Ammonia (NH3) is not only a green energy carrier without carbon emission, but also an important chemical raw material for modern industries [1–6]. However, the conventional synthesis of ammonia is mainly realized by the Haber-Bosch process at high pressures and temperatures, which is energy-intensive and accounts for about 1.4% carbon dioxide emissions [7–11]. Scientists have developed electrochemical NH3 synthesis routes under ambient conditions, such as electrocatalytic nitrogen or nitrate (NO3−) reduction. Considering the issues of bond strength and solubility of nitrogen [12–18], NO3− seems to be the more reactive substrate with a favorable thermodynamic reduction potential. Meanwhile, NO3− is a widespread pollutant in industrial wastewater, subsurface sewage, and water runoff [19–21]. Thus, NO3− reduction reaction (NO3RR) is regarded as a sustainable ammonia production process that could promote denitrification of wastewater and balance the disturbed nitrogen cycle [22–24].
In addition, the cathodic NO3RR has a higher equilibrium potential than oxygen reduction reaction (ORR) [25]. Consequently, when coupled with a metal (e.g., Zn) anode, the assembled Zn-NO3− battery would output more energy than the corresponding Zn-air battery. The Zn-NO3− battery could generate electrical power, remove pollutant NO3− and obtain value-added NH3, killing three birds with one stone [26,27]. Since NO3RR and the oxygen evolution reaction (OER) occur in the cathode during the discharge/charge process, both of which involve multiple electron and proton transfer and exhibit sluggish kinetics [28,29], superior bifunctional catalysts are therefore greatly needed to enhance the efficiency of rechargeable Zn-NO3− battery.
Generally, NO3RR includes the main processes of deoxygenation and hydrogenation [30–32]. Owing to the highly occupied d-orbitals, Cu could facilitate the NO3−-to-NO2− process, which is regarded as the rate-determining step of NO3RR [12]. Thus, Cu-based nanomaterials have been extensively reported to be good electrocatalysts for NO3RR [12,19,33–35]. However, the weak adsorption of active hydrogen on Cu site prohibits the following hydrogenation process [34]. How to balance the adsorption energy of intermediates is critical but still challenging. Due to the entropy stabilization, tunable element composition, and cocktail effect, high entropy nanomaterials usually display unique physical and chemical properties, thus gaining enormous attention in many fields, especially in electrocatalysis [36,37]. For example, high entropy nanomaterial (e.g., alloy [38], oxide [39], sulfide [40], hydroxide [41,42]) with regulated electronic structure and remarkable corrosion resistance have been proven to be a successful candidate catalyst for OER. However, there are few researches that report high entropy nanomaterials as the effective catalysts for NO3RR [43], not to mention rechargeable Zn-NO3− battery. Given that the synergistic effect between metal elements is conducive to optimizing intermediate adsorption, lowering kinetic barrier and realizing the cascade electrocatalytic process of complex reactions, it is reasonable to predict that the high entropy nanomaterial might be an ideal platform for rechargeable Zn-NO3− battery and help "kill three birds with one stone".
Herein, we report a high entropy hydroxide (HE-OH) as an excellent bifunctional electrocatalyst for NO3RR and OER, which demonstrates excellent electrocatalytic performances. For instance, the prepared HE-OH could deliver an OER current density of 10 mA/cm2 at an overpotential of 260 mV, and the Tafel slope is as low as 44 mV/dec. Meanwhile, HE-OH displays high NH3 Faradaic efficiencies (FE) and high yield rates over a wide potential window. Accordingly, the Zn-NO3− battery based on the cathode of HE-OH is assembled, which could achieve a power density of 3.62 mW/cm2 and maintain high NH3 FEs with long-term stability.
HE-OH was prepared through an electrodeposition method (Fig. S1 in Supporting information). The morphology of HE-OH was examined by scanning electron microscopy (SEM) and transmission electron microscopy (TEM), where the nanoparticles evenly grew on the surface of carbon cloth electrode (Figs. 1a and b). HE-OH nanoparticles displayed a narrow size distribution (Fig. 1c), which demonstrated poor crystallinity, as determined by the high-resolution TEM (HRTEM) image and the corresponding fast Fourier transform (FFT) patterns (Fig. 1d). The energy-dispersive X-ray spectroscopy (EDX) showed that the element of Cu, Co, Fe, Ni, Mn and Sn distributed homogeneously (Fig. S2 in Supporting information). There were only two peaks at 25.4 and 43.1 in the X-ray diffraction pattern (XRD), which were assigned to blank carbon cloth [44]. No obvious peak for HE-OH was observed, further confirming its amorphous structure (Fig. 1e). In addition, the characteristic metal-hydroxide bonds were found in the Raman spectra of corresponding unary metal hydroxide counterparts (Fig. S3 in Supporting information). Two broad peaks at 200–390 cm−1 and 400–800 cm−1 were observed in the Raman spectrum of HE-OH (Fig. 1f and Fig. S3), which might comprise various metal hydroxide bonds from HE-OH. This suggested the successful preparation of HE-OH.
|
Download:
|
| Fig. 1. (a, b) SEM images, (c) TEM image, (d) HRTEM image (inset figure is the FFT pattern), (e) XRD pattern and (f) Raman spectrum of HE-OH. | |
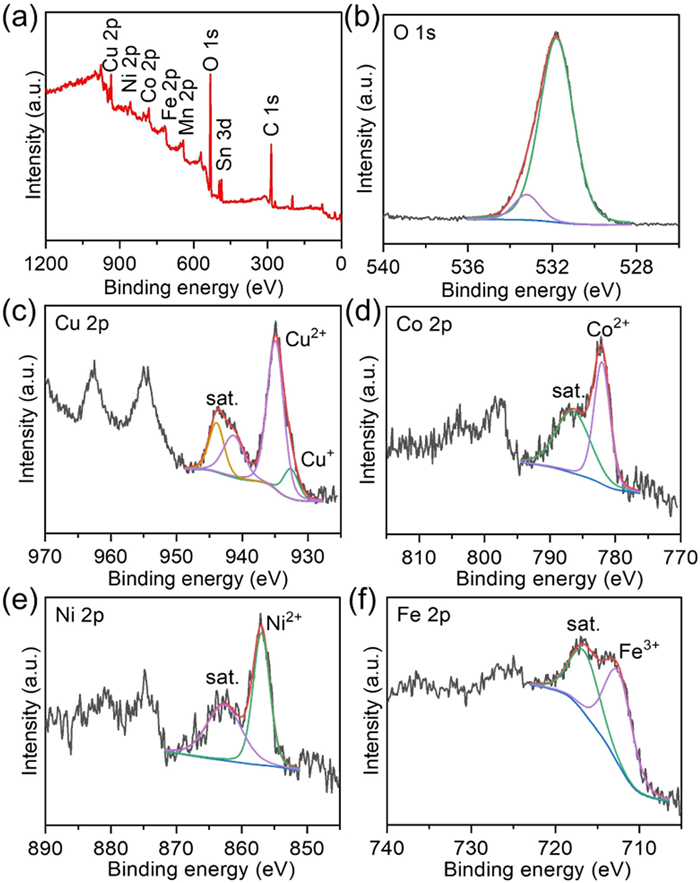
The signals of the metal elements in HE-OH were also detected in the X-ray photoelectron spectroscopy (XPS) survey spectrum (Fig. 2a), while the atomic ratio of Cu: Co: Fe: Ni: Mn: Sn was 4.4:1.5:2.7:1.5:2.3:0.7. The chemical valence was further analyzed by the corresponding high-resolution XPS spectra. In the O 1s XPS spectrum, a main peak centered at 531.8 eV was ascribed to the oxygen of metal hydroxide, while the small peak at 533.2 eV was considered to be adsorbed water molecules (Fig. 2b) [44,45]. There were two deconvoluted peaks at 932.6 and 934.8 eV in the Cu 2p XPS spectrum (Fig. 2c), corresponding to Cu+ and Cu2+, respectively [46,47]. The oxidation states of Co and Ni were determined to be both +2 by the well-fitted peaks at 782.1 and 856.3 eV (Figs. 2d and e) [48,49]. Similarly, the peak centered at 712.4 eV in the Fe 2p XPS spectrum was attributed to Fe3+ (Fig. 2f) [50]. The existence of Mn4+ was verified by the spin-orbit splitting value (11.8 eV) in the Mn 2p XPS spectrum (Fig. S4a in Supporting information) [51]. The two peaks at 486.9 and 495.3 eV were assigned to Sn4+ in Sn 3d XPS spectrum (Fig. S4b in Supporting information) [52]. The XPS spectra of unary metal (e.g., Cu, Co) hydroxides were also conducted, where the signals of Cu2+ and Cu+ located at 934.3 and 932.5 eV in the Cu 2p XPS spectrum of unary Cu hydroxide, respectively (Fig. S5a in Supporting information). Only Co2+ was observed around 781.2 eV in the Co 2p XPS spectrum of unary Co hydroxide (Fig. S5b in Supporting information). Obvious positive binding energy shifts in the Co 2p and Cu 2p XPS spectra of HE-OH were observed when compared with the unary metal hydroxide. Since the binding energy of Co3+ is lower than that of Co2+ [44], we could conclude that partial electrons transferred from element Cu to other elements (e.g., Co) in HE-OH. In addition, previous literatures defined the mixing entropy (∆Smix) of high entropy nanomaterials to be larger than 1.5R (R is the gas constant), which could be determined according to the following equation: ∆Smix = −R[(∑xilnxi)cation site + (∑xjlnxj)anion site] [53,54]. Considering that only one anion of hydroxide existed in HE-OH, the anion site did not make a contribution to the ∆Smix. The ∆Smix value was calculated to be 1.65R, indicating that the sample HE-OH was indeed a high entropy hydroxide.
|
Download:
|
| Fig. 2. (a) XPS survey spectrum. (b) O 1s, (c) Cu 2p, (d) Co 2p, (e) Ni 2p and (f) Fe 2p XPS spectrum of HE-OH. | |
The electrocatalytic performances were conducted in an H-type cell with a standard three-electrode system. In the linear sweep voltammetry (LSV) plot, HE-OH displayed an onset potential of −0.28 V versus reversible hydrogen electrode (RHE) in 1 mol/L KOH and achieved a current density of 200 mA/cm2 at −0.35 V, which could be attributed to the electrocatalytic hydrogen evolution reaction (HER) (Fig. 3a). However, the onset potential positively shifted to about 0.03 V when 0.1 mol/L KNO3 was added into the KOH solution, and the current density got significantly increased, indicating the efficient reduction of NO3− [25,55]. This was consistent with the results of Fourier-transform alternating current voltammetry (FTacV), which could avoid the interference of non-Faradaic process and benefit the exploration of redox behavior [56,57]. In the high-order (e.g. 4th, 5th, 6th) harmonic component, a strong response signal appeared around −0.2 V in 1 mol/L KOH with 0.1 mol/L KNO3 and disappeared in 1 mol/L KOH without 0.1 mol/L KNO3 (Fig. 3b and Fig. S6 in Supporting information). In addition, the redox current density enhanced dramatically when the concentration of KNO3 was increased to 0.5 mol/L (Fig. S7a in Supporting information), further confirming the NO3− reduction process. The nearly limiting current density in the potential range (−0.1 ~ −0.25 V) suggested that the electrocatalytic NO3RR process was controlled by the diffusion of nitrate, which would disappear in the electrolyte with agitation or with a higher concentration of nitrate (Figs. S7b and c in Supporting information). Considering that the onset potential for HER was more negative, the side reaction HER would not occur. The unary metal hydroxide counterparts also demonstrated much improved current density in the presence of NO3− (Fig. S8 in Supporting information). However, their electrocatalytic performances for HER and NO3RR were inferior when compared with HE-OH (Fig. S9 in Supporting information).
|
Download:
|
| Fig. 3. Electrocatalytic NO3RR performances of HE-OH. (a) LSV plots, (b) 6th harmonic component FTacV plot in 1 mol/L KOH with and without 0.1 mol/L KNO3. (c) NH3 FE and yield rate at different potentials. (d) Comparison of NH3 FE and yield rate between HE-OH and the reported electrocatalysts in similar conditions. (e) 1H NMR spectra of the electrolyte after electrolysis at −0.3 V with 15NO3− and 14NO3− as the nitrogen source. (f) Cycle stability test. | |
To exclude the interference from metal redox behaviors during the electrocatalytic NO3RR process, cyclic voltammetry (CV) with a scan rate of 50 mV/s was performed in the potential range from open circuit potential (about 1 V) to −0.6 V. The unary Cu hydroxide displayed much inferior electrocatalytic HER performance to the unary Fe, Ni, and Co hydroxides (Fig. S10a in Supporting information), while HE-OH demonstrated the highest HER activity. Obvious redox peaks of Fe, Co, and Cu could be detected in the CV plots of corresponding unary metal hydroxide (Fig. S10b in Supporting information). For example, the anodic peak at 0.34 V in the CV plot of unary Co hydroxide was ascribed to the Co0/2+ oxidation [21], and the redox peaks of unary Fe hydroxide at about 0 and 0.34 V were assigned to Fe2+/3+ transformation [58]. In addition, a small reduction peak for Fe2+/0 was also detected at −0.15 V, which could be also identified by its DPV plot (Fig. S10c in Supporting information). The oxidation peaks of unary Cu hydroxide belonged to Cu0/1+ (0.62 V) and Cu1+/2+ (0.8 V), respectively [59], while the reduction peak at 0.28 V belonged to Cu1+/0 [60]. The redox peaks of unary Ni, Mn, and Sn hydroxide could be neglected. HE-OH demonstrated similar redox peaks, however, the peak positions went through obvious shifts. For instance, the oxidation peak of Cu0/1+ shifted positively to 0.67 V, while the redox peaks of Co and Fe shifted negatively, suggesting the strong electronic interaction between Cu and other metal elements (e.g., Co), as verified by the XPS results. A small reduction peak at −0.1 V, which might result from the reduction of Fe species, overlapped with the NO3RR process. This might partially account for the lower NH3 FE (54.53%) at −0.1 V. However, the NH3 FE increased rapidly to 90% at −0.2 V. In addition, HE-OH maintained the high NH3 FEs at more negative potentials as well as long-term stability, and the metal reduction current density (about 10 mA/cm2) was much lower than the nitrate reduction current density (> 400 mA/cm2). This indicated that the metal reduction had little influence on the NO3RR.
It should be noted that HE-OH displayed a similar onset overpotential with the unary metal hydroxide of Cu in the alkaline solution containing NO3−, which was much lower than other unary metal hydroxides (Fig. S9b). In addition, HE-OH and the unary metal hydroxide of Cu also demonstrated smaller diameters of semicircles in their Nyquist plots (Fig. S11 in Supporting information). This could be ascribed to the high affinity for NO3− and the promoted conversion of NO3−-to-NO2− on the Cu sites [61,62]. However, the poor HER activity on Cu would lead to insufficient supply of active hydrogen, which is unfavorable for the following hydrogenation process of NO2−-to-NH3 [33,34]. For instance, the onset potential and charge transfer resistance of Cu got significantly increased in 1 mol/L KOH with 0.1 mol/L KNO2, while HE-OH almost kept unchanged (Fig. S12 in Supporting information), suggesting that the electrochemical hydrogenation was facilitated by other elements (e.g., Fe, Co) [63]. As a result, HE-OH with a Tafel slope of only 66 mV/dec showed a faster reaction kinetic and a lower energy barrier for NO3RR (Fig. S13 in Supporting information).
Constant potential electrolysis at different potentials was adopted to evaluate the Faradaic efficiency (FE) as well as the yield rate of NH3. The concentrations of NH3 were examined by UV–vis spectrophotometry based on the calibration curves (Figs. S14a and b in Supporting information). The NH3 FE of HE-OH increased as the applied potential grew more negative and reached a maximum value around 100% at −0.3 V (Fig. 3c). Similar trend was also observed in its NH3 yield rate, which could achieve 30.4 mg h−1 cm−2 at −0.4 V. The NH3 FE and yield rate of HE-OH have outperformed the unary metal hydroxide counterparts (Fig. S15 in Supporting information) and most reported catalysts under similar conditions (Fig. 3d and Table S1 in Supporting information), making it a superior electrocatalyst for NO3RR. To further verify the origin of NH3, the isotope experiment was conducted and the product was examined by 1H nuclear magnetic resonance (NMR) spectroscopy (Fig. 3e). When 14NO3− was used as the reactant, the signal of NH4+ in the 1H NMR spectrum displayed triple peaks with a coupling constant of 52 Hz, corresponding to 14NH4+. In contrast, only 15NH4+ from 15NO3− was detected, which displayed characteristic double peaks [20,64]. This indicated that the produced NH3 actually originated from electrocatalytic NO3RR rather than contamination or impurity. In addition, the NH3 FE determined by the 1H NMR standard curve was about 91%, which was in line with the colorimetric results, further confirming the high NH3 selectivity of HE-OH (Figs. S14c and d in Supporting information). Furthermore, HE-OH also demonstrated robust durability for NO3RR, as verified by the cycling stability measurements in Fig. 3f. The UV–vis spectra of NH3 during the 20-cycle test kept almost unchanged (Fig. S16 in Supporting information), resulting in similar NH3 FEs as well as yield rates (Fig. 3f). The NH3 FE in each cycle was nearly 100%, which is rarely reported [20]. Furthermore, various characterizations had been conducted to examine the structural or compositional change after the durability test. The amorphous structure of HE-OH was confirmed by the TEM results (Figs. S17a and b in Supporting information). There were almost no changes in the XRD patterns of HE-OH before and after NO3RR test (Fig. S17c in Supporting information). However, the amount of Cu+ in HE-OH got significantly enhanced, which could be further verified by the Cu LMM Auger electron spectroscopy (Fig. S17d in Supporting information).
Electrochemical in-situ Raman spectroscopy and online differential electrochemical mass spectroscopy (DEMS) were adopted to further explore the reaction mechanism (Fig. S18 in Supporting information). At the open circuit potential, the broad peaks belonged to metal hydroxides were observed (Fig. S18a), in line with the Raman result of HE-OH. Moreover, a peak centred at 1045 cm−1 was also detected, which was assigned to the symmetric NO3− stretching from solution NO3− species [20,46]. Under applied cathodic potentials, a peak evolved at 523 cm−1, corresponding to the stretch of Cu(I)-O bond [65], consistent with the XPS result after the durability test (Fig. S17d). The peaks at 714, 1160 and 1400 cm−1 are assigned to rocking vibrations of *NH3 [66], symmetric stretching of *NO2 [67] and symmetric bending vibration of the HNH [68]. The peaks at 821, 1541 and 1594 cm−1 represented *NO2, *NOH and *NH3, respectively, suggesting the NO3RR proceeded through the N-end pathway [20,69]. This was further verified by the DEMS results (Fig. S18b), where the intermediates of NO and NOH could be identified by the mass-to-charge (m/z) signal of 30 and 31. In addition, the signal of NH3 (m/z = 17) was the highest, which could keep almost unchanged in the 10 cycles of LSV tests. By contrast, the weak signals for N2 (m/z = 28), NO2 (m/z = 46), and H2 (m/z = 2) could be even neglected. Thus, it could be concluded that HE-OH demonstrated high selectivity towards NH3 and almost no other products generated during the NO3RR process, in accordance with the UV–vis and 1H NMR results.
In addition, the electrocatalytic activity for NO3RR was also examined in the nitrate-contaminated wastewater, where the concentration of NO3− was determined to be 10 mmol/L and the pH was around 7.6. HE-OH demonstrated a reduction peak at −0.4 V in its LSV plot, which was assigned to the NO3RR process (Fig. S19a in Supporting information). The reduction peak would get enhanced when increasing the concentration of NO3−. HE-OH also displayed high NH3 FEs (> 80%) over a wide potential range in the nitrate-contaminated wastewater (Fig. S19b in Supporting information). By contrast, the unary metal hydroxides displayed inferior electrocatalytic NO3RR performances, where the onset overpotentials were higher than that of HE-OH (Fig. S20a in Supporting information). Furthermore, the NH3 FE of HE-OH surpassed the unary metal hydroxides (Fig. S20b in Supporting information), demonstrating the superior electrocatalytic NO3RR performances in the nitrate-contaminated wastewater and the practical feasibility for water pollution treatment.
HE-OH could also act as an excellent OER catalyst in the alkaline solution, which delivered a current density of 10 and 350 mA/cm2 at an overpotential of 260 and 330 mV, respectively (Fig. S21a in Supporting information). The Tafel slope was as low as 44 mV/dec, much smaller than the unary metal hydroxide counterparts (Fig. S21b in Supporting information). Considering the superior electrocatalytic performance for NO3RR and OER, HE-OH was adopted as the cathode to assemble Zn-NO3− battery with Zn plate as the anode. The electrolytes in the cathode chamber (1 mol/L KOH + 1 mol/L KNO3) and the anode chamber (1 mol/L KOH + 0.02 mol/L Zn(CH3COO)2) were separated by a Nafion 117 membrane [26]. HE-OH based Zn-NO3− battery could achieve and maintain the open circuit voltage (OCV) of 1.376 V vs. Zn/Zn2+ (Fig. 4a), slightly lower than the theoretical value (1.87 V vs. Zn/Zn2+) [70]. The charge and discharge polarization curves were shown in Fig. 4b, where the maximum discharge and minimum charge voltage was 0.70 and 1.75 V vs. Zn/Zn2+, respectively. The output current density increased along with negative shift of cathodic potential, and the power density rose to a high point of 3.62 mW/cm2 at the current density of 18.2 mA/cm2. Meanwhile, HE-OH based Zn-NO3− battery could power the electronic timer for > 24 h, indicating the practical feasibility (Fig. 4c). The various discharge current densities were displayed in Fig. 4d, while the corresponding output voltages kept stable during the discharge process. The NH3 FE as well as the yield rate of HE-OH based Zn-NO3− battery were also determined at the current densities ranging from 16 mA/cm2 to 32 mA/cm2 (Fig. 4e), which could reach a maximum value of 84.2% at 24 mA/cm2 and 1.8 mg h−1 cm−2 at 28 mA/cm2, respectively. HE-OH based Zn-NO3− battery also demonstrated high rechargeability and stability, as verified by the galvanostatic cyclic charge/discharge performance at a current density of 5 mA/cm2 (Fig. 4f).
|
Download:
|
| Fig. 4. (a) OCV plot of HE-OH based Zn-NO3− battery (inset figure is the digital image of OCV). (b) Charging and discharging curves and the corresponding power density plot of HE-OH based Zn-NO3− battery. (c) The digital image of electronic timer powered by HE-OH based Zn-NO3− battery. (d) Discharging plots at different current densities. (e) NH3 FE and yield rate. (f) Charge and discharge process at the current density of 5 mA/cm2 for 10 h. | |
In summary, HE-OH was successfully prepared, which could achieve a nearly 100% NH3 FE at −0.3 V and a high NH3 yield rate of 30.4 mg h−1cm−2 at −0.4 V. In addition, it only needed an overpotential of 260 mV to deliver an OER current density of 10 mA/cm2, indicating the excellent electrocatalytic performances for NO3RR and OER. As a result, the assembled Zn-NO3− battery with HE-OH demonstrated high OCV, power density, NH3 FE, rechargeability and stability. This work might broaden the application of high-entropy nanomaterials in the field of energy storage and conversion.
Declaration of competing interestThe authors declare that they have no known competing financial interests or personal relationships that could have appeared to influence the work reported in this paper.
CRediT authorship contribution statementMingxing Chen: Writing – original draft, Methodology, Funding acquisition, Conceptualization. Xue Li: Validation, Methodology, Investigation, Data curation. Nian Liu: Investigation, Data curation. Zihe Du: Methodology, Investigation. Zhitao Wang: Formal analysis. Jing Qi: Writing – review & editing, Supervision, Funding acquisition.
AcknowledgmentThis work was financially supported by the National Natural Science Foundation of China (Nos. 22209040 and 22202063).
Supplementary materialsSupplementary material associated with this article can be found, in the online version, at doi:10.1016/j.cclet.2025.111294.
| [1] |
C. Ma, L. Bao, X. Fan, et al., Catal. Sci. Technol. 14 (2024) 3007-3011. DOI:10.1039/d4cy00392f |
| [2] |
P. Hu, X. Zhang, M. Xu, et al., Appl. Catal. B 357 (2024) 124267. DOI:10.1016/j.apcatb.2024.124267 |
| [3] |
Z. Zhang, T. Wang, J.S. Chen, et al., J. Colloid. Interface Sci. 648 (2023) 693-700. DOI:10.1016/j.jcis.2023.05.186 |
| [4] |
Y. Li, L. Ouyang, J. Chen, et al., J. Colloid. Interface Sci. 663 (2024) 405-412. DOI:10.1016/j.jcis.2024.02.153 |
| [5] |
K. Chen, G. Wang, Y. Guo, et al., Nano Res. 16 (2023) 8737-8742. DOI:10.1007/s12274-023-5556-7 |
| [6] |
D. Wu, K. Chen, P. Lv, et al., Nano Lett. 24 (2024) 8502-8509. DOI:10.1021/acs.nanolett.4c00576 |
| [7] |
V. Kyriakou, I. Garagounis, A. Vourros, et al., Joule 4 (2020) 142-158. DOI:10.1016/j.joule.2019.10.006 |
| [8] |
K. Dong, Y. Yao, H. Li, et al., Nat. Synth. 3 (2024) 763-773. DOI:10.1038/s44160-024-00522-8 |
| [9] |
K. Chen, D. Ma, Y. Zhang, et al., Adv. Mater. 36 (2024) 2402160. DOI:10.1002/adma.202402160 |
| [10] |
H. Wu, H. Guo, F. Zhang, et al., J. Mater. Chem. A 11 (2023) 22466-22477. DOI:10.1039/d3ta04155g |
| [11] |
S. Luo, H. Guo, T. Li, et al., Appl. Catal. B 351 (2024) 123967. DOI:10.1016/j.apcatb.2024.123967 |
| [12] |
Y. Xiong, Y. Wang, J. Zhou, et al., Adv. Mater. 36 (2023) e2304021. |
| [13] |
L. Xie, Q. Liu, X. Li, et al., ACS. Appl. Nano Mater. 7 (2023) 951-956. |
| [14] |
J. Miao, Q. Hong, L. Liang, et al., Chin. Chem. Lett. 35 (2024) 108935. DOI:10.1016/j.cclet.2023.108935 |
| [15] |
Z. Tao, H. Yin, Y. Lv, et al., Chem. Commun. 60 (2024) 5554-5557. DOI:10.1039/d4cc01399a |
| [16] |
K. Wang, J. Pan, J. Hu, et al., Chem. Eng. J. 482 (2024) 148883. DOI:10.1016/j.cej.2024.148883 |
| [17] |
G. Zhang, X. Li, K. Chen, et al., Angew. Chem. Int. Ed. 62 (2023) e202300054. DOI:10.1002/anie.202300054 |
| [18] |
Y. Zhang, Z. Li, K. Chen, et al., Adv. Energy Mater. 14 (2024) 2402309. DOI:10.1002/aenm.202402309 |
| [19] |
T. Zhu, Q. Chen, P. Liao, et al., Small 16 (2020) 2004526. DOI:10.1002/smll.202004526 |
| [20] |
R. Zhao, Q. Yan, L. Yu, et al., Adv. Mater. 35 (2023) e2306633. DOI:10.1002/adma.202306633 |
| [21] |
X. Deng, Y. Yang, L. Wang, et al., Adv. Sci. 8 (2021) 2004523. DOI:10.1002/advs.202004523 |
| [22] |
H. Xu, Y. Ma, J. Chen, et al., Chem. Soc. Rev. 51 (2022) 2710-2758. DOI:10.1039/d1cs00857a |
| [23] |
W. Zhong, Q.L. Hong, X. Ai, et al., Adv. Mater. 36 (2024) 2314351. DOI:10.1002/adma.202314351 |
| [24] |
Z. Zhang, A. Niu, Y. Lv, et al., Angew. Chem. Int. Ed. 63 (2024) e202406441. DOI:10.1002/anie.202406441 |
| [25] |
R. Zhang, Y. Guo, S. Zhang, et al., Adv. Energy Mater. 12 (2022) 2103872. DOI:10.1002/aenm.202103872 |
| [26] |
W. Lin, E. Zhou, J.F. Xie, et al., Adv. Funct. Mater. 32 (2022) 2209464. DOI:10.1002/adfm.202209464 |
| [27] |
X. He, T. Xie, K. Dong, et al., Sci. China Mater. 68 (2025) 2756-2763. DOI:10.1007/s40843-024-2798-5 |
| [28] |
X.P. Zhang, A. Chandra, Y.M. Lee, et al., Chem. Soc. Rev. 50 (2021) 4804-4811. DOI:10.1039/d0cs01456g |
| [29] |
J.Y. Zhu, Q. Xue, Y.Y. Xue, et al., ACS. Appl. Mater. Interfaces 12 (2020) 14064-14070. DOI:10.1021/acsami.0c01937 |
| [30] |
Z. Chang, G. Meng, Y. Chen, et al., Adv. Mater. 35 (2023) e2304508. DOI:10.1002/adma.202304508 |
| [31] |
K. Fan, W. Xie, J. Li, et al., Nat. Commun. 13 (2022) 7958. DOI:10.1038/s41467-022-35664-w |
| [32] |
H. Jiang, G.F. Chen, O. Savateev, et al., Angew. Chem. Int. Ed. 62 (2023) e202218717. DOI:10.1002/anie.202218717 |
| [33] |
Y. Fu, S. Wang, Y. Wang, et al., Angew. Chem. Int. Ed. 62 (2023) e202303327. DOI:10.1002/anie.202303327 |
| [34] |
H. Liu, X. Lang, C. Zhu, et al., Angew. Chem. Int. Ed. 61 (2022) e202202556. DOI:10.1002/anie.202202556 |
| [35] |
N. Zhou, Z. Wang, N. Zhang, et al., ACS. Catal. 13 (2023) 7529-7537. DOI:10.1021/acscatal.3c01315 |
| [36] |
Y. Ma, Y. Ma, Q. Wang, et al., Energy Environ. Sci. 14 (2021) 2883-2905. DOI:10.1039/d1ee00505g |
| [37] |
H. Xu, Z. Jin, Y. Zhang, et al., Chem. Sci. 14 (2023) 771-790. DOI:10.1039/d2sc06403k |
| [38] |
R. Nandan, M.Y. Rekha, H.R. Devi, et al., Chem. Commun. 57 (2021) 611-614. DOI:10.1039/d0cc06485h |
| [39] |
X. Miao, Z. Peng, L. Shi, et al., ACS. Catal. 13 (2023) 3983-3989. DOI:10.1021/acscatal.2c06276 |
| [40] |
M. Cui, C. Yang, B. Li, et al., Adv. Energy Mater. 11 (2020) 2002887. |
| [41] |
F. Wang, P. Zou, Y. Zhang, et al., Nat. Commun. 14 (2023) 6019. DOI:10.1038/s41467-023-41706-8 |
| [42] |
M. Shi, T. Tang, L. Xiao, et al., Chem. Commun. 59 (2023) 11971-11974. DOI:10.1039/d3cc04023b |
| [43] |
R. Zhang, Y. Zhang, B. Xiao, et al., Angew. Chem. Int. Ed. 63 (2024) e202407589. DOI:10.1002/anie.202407589 |
| [44] |
M. Chen, H. Li, C. Wu, et al., Adv. Funct. Mater. 32 (2022) 2206407. DOI:10.1002/adfm.202206407 |
| [45] |
X. Bo, R.K. Hocking, S. Zhou, et al., Energy Environ. Sci. 13 (2020) 4225-4237. DOI:10.1039/d0ee01609h |
| [46] |
J.Y. Fang, Q.Z. Zheng, Y.Y. Lou, et al., Nat. Commun. 13 (2022) 7899. DOI:10.1038/s41467-022-35533-6 |
| [47] |
S. Zhang, J. Wu, M. Zheng, et al., Nat. Commun. 14 (2023) 3634. DOI:10.1007/978-981-99-1964-2_313 |
| [48] |
T. Sun, S. Zhang, L. Xu, et al., Chem. Commun. 54 (2018) 12101-12104. DOI:10.1039/c8cc06566g |
| [49] |
Y. Li, X. Tan, R.K. Hocking, et al., Nat. Commun. 11 (2020) 2720. DOI:10.1038/s41467-020-16554-5 |
| [50] |
Z. Cai, L. Li, Y. Zhang, et al., Angew. Chem. Int. Ed. 58 (2019) 4189-4194. DOI:10.1002/anie.201812601 |
| [51] |
Y. Chen, S. Yang, H. Liu, et al., Chin. J. Catal. 42 (2021) 1724-1731. DOI:10.1016/S1872-2067(21)63793-2 |
| [52] |
J. He, X. Liu, H. Liu, et al., J. Catal. 364 (2018) 125-130. DOI:10.1016/j.jcat.2018.05.005 |
| [53] |
A. Sarkar, Q. Wang, A. Schiele, et al., Adv. Mater. 31 (2019) 1806236. DOI:10.1002/adma.201806236 |
| [54] |
Y. Xin, S. Li, Y. Qian, et al., ACS. Catal. 10 (2020) 11280-11306. DOI:10.1021/acscatal.0c03617 |
| [55] |
G. Zhang, F. Wang, K. Chen, et al., Adv. Funct. Mater. 34 (2023) 2305372. |
| [56] |
R.Z. Snitkoff-Sol, A. Friedman, H.C. Honig, et al., Nat. Catal. 5 (2022) 163-170. DOI:10.1038/s41929-022-00748-9 |
| [57] |
Y. Zhang, A.N. Simonov, J. Zhang, et al., Curr. Opin. Electrochem. 10 (2018) 72-81. DOI:10.1016/j.coelec.2018.04.016 |
| [58] |
M.E.G. Lyons, R.L. Doyle, M.P. Brandon, et al., Phys. Chem. Chem. Phys. 13 (2011) 21530-21551. DOI:10.1039/c1cp22470k |
| [59] |
W. Luo, Z. Guo, L. Ye, et al., Small 20 (2024) 2311336. DOI:10.1002/smll.202311336 |
| [60] |
C. Choi, S. Kwon, T. Cheng, et al., Nat. Catal. 3 (2020) 804-812. DOI:10.1038/s41929-020-00504-x |
| [61] |
W. He, J. Zhang, S. Dieckhofer, et al., Nat. Commun. 13 (2022) 1129. DOI:10.1038/s41467-022-28728-4 |
| [62] |
L. Fang, S. Wang, S. Lu, et al., Chin. Chem. Lett. 35 (2024) 108864. DOI:10.1016/j.cclet.2023.108864 |
| [63] |
W. Jang, D. Oh, J. Lee, et al., J. Am. Chem. Soc. 146 (2024) 27417-27428. DOI:10.1021/jacs.4c07061 |
| [64] |
S. Ye, Z. Chen, G. Zhang, et al., Energy Environ. Sci. 15 (2022) 760-770. DOI:10.1039/d1ee03097c |
| [65] |
T.T.H. Hoang, S. Verma, S. Ma, et al., J. Am. Chem. Soc. 140 (2018) 5791-5797. DOI:10.1021/jacs.8b01868 |
| [66] |
F. Lei, K. Li, M. Yang, et al., Inorg. Chem. Front. 9 (2022) 2734-2740. DOI:10.1039/d2qi00489e |
| [67] |
L.H. Zhang, Y. Jia, J. Zhan, et al., Angew. Chem. Int. Ed. 62 (2023) e202303483. DOI:10.1002/anie.202303483 |
| [68] |
J.J. Zhang, Y.Y. Lou, Z. Wu, et al., J. Am. Chem. Soc. 146 (2024) 24966-24977. DOI:10.1021/jacs.4c06657 |
| [69] |
J. Yu, Y. Qin, X. Wang, et al., Nano Energ. 103 (2022) 107705. DOI:10.1016/j.nanoen.2022.107705 |
| [70] |
J. Ma, Y. Zhang, B. Wang, et al., ACS. Nano 17 (2023) 6687-6697. DOI:10.1021/acsnano.2c12491 |
2025, Vol. 36 

