The selective conversion of CH4 to complex carbon-based compounds under mild conditions is one of the most important transformations both in nature and for the chemical industry [1]. However, the inherent inertness of C-H bonds in methane poses great challenges for catalytic systems, not only in terms of activation, but also in controlling chemical selectivity and over functionalization under harsh necessary conditions (high temperatures, ultra-acidic media, strong oxidants). In addition, the low solubility of gaseous substrates in most solvents has presented substantial practical difficulties [2]. Elegant catalytic systems using noble metals such as Pd, Au, and Rh have recently been reported [3-5]. However, the challenge remains to develop efficient and non-noble catalytic systems under gentle conditions. Methane catalysis using non-precious metals, such as Mo [6], Fe [7], Cu [8], and W [9], usually requires high temperatures and pressures, which leads to high energy consumption and complex process [10]. Therefore, it is an urgent task to realize methane conversion under mild conditions.
Photoredox catalysis with non-noble metal has recently emerged as a powerful platform for the direct activation and functionalization of organic molecules. Cerium(Ⅲ) salts has been used as pre-catalysts for the challenging oxidation of a variety of alcohols [2]. The cerium(Ⅲ) salts are ideal catalyst for sustainable, large-scale photocatalytic systems to achieve C-H bond activation due to the readily available abundance and high activity. Recently, metal-organic frameworks (MOF) have received considerable attention due to their high porosity, large surface area and functionalization [11]. MOF has a low catalytic activity as a catalyst, but can provide a coordination environment for active site binding [12-17]. POMs are typically used as co-catalysts [18] to enhance the catalytic activity of MOFs due to their well-defined structure and rich redox properties [19-22]. Therefore, it is one of the current research topics to synergistically couple Ce-MOF as a carrier for POMs in catalyzing methane activation.
Among them, decatungstate anion (W10O324-, noted as W10) is one of the most promising POMs, due to its high photocatalytic activity in the selective oxidation with molecular oxygen [23,24]. In 2018, Davide's group studied the synergistic control of the hydrogen-absorbing transition state to achieve selective functionalization of C(sp3)-H through polarity and spatial effects in W10O324- photocatalysis, which can selectively functionalize the C-H bonds of alkanes, alcohols, ethers, ketones, amides, esters, nitriles and pyridinolanes [25]. Timothy reported a general and mild strategy to activate C(sp3)-H bonds in methane, ethane, propane, and isobutane through hydrogen atom transfer using W10 as photocatalyst at room temperature [26]. W10 can also be used to generate a chlorine radical from chloride ion for the photochemical partial oxidation of methane and achieves methane to methyl trifluoroacetate conversion through the W10-chloride-iodine ensemble [27]. These studies demonstrated the feasibility of W10 in catalytic C-H bond breaking.
Here, the W10@Ce-bpdc were fabricated by combining Ce-MOF with W10, for the conversion of methane to HCOOH under mild conditions. The yield of HCOOH under light conditions with oxygen as the oxidant can reach 155 µmol/gcat. The catalytic performance was improved by 12.3 and 3.69 times compared to that of W10 and Ce-bpdc, respectively. The electron paramagnetic resonance (EPR) results indicated that the combination of the catalyst W10@Ce-bpdc could promote the generation of ·OH with O2 as the reactant, which significantly improved the methane conversion.
W10 was fabricated with reference to the previous literature with improvements [28]. Ce-bpdc was synthesized by [Ce6(OH)4(NH3CH2COO)8(NO3)4(H2O)6]Cl8·8H2O (hereinafter referred to as Ce6) [29] and 4,4′-biphenyldicarboxylic acid (H2bpdc). The Ce6 and H2bpdc were reacted in a mixture of water and DMF (v/v, 1:3) at 100 ℃ for 15 min, and naturally cooled to room temperature with a yellowish solid product. The synthesis of W10@Ce-bpdc was similar to Ce-bpdc, but with different amounts of W10 (10 mg, 20 mg, 30 mg, 40 mg, 50 mg, designated as W10@Ce-bpdc-1, 2, 3, 4, 5, respectively) during the synthesis process (Scheme 1) [30].
|
Download:
|
| Scheme 1. Schematic for the fabrication of W10@Ce-bpdc. W10: bule polyhedron; Ce node: yellow polyhedron; bpdc: silver stick. | |
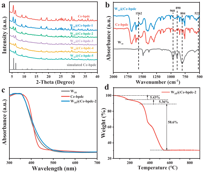
The PXRD pattern of Ce-bpdc MOF was similar to that of simulated Ce-UiO-67 MOF, confirming its UiO-topology constructed from Ce6 nodes and H2bpdc bridges, which is composed of octahedral and tetrahedral cages with internal pores [31]. Moreover, the structure of the framework was not changed after the introduction of W10. In Fig. 1a, it is shown that there is no signal peak of W10 (7.77°) after the addition of W10, indicating that W10 is not on the surface of the MOF and no agglomeration is formed. The characteristic peaks of MOF were not shifted after the addition of W10, indicating that the structure of MOF remained intact.
|
Download:
|
| Fig. 1. (a) PXRD, and (b) FTIR spectra of W10, Ce-bpdc, W10@Ce-bpdc-2. (c) UV-vis DRS of different samples. (d) TG analysis of W10@Ce-bpdc-2. | |
In order to prove the integrity of W10 after reconstitution, the material was characterized by Fourier transform infrared spectroscopy (FTIR). As shown in Fig. 1b, the peaks near 960, 890 and 804 cm-1 in W10@Ce-bpdc-2 correspond to the stretching vibration of W=Ot, W=Ob=W (Ob: Corner shared bridging oxygen) and W=Oc=W (Oc: Side shared bridging oxygen) respectively, indicating the presence of W10 in the composite material [28]. Furthermore, the peaks at 1579 cm-1 and 1400 cm-1 are attributed to the asymmetric and symmetrical tensile vibration of H2bpdc connector O-C-O. A weak band around 500-700 cm-1 is also observed due to Ce-O tensile vibration [32], providing further evidence for the existence of Ce-bpdc in W10@Ce-bpdc-2.
The optical properties of the W10, Ce-bpdc, and W10@Ce-bpdc-2 composites in the range of 300-700 nm were characterized by the UV-vis absorption spectrum. As shown in Fig. 1c, the optical absorption range of the sample is mainly in the ultraviolet region. The absorption belt edge of W10, Ce-bpdc, and W10@Ce-bpdc-2 composite was at 516, 440 and 520 nm, respectively. Ce-bpdc possessed an intense absorption in the UV region at wavelengths of < 380 nm due to the p-p* and n-p* transition of the bpdc linker [33]. And the formed W10@Ce-bpdc-2 has a good light absorption ability, which is favorable for photocatalysis.
In the thermogravimetry (TG) pattern (Fig. 1d), the first step of degradation of W10@Ce-bpdc-2 corresponds to the loss of solvent about 5.43%, which usually occurs in the range of 40-180 ℃. The second stage occurs at 200-300 ℃ with a weight loss of about 5.36%, which can be attributed to the unreacted H2bpdc present in the framework. The MOF frame began to collapse after 320 ℃, indicating that the synthesized W10@Ce-bpdc-2 was stable below 320 ℃.
The morphology and structure of Ce-bpdc and W10@Ce-bpdc-2 were examined by high magnification scanning electron microscopy (SEM) images. Ce-bpdc and W10@Ce-bpdc-2 have a polyhedron structure and the microparticles have unequal sizes of 50-100 nm. Besides, the particles of the MOF showed obvious uneven phases on their edges and rough surfaces. The particle size of W10@Ce-bpdc-2 was about 50 nm, as shown in high magnification SEM (Fig. 2a) and transmission electron microscopy (TEM) (Fig. 2b). While the morphology for Ce-bpdc without W10 was observed as irregular particles of about 100 nm in SEM (Fig. S1 in Supporting information). Energy dispersive X-ray spectroscopy (EDS) Mapping (Figs. 2c-h) revealed that W10@Ce-bpdc-2 is composed of the elements W, Ce, C, N, and O. The uniform distribution of W indicates that W10 does not agglomerate in W10@Ce-bpdc-2.
|
Download:
|
| Fig. 2. (a) Ultrahigh-resolution SEM, and (b) TEM of W10@Ce-bpdc-2. (c-h) EDS mapping of Ce, N, C, O and W in W10@Ce-bpdc-2. | |
The oxidation of methane was catalyzed using W10@Ce-bpdc containing 10, 20, 30, 40, and 50 mg for 12 h with O2 as the oxidant at room temperature (25 ℃) and pressure (1 atm), with the Xe lamp light intensity 200 mW/cm2 (Fig. 3a). The highest yield of HCOOH was 155.0 µmol/gcat for W10@Ce-bpdc-2 (20 mg of W10). And the HCOOH yield decreased with the increase amount of W10 during the fabrication. As shown in PXRD images (Fig. 1a), the MOF structure collapse after the addition of excessive W10, which leads to the gradual reduction of HCOOH yield.
|
Download:
|
| Fig. 3. HCOOH yield of (a) W10@Ce-bpdc loaded with different contents of W10. (b) The control experiments. (c) Time-dependent HCOOH yield over W10@Ce-bpdc-2 and Ce-bpdc. (d) Recycle experiments for CH4 photooxidation. | |
In order to prove the required conditions in the catalytic process, a series of controlled tests were conducted as shown in Fig. 3b. When no catalyst or methane was added, the output of formic acid was almost 0 µmol/gcat, indicating that C in HCOOH comes from methane. At the same time, in the absence of light or oxygen, the yield of formic acid was 1.19 µmol/gcat and 21.29 µmol/gcat, respectively, indicating that both light and O2 were necessary conditions for catalytic oxidation of methane to formic acid.
In order to determine the optimal reaction time, the HCOOH yield was measured with the extension of the reaction time for 16 h. the HCOOH produced by CH4 photooxidation gradually increased with the increase of irradiation amount, and its yield reached 155.0 µmol/gcat within 12 h, which was 3.7 times than that of the original Ce-bpdc (42.0 µmol/gcat) and 12.3 than times that of the original W10 (Fig. 3c and Fig. S2 in Supporting information). To confirm the stability of the catalyst, the cycle experiments were performed on the catalyst, and the yield of HCOOH was basically unchanged after cycling W10@Ce-bpdc-2 for four times (Fig. 3d). The 4th recycled catalyst were characterized by PXRD (Fig. S3 in Supporting information), and there is no sign collapsing sign for the basic framework of the MOF, indicating that the catalyst can remain stable during the photocatalytic process.
In order to further determine the chemical state of the elements in the catalyst W10@Ce-bpdc-2, the elemental compositions of the material were analyzed to gain insights into the nature of the Ce sites in the catalyst. XPS full spectrum testing determined the presence of the elements Ce, C, N, O and W (Fig. 4a). The presence of a mixed valence state of CeⅢ/Ⅳ was revealed in the XPS analysis of pristine Ce-bpdc (Fig. 4b). The peaks observed at 917.4, 908.5, 902.0, 888.1 and 885.9 eV were attributed to CeⅣ, while those at 905.2, 898.8, 887.1 and 882.8 eV were attributed to CeⅢ [34-36]. After illumination, the peaks of 908.5, 905.2, 889.6, 887.1 and 882.8 eV on the Ce 3d orbit shift to the higher binding energy by 1.5, 0.8, 1.5, 1.0 and 0.5 eV, respectively [34,37]. At the same time, the ratio of CeⅢ/CeⅣ content in W10@Ce-bpdc-2 after illumination decreases from 1.22 before illumination to 1.12, the content of Ce3+ increases from 53% to 55%, and the content of Ce4+ also decreases. This is due to the low altitude property of empty 4f orbit of Ce [38]. Under highly favorable illumination conditions, the content of Ce4+ also decreases. The loss of an electron causes part of Ce4+ to be reduced to form Ce3+, and the accompanying oxygen vacancy of Ce3+ formed also plays a key role in the oxidation mechanism of CH4. Additionally, the W 4f5/2 and W 4f7/2 peaks, initially located at 38 eV and 35.9 eV, were observed to shift to lower energies by 0.1 eV after illumination (Fig. 4c) [39,40]. This phenomenon indicates that under the condition of illumination, electron transfer occurs in the Ce element processing itself under the condition of illumination.
|
Download:
|
| Fig. 4. (a) XPS full spectra of W10@Ce-bpdc-2. (b) Ce 3d, (c) W 4f, and (d) O 1s of W10@Ce-bpdc-2. | |
Furthermore, the O 1s spectra were deconvoluted into three peaks at 530.5, 531.7 and 533.3 eV, corresponding to Ce-O-Ce, Ce-O-C, and COOH bonds, respectively (Fig. 4d). The peaks of C 1s spectra overlapped and were fitted into six Gaussian lines at approximately 283.8, 284.3, 284.7, 285.3, 286.2 and 288.6 eV, which is assigned to the C 1s signal of C-C, C-H, C=O, O-C=O, C-N and C=O, respectively (Fig. S3 in Supporting information) [32,36]. The presence of CeⅢ/Ⅳ were shown in the XPS of Ce-bpdc (Fig. S4 in Supporting information) and the W 4f and O 1s XPS spectra of W10 are shown in Fig. S5 (Supporting information) [37,41].
In order to explore the charge-separation efficiency of the catalyst, photocurrent measurements (I-t) and electrochemical impedance spectroscopy (EIS) were performed. As shown in Fig. 5a, the photocurrent for W10@Ce-bpdc-2 enhanced in comparison with that for pristine Ce-bpdc. In Fig. 5b, W10@Ce-bpdc-2 showed a smaller diameter of circle than Ce-bpdc, indicating smaller electron-transfer resistance, which is consistent with the results in the I-t mapping. The results demonstrate that the incorporation of W10 into the W10@Ce-bpdc-2 facilitates the separation of photogenerated electron-hole pairs, thereby enhancing the light-harvesting capacity and charge transfer-separation rate of W10@Ce-bpdc-2.
|
Download:
|
| Fig. 5. (a) Photocurrent responses for W10@Ce-bpdc-2 and Ce-bpdc. (b) EIS Nyquist plots for W10@Ce-bpdc-2 and Ce-bpdc. (c) Mott-Schottky plots of W10@Ce-bpdc-2. (d) Tauc plots of W10@Ce-bpdc-2. | |
The Mott-Schottky plots and Tauc plots were performed to study the flat-band potential and energy band structure of W10@Ce-bpdc-2 for studying the mechanism for oxidation of W10@Ce-bpdc-2. The optical band gap energy (Eg) of the samples can be calculated by the formula: (αhυ)1/2 = A(hυ - Eg), hυ = 1240/λ (where α, h, λ and A are absorption coefficient, Planck constant, absorption edges, and a constant, respectively). As shown in Figs. 5c and d, the potentials of the conduction and valence bands of W10@Ce-bpdc-2 are -0.146 V and 2.90 V vs. normal hydrogen electrode (NHE), respectively. And W10@Ce-bpdc-2 has a corresponding highest occupied molecular orbital (HOMO) of 2.754 V vs. NHE, which allows the reduction of O2 (O2 + 2H+ + 2e- → H2O2, O2/H2O2: 0.695 vs. NHE, H2O2 + H+ + e- → ·OH, H2O2/·OH: 1.14 V vs. NHE) and the oxidization of H2O (H2O + h+ → ·OH + H+, ·OH/H2O: 2.38 V vs. NHE) respectively. Since the reduction potential of H2O2/·OH (1.14 V vs. NHE) is lower than that of O2/H2O2 (0.695 V vs. NHE), the generated H2O2 can be rapidly reduced to ·OH in situ (Fig. S6 in Supporting information) [42-44].
Electron paramagnetic resonance (EPR) tests using 5,5-dimethyl-1-pyrroline-N-oxide (DMPO) as a radical trapping agent also demonstrated the production of ·OH under light conditions (Fig. S7 in Supporting information) [45]. Notably, the test results showed that the presence of ·OH could not be detected in the absence of light conditions. In the presence of O2 and light, distinct ·OH and ·CH3 signal peaks were detected. Combined with the potentials data, the catalyst produces ·OH after reducing O2 to H2O2 under light conditions, which in turn oxidizes CH4 to produce products.
In situ IR measurement was performed to explore the adsorption of radicals on W10@Ce-bpdc-2 for the study of reaction mechanism. During the CH4 photooxidation process, the two signals associated with CH4 adsorption at 1301 and 3010 cm-1 were gradually enhanced with the increase of irradiation time, indicating the benefit of W10@Ce-bpdc-2 for CH4 adsorption. In the amplified IR spectra, the peaks of *CH3 (1355 cm-1), *CH2 (1539 cm-1), *OH2 (1643 cm-1), *CH3O (2823 cm-1 and 1220 cm-1), *HCOO (1344 cm-1), *OOH (3178 cm-1) and *OOH (3175 cm-1), *OH (3192 cm-1) were detected in the magnified IR spectrum (Figs. 6a and b) [46-48]. These observations are consistent with the experimental products of HCOOH products in pure water, and suggest the rationality of the catalytic mechanism.
|
Download:
|
| Fig. 6. (a, b) In situ FTIR spectra of CH4 photo-oxidation with W10@Ce-bpdc-2 as the photo-catalyst. | |
In summary, the W10@Ce-bpdc-2 was utilized to synthesized by the combination of Ce-bpdc and W10, which served as the catalyst for converting methane into HCOOH under light and O2 conditions. After four cycles, the catalyst exhibited a yield of 155 µmol/gcat for 12 h. EIS and Mott-Schottky analysis confirmed that the charge separation efficiency of W10@Ce-bpdc-2 improved after composite formation, thereby enhancing methane activation efficiency of W10@Ce-bpdc-2. This straightforward approach represents an effective strategy for developing novel rare earth metal catalysts aimed at significantly enhancing the photoactivity of Ce-MOF by doping POMs.
Declaration of competing interestThe authors declare that they have no known competing financial interests or personal relationships that could have appeared to influence the work reported in this paper.
CRediT authorship contribution statementYao Cheng: Writing – original draft, Data curation. Wen-Xiong Shi: Writing – review & editing, Supervision, Funding acquisition. Zhi-Ming Zhang: Writing – review & editing, Supervision, Funding acquisition.
AcknowledgmentThis work was supported by the National Natural Science Foundation of China (Nos. 92261118, 92161103, 22071180).
Supplementary materialsSupplementary material associated with this article can be found, in the online version, at doi:10.1016/j.cclet.2024.110387.
| [1] |
N. Dummer, D. Willock, Q. He, et al., Chem. Rev. 123 (2022) 6359-6411. |
| [2] |
A. Hu, J. Guo, H. Pan, et al., Science 361 (2018) 668-672. DOI:10.1126/science.aat9750 |
| [3] |
J. Oh, A. Boucly, J. Bokhoven, et al., Acc. Chem. Res. 57 (2023) 23-36. |
| [4] |
F. Gu, X. Qin, L. Pang, et al., ACS Catal. 13 (2023) 9509-9514. DOI:10.1021/acscatal.3c01743 |
| [5] |
J. Cao, G. Qi, B. Yao, et al., ACS Catal. 14 (2024) 1797-1807. DOI:10.1021/acscatal.3c05030 |
| [6] |
L. Wang, F.S. Xiao, Nat. Catal. 6 (2023) 866-867. DOI:10.1038/s41929-023-01044-w |
| [7] |
B. Wu, T. Lin, Z. Lu, et al., Chem. Commun. 8 (2022) 1658-1672. |
| [8] |
Vitaly L. Sushkevich, D. Palagin, J.A. Bokhoven, Angew. Chem. Int. Ed. 57 (2018) 8906-8910. DOI:10.1002/anie.201802922 |
| [9] |
Y. Wang, J. Zhang, W.X. Shi, et al., Adv. Mater. 34 (2022) 2204448. DOI:10.1002/adma.202204448 |
| [10] |
Y. Jiang, Y. Fan, S. Li, et al., CCS Chem. 5 (2023) 30-54. DOI:10.31635/ccschem.022.202201991 |
| [11] |
L. Li, S. Xue, M. Wei, et al., Appl. Surf. Sci. 599 (2022) 153909. DOI:10.1016/j.apsusc.2022.153909 |
| [12] |
N. Antil, M. Chauhan, N. Akhtar, et al., J. Am. Chem. Soc. 145 (2023) 6156-6165. DOI:10.1021/jacs.2c12042 |
| [13] |
Q. Yang, Q. Xu, S. Yu, et al., Angew. Chem. Int. Ed. 55 (2016) 3685-3689. DOI:10.1002/anie.201510655 |
| [14] |
H. Jiang, B. Liu, T. Akita, et al., J. Am. Chem. Soc. 131 (2009) 11302. DOI:10.1021/ja9047653 |
| [15] |
A. Lin, A. Ibrahim, P. Arab, et al., ACS Appl. Mater. 9 (2017) 17961-17968. DOI:10.1021/acsami.7b03555 |
| [16] |
T. Chen, F. Wang, S. Cao, et al., Adv. Mater. 34 (2022) 2201779. DOI:10.1002/adma.202201779 |
| [17] |
H. Zhou, S. Gu, Y. Lu, et al., Adv. Mater. 36 (2024) 2401856. DOI:10.1002/adma.202401856 |
| [18] |
M. Xia, L. Qiu, Y. Li, et al., Mater. Lett. 307 (2022) 131078. DOI:10.1016/j.matlet.2021.131078 |
| [19] |
S. Wang, G. Yang, Chem. Rev. 115 (2015) 4893-4962. DOI:10.1021/cr500390v |
| [20] |
G. Liu, Y. Chen, Y. Chen, et al., Adv. Mater. 35 (2023) 2304716. DOI:10.1002/adma.202304716 |
| [21] |
X. Huang, S. Liu, G. Liu, et al., Appl. Catal. B: Environ. 323 (2023) 122134. DOI:10.1016/j.apcatb.2022.122134 |
| [22] |
Y.J. Chen, X. Huang, Y. Chen, et al., CCS Chem. 1 (2019) 561-570. DOI:10.31635/ccschem.019.20190028 |
| [23] |
M. Tzirakis, I. Lykakis, M. Orfanopoulos, Chem. Soc. Rev. 38 (2009) 2609-2621. DOI:10.1039/b812100c |
| [24] |
D. Ravelli, M. Fagnoni, T. Fukuyama, et al., ACS Catal. 8 (2017) 701-713. |
| [25] |
I. Perry, T. Brewer, P.J. Sarver, et al., Nature 560 (2018) 70-75. DOI:10.1038/s41586-018-0366-x |
| [26] |
G. Laudadio, Y. Deng, D. Ravelli, et al., Science 369 (2020) 92-96. DOI:10.1126/science.abb4688 |
| [27] |
C. Musgrave, K. Olsen, N.S. Liebov, et al., ACS Catal. 13 (2023) 6382-6395. DOI:10.1021/acscatal.3c00750 |
| [28] |
B. Yang, Z. Fu, A. Su, et al., Appl. Catal. B: Environ. 242 (2019) 249-257. DOI:10.1016/j.apcatb.2018.09.099 |
| [29] |
S. Estes, M. Antonio, L. Soderholm, J. Phys. Chem. C 120 (2016) 5810-5818. DOI:10.1021/acs.jpcc.6b00644 |
| [30] |
M. Lammert, M. Wharmby, S. Smolders, et al., Chem. Commun. 51 (2015) 12578-12581. DOI:10.1039/C5CC02606G |
| [31] |
S. Smolders, A. Struyf, H. Reinsch, et al., Chem. Commun. 54 (2018) 876-879. DOI:10.1039/c7cc08200b |
| [32] |
S.Rojas Buzo, P. Concepción, M. Moliner, et al., ACS Appl. Mater. Interfaces 13 (2021) 31021-31030. DOI:10.1021/acsami.1c07496 |
| [33] |
Y. Gong, J. Mei, J. Liu, et al., Appl. Catal. B: Environ. 292 (2021) 120156. DOI:10.1016/j.apcatb.2021.120156 |
| [34] |
X. Chen, X. Chen, E. Yu, et al., Chem. Eng. J. 344 (2018) 469-479. DOI:10.1016/j.cej.2018.03.091 |
| [35] |
S. Karmakar, S. Barman, F.A. Rahimi, et al., Energy Environ. Sci. 16 (2023) 2187-2198. DOI:10.1039/d2ee03755f |
| [36] |
R. D'Amato, A. Donnadio, M. Carta, et al., ACS Sustain. Chem. Eng. 7 (2018) 394-402. |
| [37] |
H. Fan, Y. Jin, K. Liu, et al., Adv. Sci. 9 (2022) 2104579. DOI:10.1002/advs.202104579 |
| [38] |
X. Wu, L. Gagliardi, D. Truhlar, J. Am. Chem. Soc. 140 (2018) 7904-7912. DOI:10.1021/jacs.8b03613 |
| [39] |
J. Song, Y. Ren, X. Gao, et al., ACS Catal. 14 (2024) 5116-5131. DOI:10.1021/acscatal.3c06301 |
| [40] |
Z. Wang, H. Hojo, H. Einaga, Mol. Catal. 515 (2021) 111933. |
| [41] |
P. Su, X. Du, Y. Zheng, et al., Chem. Eng. J. 433 (2022) 133597. DOI:10.1016/j.cej.2021.133597 |
| [42] |
W. Zhou, X. Qiu, Y. Jiang, et al., J. Mater. Chem. A 8 (2020) 13277-13284. DOI:10.1039/d0ta02793f |
| [43] |
F. Chen, H. Zhou, D. Liu, et al., Adv. Energy Mater. 14 (2024) 2303642. DOI:10.1002/aenm.202303642 |
| [44] |
Y. Cao, Z. Huang, C. Han, et al., Adv. Sci. 11 (2024) 2306891. DOI:10.1002/advs.202306891 |
| [45] |
W. Wang, W. Zhou, Y. Tang, et al., J. Am. Chem. Soc. 145 (2023) 12928-12934. DOI:10.1021/jacs.3c04260 |
| [46] |
C. Zhang, G. Xu, Y. Zhang, et al., Appl. Catal. B: Environ. 348 (2024) 123820. DOI:10.1016/j.apcatb.2024.123820 |
| [47] |
Y. Xu, D. Wu, Q. Zhang, et al., Nat. Commun. 15 (2024) 564-574. DOI:10.1007/978-3-031-72086-4_53 |
| [48] |
H. Zhou, F. Chen, D. Liu, et al., Small 20 (2024) 2311355. DOI:10.1002/smll.202311355 |
2025, Vol. 36 

