b School of Chemical Engineering, Qinghai University, Xining 810016, China
Styrene (ST) is an important aromatic hydrocarbon raw material in chemical industry because polystyrene as a versatile plastic with a broad array of applications, such as protective packaging for goods and electronics, containers for food and dairy products, bottles, non-disposable cutlery, CD/DVD cases, insulation material, and a variety of laboratory ware, is derived from it. Until now, the process of ethylbenzene (EB) dehydrogenation to styrene has dominated the petrochemical industry [1]. However, the product still contains a significant amount (20%-60%) of unreacted EB. Because ST and EB have similar boiling points (b.p = 418.3 K for ST and 409.3 K for EB), the separation by extractive distillation is an energy-intensive separation process. A potentially more energy efficient separation strategy with lower energy consumption is adsorption separation, which utilizes molecular differences in chemical and physical properties such as acidity, alkalinity, geometry, intermolecular interaction, and coordination ability. Many porous materials, including zeolites, metal-organic frameworks (MOFs), covalent−organic frameworks, porous organic polymers, porous organic cages, and macrocycle-based crystals, have been extensively employed for adsorptive separation purposes [2-6]. Some MOF materials with permanent pores have been developed to achieve high selectivity in separating ST and EB [7,8]. Moisture sensitivity, instability in the environment and complexity in synthesis limit their practical applications. Recently, some macrocycle-based crystals have also been developed for the adsorptive separation of ST and EB based on the guest-induced structural adaptive process [9,10]. However, the challenge of utilizing self-assemblies of pure organic non-macrocyclic molecules for this separation remains unresolved.
Recently, numerous organic non-macrocyclic molecules have shown potential to self-assemble through intermolecular hydrogen bonds (H-bonds) to construct novel organic framework materials, hydrogen-boned organic frameworks (HOFs) [11-17]. Because H-bond exhibits remarkable flexibility and high reversibility, thereby endowing HOFs with inherent advantages such as mild synthesis conditions, excellent solution processability, and facile recrystallization-promoted regeneration and healing, metal-free composition, and outstanding biocompatibility, and demonstrated successful applications in gas adsorption and separation [18,19], enzyme encapsulation [20], catalysis [21], security systems [22,23], sensors [24-28], batteries [29], chromic materials [30], and so on. In the field of gas separation, most HOFs are primarily employed for the separation of hydrocarbons containing fewer than six carbon atoms. However, there is a scarcity of HOFs utilized for separating structurally analogous aromatic compounds [31], like ST and EB. Therefore, our research has focused on designing organic small non-macrocyclic molecules to construct HOFs capable of efficiently separating ST and EB, while also investigating the underlying separation mechanism.
The cyano group, among various building blocks for constructing hydrogen bonds, has been extensively utilized in the construction of HOFs due to its exceptional chemical stability and flexible hydrogen bonding mode [32-34]. These HOFs exhibit remarkable adaptability towards diverse guest molecules, thereby demonstrating their potential as functional materials for selective molecular adsorption and separation [35,36]. Notably, certain instances suggest that non-planar molecules possess an advantage in successfully forming solvent channels within HOFs [37-39]. For instance, phenothiazine derivatives containing cyano groups can serve as promising monomer candidates for HOF synthesis because the presence of an aryl group at the 10-position may result in a non-planar quasi-equatorial (q-eq) conformation [40].
We observed that PTTCN in q-eq conformation, featuring three cyano groups, adopts a non-planar configuration (Schemes 1b and c). This unique arrangement facilitates the formation of two HOFs: X-HOF-5 containing toluene [41] and X-HOF-8 with chlorobenzene [42], both exhibiting the same intermolecular packing, wherein solvent molecules fill identical voids. The dimensions of these voids are well-suited for accommodating styrene, with hole length and height measuring 9.80 Å and 3.90 Å, respectively (Schemes 1a and d). Notably, the height of these voids is smaller than that of ethylbenzene. Consequently, while styrene can be selectively accommodated within these voids, ethylbenzene cannot. Thus, it can be inferred that PTTCN-based HOFs possess the capability to separate styrene from ethylbenzene.
|
Download:
|
| Scheme 1. (a) Three-dimensional molecule sizes of ethylbenzene and styrene. (b) Molecular structure and (c) 3D configuration of PTTCN in q-eq form. (d) Intermolecular packing with voids in X-HOF-8. | |
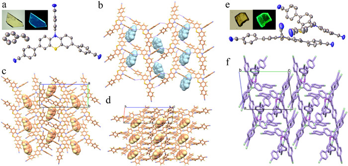
PTTCN can be obtained based on the reported process [40], and it dissolves in EB and ST. The adsorption and emission spectra in these two solvents are similar (Fig. S1 in Supporting information). The solubilities of PTTCN are similar in EB (4.75 mg/mL) and ST (4.89 mg/mL). Because EB and ST have similar molecular structures, dipole moments and polarity index (MPI) values (Table S1 in Supporting information) [43], utilizing the difference in intermolecular forces to separate EB and ST proves challenging. Consequently, size selectivity as an alternative approach emerges. To verify PTTCN's selective adsorption capacity for ST and EB in their crystalline states, crystals were cultivated in both solvents. Recrystallization easily yields large yellow crystals in both solvents; however, their emissive colors under UV light differ (Fig. 1, insets). Crystals derived from ST exhibit intense blue-green fluorescence with a maximum emission wavelength at 490 nm (Fig. S2 in Supporting information), while those obtained from EB display strong green fluorescence accompanied by a weak band at 440 nm and a prominent peak at 515 nm upon excitation by UV light. Furthermore, their crystal structures have been successfully determined. As anticipated, the unit cell parameters and intermolecular packing of the crystal derived from ST closely resemble those observed in toluene and chlorobenzene (Fig. 1 and Table S2 in Supporting information). The phenothiazine unit adopts a V-shaped configuration with a bending angle of 143.6°; additionally, the benzene ring at position 10 is nearly perpendicular to the phenothiazine moiety, indicating that PTTCN assumes a q-eq conformation (Fig. 1a). The nonplanar configuration is likely to result in weak intermolecular π-π interactions. Moreover, within the unit cell of the crystal, there exists a molar ratio of 2:1 between PTTCN and ST molecules. One-dimensional (1D) chains are formed through double hydrogen bonds involving cyano groups at the 3- and 10-positions, as well as H-atoms of PT units (Fig. 1b). These 1D chains further assemble into a two-dimensional framework with voids facilitated by additional H-bonds. The arrangement of these 2D layers follows an A−B−A pattern, ultimately leading to the formation of a three-dimensional framework (X-HOF-10) through various weak interactions including C−H···N and C−H···π interactions (Figs. 1c and d). Although this framework lacks channels, it contains numerous dispersed voids where ST molecules are embedded. Furthermore, multiple H-bonds and other weak interactions exist between PTTCN and ST (Fig. S3 in Supporting information), with an interaction energy of -42.9 kJ/mol observed between ST and its adjacent four PTTCN molecules, indicating strong interactions that facilitate the incorporation of ST as a guest molecule within the stable HOF framework. Additionally, PTTCN crystallizes in a triclinic crystal system with four molecules per unit cell (Table S3 in Supporting information). Compared to the molecules in X-HOF-10, PTTCN exhibits two distinct conformations in the crystal (Fig. 1e): quasi-axial (q-ax) and q-eq. The emission peaks at 440 nm and 515 nm can be attributed to the q-ax and q-eq forms, respectively [44]. Notably, the q-eq form adopts a more planar configuration (Fig. S3b), which results in a longer emission wavelength compared to that of X-HOF-10. As expected, PTTCN in the crystal formed from EB creates a framework devoid of channels or voids (Fig. 1e), designated as X-HOF-11, despite the presence of multiple C≡N···H−C hydrogen bonds. Therefore, we expect that X-HOF-10 would be a good material for selective adsorption of ST from the mixture of EB and ST.
|
Download:
|
| Fig. 1. (a) Photos of crystals from ST and conformation in crystal. (b) 2D arrangement of PTTCN with H-bonds and solvent's voids. 3D stacking along (c) a and (d) b axis. (e) Photos of crystals from EB and conformation in crystal. (f) 3D stacking along a axis. | |
X-HOF-10 was initially activated by heating to remove ST guests. It was found that the transplant crystal became opaque during heating, the fluorescent color changed into green (Fig. 2a), and the emissive peak shifted to 510 nm, implying that the packing of molecules may have been altered during desolvation [45]. The change of XRD pattern confirms the formation of a new crystal phase (X-HOF-10a) after removing ST from X-HOF-10 (Fig. 2b) [46]. Upon exposing the X-HOF-10a solid to ST vapor, the fluorescence color of crystals gradually reverted to blue-green, and the XRD pattern returned to that of X-HOF-10 after 24 h. Furthermore, the readsorption of ST by X-HOF-10a was confirmed through NMR spectroscopy. These findings suggest that X-HOF-10a possesses the capability to recapture ST gases and revert to its original form, X-HOF-10. Subsequently, a time-dependent solid-vapor sorption experiment was conducted to investigate the adsorption kinetics behavior. As illustrated in Fig. 2c, the adsorption process of ST on X-HOF-10a exhibited nonlinearity. In order to gain a deeper understanding of both the adsorption process of ST for X-HOF-10a and its intermolecular packing type conversion, attempts were made to obtain well-formed single crystals of X-HOF-10a; however, during activation, large single crystals tended to transform into numerous small crystals, making them unsuitable for single-crystal structure analysis. Consequently, an alternative approach was employed to determine the crystal structure using the powder XRD pattern of X-HOF-10a [47]. As a result, a reliable crystal structure was obtained (Fig. S6 and Table S4 in Supporting information). X-HOF-10a exhibits a monoclinic system with the same space group (P21/c) as X-HOF-10, featuring similar unit cell parameters. Compared to X-HOF-10, X-HOF-10a contracts in two axial directions while extending in one, resulting in a decrease of the unit cell volume from 2896.47 Å3 to 2624.41 Å3. An examination of the molecular stacking reveals that the two molecules adjacent to the styrene moiety move closer to each other after desolvation, eliminating the initial void and leaving only small apertures within the crystal lattice of X-HOF-10a (Figs. 2d and e) through a gate-closing process. N2 sorption isotherm also further confirms the nonporous nature of X-HOF-10a (Fig. S7 in Supporting information). When exposed to ST vapor, ST molecules can be recaptured by X-HOF-10a through a simple gate-opening process without significant alteration in intermolecular packing [48-50].
|
Download:
|
| Fig. 2. (a) Photos of X-HOF-10a crystals ((Ⅰ) pristine, (Ⅱ) after exposing ST and then (Ⅲ) heating) under (up) natural light with projective and under (bottom) ultraviolet light with reflection mode, bar is 0.1 mm. (b) XRD patterns of different crystals. (c) Time-dependent solid−vapor sorption plot of X-HOF-10a for ST and EB. (d) Intermolecular stacking in X-HOF-10 and X-HOF-10a. (e) 2 × 2 × 2 cell of X-HOF-10a. | |
Conversely, even after exposure to EB saturated vapor for a duration of 24 h, no discernible alterations in weight or fluorescence color were observed. However, it was determined that the XRD pattern underwent a complete transformation into that of X-HOF-11 (Fig. 2b). This finding provides compelling evidence that X-HOF-10a converts into X-HOF-11 under EB vapor exposure. Since X-HOF-11 does not contain any guest molecules, the overall weight of the solid remains unchanged. If X-HOF-10a exhibited a preference for adsorbing ST and subsequently converting to X-HOF-10 instead of transforming into X-HOF-11 upon exposure to the mixture of ST and EB, it would serve as an exceptional adsorbent for selectively separating ST and EB.
Firstly, an equimolar mixed vapor (1/1) of ST and EB was selected to investigate the selectivity of X-HOF-10a. After exposure to mixed vapor for 24 h, the yellow crystals emitted blue-green fluorescence, and the XRD pattern recovered to that of X-HOF-10, rather than that of X-HOF-11. The 1H NMR spectrum confirms that the crystals contain ST, and the molar ratio of PTTCN to ST is almost 2:1 (Fig. S8 in Supporting information), indicating adsorption saturation. Additionally, weak signals ascribed to EB appeared, implying that the adsorbed sample consists of a small amount of EB. Calculating the peak area confirms that the styrene content increases from 50% to about 91%. The precise content of ST was further determined to be 91.2% by gas chromatography (Fig. 3b). This result affirms that X-HOF-10a has excellent functionality as a highly selective separation material for separating EB and ST, and also implies that X-HOF-10a tends to preferentially adsorb ST and convert to X-HOF-10 even in the presence of EB. Subsequently, a time-dependent solid−vapor sorption experiment was conducted to further investigate the adsorption kinetic behavior. As depicted in Fig. 3c, the amount of gas adsorption of X-HOF-10a exhibits a near linear relationship with time for up to seven hours, reaching 75% within this duration. Subsequently, the adsorption rate decreases significantly, and the adsorption reaches saturation after 24 h. Therefore, an adsorption time of 24 h is a good choice. Furthermore, we observed a correlation between the adsorption time and the content of ST. As shown in Table S5 (Supporting information), an increase in exposure time leads to a gradual rise in the relative amount of ST compared to PTTCN, while the relative content of EB remains relatively constant. This finding suggests that EB may be adsorbed on the surface or within cracks of the crystals without entering their interior along with ST during the gate-opening process. Notably, this HOF material exhibits excellent reusability as demonstrated by its ability to effectively separate ST and EB even after multiple repetitions following thermal treatment for guest removal (Fig. 3d), providing compelling evidence for its remarkable recyclability.
|
Download:
|
| Fig. 3. (a) XRD patterns of X-HOF-10a before and after exposing 1/1 mixed vapor for 24 h, X-HOF-10 and X-HOF-11, and inset is the fluorescent photo of crystal after exposing vapor. (b) Relative content of ST and EB adsorbed by X-HOF-10a over 24 h, confirmed by gas chromatography. (c) The plot of weight increase of X-HOF-10a vs adsorption time. (d) Relative contents of ST in X-HOF-10 when X-HOF-10a was recycled six times. (e) Structural conversion between three HOFs. (f) Schematic diagram of the energy levels and barriers during conversion between three HOFs. | |
Based on our previous findings and the selective adsorption mechanism observed in macrocyclic crystal systems, it is plausible that the stability of the HOF crystal phase plays a crucial role in explaining the experimental results [51-54]. To validate this hypothesis, we conducted adsorption experiments using different crystal phases. As depicted above, X-HOF-10a can transform into X-HOF-10 and X-HOF-11 upon exposure to ST and EB vapor, respectively, indicating that X-HOF-10a is a metastable state relative to X-HOF-10 and X-HOF-11 (Fig. 3e). Furthermore, both XRD and NMR spectra confirm that there is a gradual conversion from X-HOF-11 to X-HOF-10 under ST vapor at 70 ℃ over 36 h, suggesting that X-HOF-10 exhibits greater thermodynamic stability than its counterpart X-HOF-11. The requirement of high vapor pressure at an elevated temperature over an extended period of time for this transition may be attributed to the presence of a high energy barrier associated with crystalline phase transformation (Fig. 3f). Quantum chemical calculations were performed to obtain their lattice energies for assessing the HOFs' stability. The crystal lattice energies of X-HOF-10, X-HOF-10a, and X-HOF-11 are −272.15, −178.3, and −248.1 kJ/mol, respectively. The melting enthalpy changes obtained from differential scanning calorimetry measurements further confirm that the stability order of the three HOFs is X-HOF-10 > X-HOF-11 > X-HOF-10a (Fig. S9 in Supporting information). These results explain why X-HOF-10a can be converted to both X-HOF-10 and X-HOF-11, and only transforms into X-HOF-10 under mixed vapor condition.
In addition, adsorption experiments in vapors with different compositions were also performed. As shown in Fig. S7 (Supporting information), the content of ST increases to 66.7% while the X-HOF-10a is exposed to the 1/9 mixed vapor for 24 h, and further reaches 78.2% under the 2/8 mixed vapor. More importantly, the content of ST can reach more than 98% while the pristine content of ST in the mixed vapor exceeds 80% (Fig. S10 in Supporting information). By analyzing the NMR spectra of various adsorbed samples (Table S6 in Supporting information), it is observed that the relative content of EB to PTTCN remains nearly constant in all samples, while the relative content of ST to PTTCN gradually increases with an increasing concentration of ST in the mixed vapors. Consequently, the lower purity of ST in HOF after exposure to gas with a low ST content can be attributed to a reduced amount of adsorbed ST after 24 h because the adsorption rate decreases gradually in vapors with low ST concentrations. Overall, X-HOF-10a has the potential to purify ST.
In summary, a nonplanar phenothiazine derivative with three cyano moieties was employed as a building block to fabricate a HOF with an appropriate pore size, which effectively served as a functional material for the separation of ST and EB. The 4-cyanophenyl group at position 10 played a pivotal role in inducing the molecule to adopt a q-eq configuration and form voids measuring 3.9 × 9.8 Å2, capable of accommodating ST while excluding ethylbenzene due to its larger molecular size. Although these voids disappeared during activation, they reopened and facilitated efficient adsorption of ST upon exposure to the mixed vapor of ST and EB. Based on these significant findings, the development of HOF materials holds great promise for practical applications in styrene purification. Furthermore, we anticipate that more functional HOFs will be synthesized and utilized for the adsorption and separation of multi-carbon compounds.
Declaration of competing interestThe authors declare that they have no known competing financial interests or personal relationships that could have appeared to influence the work reported in this paper.
CRediT authorship contribution statementHe Zhao: Writing – original draft, Investigation. Baiyang Fan: Data curation. Siwen Hu: Formal analysis, Data curation. Xingliang Liu: Methodology, Investigation. Bo Tang: Data curation. Pengchong Xue: Supervision, Funding acquisition.
AcknowledgmentsThis work was supported by the Scientific Research Foundation of Tianjin Normal University (No. 5RL151), the Tianjin Research Innovation Project for Postgraduate Students (No. 2022SKY252), the National Natural Science Foundation of China (NSFC, Nos. 22265026; 22002108), and the Project of Qinghai Science & Technology Department (No. 2024-ZJ-935).
Supplementary materialsSupplementary material associated with this article can be found, in the online version, at doi:10.1016/j.cclet.2025.111005.
| [1] |
Kirk-OthmerEncyclopedia of Chemical Technology, John Wiley & Sons, Inc., New York, 2008.
|
| [2] |
Y. Yang, P. Bai, X. Guo, Ind. Eng. Chem. Res. 56 (2017) 14725-14753. DOI:10.1021/acs.iecr.7b03127 |
| [3] |
G. Zhang, B. Hua, A. Dey, et al., Acc. Chem. Res. 54 (2021) 155-168. DOI:10.1021/acs.accounts.0c00582 |
| [4] |
F. Xie, L. Yu, H. Wang, J. Li, Angew. Chem. Int. Ed. 62 (2023) e202300722. DOI:10.1002/anie.202300722 |
| [5] |
M. Yan, Y. Wang, J. Zhou, Cell Reports Phys. Sci. 4 (2023) 101637. DOI:10.1016/j.xcrp.2023.101637 |
| [6] |
Z.M. Ye, X.F. Zhang, D.X. Liu, et al., Sci. China Chem. 65 (2022) 1552-1558. DOI:10.1007/s11426-022-1304-1 |
| [7] |
M. Maes, F. Vermoortele, L. Alaerts, et al., J. Am. Chem. Soc. 132 (2010) 15277-15285. DOI:10.1021/ja106142x |
| [8] |
Y. Li, J. Cui, Q. Wang, et al., Chem. Eng. J. 453 (2023) 139756. DOI:10.1016/j.cej.2022.139756 |
| [9] |
A. Dey, S. Chand, B. Maity, et al., J. Am. Chem. Soc. 143 (2021) 4090-4094. DOI:10.1021/jacs.0c13019 |
| [10] |
Y. Ding, A. Dey, L.O. Alimi, et al., Chem. Mater. 34 (2022) 197-202. DOI:10.1021/acs.chemmater.1c03084 |
| [11] |
H. Yamagishi, H. Sato, A. Hori, et al., Science 361 (2018) 1242-1246. DOI:10.1126/science.aat6394 |
| [12] |
R.B. Lin, Y. He, P. Li, et al., Chem. Soc. Rev. 48 (2019) 1362-1389. DOI:10.1039/c8cs00155c |
| [13] |
Q. Chen, X. Chen, M. Liang, Y. Han, P. Xue, CrystEngComm 24 (2022) 2575-2590. DOI:10.1039/d1ce01702k |
| [14] |
S. Hu, H. Zhao, M. Liang, J. Hao, P. Xue, Chem. Commun. 60 (2024) 8140-8152. DOI:10.1039/d4cc01875c |
| [15] |
C. Chen, L. Shen, H. Lin, et al., Chem. Soc. Rev. 53 (2024) 2738 2760. |
| [16] |
X. Gao, W. Lu, Y. Wang, et al., Sci. China Chem. 65 (2022) 2077-2095. DOI:10.1007/s11426-022-1333-9 |
| [17] |
S. Cai, Z. An, W. Huang, Adv. Funct. Mater. 32 (2022) 2207145. DOI:10.1002/adfm.202207145 |
| [18] |
J. Huang, Y. Li, H. Zhang, et al., Angew. Chem. Int. Ed. 62 (2023) e202315987. DOI:10.1002/anie.202315987 |
| [19] |
C. Jiang, J. Wang, D. Liu, et al., Angew. Chem. Int. Ed. 63 (2024) e202404734. DOI:10.1002/anie.202404734 |
| [20] |
G. Chen, S. Huang, X. Ma, R. He, G. Ouyang, Nat. Protoc. 18 (2023) 2032-2050. DOI:10.1038/s41596-023-00828-5 |
| [21] |
R. Zhu, S. Yu, X. Yang, et al., Chin. Chem. Lett. 35 (2024) 109539. DOI:10.1016/j.cclet.2024.109539 |
| [22] |
Y. Han, T. Zhang, X. Chen, et al., ACS Appl. Mater. Interfaces 13 (2021) 32270-32277. DOI:10.1021/acsami.1c08316 |
| [23] |
T. Lin, C. Tian, Y. Sun, et al., Chin. Chem. Lett. 34 (2023) 107864. DOI:10.1016/j.cclet.2022.107864 |
| [24] |
Y. Wang, D. Liu, J. Yin, et al., Chem. Commun. 56 (2020) 703-706. DOI:10.1039/c9cc09171h |
| [25] |
Z. Xiong, S. Xiang, Y. Lv, B. Chen, Z. Zhang, Adv. Funct. Mater. 34 (2024) 2403635. DOI:10.1002/adfm.202403635 |
| [26] |
Z. Fan, S. Zheng, H. Zhang, et al., Chin. Chem. Lett. 33 (2022) 4317-4320. DOI:10.1016/j.cclet.2022.01.009 |
| [27] |
T. Lin, C. Tian, Y. Sun, et al., Chin. Chem. Lett. 34 (2023) 107864. DOI:10.1016/j.cclet.2022.107864 |
| [28] |
L. Chen, Z. Yuan, F. Feng, et al., Chin. Chem. Lett. 35 (2024) 109344. DOI:10.1016/j.cclet.2023.109344 |
| [29] |
S.C. Pal, D. Mukherjee, R. Sahoo, S. Mondal, M.C. Das, ACS Energy Lett. 6 (2021) 4431-4453. DOI:10.1021/acsenergylett.1c02045 |
| [30] |
T. Chen, H.B. Jiang, K.B. Jiang, et al., ACS Appl. Mater. Interfaces 14 (2022) 11619-11625. DOI:10.1021/acsami.1c23328 |
| [31] |
B. Yu, X. Ding, X. Huang, et al., Sci. China Chem. 68 (2025) 2415-2423. DOI:10.1007/s11426-024-2377-9 |
| [32] |
K.E. Maly, T. Maris, E. Gagnon, J.D. Wuest, Cryst. Growth Des. 6 (2006) 461-466. DOI:10.1021/cg050384a |
| [33] |
Y. Lv, D. Li, A. Ren, et al., ACS Appl. Mater. Interfaces 13 (2021) 28662-28667. DOI:10.1021/acsami.1c06312 |
| [34] |
Y. Shang, L. Lv, J. Du, et al., Inorg. Chem. Commun. 112 (2020) 107703. DOI:10.1016/j.inoche.2019.107703 |
| [35] |
Z. Yuan, X. Jiang, L. Chen, et al., CCS Chem. 6 (2024) 663-671. DOI:10.31635/ccschem.023.202302840 |
| [36] |
L. Li, F. Xiang, Y. Li, et al., Angew. Chem. Int. Ed. 64 (2025) e202419047. DOI:10.1002/anie.202419047 |
| [37] |
X. Zheng, N. Xiao, Z. Long, et al., Synth. Met. 263 (2020) 116365. DOI:10.1016/j.synthmet.2020.116365 |
| [38] |
Q. Huang, W. Li, Z. Mao, et al., Nat. Commun. 10 (2019) 3074. DOI:10.1038/s41467-019-10575-5 |
| [39] |
Q. Huang, W. Li, Z. Yang, et al., CCS Chem. 4 (2022) 1642-1653. DOI:10.3390/life12101642 |
| [40] |
M. Liang, S. Hu, N. Zhou, et al., Small 19 (2023) 2304340. DOI:10.1002/smll.202304340 |
| [41] |
S. Hu, H. Zhao, M. Liang, et al., ACS Appl. Mater. Interfaces 16 (2024) 4863-4872. DOI:10.1021/acsami.3c17865 |
| [42] |
S. Hu, H. Zhao, M. Liang, et al., J. Mater. Chem. A 12 (2024) 21301-21309. DOI:10.1039/d4ta03910f |
| [43] |
Z. Liu, T. Lu, Q. Chen, Carbon 171 (2021) 514-523. DOI:10.1016/j.carbon.2020.09.048 |
| [44] |
H. Zhao, X. Wang, S. Hu, M. Liang, P. Xue, Cryst. Growth Des. 24 (2024) 7504-7513. DOI:10.1021/acs.cgd.4c00687 |
| [45] |
Q. Huang, X. Chen, W. Li, et al., Chem 9 (2023) 1241-1254. DOI:10.1016/j.chempr.2023.01.013 |
| [46] |
Q. Chen, T. Zhang, X. Chen, et al., ACS Appl. Mater. Interfaces 14 (2022) 24509-24517. DOI:10.1021/acsami.2c05897 |
| [47] |
S. Dong, Y. Tao, X. Shen, Z. Pan, Acta Crystallogr. Sect. C: Cryst. Struct. Commun. 69 (2013) 896-900. DOI:10.1107/S0108270113017423 |
| [48] |
L. Li, H. Ma, J. Zhang, et al., J. Am. Chem. Soc. 143 (2021) 3856-3864. DOI:10.1021/jacs.0c12153 |
| [49] |
M. Wang, J. Zhou, E. Li, et al., J. Am. Chem. Soc. 141 (2019) 17102-17106. DOI:10.1021/jacs.9b09988 |
| [50] |
J.R. Wu, B. Li, Y.W. Yang, Angew. Chem. Int. Ed. 59 (2020) 2251-2255. DOI:10.1002/anie.201911965 |
| [51] |
Z. Li, Y.W. Yang, Adv. Mater. 34 (2022) 2107401. DOI:10.1002/adma.202107401 |
| [52] |
B. Li, Y. Wang, L. Liu, M. Dong, C. Li, JACS Au 3 (2023) 1590-1595. DOI:10.1021/jacsau.3c00131 |
| [53] |
K. Jie, M. Liu, Y. Zhou, et al., J. Am. Chem. Soc. 139 (2017) 2908-2911. DOI:10.1021/jacs.6b13300 |
| [54] |
Y. Mi, J. Ma, W. Liang, et al., J. Am. Chem. Soc. 143 (2021) 1553-1561. DOI:10.1021/jacs.0c11833 |
2025, Vol. 36 

