b State Key Laboratory of Organometallic Chemistry, Shanghai Institute of Organic Chemistry, Shanghai 200032, China
The precise oligomerization of simple molecules to yield elaborate organic compounds is a fascinating theme in organometallic chemistry, as it allows for the rapid and atom-economical construction of complex molecular structures [1]. Isocyanide, an isoelectronic analogue of carbon monoxide (CO), is widely utilized as a C1 building block. Due to the variability of the N-substituent, isocyanide has the intrinsic advantage of adjustable spatial and electronic effects, making it widely used in organometallic chemistry and organic synthesis [2,3]. Compared to the rapid development of polymerization reactions of isocyanides [4–7], the trimerization, tetramerization, and pentamerization, of isocyanides have been developed in recent years [8–22]. Among these reactions, the most challenging and attractive one may be the controllable cyclooligomerization of isocyanides. In 2014, the Theopold group first reported the cyclization coupling reaction of isocyanide, which achieved tetramerization and hexamerization of isocyanide through the quintuply bonded α-diimine chromium dimer [17]. The Jemmis group conducted in-depth research on the mechanism of the reaction using density function theory (DFT), indicating the existence of multiple spin states in this reaction [23,24]. The Yang and Kawaguchi groups used Al–Al-bonded compound and vanadium(Ⅱ) complex to achieve the trimerization reaction of isocyanide, respectively (Scheme 1a) [11,12]. Similarly, the Ellis group obtained two tetramerization products of isocyanide by reacting bis(mesitylene)niobium(0) with 6 or 7 equiv. of 2,6-dimethylphenyl isocyanide (CNXyl) [18]. The Chu group reports an elegant step-by-step coupling reaction between a neutral Al(Ⅰ) complex (MeNacNac)Al, MeNacNac = HC[(CMe)(NDipp)]2, Dipp = 2,6-diisopropylphenyl) and various isocyanides [19]. Despite that several achievements have been made, there remain challenging issues to be addressed: (1) Specialized low-valent metal complexes are required as feedstock; (2) The reaction mechanism is not yet fully understood; (3) The electronic structures of the polymeric products are unclear. Therefore, research on cyclooligomerization of isocyanides still has a long way to go.
|
Download:
|
| Scheme 1. The cyclooligomerization of isocyanides. | |
Our group has been dedicated to the activation and transformation of small molecules [25–31]. Recently, we utilized a cyclopentadienyl chromium system to activate and derivatize dinitrogen gas (N2) [25]. In these studies, we found that low-valent Cr(Ⅰ) centers stabilized by cyclopentadienyl ligands can be generated during the reaction, further reacting with N2. In addition, our study found that in reactions utilizing cyclopentadienyl chromium complexes coordinated with specific monodentate ligands, these monodentate ligands undergo dissociation. Therefore, we believe that by adding a reducing agent, suitable cyclopentadienyl chromium complexes can form low-valent Cr centers in the reaction, which further react with isocyanides to promote the reductive coupling of isocyanide. Herein, we report the cyclooligomerization of isocyanides by a simple chromium(Ⅱ) complex, resulting in [C4(NXyl)4]2− bridged dinuclear chromium(Ⅱ) or chromium(Ⅲ) complex (Scheme 1b).
The precursors 1a-1e were obtained by the reaction of [Cp#Cr(μ-Cl)]2 (Cp# = Cp* or Cp*TMS) with either carbene (CAAC and NHC) or phosphine ligands (PCy3 and PPh2Et) in pentane (Scheme 2), following a method previously established by our group [32,33]. By single-crystal X-ray structural analysis (for details, please see Supporting information), it can be seen that these compounds have similar geometric structures. The solution magnetic susceptibility measurement shows that different ligands have a significant impact on the electronic structure of chromium chloride. The chromium chlorides coordinated with carbene ligands displayed high-spin characteristics (μeff (1a) = 4.7 μB, μeff (1b) = 4.5 μB, μeff (1c) = 4.5 μB). In contrast, chromium chlorides 1d and 1e with phosphine ligands exhibit much lower μeff values under identical experimental conditions, with solution magnetic moments μeff of 2.8 μB and 2.6 μB, respectively (Evans method). This result appears counterintuitive. To better understand these findings, we calculated different spin states of these complexes. Our calculations indicate that Cp*CrLCl complexes, regardless of ligand type, are predicted to have a quintet ground state due to the unsaturated coordination of the Cr centers. However, we currently do not have a comprehensive explanation for the observed μeff values from Evans method. It is worth noting that we found that similar results have been observed in the literature: carbene-coordinated chromium chlorides exhibited higher μeff values [32,34], while phosphine-coordinated chromium chlorides exhibited lower μeff values [33,35,36].
|
Download:
|
| Scheme 2. Synthesis of complex 1. | |
With the starting materials in our hands, we started our investigation of the cyclooligomerization of isocyanides. Treatment of KC8 with a 1:1 mixture of Cp*TMSCr(CAAC)Cl (1a) and XylNC in diethyl ether (Et2O) solution gave complex 2 in 24% yield (based on XylNC) (Scheme 3). Dark crystals of 2 suitable for X-ray diffraction studies were obtained from n-hexane at −35 ℃. The structure of 2 (Fig. 1a) features a symmetrical geometry encompassing a planar four-membered carbocycle. The absence of CAAC ligands in the final products suggests their likely dissociation during the reaction process. Direct application of [Cp*TMSCr(μ-Cl)]2 in the reaction system failed to yield the desired compound 2, highlighting the necessity for a supporting ligand to facilitate this transformation. In addition, alkyl isocyanides (CyNC or tBuNC) were also tested under the same reaction conditions. During the process, a distinct color transition of the reaction mixture from purple to dark red was observed. However, despite repeated attempts, the corresponding crystalline products could not be isolated.
|
Download:
|
| Scheme 3. Synthesis of complexes 2 and 3. | |
|
Download:
|
| Fig. 1. Thermal ellipsoid drawing of the X-ray crystal structure of 2 (a) and 3 (b) at 30% probability. Hydrogen atoms are omitted for clarity. | |
By observing the crystal structure of 2, we hypothesized that the required ratio of isocyanides to 1a is 2:1. Therefore, the reaction of 1a and 2 equiv. of isocyanides with KC8 was carried out. However, the reaction predominantly yielded complex 3, with only a small amount of 2 observed. This result indicates that the coordination reaction between isocyanides and chromium is favored over the reductive coupling of isocyanides when an excess of isocyanides is used. Additionally, complex 3 does not convert into 2, which partly explains the lower isolated yield of 2. Crystals of complex 3 were obtained by recrystallizing the ether solution of 3 at ambient temperature, and its structure is shown in Fig. 1b. The distance of Cp*TMS–Cr1 is 1.8577(9) Å, close to Cr(0) complex ([Cp*Cr(NHC)(N2)2][K(crypt)]: 1.8615(8) Å; [Cp*Cr (depe)N2][K(crypt)]: 1.8330(11) Å), [32,33] and deviates from the distance in starting material 1a (1.9978(6) Å). The characteristic IR band due to vibration of ν(C≡N) was found at 1690 (s) cm−1.
To gain deeper insights into the reductive coupling mechanisms of isocyanides, control experiments were performed (Scheme 4). A plausible reaction mechanism involves the formation of a low-valent chromium intermediate through the reaction of 1a with a reducing agent first, which subsequently engages with isocyanide to generate the final product. Thus, we performed a stepwise investigation of the reaction. Initially, when 1a was reacted with 1.2 equiv. of KC8 in ether for 12 h, primarily the unreacted 1a was observed, with no formation of other compounds. The solvent was then switched from ether to toluene, resulting in the formation of the low-valent chromium compound 4, along with residual 1a. Based on these findings, the amount of KC8 was increased to 1.5 equiv., and the reaction time was extended to 5 days, ultimately enabling the successful isolation of compound 4 in 67% yield. 4 was subsequently crystallized from n-hexane at room temperature, and its molecular structure is depicted in Fig. 2. 4 is a Cr(Ⅰ) complex, with η6-arene interactions between the CAAC-Dipp group and the Cr(Ⅰ) center. Considering that 4 may be an intermediate species in the process from 1 to 2, the reaction between 4 and isocyanides was monitored by UV–vis change in the UV–vis spectral signal (Fig. S39 in Supporting information).
|
Download:
|
| Scheme 4. Control experiments. | |
|
Download:
|
| Fig. 2. Thermal ellipsoid drawing of the X-ray crystal structure of 4 at 30% probability. Hydrogen atoms are omitted for clarity. | |
However, the results indicated that 4 does not react with isocyanide. This result precludes the possibility that 4 acts as an intermediate in the transformation from 1 to 2. Similarly, we also used UV–vis spectroscopy to monitor the reaction between 1a and isocyanide, and found that in the absence of a reducing agent, 1a did not react with isocyanide under these conditions (Fig. S38 in Supporting information). Meanwhile, we also explored the scenario where isocyanide reacts first with KC8 and then with 1a. Our experiments showed that isocyanide and KC8 do not react in ether; however, in tetrahydrofuran, compound 5 is obtained through a Saegusa-Ito type side reaction [37]. Considering the stability of 5, the possibility of obtaining 2 through 5 as an intermediate has also been ruled out. Thus, we propose a possible reaction mechanism, as depicted in Fig. 3. In the presence of a reducing agent, 1a and isocyanide initially generate a low-valent chromium intermediate A, which subsequently undergoes isomerization to form intermediate B. Intermediate B then participates in carbon-carbon bond coupling to produce intermediate C, followed by the sequential insertion of another two isocyanide molecules, ultimately affording the final reductive coupling product 2. However, if 1a is treated with an excess of isocyanide under reducing conditions, a chromium complex coordinated with isocyanide ligands [Cp*TMSCr(CNXyl)3] (E) may be formed, which is unable to undergo further coupling reactions. This mechanism also explains why only a trace amount of complex 2 is generated when the molar ratio of 1a to isocyanide is 1:2.
|
Download:
|
| Fig. 3. The proposed mechanism for the formation of 2. | |
Furthermore, we expanded our investigation to include reactions of other chromium chlorides with KC8 and XylNC. Unfortunately, treating complex 1b with KC8 and XylNC does not give the desired product; instead, a multi-component oily mixture is produced, which cannot be identified. Fortunately, after various trials, we successfully isolated product 6 from the reaction between 1b and XylNC without reducing agent, achieving 23% yield (Scheme 5). Starting materials 1c, 1d and 1e can also yield 6 with different yields under the same conditions (Scheme 5). Additionally, the direct reaction of [Cp*Cr(μ-Cl)]2 with XylNC can also yield a small amount (8%) of 6. Dark green crystals of 6 were obtained by recrystallization from hexane at −35 ℃. Fig. 4a depicts the molecular structure of 6, which confirms the reductive homocoupling of isocyanides. Through the monitoring of the reaction between 1d and isocyanide via UV–vis spectroscopy, we observed that 1d undergoes a rapid transformation into an intermediate exhibiting an absorption peak at 506 nm, followed by a gradual conversion into the final product (Fig. S40 in Supporting information). To determine if 6 can be converted into a similar complex of 2, we explored the reduction of 6. Given the low isolated yield of 6, we conducted this reaction in situ by adding a reducing agent to the mixture of 1d and XylNC after 12 h of reaction, resulting in the reduced product 7 (Scheme 6). Unfortunately, after several attempts, we were only able to procure a limited number of crystals suitable for X-ray diffraction characterization (Fig. 4b), and we did not acquire enough samples for other further characterizations. In contrast to the formation of complex 2, Cp*CrLCl (L = CAAC, PCy3, or PPh2Et) (1c, 1d, and 1e) reacts with XylNC to yield complex 6 without the requirement of an external reductant. We hypothesize that this difference may be attributed to the smaller steric hindrance of the Cp* ligand compared to the Cp*TMS ligand. The proposed mechanism is illustrated in Fig. S2. It is noteworthy that Figueroa and co-workers reported the synthesis of the chromium species Cp*Cr(CNArDipp2)2 and its conversion to the K[Cp*CrN2(CNArDipp2)2] via reaction with a reducing agent. In their study, they observed the absence of reductive coupling of isocyanides [38].
|
Download:
|
| Scheme 5. Reactions of 1b-1e with 1 equiv. of XylNC. | |
|
Download:
|
| Fig. 4. Thermal ellipsoid drawing of the X-ray crystal structure of 6 (a) and 7 (b) at 30% probability. Hydrogen atoms and solvent molecules are omitted for clarity. | |
|
Download:
|
| Scheme 6. Synthesis of complexes 7. | |
In our system, 1a reacts with 2 equiv. of isocyanide to obtain 3. For comparison, when Theopold's quintuply bonded chromium dimer reacts with excess isocyanides, tetramers and hexamers of isocyanides are formed. Expanding our exploration, we also treated 1d with XylNC in a 1:4 molar ratio in diethyl ether at room temperature, affording 8 in 44% isolated yield (Scheme 7). The molecular structure of 8 is shown in Fig. 5. In the structure of 8, it is unclear whether Cp*Cr(CNXyl)4 and Cp*CrCl3 are two crystallographically independent molecules in the unit cell or a cation/anion pair. To clarify this, we attempted an anion exchange reaction by reacting 8 with NaBArF4. This reaction produced 9 with a high yield of 96%, confirming that chromium is divalent in [Cp*Cr(CNXyl)4]+. The crystal structure of the cationic unit in 9 is similar to that in 8. When NaBAr4F is directly added to the mixture after the reaction between 1d and XylNC, 9 can also be obtained smoothly. 9 is diamagnetic, as evidenced by its 1H NMR spectrum, which shows all signals within the range of 0 to 10 ppm (Fig. S33 in Supporting information). It is worth noting that the presence of [Cp*CrCl3]− in 8 indicates that some starting materials may act as reducing agents. In fact, we also observed the formation of a monovalent chromium compound (S2) in this reaction (Fig. S17 in Supporting information), indicating that the tetramerization is accompanied by an oxidation–reduction side reaction. Furthermore, these results highlight that the reaction between 1 and isocyanide exhibits significant sensitivity to the stoichiometric ratio of isocyanide, with an excess of isocyanide driving the reaction pathway toward forming isocyanide-chromium coordination complexes.
|
Download:
|
| Scheme 7. Reactions of 1d with 4 equiv. of XylNC. | |
|
Download:
|
| Fig. 5. Thermal ellipsoid drawing of the X-ray crystal structure of 8 at 30% probability. Hydrogen atoms are omitted for clarity. | |
Due to carbon monoxide being an isoelectronic analogue of isocyanide, the reaction chemistry of 1a and CO with the reducing agent KC8 was also investigated. At room temperature, a mixture of complex 1a and KC8 in diethyl ether was reacted under an atmosphere of carbon monoxide at 1 atm, resulting in the rapid formation of a dark green solution. Further workup and characterization confirmed the formation of a diamagnetic Cr(Ⅰ) complex, 10 (Scheme 8), which comprises four CO ligands with two terminally coordinated to chromium and the other two bridging two chromium atoms (Fig. 6a). The coupling reactions similar to those of isocyanides that involve carbon monoxide have yet to be discovered. The initial ratio of isocyanide to chromium (Cr) species is critical for the formation of the coupling product. To explore whether a similar relationship exists in the reaction between carbon monoxide and chromium species, we performed the reaction using 1 equiv. of carbon monoxide with compound 1a under similar conditions. Notably, after 12 h of reaction, the solution transitioned from purple to bluish-purple. This phenomenon significantly differs from that observed in the reaction of 1a with an excess of carbon monoxide. After additional treatment, a new compound, 11, was isolated in 52% yield (based on CO). Subsequent X-ray single-crystal diffraction analysis revealed the formation of a trinuclear chromium oxide complex consisting of three chromium atoms and four oxygen atoms (Fig. 6b). In compound 11, the bond lengths of Cr1–O1, Cr1–O2, and Cr1–O4 are 1.9704(14) Å, 1.9614(13) Å, and 1.9511(14) Å, respectively, which are relatively close to each other, indicating a high degree of structural symmetry. The positions of the chloride ions in the crystal structure imply the presence of hydrogen atoms on the oxygen atoms (O1, O2, O3) and suggest interactions between these hydrogen atoms and the chloride ions (Cl1–H1 2.46(3), Cl1–H2 2.39(3), Cl1–H3 2.41(3)) [39,40]. Furthermore, the observation of a broad peak at 3234 cm⁻¹ in the infrared spectrum provides additional evidence for the existence of O–H bonds (Fig. S60 in Supporting information). Similar deoxygenation reactions have been reported in the literature, particularly in reactions involving rare earth hydrides or magnesium hydrides with carbon monoxide [41–43]. In contrast, such deoxygenation reactions of carbon monoxide are rarely observed with chromium complexes.
|
Download:
|
| Scheme 8. Reactions of 1a with CO. | |
|
Download:
|
| Fig. 6. Thermal ellipsoid drawing of the X-ray crystal structure of 10 (a) and 11 (b) at 30% probability. Hydrogen atoms are omitted for clarity. | |
We have presented the crystal structures of compounds 2, 6 and 7 in Figs. 1a and 4, with their corresponding geometric parameters summarized in Table 1. From Table 1, we can see that some C–C and C–N bond lengths of the planar four-membered carbocycle carrying a XylN-substituent in the center of the complex are very close, approximately 1.43, 1.46 and 1.31 Å, respectively. And this value is comparable to the C–C and C–N distances in [C4(NCy)4]Cr2L (1.441(4), 1.489(4) and 1.311(3) Å), and [C4(NCy)4]Nb2L 1.446 (4), 1.458 (4) and 1.319 (4) Å) [17,18]. The Cr−Cp# distances in 2 (1.9667(16) Å) and 7 (1.9679(8) Å) are significantly longer than their counterparts in 6 (1.9030(8) Å), indicating a difference in the valence state of the chromium center.
|
|
Table 1 Selected distances for 2, 6, and 7. |
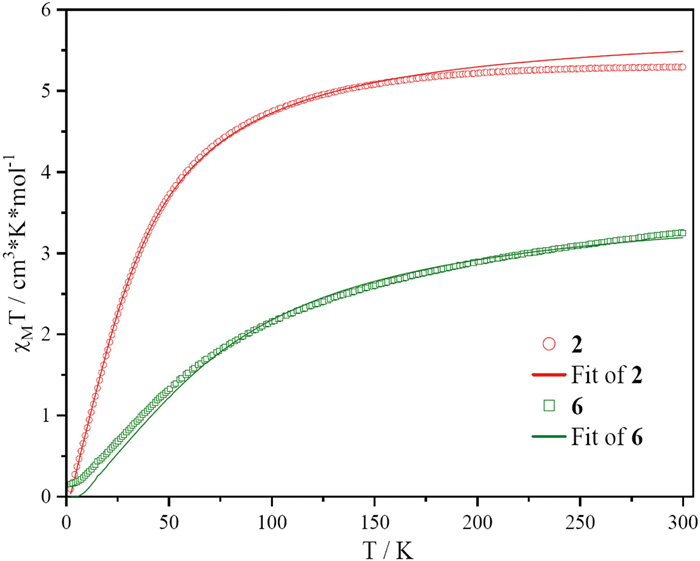
Variable temperature magnetic susceptibilities of complex 2 were measured on a superconducting quantum interference device (SQUID) magnetometer in the temperature range of 2–300 K (Fig. 7). At 300 K, the χMT value is 5.29 cm3 K/mol, which is significantly higher than the dinuclear divalent chromium compounds [(dmpe)4Cr2(C2SiiPr3)2(μ-N2)]2+ and [Cp*Cr(dmpe)]2(μ-N2)]2+ presenting χMT values of 2.3 and 3 cm3 K/mol at 300 K [44,45]. Upon cooling, the χMT value remains almost unchanged until 200 K, and thereafter gradually decreases to 0.1 at 2 K. This decrease in χMT values most likely originates from the depopulation and antiferromagnetic interactions between the S = 2 high-spin Cr(Ⅱ) centers. The magnetization data were fitted using the julX program [46], yielding an isotropic g-factor of giso= 1.98 and an antiferromagnetic coupling constant of J = −3.4 cm−1. It is worth noting that in complex 2 the distance of Cr to Cr within the molecule is 6.798 Å. As a contrast, in [(dmpe)4Cr2(C2SiiPr3)2(μ-N2)]2+ and [Cp*Cr(dmpe)]2(μ-N2)]2+, the distance of the two Cr atoms is 4.942 and 4.857 Å, respectively [44,45].
|
Download:
|
| Fig. 7. Temperature dependence of the magnetic susceptibility under an external magnetic field of 1000 Oe and simulations with the domain model (solid lines) for complexes 2 and 6. | |
In terms of 6, The χMT value at 300 K is 3.25 cm3 K/mol, which is lower than the theoretical value of 6 cm3 K/mol (S = 3, g = 2.0) for two high-spin Cr(Ⅲ) centers. With decreasing temperature, the χMT values gradually decrease and attain a minimum value of 0.15 cm3 K/mol at 2 K. This behavior indicates an antiferromagnetic coupling between two S = 3/2 centers in 6. The temperature-dependent magnetizations were fitted and the best fitting results are giso= 2.00, J = −12.3 cm−1 and TIP = 200.0 cm3/mol. In the literature, the dinuclear chromium complex {LCrⅢ[μ-(dmg)3ZnⅡ]CrⅢL}2+ bridged by a non-conjugated structure [μ-(dmg)3ZnⅡ] also exhibits similar interactions [47].
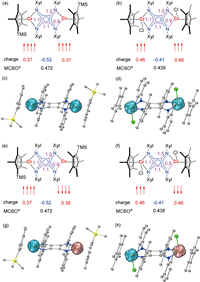
In order to get a deeper understanding of the electronic structures of complexes 2, 6, and 7, DFT calculations were carried out using the Gaussian 16C program [48] and ORCA 6.0.0 [49]. The wave function analysis was performed by the Multiwfn software (for detailed calculations, please see Supporting information) [50]. We first calculated several possible states for bridged carbon rings C4(NXyl)4, and the specific optimized structural parameters are summarized in Table S1 (Supporting information). We examined the broken-symmetry singlet, singlet, triplet, quintet, septet, and nonet spin states of 2 and 6. For complex 2, the nonet state and broken-symmetry singlet have much lower energies than the other spin states. The computed geometric structures of the nonet and broken-symmetry singlet states are quite similar, aligning closely with the crystallographic data. Meanwhile, this result is also consistent with the SQUID data, indicating the presence of two nearly independent high-spin Cr(Ⅱ) centers. The structure of bridged ligand C4(NXyl)4 in 2 is also consistent with the independently calculated [C4(NXyl)4]2− (the charge and spin multiplicities are −2 and 1, respectively), exhibiting dianionic in nature. Fuzzy bond order (FBO) analysis [51] shows that the FBOs of the C-C and C-N bonds are 1.1, 1.1, and 1.5, respectively; those of Cr−N is 0.9 (Fig. 8). These results suggest that the bridging carbon ring, formed through the tetramerization of isocyanides, receives two negative charges from the chromium centers. The ADCH (atomic dipole moment corrected Hirshfeld population) charge [52] distributions on the Cr and bridged [C4N4] unit are 0.37 and −0.52, respectively. These data, in conjunction with the average bond length observed in 2, indicate clear delocalization of π electrons across the ring, suggesting that the quaternary ring exhibits aromaticity.
|
Download:
|
| Fig. 8. (a, b, e, f) Atomic charges and bond orders for complexes 2 and 6, the FBO index highlighted in pink; (a, c) complex 2 in nonet state; (b, d) complex 6 in septet state; (c, d, g, h) spin densities; (e, g) complex 2 in broken-symmetry singlet state; (f, h) complex 6 in broken-symmetry singlet state. a Normalized multicenter bond order. | |
The nucleus-independent chemical shift (NICS) is a simple and efficient tool for judging aromaticity [53]. In general, negative values indicate aromaticity, and positive values mean anti-aromaticity. The NICS(1) value measured 1 Å above the center of the four-membered ring in complex 2 was moderately negative (−4.88), suggesting a degree of aromatic character. Additional confirmation of the aromatic nature of 2 was provided by the normalized multicenter bond order (MCBO) [54,55] of 0.472. For comparison, the normalized MCBO of common aromatic rings typically ranges around 0.6; for instance, the normalized MCBO values for H3+ and benzene are 0.667 and 0.665, respectively. More specific information can be found in Supporting information.
For complex 6, the septet and broken symmetry singlet states exhibited much lower energies than the singlet, triplet, and quintet states, suggesting two nearly independent high-spin Cr(Ⅲ) centers with antiferromagnetic coupling. As expected, the geometrical parameters of the bridged ligand C4(NXyl)4 in 6 are similar to those in 2 and 7. In comparing complexes 6 and 7, the oxidation state of both Cr atoms transitions from +3 to +2, and the number of unpaired electrons increases from three to four. This change results in a lengthening of the distance between the Cr center and the center of the Cp ring, from 1.9030(8) Å in complex 6 to 1.9679(8) Å in complex 7. The reduction occurs at the Cr center rather than in the central four-membered ring, which accounts for the similarity in the geometrical parameters of the bridging ligands across complexes 2, 6, and 7. Upon considering the broken-symmetry singlet state and their high-spin multiplet states (nonet for complex 2 and septet for complex 6), which have similar energies, we analyzed both states in Fig. 8. Our analysis revealed high consistency in bond length, charge distribution, and bond order between different states (Figs. 8e–h). Figs. 8c and d illustrate the spin density of complexes 2 and 6, showing that the major contributions arise from two metal centers, with minimal contributions from the C4(NXyl)4 units. Consequently, although we observe that complexes 2 and 6 are paramagnetic experimentally, we cannot rule out the possibility of an equilibrium between the high-spin multiplet state and the broken-symmetry singlet state.
In summary, the cyclotetramerization of isocyanides promoted by cyclopentadienyl chromium chloride complex has been achieved. The complex {(Cp*TMSCr)2[μ-C4(NXyl)4]} (2) was prepared by the reduction of Cp*TMSCr(CAAC)Cl (1a) with potassium graphite in the presence of XylNC. Control experiments demonstrated that the auxiliary ligands, solvents, the amounts of isocyanides, and reducing agents significantly impact the tetramerization of isocyanides. Through the isolation of putative intermediates, multiple side reaction pathways in the isocyanide oligomerization reaction were revealed. When replacing isocyanide with carbon monoxide for the reaction, the expected carbon monoxide coupling product was not observed; instead, monovalent chromium complex 10 or the deoxygenated product of carbon monoxide, 11 was isolated. Cp*CrLCl (L = CAAC, NHC, PCy3, or PPh2Et) can react with isocyanide to obtain tetramer product 6 with different yields. Isocyanides (4 equiv.) reacted with 1d to obtain [Cp*Cr(CNXyl)4][Cp*CrCl3] 8. In addition, SQUID and DFT calculations indicate that in complex 2, the aromatic [C4(NXyl)4]2− bridges two nearly independent high-spin (S = 2) Cr(Ⅱ), while in complex 6, the C4(NXyl)42− bridges two nearly independent high-spin (S = 3/2) Cr(Ⅲ).
Declaration of competing interestThe authors declare that they have no competing financial interests or personal relationships that could have appeared to influence the work reported in this paper.
CRediT authorship contribution statementYuanjin Chen: Writing – original draft, Validation, Methodology, Formal analysis, Data curation. Yaqi Zhao: Investigation, Data curation. Xianghui Shi: Investigation, Data curation. Qiong Yuan: Investigation. Rui Feng: Investigation. Zhenfeng Xi: Writing – review & editing, Supervision, Conceptualization. Junnian Wei: Writing – review & editing, Investigation, Funding acquisition, Data curation, Conceptualization.
AcknowledgmentsWe gratefully thank the financial support by the National Natural Science Foundation of China (No. 22201013). We also thank the Analytical Instrumentation Center at Peking University for the NMR measurements. The DFT calculation was supported by the High-performance Computing Platform of Peking University. We thank Prof. Bing-Wu Wang and Dr. Gao-Xiang Wang for SQUID analysis.
Supplementary materialsSupplementary material associated with this article can be found, in the online version, at doi:10.1016/j.cclet.2025.111130.
| [1] |
R.H. Crabtree, The Organometallic Chemistry of the Transition Metals, 5th ed., Wiley, Hoboken, 2009.
|
| [2] |
V.P. Boyarskiy, N.A. Bokach, K.V. Luzyanin, V.Y. Kukushkin, Chem. Rev. 115 (2015) 2698-2779. DOI:10.1021/cr500380d |
| [3] |
Y. Shan, L. Su, D. Chen, et al., Chin. Chem. Lett. 32 (2021) 437-440. DOI:10.1016/j.cclet.2020.04.041 |
| [4] |
E. Schwartz, M. Koepf, H.J. Kitto, R.J.M. Nolte, A.E. Rowan, Polym. Chem. 2 (2011) 33-47. DOI:10.1039/C0PY00246A |
| [5] |
Z. Cai, Y. Ren, X. Li, et al., Acc. Chem. Res. 53 (2020) 2879-2891. DOI:10.1021/acs.accounts.0c00514 |
| [6] |
N. Liu, L. Zhou, Z.Q. Wu, Acc. Chem. Res. 54 (2021) 3953-3967. DOI:10.1021/acs.accounts.1c00489 |
| [7] |
M. Suginome, Y. Ito, Polymer Synthesis, Springer, Berlin Heidelberg, 2004, pp. 77–136.
|
| [8] |
S. Mukhopadhyay, A.G. Patro, R.S. Vadavi, S. Nembenna, Eur. J. Inorg. Chem. 2022 (2022) e202200469. DOI:10.1002/ejic.202200469 |
| [9] |
E.M. Carnahan, J.D. Protasiewicz, S.J. Lippard, Acc. Chem. Res. 26 (1993) 90-97. DOI:10.1021/ar00027a003 |
| [10] |
S.L. Staun, G.T. Kent, A. Gomez-Torres, et al., Organometallics 40 (2021) 2934-2938. DOI:10.1021/acs.organomet.1c00365 |
| [11] |
W. Chen, Y. Zhao, W. Xu, et al., Chem. Commun. 55 (2019) 9452-9455. DOI:10.1039/c9cc04344f |
| [12] |
S. Hasegawa, Y. Ishida, H. Kawaguchi, Chem. Commun. 57 (2021) 8296-8299. DOI:10.1039/d1cc03463d |
| [13] |
Y.L. Zhao, Y.L. Chen, L. Zhang, et al., Inorg. Chem. 61 (2022) 5215-5223. DOI:10.1021/acs.inorgchem.1c03349 |
| [14] |
Z.D. Brown, P. Vasko, J.D. Erickson, et al., J. Am. Chem. Soc. 135 (2013) 6257-6261. DOI:10.1021/ja4003553 |
| [15] |
Y. Xiong, S.L. Yao, M. Driess, Chem. Eur. J. 15 (2009) 8542-8547. DOI:10.1002/chem.200901337 |
| [16] |
C. Valero, M. Grehl, D. Wingbermüehle, et al., Organometallics 13 (1994) 415-417. DOI:10.1021/om00014a006 |
| [17] |
J. Shen, G.P.A. Yap, K.H. Theopold, J. Am. Chem. Soc. 136 (2014) 3382-3384. DOI:10.1021/ja501291p |
| [18] |
B.E. Kucera, C.J. Roberts, V.G. Young Jr, W.W. Brennessel, J.E. Ellis, Acta Crystallogr. C 75 (2019) 1259-1265. DOI:10.1107/s205322961901101x |
| [19] |
L. Xiang, Z. Xie, Organometallics 35 (2016) 233-241. DOI:10.1021/acs.organomet.5b00953 |
| [20] |
C. Zhang, F. Dankert, Z. Jiang, et al., Angew. Chem. Int. Ed. 62 (2023) e202307352. DOI:10.1002/anie.202307352 |
| [21] |
B.M. Kriegel, R.G. Bergman, J. Arnold, J. Am. Chem. Soc. 138 (2016) 52-55. DOI:10.1021/jacs.5b11287 |
| [22] |
T. Tanase, T. Ohizumi, K. Kobayashi, Y. Yamamoto, Organometallics 15 (1996) 3404-3411. DOI:10.1021/om950619n |
| [23] |
S. Ghorai, E.D. Jemmis, Organometallics 39 (2020) 1700-1709. DOI:10.1021/acs.organomet.9b00841 |
| [24] |
S. Ghorai, R. Meena, A.P. Joseph, E.D. Jemmis, J. Phys. Chem. A 125 (2021) 7207-7216. DOI:10.1021/acs.jpca.1c05185 |
| [25] |
G.X. Wang, Z.B. Yin, J. Wei, Z. Xi, Acc. Chem. Res. 56 (2023) 3211-3222. DOI:10.1021/acs.accounts.3c00476 |
| [26] |
H.J. Li, R. Feng, G.X. Wang, J. Wei, Z. Xi, Dalton Trans. 51 (2022) 16811-16815. DOI:10.1039/d2dt03320h |
| [27] |
B. Wu, R. Feng, Z.B. Yin, et al., Sci. China Chem. 66 (2023) 755-759. |
| [28] |
X. Wang, J. Wei, Z. Xi, Organometallics 42 (2023) 1243-1247. DOI:10.1021/acs.organomet.2c00627 |
| [29] |
Y. Chen, D. Huang, X. Shi, Z. Xi, J. Wei, Acta Chim. Sinica 82 (2024) 471-476. DOI:10.6023/a24020060 |
| [30] |
R. Feng, Y. Jiang, X. Shi, et al., CCS Chem. 5 (2023) 2473-2481. DOI:10.31635/ccschem.023.202303053 |
| [31] |
Y. Chen, X. Shi, D. Huang, J. Wei, Z. Xi, Chin. Chem. Lett. 35 (2024) 109292. DOI:10.1016/j.cclet.2023.109292 |
| [32] |
Z.B. Yin, B. Wu, G.X. Wang, J. Wei, Z. Xi, J. Am. Chem. Soc. 145 (2023) 7065-7070. DOI:10.1021/jacs.3c00266 |
| [33] |
G.X. Wang, X. Wang, Y. Jiang, et al., J. Am. Chem. Soc. 145 (2023) 9746-9754. DOI:10.1021/jacs.3c01497 |
| [34] |
G. Horrer, M.S. Luff, U. Radius, Dalton Trans. 52 (2023) 13244-13257. DOI:10.1039/d3dt02123h |
| [35] |
J. Yin, J. Li, G.X. Wang, et al., J. Am. Chem. Soc. 141 (2019) 4241-4247. DOI:10.1021/jacs.9b00822 |
| [36] |
J. Li, J. Yin, G.X. Wang, et al., Chem. Commun. 55 (2019) 9641-9644. DOI:10.1039/c9cc02960e |
| [37] |
Y. Ito, K. Kobayashi, T. Saegusa, J. Am. Chem. Soc. 99 (1977) 3532-3534. DOI:10.1021/ja00452a073 |
| [38] |
S. Wang, J. Hilgar, A. Rheingold, J. Rinehart, J. Figueroa, ChemRxiv. (2024). DOI:10.26434/chemrxiv-2024-xzx5t |
| [39] |
R.B.P. Elmes, P. Turner, K.A. Jolliffe, Org. Lett. 15 (2013) 5638-5641. DOI:10.1021/ol402500q |
| [40] |
B.W. Gung, S.C. Schlitzer, Tetrahedron Lett. 56 (2015) 5043-5047. DOI:10.1016/j.tetlet.2015.07.019 |
| [41] |
T. Shima, Z. Hou, J. Am. Chem. Soc. 128 (2006) 8124-8125. DOI:10.1021/ja062348l |
| [42] |
J. Cheng, M.J. Ferguson, J. Takats, J. Am. Chem. Soc. 132 (2010) 2-3. DOI:10.1021/ja905679k |
| [43] |
W. Yang, A.J.P. White, M.R. Crimmin, Angew. Chem. Int. Ed. 63 (2024) e202319626. DOI:10.1002/anie.202319626 |
| [44] |
W.A. Hoffert, A.K. Rappe, M.P. Shores, Inorg. Chem. 49 (2010) 9497-9507. DOI:10.1021/ic101528d |
| [45] |
G.X. Wang, C. Shan, W. Chen, et al., Angew. Chem. Int. Ed. 63 (2024) e202315386. DOI:10.1002/anie.202315386 |
| [46] |
E. Bill, julX, 1.41, Max Planck Institute for Bioinorganic Chemistry, Mülheim an der Ruhr, Germany, 2008.
|
| [47] |
D. Burdinski, E. Bill, F. Birkelbach, K. Wieghardt, P. Chaudhuri, Inorg. Chem. 40 (2001) 1160-1166. DOI:10.1021/ic000870h |
| [48] |
M.J. Frisch, G.W. Trucks, H.B. Schlegel, et al., Gaussian 16, Revision C. 01, Gaussian, Inc., Wallingford CT, 2019.
|
| [49] |
F. Neese, WIRES Comput. Molec. Sci. 12 (2022) e1606. DOI:10.1002/wcms.1606 |
| [50] |
T. Lu, F. Chen, J. Comput. Chem. 33 (2012) 580-592. DOI:10.1002/jcc.22885 |
| [51] |
I. Mayer, P. Salvador, Chem. Phys. Lett. 383 (2004) 368-375. DOI:10.1016/j.cplett.2003.11.048 |
| [52] |
T. Lu, F.W. Chen, Acta Phys. Chim. Sin. 28 (2012) 1-18. DOI:10.3866/PKU.WHXB2012281 |
| [53] |
P.V.R. Schleyer, C. Maerker, A. Dransfeld, H. Jiao, N.J. van Eikema Hommes, J. Am. Chem. Soc. 118 (1996) 6317-6318. DOI:10.1021/ja960582d |
| [54] |
M. Giambiagi, M.S. de Giambiagi, K.C. Mundim, Struct. Chem. 1 (1990) 423-427. DOI:10.1007/BF00671228 |
| [55] |
E. Matito, Phys. Chem. Chem. Phys. 18 (2016) 11839-11846. DOI:10.1039/C6CP00636A |
2025, Vol. 36 


