140] exhibited effective therapeutic, protective, and inactivating properties against tobacco mosaic virus. EC50 values of 452.4 mg/L (therapeutic activity), 416.2 mg/L (protective activity), and 241.2 mg/L (inactivation) were observed for compound 102a (Fig. 8) against tobacco mosaic virus. For compound 102b (Fig. 8), the EC50 values against the virus were 438.7 mg/L (therapeutic), 418.6 mg/L (protective), and 261.7 mg/L (inactivation), all lower than those of ribavirin. The conformational relationship implies that the introduction of appropriate compact electron-withdrawing groups on the aromatic ring enhances the anti-TMV activity of the compounds. Compound 103 (Fig. 8) [143] exhibited remarkable therapeutic effectiveness against CMV. The EC50 values of compound 103a-103d were 0.3011, 315.7, 282.3, and 230.5 mg/L respectively, surpassing dufulin (373.7 mg/L) and ribavirin (726.3 mg/L). The fluorescence spectroscopy titration results showed that compound 103a exhibited a higher binding ability to TMV CP (Ka = 1.95 × 105 L/mol) compared to dufulin (Ka = 2.40 × 104 L/mol) and ribavirin (Ka = 3.31 × 103 L/mol).
6. Plant growth regulatorsPlant growth regulators, whether synthetic chemicals or natural hormones extracted from plants, are substances that control the growth and development of plants. Some common commercial plant growth regulators with pyrimidine structures include ancymidol and 6-BA (Fig. 9). Ancymidol is absorbed by the roots, stems, and leaves of plants and is subsequently carried through the phloem to the actively growing meristematic regions. This action hinders the biosynthesis of gibberellin, ultimately leading to the suppression of internode elongation [144]. The main role of 6-BA is to promote bud formation, and it can also stimulate callus development [145].
|
Download:
|
| Fig. 9. Plant growth regulators of pyrimidine compounds. | |
Despite the limited literature on plant growth regulators containing pyrimidine structures, there have been a few with superior activity in recent years. For example, compound 104 (Fig. 9) [146], which has a growth hormone-like function, demonstrates growth regulating activity in tomato at a concentration of 10–9 mol/L. Compounds 105 and 106 (Fig. 9) [147], possessing both cytokinin and growth hormone functions, stimulate the growth and development of soybean, wheat, flax, and pumpkin plants at a concentration of 10–9 mol/L. Compound 107 (Fig. 9) [148] exhibits outstanding cytokinetic activity, making it a valuable resource for promoting rooting, strengthening seedlings, increasing yields, and enhancing the quality of various crops and plants such as grains, cotton, fruits, and vegetables. It can be applied through seed treatment or spraying on roots and stems. The use of uridine analogs can improve stress tolerance, reduce stress, repair stress-induced damage, and prevent stress. In addition, compound 108 (Fig. 9) [149] has been proven to boost the growth and yield of tomatoes. It raised the germination rate of tomato seeds from 18.9% to 38.6%, seedling height from 29.9% to 70.1%, yield from 20.5% to 56.8%, and the average weight of the fruit from 3.8% to 16.3% at a concentration of 0.1%.
7. Summary and outlookOver the last decade, scientists have developed numerous pyrimidine analogs with different biological functions through intermediate derivatization, structural substitution, and active molecule splicing methods. These novel analogs exhibit high activity, selectivity, and low toxicity in areas such as insecticidal, herbicidal, fungicidal, and antiviral properties.
By incorporating active groups such as heterocycles, fused heterocycles, amides, acyl ureas, thioethers, phenyl (oxy) groups, trifluoromethyl, and halogens onto pyrimidine heterocycles, the structure-activity relationship of pyrimidine compounds can be improved, leading to expanded possibilities for research and development of pyrimidine analog pesticides. In addition, by utilizing the concept of green pesticides, combining plant-derived natural active substances such as ferulic acid, myricetin, vanillin, ethylicin, and salicylic acid with pyrimidine heterocyclic rings is a key method for creating biologically active compounds with minimal toxicity and maximum effectiveness. Notably, mesoionic compounds similar to fused heterocyclic pyrimidine analogs show strong insecticidal and fungicidal properties. Adding heterocyclic rings, fused rings, or active molecular fragments at positions 1 and 3 on the core ring of pyrido[1,2-a]pyrimidines is a successful strategy for finding potent pesticide candidates. Introducing active molecular fragments or other herbicidally active groups at the R position of chemical formula 49 for herbicidally active pyrimidine diketones is likely to lead to the identification of structurally novel and highly effective PPO-based herbicides.
While there are many studies on the structure-activity relationship of pyrimidine compounds, the mechanism of action for most of these compounds has not been extensively explored. Therefore, the precise mechanisms of numerous unique and potent pyrimidine analogues for insect control, disease resistance, herbicidal activity, and plant growth regulation are still unclear, thus hindering the ongoing improvement of effective compounds. With advancements in molecular biology, proteomics, computational chemistry, artificial intelligence, and related disciplines, new technologies will enable a deeper understanding of potential mechanisms of action and new targets for pyrimidine pesticide candidates. This will lead to the development of more structurally efficient chemical pesticides containing pyrimidine that are safe for non-target organisms, driving innovation in the pesticide industry.
Declaration of competing interestThe authors declare that they have no known competing financial interests or personal relationships that could have appeared to influence the work reported in this paper.
CRediT authorship contribution statementHaokun Yuan: Writing – review & editing, Writing – original draft. Anjing Liao: Methodology. Shunhong Chen: Project administration, Investigation. Yiming Tian: Project administration, Data curation. Yaming Liu: Supervision, Software, Conceptualization. Jian Wu: Project administration, Funding acquisition, Conceptualization.
AcknowledgmentsThe financial support is provided by the National Natural Science Foundation of China (No. 32472623), the Science and Technology Plan Project of Guizhou Province (No. Qiankehezhicheng [2024] 084), the Program of Introducing Talents to Chinese Universities (No. D20023), the Central Government Guides Local Science and Technology Development Fund Projects (No. Qiankehezhongyindi (2023) 001), the Frontiers Science Centre for Asymmetric Synthesis and Medicinal Molecules, Department of Education, Guizhou Province (No. Qianjiaohe KY (2020) 004), and the specific research fund of The Innovation Platform for Academicians of Hainan Province (No. SQ2020PTZ0009).
Supplementary materialsSupplementary material associated with this article can be found, in the online version, at doi:10.1016/j.cclet.2025.111305.
| [1] |
B.B. Zhang, Q.M. Xian, T.T. Gong, et al., Chem. Eng. J. 307 (2017) 884-890. DOI:10.1016/j.cej.2016.09.018 |
| [2] |
Y. Xu, J. Yang, L. Ren, et al., Agrochemicals 50 (2011) 474-478. |
| [3] |
N. Dolan, D.P. Gavin, A. Eshwika, et al., Bioorg. Med. Chem. Lett. 26 (2016) 630-635. DOI:10.1016/j.bmcl.2015.11.058 |
| [4] |
F. Xu, S. Chen, S. Guo, et al., Mod. Agrochem. 20 (2021) 1-8. DOI:10.1155/2021/3534577 |
| [5] |
W. Wu, W. Luo, Pesticide. Beijing: China Agriculture Press, 2019.
|
| [6] |
C.L. Liu, A.Y. Guan, Y. Xie, Intermediate Derivatization and the Creation of New Pesticides. Beijing: Chemical Industry Press, 2019.
|
| [7] |
H.J. Tan, World Pesticide 44 (2022) 1-17. DOI:10.1504/ijes.2022.10050928 |
| [8] |
S.L. Zhang, H.Y. Pei, Z.B. Sheng, et al., Mod. Agrochem. 20 (2021) 6-11. |
| [9] |
N.J. Hawkins, C. Bass, A. Dixon, et al., Biol. Rev. 94 (2019) 135-155. DOI:10.1111/brv.12440 |
| [10] |
Z. Chen, Z. Zhang, L. Li, et al., Agrochemicals 62 (2023) 547-554. |
| [11] |
A. Bhatnagar, G. Pemawat, Bioorg. Chem. 153 (2024) 107780. DOI:10.1016/j.bioorg.2024.107780 |
| [12] |
M.S. Saini, A. Kumar, J. Dwivedi, Int. J. Pharma Sci. Res. 4 (2013) 66-77. |
| [13] |
S.E. Ilgin, Ö. Yanartaş, E. Akça, Eur. Psychiat. 67 (2024) S700. DOI:10.1192/j.eurpsy.2024.1455 |
| [14] |
M. Ghanim, G. Lebedev, S. Kontsedalov, et al., J. Agric. Food Chem. 59 (2011) 2839-2844. DOI:10.1021/jf1025482 |
| [15] |
N.J. Wu, L. Che, J. Wang, et al., Chin. J. Org. Chem. 39 (2019) 852. DOI:10.6023/cjoc201807044 |
| [16] |
M.D. Soll, C.Q. Meng, Patent, WO2011014660A1, 2011.
|
| [17] |
C.L. Liu, H.C. Li, H. Zhang, et al., Patent, WO2010139271A1, 2010.
|
| [18] |
B. Thomas, F. Martin, K. Adeline, et al., Patent, WO2011045224A1, 2011.
|
| [19] |
R.Y. Qu, Y.C. Liu, Q. Chen, et al., Mini-Rev. Med. Chem. 18 (2017) 781-793. DOI:10.1007/s10973-017-6440-z |
| [20] |
X.H. Liu, Y.H. Wen, L. Cheng, et al., J. Agric. Food Chem. 69 (2021) 6968-6980. DOI:10.1021/acs.jafc.1c00236 |
| [21] |
U. Hideki, G.B. Salunke, Patent, JP2015189703A, 2015.
|
| [22] |
C.L. Liu, X.F. Sun, J. Zhao, et al., Patent, US2016332991A1, 2016.
|
| [23] |
G. Li, A. Liu, T. Xiao, et al., J. Heterocyclic Chem. 61 (2024) 611-626. DOI:10.1002/jhet.4789 |
| [24] |
L. Xu, M. Guang, M. Wang, et al., Patent, CN116655541A, 2023.
|
| [25] |
L. Li, C. Zhou, M. Liu, et al., J. Heterocyclic Chem. 56 (2019) 3206-3214. DOI:10.1002/jhet.3710 |
| [26] |
N. Zhang, M.Z. Huang, A.P. Liu, et al., Chem. Pap. 74 (2020) 963-970. DOI:10.1007/s11696-019-00932-5 |
| [27] |
W. Wu, M. Chen, Q. Fei, et al., Front. Chem. 8 (2020) 522. DOI:10.3389/fchem.2020.00522 |
| [28] |
N. Yoshihiko, I. Hiroshi, T. Hiroki, et al., Patent, WO2012050237A1, 2012.
|
| [29] |
B. Luo, Y. Ning, B. Rao, J. Agric. Food Chem. 70 (2022) 15615-15630. DOI:10.1021/acs.jafc.2c04820 |
| [30] |
B.S. Chai, C.L. Liu, H.C. Li, et al., Chin. Chem. Lett. 25 (2014) 137-140. DOI:10.1016/j.cclet.2013.10.006 |
| [31] |
S. Hao, Z. Cai, Y. Cao, et al., Molecules 25 (2020) 3379. DOI:10.3390/molecules25153379 |
| [32] |
X. Du, S. Hao, Patent, CN108314656A, 2018.
|
| [33] |
X.H. Liu, Q. Wang, Z.H. Sun, et al., Pest. Manag. Sci. 73 (2017) 953-959. DOI:10.1002/ps.4370 |
| [34] |
M. Feng, L. Xu, Modern Agrochemicals 21 (2022) 29-33. DOI:10.1117/12.2657230 |
| [35] |
X. Yu, W. Lan, M. Chen, et al., J. Chem. 2021 (2021) 8370407. |
| [36] |
W. Lan, X. Tang, J. Yu, et al., Front. Chem. 10 (2022) 952679. DOI:10.3389/fchem.2022.952679 |
| [37] |
M.H. Wang, L.Z. Xu, M.J. Feng, et al., Patent, CN114644596A, 2024.
|
| [38] |
R.F. Sun, P.Q. Chen, X.M. Song, et al., Patent, CN108912056A, 2018.
|
| [39] |
Á. Ganyecz, M. Kállay, J. Csontos, J. Phys. Chem. A 123 (2019) 4057-4067. DOI:10.1021/acs.jpca.9b02061 |
| [40] |
B. William, D. David, E. W., L. Christian, et al., Patent, WO2011025505A1, 2011.
|
| [41] |
Y. Yang, Q. Zhang, X. Xu, et al., Patent, CN105541795B, 2016.
|
| [42] |
S. Cui, Z. Tian, G. Zhang, J. Univ. Jinan (Sci. Technol.). 28 (2014) 14-17. |
| [43] |
J. Liu, Q. Ren, H. He, Chin. J. Appl. Chem. 34 (2017) 1279-1286. |
| [44] |
G. Li, Z. Jiang, C. Zhou, et al., Chin. J. Pestic. Sci. 23 (2021) 845-855. |
| [45] |
A.M.K. Eldean, A.A. Abdella, R. Hassanien, et al., Toxicol. Rep. 6 (2019) 100-104. DOI:10.1016/j.toxrep.2018.12.004 |
| [46] |
A.Y. Guan, J.L. Yang, P.F. Zhang, et al., Patent, CN114957218A, 2022.
|
| [47] |
H.J.C. William, T.M.H. Thi, C.R. Aaron, et al., Patent, WO2009099929A1, 2009.
|
| [48] |
Q. Miao, H. Sun, Chin. Sci. B: Chin. 60 (2015) 2003-2010. DOI:10.1360/N972015-00209 |
| [49] |
W. Liang, C.X. Tan, J.Q. Wng, et al., Chin. J. Org. Chem. 40 (2020) 2702-2713. DOI:10.6023/cjoc202003064 |
| [50] |
W. Zhang, Acc. Chem Res. 50 (2017) 2381-2388. DOI:10.1021/acs.accounts.7b00311 |
| [51] |
D. Zhang, J. Zhang, T. Liu, et al., J. Agric. Food Chem. 70 (2022) 8598-8608. DOI:10.1021/acs.jafc.2c01899 |
| [52] |
J. Pan, L. Yu, D. Liu, et al., Molecules 23 (2018) 1217. DOI:10.3390/molecules23051217 |
| [53] |
W. Zhang, C.W. Holyoke, J. Barry, et al., Bioorg. Med. Chem. Lett. 26 (2016) 5444-5449. DOI:10.1016/j.bmcl.2016.10.031 |
| [54] |
H. Shinji, K. Tomohiro, K. Yuma, et al., Patent, WO2016171053A1, 2016.
|
| [55] |
Y. Yang, S. Wu, C. Zhao, et al., J. Agric. Food Chem. 72 (2024) 11331-11340. DOI:10.1021/acs.jafc.3c08950 |
| [56] |
A.M. Blai, T.D. Martin, J. Pestic Sci. 22 (1988) 195-219. DOI:10.1002/ps.2780220303 |
| [57] |
L. Pan, Z. Liu, Y.W. Chen, Chem. J. Chin. U. 34 (2013) 1416-1421. |
| [58] |
H.L. Wang, H.R. Li, Y.C. Zhang, W.T. Yang, et al., J. Agric. Food Chem. 69 (2021) 8415-8427. DOI:10.1021/acs.jafc.1c02081 |
| [59] |
W. Chen, W. Wei, M. Liu, et al., Chem. J. Chin. U. 36 (2015) 1291-1297. |
| [60] |
J. Li, Y. Wang, Y. Wu, et al., Pestic Biochem. Phys. 172 (2021) 104766. DOI:10.1016/j.pestbp.2020.104766 |
| [61] |
L. Lian, L.N. Liao, Q. Cui, et al., Patent, CN108586357A, 2018.
|
| [62] |
T. Wang, G.M. Xiong, X.S. Wu, et al., Patent, CN106008469A, 2016.
|
| [63] |
H. Jenkoppi, E.B. Alsekel, K. Mein, et al., Patent, CN110461833A, 2019.
|
| [64] |
S. Dei, Patent, CN113646300A, 2020.
|
| [65] |
H.C. Xu, G. Xu, Patent, CN113773264A, 2021.
|
| [66] |
X.H. Lv, Z.L. Ren, H. Liu, et al., Chem. Pharm. Bull. 66 (2018) 358-362. DOI:10.1248/cpb.c17-00761 |
| [67] |
F.E. Dayan, Plants 8 (2019) 341. DOI:10.3390/plants8090341 |
| [68] |
M.D. Garcia, J.G. Wang, T. Lonhienne, et al., The FEBS J. 284 (2017) 2037-2051. DOI:10.1111/febs.14102 |
| [69] |
J.M. Green, Pest Manag. Sci. 70 (2014) 1351-1357. DOI:10.1002/ps.3727 |
| [70] |
K.J. Li, R.Y. Qu, Y.C. Liu, et al., J. Agric. Food Chem. 66 (2018) 3773-3782. DOI:10.1021/acs.jafc.8b00665 |
| [71] |
S. Zhang, X. Guo, Y. Zhou, et al., Phosphorus Sulfur 194 (2019) 1158-1163. DOI:10.1080/10426507.2019.1633319 |
| [72] |
B. Song, S. Yang, H. Zhong, et al., J. Fluorine Chem. 126 (2005) 87-92. DOI:10.1016/j.jfluchem.2004.10.041 |
| [73] |
H. Dai, Y. Fang, Y. Li, et al., Chinese J. Org. Chem. 36 (2016) 2973-2980. DOI:10.6023/cjoc201608022 |
| [74] |
R.Y. Qu, Z.M. Cai, J.F. Yang, et al., Chin. J. Org. Chem. 40 (2020) 3953-3962. DOI:10.6023/cjoc202003050 |
| [75] |
D.F. Xu, J.L. Chen, H. Hu, Patent, CN113651760B, 2023.
|
| [76] |
C.X. Gao, Y.H. Chen, Y.D. Ran, et al., Patent, CN114901674A, 2022.
|
| [77] |
X. Xiao, Q.F. Song, Q. Tao, et al., Patent, CN118434874A, 2024.
|
| [78] |
N.J. Anthony, P. Galatzis, D.J. Laufer, et al., Patent, CN118525002A, 2023.
|
| [79] |
J. Yang, A. Guan, Q. Wu, et al., Pest Manag. Sci. 76 (2020) 3395-3402. DOI:10.1002/ps.5970 |
| [80] |
J.C. Yang, Q. Wu, H.J. Ma, et al., Patent, CN105753853B, 2020.
|
| [81] |
L.E. He, Y.Y. Wu, H.Y. Zhang, et al., J. Heterocyclic Chem. 52 (2015) 1308-1313. DOI:10.1002/jhet.2160 |
| [82] |
L. Lian, R.B. Hua, X.G. Peng, et al., Patent, CN113105405B, 2022.
|
| [83] |
W.H. Lee, Y.B. Kwon, K.H. Lee, et al., B. Korean Chem. Soc. 42 (2021) 420-428. DOI:10.1002/bkcs.12205 |
| [84] |
W.H. Lee, Y.B. Kwon, J.H. Kim, et al., Bioorgan. Med. Chem. 31 (2021) 115959. DOI:10.1016/j.bmc.2020.115959 |
| [85] |
D.W. Wang, L. Liang, Z.Y. Xue, et al., J. Agric. Food Chem. 69 (2021) 4081-4092. DOI:10.1021/acs.jafc.1c00796 |
| [86] |
R.J. Song, C.X. Song, B.A. Song, et al., Patent, CN117486866A, 2024.
|
| [87] |
G.F. Yang, Y. Zuo, Patent, CN105294671A, 2016.
|
| [88] |
T. Tang, D.Y. Chen, Z.Y. Zhang, et al., Chin. J. Pestic. Sci. 25 (2023) 755-768. |
| [89] |
L.G. Yuan. Z.Q. Li, Q. Liu, et al., Patent, CN111217817A, 2020.
|
| [90] |
A.J. Liao, W. Sun, Y.M. Liu, et al., Chin. Chem. Lett. 36 (2025) 110094. DOI:10.1016/j.cclet.2024.110094 |
| [91] |
T. Wang, F. Xiong, G.M. Xiong, et al., Patent, CN107400136B, 2019.
|
| [92] |
H. Lin, H.X. Nei, A.L. Zhao, et al., Chin. J. Org. Chem. 43 (2023) 2462-2475. DOI:10.6023/cjoc202301008 |
| [93] |
D.W. Wang, Q. Li, K. Wen, et al., J. Agric. Food Chem. 65 (2017) 5278-5286. DOI:10.1021/acs.jafc.7b01990 |
| [94] |
D.W. Wang, H. Zhang, S.Y. Yu, et al., J. Agric. Food Chem. 69 (2021) 14115-14125. DOI:10.1021/acs.jafc.1c05665 |
| [95] |
M.H. Chen, W.N. Wu, L.J. Chen, et al., Agrochemicals 56 (2017) 474-477. |
| [96] |
A. Guan, C. Liu, W. Chen, et al., J. Agric. Food Chem. 65 (2017) 1272-1280. DOI:10.1021/acs.jafc.6b05580 |
| [97] |
A. Guan, M. Wang, J. Yang, et al., J. Agric. Food Chem. 65 (2017) 10829-10835. DOI:10.1021/acs.jafc.7b03898 |
| [98] |
A. Guan, M. Wang, W. Chen, et al., J. Fluorine Chem. 201 (2017) 49-54. DOI:10.1016/j.jfluchem.2017.08.008 |
| [99] |
Z. Yan, A. Liu, Y. Ou, et al., Bioorgan. Med. Chem. 27 (2019) 3218-3228. DOI:10.1016/j.bmc.2019.05.029 |
| [100] |
J. Yang, A. Guan, Z. Li, et al., J. Agric. Food Chem. 68 (2020) 6485-6492. DOI:10.1021/acs.jafc.9b07055 |
| [101] |
A.Y. Guan, J.L. Yang, Q. Sun, et al., Patent, CN110872302B, 2022.
|
| [102] |
B.L. Wang, Y.X. Shi, S.J. Zhang, et al., Eur. J. Med. Chem. 117 (2016) 167-178. DOI:10.1016/j.ejmech.2016.04.005 |
| [103] |
A. Liu, S. Guan, P. Zhang, et al., J. Agric. Food Chem. 71 (2023) 3742-3750. DOI:10.1021/acs.jafc.2c06165 |
| [104] |
Y. Sun, Z. Yang, Q. Liu, et al., J. Agric. Food Chem. 70 (2022) 7360-7374. DOI:10.1021/acs.jafc.2c00734 |
| [105] |
T. Peng, Q. Fei, W.N. Wu, Agrochemicals 60 (2021) 634-637. |
| [106] |
E.T. Rodrigues, I. Lopes, M.Â. Pardal, Environ Int 53 (2013) 18-28. DOI:10.1016/j.envint.2012.12.005 |
| [107] |
J. An, N. Pan, C. Liu, et al., RSC Adv 14 (2024) 16218-16227. DOI:10.1039/d4ra01765j |
| [108] |
S. Su, M. Chen, X. Tang, et al., Chem. Biodivers. 18 (2021) e2100186. DOI:10.1002/cbdv.202100186 |
| [109] |
P. Zhang, A. Guan, X. Xia, et al., J. Agric. Food Chem. 67 (2019) 11893-11900. DOI:10.1021/acs.jafc.9b05185 |
| [110] |
X. Tang, W. Zhan, S. Chen, et al., Arab. J. Chem. 15 (2022) 104110. DOI:10.1016/j.arabjc.2022.104110 |
| [111] |
J.R. Wang, Y.M. Hu, H. Zhou, et al., J. Agric. Food Chem. 70 (2022) 11782-11791. DOI:10.1021/acs.jafc.2c03765 |
| [112] |
X. Zhang, Z. Yang, H. Xu, et al., J. Agric. Food Chem. 70 (2022) 9262-9275. DOI:10.1021/acs.jafc.2c01348 |
| [113] |
C. Li, Y. Liu, X. Ren, et al., Int. J. Mol. Sci. 24 (2023) 4691. DOI:10.3390/ijms24054691 |
| [114] |
Z.Q. Huang, C.P. Feng, J. Shi, et al., Patent, CN106632083B, 2019.
|
| [115] |
C. Sun, S. Zhang, P. Qian, et al., Pest Manag. Sci. 77 (2021) 5529-5536. DOI:10.1002/ps.6593 |
| [116] |
X.F. Sun, B.S. Cai, J.F. Wang, et al., Patent, CN104710436B, 2017.
|
| [117] |
W. Wang, X. Cheng, X. Cui, et al., Pest Manag. Sci. 77 (2021) 3529-3537. DOI:10.1002/ps.6406 |
| [118] |
Y.K. Yan, X.S. Xie, W.J. Jiang, et al., Patent, CN117865959A, 2024.
|
| [119] |
D. Liu, J. Zhang, L. Zhao, et al., J. Agric. Food Chem. 67 (2019) 11860-11866. DOI:10.1021/acs.jafc.9b03606 |
| [120] |
D. Liu, R. Song, Z. Wu, et al., J. Agric. Food Chem. 70 (2022) 10443-10452. DOI:10.1021/acs.jafc.2c01838 |
| [121] |
T. Liu, J. Shi, D. Liu, et al., J. Agric. Food Chem. 70 (2022) 99-110. DOI:10.1021/acs.jafc.1c04715 |
| [122] |
H. Guo, S. Wu, R. Song, et al., J. Agric. Food Chem. 70 (2022) 7015-7028. DOI:10.1021/acs.jafc.2c01641 |
| [123] |
J. Jin, T. Shen, L. Shu, et al., J. Agric. Food Chem. 71 (2023) 1291-1309. DOI:10.1021/acs.jafc.2c07315 |
| [124] |
J. Wu, B.A. Song, Sci. Sin. Chim. 46 (2016) 1165-1179. |
| [125] |
W. Wu, Q. Chen, A. Tai, et al., Bioorg. Med. Chem. Lett. 25 (2015) 2243-2246. DOI:10.1016/j.bmcl.2015.02.069 |
| [126] |
W. Sun, A.J. Liao, L. Lei, et al., Chin. Chem. Lett. 36 (2025) 109855. DOI:10.1016/j.cclet.2024.109855 |
| [127] |
S. Bai, S. Liu, Y. Zhu, et al., Heterocycles 96 (2018) 1383-1397. DOI:10.3987/com-18-13918 |
| [128] |
S. Bai, S. Liu, Y. Zhu, et al., Synlett 29 (2018) 1921-1925. DOI:10.1055/s-0037-1609910 |
| [129] |
V. Nagalakshmamma, M. Venkataswamy, C. Pasala, et al., Bioorg. Chem. 102 (2020) 104084. DOI:10.1016/j.bioorg.2020.104084 |
| [130] |
M. Yu, H. Liu, L. Guo, et al., Pest Manag. Sci. 78 (2022) 5259-5270. DOI:10.1002/ps.7147 |
| [131] |
N.A. Meanwell, J. Med. Chem. 54 (2011) 2529-2591. DOI:10.1021/jm1013693 |
| [132] |
L. Khurana, B.Q. Fu, A.L. Duddupudi, et al., J. Med. Chem. 60 (2017) 1089-1104. DOI:10.1021/acs.jmedchem.6b01448 |
| [133] |
G. Zu, J. Chen, B. Song, et al., J. Agric. Food Chem. 69 (2021) 14459-14466. DOI:10.1021/acs.jafc.1c03555 |
| [134] |
N. Zan, D. Xie, M. Li, et al., J. Agric. Food Chem. 68 (2020) 6280-6285. DOI:10.1021/acs.jafc.0c00987 |
| [135] |
N. Pan, H. Wang, J. An, et al., ACS Omega 9 (2024) 1424-1435. DOI:10.1021/acsomega.3c07820 |
| [136] |
T. Masaoka, S. Chung, P. Caboni, et al., J. Med. Chem. 56 (2013) 5436-5445. DOI:10.1021/jm400405z |
| [137] |
M.S.E. Shoukrofy, H.A. Abd, E. Razik, et al., Bioorg. Chem. 85 (2019) 541-557. DOI:10.1016/j.bioorg.2019.02.036 |
| [138] |
Y.J. Wang, Y.Q. Luo, D.Y. Hu, et al., J. Agric. Food Chem. 70 (2022) 6015-6025. DOI:10.1021/acs.jafc.2c00773 |
| [139] |
Y. Wang, S. Guo, W. Sun, et al., J. Agric. Food Chem. 72 (2024) 2879-2887. DOI:10.1021/acs.jafc.3c05334 |
| [140] |
X. Gan, Y. Wang, D. Hu, et al., Chin. J. Chem. 35 (2017) 665-672. DOI:10.1002/cjoc.201600568 |
| [141] |
F.C. He, J. Shi, Y.J. Wang, et al., J. Agric. Food Chem. 67 (2019) 8459-8467. DOI:10.1021/acs.jafc.9b02681 |
| [142] |
J. Zhang, F. He, J. Chen, et al., J. Agric. Food Chem. 69 (2021) 5575-5582. DOI:10.1021/acs.jafc.0c06612 |
| [143] |
Y.J. Wang, D.G. Zhou, F.C. He, et al., Chin. Chem. Lett. 29 (2018) 127-130. DOI:10.1117/12.2505631 |
| [144] |
D. Zhang, X. Xu, Z. Zhang, et al., Postharvest Biol. Tec. 143 (2018) 137-142. DOI:10.1016/j.postharvbio.2018.05.002 |
| [145] |
Z.W. Wei, H.Y. Yang, Y.K. Duan, et al., Sci. Hortic-Amsterdam. 332 (2024) 113181. DOI:10.1016/j.scienta.2024.113181 |
| [146] |
V.A. Tsygankova, Y.V. Andrusevich, O.I. Shtompel, et al., Int. J. Chem. Tech. Res. 12 (2019) 26-38. DOI:10.20902/ijctr.2019.120504 |
| [147] |
V. Tsygankova, Y. Andrusevich, O. Shtompel, et al., Int. J. Chem. Stud. 4 (2016) 106-120. |
| [148] |
M.H. Wang, J.J. Han, Y. Wang, et al., Patent, CN110642859B, 2021.
|
| [149] |
B.T. Valentinovna, K.V. Nikolaevich., S.K. Safarovich, et al., Patent, RU2017141122, 2017.
|
2026, Vol. 37 

