b Xiamen Key Laboratory of Rare Earth Photoelectric Functional Materials, Xiamen Institute of Rare Earth Materials, Haixi Institutes, Chinese Academy of Sciences, Xiamen 361021, China;
c College of Chemistry, Fuzhou University, Fuzhou 350108, China;
d Engineering Research Center of Environment-Friendly Functional Materials, Ministry of Education, Institute of Materials Physical Chemistry, Huaqiao University, Xiamen 361021, China;
e Sinopec Maoming Petrochemical Co., Ltd., Maoming 525000, China;
f Guangdong Provincial Key Laboratory of Advanced Green Lubricating Materials, Maoming 525000, China;
g State Key Laboratory of Advanced Design and Manufacturing for Vehicle Body, College of Mechanical and Vehicle Engineering, Hunan University, Changsha 410082, China
Due to the abundant of sodium element, the scarcity of lithium element, and analogous electrochemical properties between sodium and lithium, sodium-ion batteries are the research hotspot now [1-4]. In the several critical components of battery, electrode materials are still the bottleneck to achieve high performance. Therefore, the attempts for developing advanced electrode materials with high specific capacity have never stopped [5-7]. Recently, sodium-selenium (Na-Se) batteries have drawn people's attention on account of their high volumetric energy density (2530 Wh/L) [8-10]. As the congener of S, it has always been reported that Se-based electrode show good compatibility with carbonate-based electrolytes, and can be transformed into insoluble Na2Se directly, avoiding the shuttle effect of Na2Sex (x > 4) [2,11]. At present, the research emphasis of Na-Se batteries mainly focuses on how to surmount the high reaction barrier of conversion reaction from Se to Na2Se, thus increasing the utilization ratio of Se [12-14].
To overcome this shortcoming, many strategies have been designed, including combining Se with porous carbon matrix [15,16], optimizing electrolyte additive [13,17], applying functional separator [18] and introducing electrocatalytic mechanism [12,19]. Among them, loading active materials Se into porous carbon matrix is the most common knack, which can improve the conductivity of Se-based electrode, thus shortening diffusion path of Na+ and increasing conversion efficiency of electrons. For example, Zhang et al. prepared microporous carbon (NS-K-PC) derived from PSSH-melamine salt solution as Se host and verified that chain-like Sex with high reaction activity is more likely produced in micropore [15]. In addition, employing heteroatoms (N, O, S, etc.) doped carbon matrix as Se host is a wise option, which always show better chemical affinity with Se or Na2Se and wetting capability with organic solvent in electrolyte [20]. Recently, Rashad et al. synthesized a N-doping bio-waste derived carbon matrix as Se host by solvothermal method in ammonium hydroxide, which enables obvious promotion of electrochemical performance of Se-based electrode when compared with no-doping host [16]. However, although tremendous progress has achieved in the last decade, the practicability of these materials needs further improvement.
Besides above strategies, interface design is a more intriguing choice because it could construct protective layer with specific properties on the surface of electrode, and it is easy to regulate and control, which have also been applied in commercial electrode materials, including electron-conductive coating, polymer coating, fluoride and phosphate modification [5,21,22]. When it comes to Se-based electrode, there are only several examples about interface design can be found. Typically, Su et al. found that surface iodine modification of Se@carbon fibers induces the generation of enhanced cathode electrolyte interface (CEI) film, which can prevent the conversion from high-activity amorphous Se to low-activity crystalline Se, and iodine groups on the surface of carbon fibers can also accelerate charge migration [23]. However, this bulk modification of Se-based electrode is inadvisable because this method exists defects of non-uniformity and poor repeatability.
Herein, we present a practical and green route to prepare advanced Se-based electrode by using tea stem-derived micropore carbon (TSC) as Se host and coating TSC/Se particles with cyclic polyacrylonitrile (cPAN) matrix. Tea stem is the main waste tea products, supporting large-scale industrial production. cPAN is synthesized through only low temperature pyrolysis of low-cost PAN, which result in the occurrence of cyclization reaction for nitrile group, thus leading to a π-π conjugate configuration with increased electrical conductivity of whole electrode [11]. This cost-effective and practical method for material preparation in this work is promising and innovative. As Se-based electrode, TSC/Se/cPAN delivers great capacity of 420.6 mAh/g after 300 cycles at 0.2 C. When matched with Na3V2(PO4)3 for full cell, TSC/Se/cPAN electrode also exhibits discharge capacity of 556.6 mAh/g after 55 cycles at 0.1 C. The XPS analysis and TEM images of cycled TSC/Se/cPAN electrode demonstrate that interface design of cPAN promotes the ratio of robust inorganic salt NaCl in CEI film, reducing the occurrence of side reaction and maintaining stability of microstructure. This work focuses on practical and low-cost interface design enabling high performance Se-based electrode.
Fig. 1a shows the synthetic procedure of TSC/Se/cPAN, involving the preparation of micropore carbon matrix, active materials Se loading and interface design of cPAN coating. On account of the specific characteristics of cPAN, it can enhance electronic conductivity and maintain microstructure stability of whole electrode after cycling, which will be presented in the following discussion.
|
Download:
|
| Fig. 1. (a) The synthetic process of TSC/Se/cPAN electrode. (b-d) SEM images and (e-g) TEM images of TSC/Se/cPAN. Inset in (e) is SAED image. (h) Element mapping images of C, N, Se in TSC/Se/cPAN. | |
As shown in Fig. S1 (Supporting information), TSC sample shows various size from a few microns to tens of microns and its morphology exhibits obvious feature of biomass carbon with blocky structure. In HRTEM images, the porosity of TSC can be obviously observed (Fig. S2 in Supporting information). After Se loading, the morphology of TSC/Se does not show obvious difference, no Se particles appearing, implying that Se is loaded in pore of TSC. The SEM images of TSC/Se/cPAN and TSC/Se/CMC present an agglomerate state due to the "glue" effect of CMC or cPAN, in which many nanoparticles (Super P) adhere to the surface of TSC/Se (Figs. 1b-d and Figs. S1g-i). From TEM images, TSC/Se/cPAN exhibits an irregular shape, with conductive agent Super P accompanying (Fig. 1e). In SAED image (inset in Fig. 1e), no bright spot appear, which demonstrates the amorphous feature of Se and tea stem-derived carbon matrix [12]. The thickness of cPAN coating layer is a very important parameter influencing electrochemical performance. As shown in Figs. 1f and g, its thickness is about 20 nm. From element mapping images (Fig. 1h), it is obvious that the profile of N overlaps well with that of C and N-containing cPAN mainly aggregates on the surface of carbon matrix. In addition, the profile of Se is similar but contractive when compared with C.
In Fig. 2a, the diffraction peak at 2θ = 23° of TSC is ascribed to (002) lattice plane, which is not sharp but broad, demonstrating its amorphous state [8]. After Se loading, there is no characteristic peak at 29.7°, further implying amorphous state of Se in TSC/Se sample (Fig. S3 in Supporting information) [24]. The profile of TSC/Se/cPAN and TSC/Se/CMC composite are similar to that of TSC/Se sample, no other peaks of impurities. According to Raman spectra (Fig. 2b) [25], the intensity ratio between D-band and G-band (ID/IG) for TSC/Se is 1.08, and TSC is 1.07. After cAPN coating, the ID/IG value for TSC/Se/cPAN is 2.16, largely higher than that of TSC/Se sample, implying that cPAN is disordered amorphous structure, being in agreement with XRD results (Fig. S3) [26]. The surface area for TSC and TSC/Se are 797.3 m2/g and 102.5 m2/g, which shows an obvious decline after Se loading (Fig. 2c). Similarly, the total pore volume for TSC and TSC/Se are 0.417 cm3/g and 0.012 cm3/g, demonstrating that Se fills in the pore of TSC. It is obvious that the isotherms of TSC at low P/P0 region is very prominent and H2 hysteresis loop is not distinct, implying the existence of abundant micropores and absence of meso/macropore [27], which is also verified by pore-size distribution curves in the inset in Fig. 2c. From TG analysis (Fig. S4 in Supporting information), the Se content in TSC/Se sample is about 46.5 wt%. The mass loss before 100 ℃ is mainly ascribed to moisture volatilization.
|
Download:
|
| Fig. 2. (a) XRD patterns and (b) Raman spectra of samples. (c) BET test of TSC and TSC/Se. High-resolution XPS spectra for N 1s of (d) PAN, (e) cPAN and (g) TSC/Se/cPAN. High-resolution XPS spectra for (f) C 1s and (h) Se 3d of TSC/Se/cPAN. (i) The electronic conductivity of all samples. | |
As shown in Fig. S5 (Supporting information), the N1, N2 and N3 represent the cyanic group, pyridinic group and substitutional graphite group, respectively [28]. The magnified N 1s spectra of PAN shows the complete N1 structure at room temperature (Fig. 2d). After heating treatment at 250 ℃, it exhibits characteristic peak of N2 at 397.6 eV and N3 at 398.7 eV, demonstrating the formation of cyclization PAN (cPAN) (Fig. 2e) [29]. For TSC/Se/cPAN sample, its C 1s spectra is consisted of three peaks at 284.6 eV (C–C), 286.5 eV (C–O) and 289.1 eV (O=C–O) (Fig. 2f) [30,31]. This phenomenon is also identical for TSC, TSC/Se and TSC/Se/CMC samples (Fig. S6 in Supporting information). The N 1s spectra can be fitted to two peaks, corresponding to typical peaks at 397.6 (N2) and 398.7 eV (N3) as pure cPAN sample, implying that PAN in TSC/Se/cPAN were also complete cyclization (Fig. 2g) [29]. In Fig. 2h, the typically peak of Se–C bond (59.4 eV) was detected [32]. The peak intensity of Se–C bond in TSC/Se sample higher than that in TSC/Se/cPAN and TSC/Se/CMC samples (Fig. S6). The electron conductivity of all samples was tested to predict electrochemical performance. The electron conductivity of TSC/Se is 0.104 S/cm, while that for TSC/Se/cPAN and TSC/Se/CMC are 2.802 S/cm and 1.467 S/cm (Fig. 2i). Due to the contribution of conductive additive Super P, the electron conductivity of TSC/Se/CMC is an order of magnitude larger than TSC/Se. This value for TSC/Se/cPAN is twice for TSC/Se/CMC sample, demonstrating that π-conjugate structure of cPAN is beneficial for electron transport, indicating better electrochemical performance of TSC/Se/cPAN electrode.
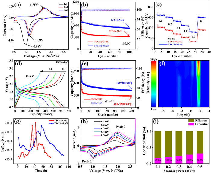
As shown in Fig. 3a, CV curves of TSC/Se/cPAN only display a pair redox peak, implying the essence of one-step solid transformation reaction. The cathodic peak at 0.98 V is the Se8 ring transforming into insoluble Na2Se directly. Because of the length increasing of Sex chain, it shifts to 1.09 V at the 2nd and 3th cycle [2]. The stable anodic peaks at 1.75 V corresponds to the conversion from Na2Se to Sex. Fig. S7 (Supporting information) is the charge/discharge profiles comparison, from which polarization voltage of TSC/Se/cPAN are calculated to be 0.27 V based on median voltage, lower than 0.33 V for TSC/Se/CMC. In addition, coulombic efficiency of the third cycle of the two electrodes are both nearly 100%. TSC/Se/cPAN exhibits initial discharge capacity of 1072.6 mAh/g and 532.4 mAh/g at 0.1 C after 100 cycles, higher than that of TSC/Se/CMC electrode with 756.2 mAh/g and 317.3 mAh/g (Fig. 3b). Rate performance from 0.1 C to 2.0 C was measured to evaluate electrode capability of fast charge (Fig. 3c). TSC/Se/cPAN electrode shows a specific discharge capacity of 643.4, 601.2, 525.6, 442.3 and 318.3 mAh/g at 0.1, 0.2, 0.5, 1.0 and 2.0 C, respectively. In contrast, the discharge capacity of TSC/Se/CMC electrode is lower. From corresponding charge/discharge profile, its polarization voltage exhibits an increasing tendency when current density increase, and TSC/Se/CMC electrode is more deteriorative than TSC/Se/cPAN electrode, which is obvious at 2 C (Fig. 3d and Fig. S8 in Supporting information). The long-term electrochemical performance of TSC/Se/cPAN and TSC/Se/CMC were also explored (Fig. 3e). TSC/Se/cPAN shows excellent discharge capacity of 420.6 mAh/g after 300 cycles at 0.2 C. In contrast, the discharge capacity of TSC/Se/CMC electrode is only 286.45 mAh/g. In addition, the discharge capacity of TSC approaches zero, suggesting its negligible capacity contribution for the two electrodes (Fig. S8). TSC/Se/cPAN electrode with high content also delivers great capacity of 340.8 mAh/g after 300 cycles at 0.2 C (Fig. S9 in Supporting information). The electrochemical performances comparation of various Se-based materials for Na-ion storage are displayed in Table S1 (Supporting information). Although TSC/Se/cPAN does not show obvious advantage, the innovation and practicability of material preparation route in this work is nonnegligible.
|
Download:
|
| Fig. 3. (a) The CV curves of TSC/Se/cPAN electrode. (b, e) Cycling performance comparison of TSC/Se/cPAN and TSC/Se/CMC. (c) Rate performance and (d) corresponding charge/discharge profile of TSC/Se/cPAN electrode. (f) 2D contour map during discharge process based on DRT curves. (g) Na+ diffusion coefficient comparison. (h) The CV curves of TSC/Se/cPAN electrode at different scanning rate. (i) The concrete ratio of capacity contribution from different Na+ storage mechanism. | |
Electrochemical impedance spectroscopies (EIS) at different charge state were tested to illuminate kinetic properties of TSC/Se/cPAN electrode (Fig. S10 in Supporting information). The electrolyte resistance (Rs, X-axis intercept) displays two peak values at 1.2 V and 1.7 V, in accord with discharge/charge plateau voltage (Fig. S10d). This phenomenon is due to the volume fluctuation of electrode during cycling, thus resulting to tiny viscosity change of electrolyte [33]. At middle/low-frequency region, the semicircle is on behalf of the integration of CEI film resistance (Rcei) and charge transfer resistance (Rct), which shows slightly higher value at initial discharge state and final charge state. To distinguish the intercoupling semicircles in EIS plots, DRT analysis was employed [34,35]. As shown in Fig. 3f and Fig. S10c, the far-right and the most conspicuous peak is on behalf of Rct, which also shows the highest value at initial discharge state and final charge state [12].
Na-ion diffusion coefficient (DNa+ ) of TSC/Se/cPAN and TSC/Se/CMC electrode were analysed based on GITT measurement. Due to its improved conductivity, the voltage fluctuation under current pulse of TSC/Se/cPAN is smaller than that of TSC/Se/CMC at most state of charge (SOC) (Fig. S11 in Supporting information). According to Eq. 1 [12,36]:
| $ D_{\mathrm{Na}^{+}}=\frac{4 L^2}{\pi \tau}\left(\frac{\Delta E_s}{\Delta E_\tau}\right)^2, \quad \tau \ll ^{L^2} / D_{\mathrm{Na}^{+}} $ | (1) |
where L is thickness of electrode material, τ is the relaxation time (6000s), ΔEτ(V) is the fluctuated voltage during current pulse and ΔEτ (V) is the quasi-equilibrium voltage, the magnitude of average DNa+ of TSC/Se/cPAN during whole charge/discharge process was calculated to be –12.13, larger than that of TSC/Se/CMC electrode with –12.43 (Fig. 3g). Higher DNa+ can ensure better rate performance.
According to related literature, the Na+ storage mechanism includes diffusion-control behavior (conversion reaction) and pseudocapacitance behavior [37,38]. The concrete ratio of capacity contribution of different Na+ storage mechanism was investigated based on CV measurement. As shown in Fig. 3h, the relationships between scanning rate (v) and peak current (i) are as follow [39]:
| $ \ln (i)=b \ln (v)+\ln (a) $ | (2) |
where a is a constant, and b is a variable ranging from 0.5 to 1.0. Typically, b = 0.5 represents discharge capacity coming from the complete diffusion-control behavior and b = 1 explains discharge capacity coming from the complete pseudocapacitance behavior [40]. According to the v and i values at peak 1 and peak 2 marked in Fig. 3h, b values are fitted to be 0.59 and 0.50, demonstrating that the both Na+ storage mechanism contribute capacity during charge process and only diffusion-control behavior contribute capacity during discharge process (Fig. S12 in Supporting information). According to Eq. 3 [41]:
| $ i=k_1 v+k_2 v^{1 / 2} $ | (3) |
where k1v and k2v1/2 represent pseudocapacitance and diffusion-control contributed current, respectively [42]. At the same SOC, there are five pair values of (i, v), from which k1 and k2 can be fitted by least square method, thus acquiring the concrete ratio of pseudocapacitance-contributed capacity. The typical ratio was calculated to be 17.5% at 0.1 mV/s. At high scanning rate, the corresponding values are 21.2% (0.2 mV/s), 24.9% (0.3 mV/s), 28.9% (0.4 mV/s) and 31.7% (0.5 mV/s), exhibiting an increasing tendency (Fig. 3i). This result demonstrates that Na+ storage mechanism in TSC/Se/cPAN mainly is diffusion-control behavior.
The cathode electrolyte interphase (CEI) constituents of both electrodes after discharge/charge 300 cycles were explored by XPS analysis [43]. The C 1s spectra presents three characteristic peaks at ~284–285 eV, ~286.2–286.4 eV and ~288.8–289.5 eV, which corresponds to C–C, C–O and O=C–O bond (Fig. 4a) [44]. The C–C bond is mainly attributed to carbon matrix and Super P additive; the O=C–O bond most probably comes from organic species of sodium alkyl carbonates ((NaCO3R) [45]. Fig. 4b is the Cl 2p spectra, which indicates the presence of NaxClOy (208.9 eV) and NaCl (198.9 eV). The NaCl component is the product of electrochemical reduction of NaClO4 in electrolyte [45,46]. The concrete ratio of CEI components of the two electrodes is shown in Fig. 4c. CEI film formed on the surface of TSC/Se/cPAN electrode is enriched in inorganic salt NaCl (72%) with few organic salt NaCO3R (14.4%, O=C–O bond), while CEI film on TSC/Se/CMC electrode surface contains equal NaCl (47.7%) and NaCO3R (44.7%, O=C–O bond). According to related literature [5,23,47], inorganic salt component is necessary for a robust, stable and protective CEI film, which further reduces the occurrence of side reactions [48]. The microstructure of the two electrodes after 300 cycles were also compared. TSC/Se/cPAN particle presents an intact morphology, and its diameter is ~1.5 µm (Fig. 4d), while the TSC/Se/CMC particle shows a cracked morphology (Fig. 4f). In the high-resolution TEM images (Figs. 4e and g), the TSC/Se/cPAN electrode is compaction and no obvious CEI film is observed, which is necessary for excellent electrochemical performance. As comparison, there are many holes or voids in TSC/Se/CMC electrode, thus leading to continuous decomposition of electrolyte, occurrence of side reactions, incrassation of CEI film and terrible cycling stability [49,50]. These element mapping images of TSC/Se/cPAN show that all element (C, N, O, Na, Cl, Se) distribute evenly after cycling 300 cycles (Fig. 4h).
|
Download:
|
| Fig. 4. XPS comparison of (a) C 1s and (b) Cl 2p spectra of TSC/Se/cPAN and TSC/Se/CMC after 300 cycles. (c) The concrete ratio of CEI component of the two samples. The TEM images of (d, e) TSC/Se/cPAN and (f, g) TSC/Se/CMC after 300 cycles. (h) Element mapping images of C, N, O, Na, Cl, Se in TSC/Se/cPAN after 300 cycles. | |
Finally, to evaluate the practicality of TSC/Se/cPAN electrode, full-cells with NVP as counter electrode were assembled [51]. As shown in Fig. S13 (Supporting information), NVP delivers reversible capacity of 96.2 mAh/g at 0.1 C after 100 cycle and exhibits perfect discharge platform at 3.35 V. TSC/Se/cPAN||NVP full cell shows a discharge capacity of 556.6 mAh/g (based on quality of Se) at 0.1 C after 55 cycles under voltage range of 1.0–3.0 V, with a high charge/discharge platform at about 2.0 V/1.75 V, reflecting a promising capacity retention ratio of 96.5% and a decent energy density of 442.75 Wh/kg. In addition, the charge/discharge profiles at different cycle overlap well, further demonstrating the great cycling stability of the TSC/Se/cPAN||NVP full cell. As for rate performance, the full cell delivers specific capacity of 624.5, 583.6, 520.4, 449.3 and 379.2 mAh/g at 0.1, 0.2, 0.5, 1.0 and 2.0 C, respectively. With the increasing of current density, the polarization voltage (voltage difference between charge/discharge platform) exhibits an increase tendency. According to the above analysis, TSC/Se/cPAN electrode exhibits the potential for practical application.
In summary, an advanced Se-based electrode by using tea stem-derived micropore carbon as Se host and then coating TSC/Se particles with cyclic polyacrylonitrile (cPAN) matrix is designed and prepared. TSC/Se/cPAN electrode delivers superior rate capacity of 318.3 mAh/g at 2 C, and great discharge capacity of 420.6 mAh/g after 300 cycles at 0.2 C. When matched with Na3V2(PO4)3 for full cell, it also exhibits reversible capacity of 556.6 mAh/g after 55 cycles at 0.1 C. This excellent electrochemical performance is because: (1) The π-conjugate structure of cPAN with increased electrical conductivity can enhance conversion efficiency of electrons and diffusion rate of Na+, thus increasing the utilization ratio of Se; (2) Interface design of cPAN coating promotes the ratio of robust inorganic salt NaCl in CEI film, reducing the occurrence of side reaction and maintaining stability of microstructure. This work points out a new strategy to synthesize advanced Se-based electrode for Na-Se batteries.
Declaration of competing interestThe authors declare that they have no known competing financial interests or personal relationships that could have appeared to influence the work reported in this paper.
CRediT authorship contribution statementQi Xia: Conceptualization, Investigation, Writing – original draft. Ke Yan: Software. Ke Jin: Methodology. Yang Wu: Validation. Yanan Fu: Formal analysis. Ding Chen: Investigation. Huixin Chen: Investigation, Resources, Supervision. Hongjun Yue: Resources, Writing – review & editing.
AcknowledgmentsThis work was financially supported by Fujian Science and Technology Planning Projects of China (Nos. 2022T3067 and 2023H0045), the Self-deployment Project Research Programs of Haixi Institutes, Chinese Academy of Sciences (No. CXZX-2022-JQ12), the XIREM autonomously deployment project (No. 2023GG02).
Supplementary materialsSupplementary material associated with this article can be found, in the online version, at doi:10.1016/j.cclet.2024.110406.
| [1] |
J.K. Kim, Y.C. Kang, ACS Nano 14 (2020) 13203-13216. DOI:10.1021/acsnano.0c04870 |
| [2] |
W.D. Dong, Y. Li, C.F. Li, et al., Nano Energy 105 (2023) 108005. DOI:10.1016/j.nanoen.2022.108005 |
| [3] |
F. Zhang, B. He, Y. Xin, et al., Chem. Rev. 124 (2024) 4778-4821. DOI:10.1021/acs.chemrev.3c00728 |
| [4] |
H. Wang, H. Chen, C. Chen, et al., Chin. Chem. Lett. 34 (2023) 107465. DOI:10.1016/j.cclet.2022.04.063 |
| [5] |
Y. Su, S. Liu, D. Zhu, et al., Energy Storage Mater. 59 (2023) 102779. DOI:10.1016/j.ensm.2023.102779 |
| [6] |
K. Du, R. Tao, C. Guo, et al., Nano Energy 103 (2022) 107862. DOI:10.1016/j.nanoen.2022.107862 |
| [7] |
S. Wei, H. Chen, F. Yu, et al., J. Power Sources 598 (2024) 234193. DOI:10.1016/j.jpowsour.2024.234193 |
| [8] |
L. Liu, R. Zhang, S. Li, et al., Electrochim. Acta 479 (2024) 143907. DOI:10.1016/j.electacta.2024.143907 |
| [9] |
G. Wang, Y. Chen, Y. Han, et al., J. Energy Chem. 80 (2023) 99-109. DOI:10.1016/j.jechem.2022.12.054 |
| [10] |
H. Chen, C. Zhao, H. Yue, et al., Chin. Chem. Lett. 36 (2025) 109650. DOI:10.1016/j.cclet.2024.109650 |
| [11] |
Q. Xia, J. Hu, Q. Chen, et al., J. Alloy. Compd. 927 (2022) 167014. DOI:10.1016/j.jallcom.2022.167014 |
| [12] |
Q. Xia, Y. Zou, K. Yan, et al., J. Colloid Interf. Sci. 667 (2024) 282-290. DOI:10.1016/j.jcis.2024.04.083 |
| [13] |
M.H.A. Shiraz, P. Zhao, J. Liu, J. Power Sources 453 (2020) 227855. DOI:10.1016/j.jpowsour.2020.227855 |
| [14] |
X.L. Huang, C. Zhou, W. He, et al., ACS Nano 15 (2021) 5876-5903. DOI:10.1021/acsnano.0c10078 |
| [15] |
Q. Xia, J. Hu, Q. Chen, et al., J. Colloid Interf. Sci. 610 (2022) 643-652. DOI:10.1016/j.jcis.2021.11.106 |
| [16] |
M. Asif, Z. Ali, M. Ali, et al., J. Colloid Interf. Sci. 617 (2022) 641-650. DOI:10.1016/j.jcis.2022.03.024 |
| [17] |
X. Qi, Y. Yang, Q. Jin, et al., Angew. Chem. Int. Ed. 59 (2020) 13908-13914. DOI:10.1002/anie.202004424 |
| [18] |
H. Wang, Y. Jiang, A. Manthiram, Adv. Energy Mater. 8 (2017) 13908-13914. |
| [19] |
H. Tian, H. Tian, S. Wang, et al., Nat. Commun. 11 (2020) 5025. DOI:10.1038/s41467-020-18820-y |
| [20] |
W.D. Dong, W.B. Yu, F.J. Xia, et al., J. Colloid Interf. Sci. 582 (2021) 60-69. DOI:10.1016/j.jcis.2020.06.071 |
| [21] |
Y. Zhang, J. Wang, Z. Xue, Adv. Funct. Mater. 34 (2023) 2311925. |
| [22] |
D. Ma, Y. Li, J. Yang, et al., Nano Energy 43 (2018) 317-325. DOI:10.1016/j.nanoen.2017.11.042 |
| [23] |
M. Zhou, W. Dong, A. Xu, et al., Chem. Eng. J. 455 (2023) 140803. DOI:10.1016/j.cej.2022.140803 |
| [24] |
W.D. Dong, C.F. Li, H.Y. Li, et al., J. Mater. Chem. A 10 (2022) 8059-8067. DOI:10.1039/d1ta10193e |
| [25] |
A. Xu, Q. Xia, S. Zhang, et al., Small 15 (2019) 1903521. DOI:10.1002/smll.201903521 |
| [26] |
Q. Xia, A. Xu, L. Du, et al., J. Alloy. Compd. 800 (2019) 50-57. DOI:10.1016/j.jallcom.2019.06.023 |
| [27] |
J. Hu, Q. Chen, Q. Xia, et al., Appl. Surf. Sci. 599 (2022) 153951. DOI:10.1016/j.apsusc.2022.153951 |
| [28] |
Y. Su, S. Liu, D. Zhu, et al., Energy Storage Mater. 59 (2023) 102779. DOI:10.1016/j.ensm.2023.102779 |
| [29] |
D.M. Piper, T.A. Yersak, S.B. Son, et al., Adv. Energy Mater. 3 (2013) 697-702. DOI:10.1002/aenm.201200850 |
| [30] |
J. Hu, L. Zhang, J. Mater. Chem. A 9 (2021) 27560-27567. DOI:10.1039/d1ta07749j |
| [31] |
Z. Song, G. Wang, Y. Chen, et al., Chem. Eng. J. 463 (2023) 142289. DOI:10.1016/j.cej.2023.142289 |
| [32] |
X.L. Huang, X. Zhang, M. Yi, et al., Chem. Sci. 13 (2022) 11585-11593. DOI:10.1039/d2sc04648b |
| [33] |
Q. Hu, J. Lu, C. Yang, et al., Small 16 (2020) 2002046. DOI:10.1002/smll.202002046 |
| [34] |
Y. Lu, C.Z. Zhao, J.Q. Huang, et al., Joule 6 (2022) 1172-1198. DOI:10.1016/j.joule.2022.05.005 |
| [35] |
R. Soni, J.B. Robinson, P.R. Shearing, et al., Energy Storage Mater. 51 (2022) 97-107. DOI:10.1016/j.ensm.2022.06.016 |
| [36] |
Y. Sun, J. Liao, J. Sun, et al., ACS Appl. Energy Mater. 5 (2022) 13023-13030. DOI:10.1021/acsaem.2c02679 |
| [37] |
Q. Xia, A. Xu, C. Huang, et al., ChemElectroChem 6 (2019) 4402-4410. DOI:10.1002/celc.201901111 |
| [38] |
S. Vallem, S. Song, Y. Oh, et al., Small Methods 8 (2024) 2400294. DOI:10.1002/smtd.202400294 |
| [39] |
Y. Tong, Y. Wu, Z. Liu, et al., Chin. Chem. Lett. 34 (2023) 107443. DOI:10.1016/j.cclet.2022.04.041 |
| [40] |
S. Li, J. Zhu, W. Lu, et al., J. Colloid. Interf. Sci. 663 (2024) 801-809. DOI:10.1016/j.jcis.2024.03.004 |
| [41] |
Z. Song, G. Wang, Y. Chen, et al., Chem. Eng. J. 435 (2022) 134633. DOI:10.1016/j.cej.2022.134633 |
| [42] |
J. Li, J. Song, L. Luo, et al., Adv. Energy Mater. 12 (2022) 2200894. DOI:10.1002/aenm.202200894 |
| [43] |
A. Darwiche, L. Bodenes, L. Madec, et al., Electrochim. Acta 207 (2016) 284-292. DOI:10.1016/j.electacta.2016.03.089 |
| [44] |
X. Gao, X. Dong, Z. Xing, et al., Nanoscale 15 (2023) 1568-1582. DOI:10.1039/d2nr05885e |
| [45] |
G.G. Eshetu, T. Diemant, M. Hekmatfar, et al., Nano Energy 55 (2019) 327-340. DOI:10.1016/j.nanoen.2018.10.040 |
| [46] |
W.E. Morgan, J.R. Van Wazer, W.J. Stec, J. Am. Chem. Soc. 95 (1973) 751-755. DOI:10.1021/ja00784a018 |
| [47] |
S. Wang, C. Li, X. Fan, et al., Energy Technol. 9 (2021) 2100190. DOI:10.1002/ente.202100190 |
| [48] |
R. Xu, Q. Liu, Q. Yang, et al., Electrochim. Acta 462 (2023) 142787. DOI:10.1016/j.electacta.2023.142787 |
| [49] |
Q. Zhang, J. Ma, L. Mei, et al., Matter 5 (2022) 1235-1250. DOI:10.1016/j.matt.2022.01.015 |
| [50] |
X. Zuo, C. Fan, X. Xiao, et al., J. Power Sources 219 (2012) 94-99. DOI:10.1016/j.jpowsour.2012.07.026 |
| [51] |
Q. He, H. Chen, X. Chen, et al., Adv. Funct. Mater. 34 (2024) 2310226. DOI:10.1002/adfm.202310226 |
2025, Vol. 36 

