b Zhejiang Provincial Innovation Center of Advanced Textile Technology, Shaoxing 312000, China;
c Department of Chemistry, University of Missouri, Columbia, Missouri 65211, United States
Aromatic nitro compounds refer to compounds in which one or more nitro groups (–NO2) are present on an aromatic ring. These compounds hold great significance in various chemical industries, including explosives [1,2], dyes [3], pharmaceuticals [4], and other fields [5]. However, their production and utilization can lead to environmental pollution, with a particular concern in the explosives industry [6,7]. Of all the aromatic nitro explosives, picric acid, also known as 2,4,6-trinitrophenol, is highly explosive with a high detonation velocity, consequently used in the explosives and firework industry [8]. As a result, picric acid has become a major environmental pollutant. And the release of picric acid into the environment from industrial sources has posed a significant risk of accidental explosions, attributed to its inherent instability and sensitivity when triggered by decomposition or aging processes [9]. Besides, nitro compounds are highly toxic and can cause severe burns and skin irritation upon contact [10]. Consequently, it is of great significance to explore novel materials and methods for the effective detection and adsorption of aromatic nitro compounds to address these concerns.
In recent years, macrocycles-based host–guest molecular recognition system has attracted significant attention due to their wide application in sensor [11-13], biotechnology [14,15], adsorption and separation [16-19]. Host–guest molecular recognition exhibits high selectivity and specificity [20-22]. The host molecule recognizes and binds to the guest molecule based on complementary features [23-27]. We hypothesized that the utilization of the macrocyclic host could recognize and adsorb nitro explosives through host–guest interactions. Considering the electron-deficiency nature of nitro explosives, herein we chose the pillar[n]arenes containing electron-rich aromatic wall serving as hosts [28]. This study presented the discovery of the complexation between perethylated pillar[n]arenes and two aromatic nitro compounds: 1-chloro-2,4-dinitrobenzene (G1) and picric acid (G2). The host–guest complexation modes in solution and solid state were both investigated in detail. Additionally, pillar[n]arenes powders exhibited detection and adsorption ability for nitro compounds, offering a novel strategy for mitigating environmental hazards.
We initiated our study by computing the electrostatic potential maps of pillar[n]arenes, which uncovered the electron-rich nature of their aromatic walls (indicated by the blue area, suggesting an abundance of electrons, as illustrated in Scheme 1). Furthermore, we assessed the electron distribution of G1 and G2 by calculating their respective electrostatic potential maps. Interestingly, both G1 and G2 exhibited a significant electron deficiency in their aromatic regions (indicated by the red area, suggesting a relative absence of electrons). Based on these findings, we proposed that pillar[n]arenes, including perethylated pillar[5]arenes (EtP5) and pillar[6]arenes (EtP6) may possess a strong binding capability towards electron-poor nitro compounds through charge-transfer interactions, owing to their electronic complementarity.
|
Download:
|
| Scheme 1. Chemical structures and electrostatic potential maps of G1, G2, EtP5 and EtP6. | |
Subsequently, we investigated the host–guest interactions between pillar[n]arenes and the nitro compounds in solution using NMR techniques. Upon introducing EtP5 into the G1 solution, no noticeable chemical shifts of the proton signals were observed on G1, indicating a lack of complexation behavior between EtP5 and G1 (Figs. S1a–c in Supporting information). This could be attributed to the relatively small cavity size of EtP5, which makes it challenging to accommodate the G1 guest. In contrast, the NMR spectrum of the EtP6 and G1 mixture exhibited chemical shifts (Figs. S2a–c in Supporting information). The addition of EtP6 induced upfield shifts in all proton signals of G1 (Δδ = –0.036, –0.054, and –0.062 ppm for H1a, H1b, and H1c, respectively), attributed to the shielding effect of the protons (Figs. S2a–c). Additionally, nuclear overhauser effect (NOE) correlations were observed between protons H1a, H1b, and H1c on G1 and protons H2′ and H3′ on EtP6, providing evidence for the encapsulation of G1 within the cavity of EtP6, forming an inclusion complex (Fig. S2d in Supporting information).
Upon addition of EtP5 and EtP6 to G2, upfield shifts were observed in the proton signal H2a of G2 (Δδ = –0.028 and –0.026 ppm, for complexing with EtP5 and EtP6, respectively, Figs. 1a–c and Figs. S3a–c in Supporting information). To understand the relative spatial positions within the host–guest inclusion complexes, the 2D NOESY NMR experiments were conducted. NOE signals were also found between H2a on G2 and H1-4, H1’-4’ on EtP5 and EtP6, respectively, indicating these protons were in close proximity to each other (Fig. 1d and Fig. S3d in Supporting information).
|
Download:
|
| Fig. 1. Partial 1H NMR spectra (400 MHz, CDCl3, 293 K): (a) G2, (b) a mixture of G2 (10.0 mmol/L) and EtP5 (10.0 mmol/L) and (c) EtP5. (d) Partial NOESY NMR spectrum (500 MHz, CDCl3, 293 K): G2 (10.0 mmol/L) and EtP5 (10.0 mmol/L). | |
Notably, upon dissolving these host–guest complexes of EtP6 and G1, EtP5 and G2, EtP6 and G2 in chloroform, the color of the solution underwent a significant change, which differed from the clear solution of the individual host and guest (inset picture in Figs. 2a–d). The host–guest complex of EtP5 and G1 showed a slight color change, which might be attributed to the weak host–guest interactions. The UV-vis spectra of the host–guest complexes revealed a broad absorption band at 420 nm, indicating characteristic absorption resulting from charge transfer interactions within the host–guest complexes (Figs. 2a–d). To determine the binding affinity of the host–guest complexes, fluorescent titration experiments were conducted (Figs. S4–S13 in Supporting information). The fluorescence was significantly quenched upon adding guest to the host solution. Based on the fluorescent titration results, molar ratio plot and non-linear curve fitting were utilized to obtain the stoichiometry and association constant of these host–guest complexes. The stoichiometry of EtP5 and G2 were calculated to be 1:2, with association constants determined to be (5.90 ± 1.35) × 103 and (1.48 ± 0.30) × 104 L/mol for K1 and K2, respectively (Figs. S7–S10). The cooperativity factor α (α = 4K2/K1) were calculated to be 7.01 (α > 1), suggesting a positive cooperativity. The binding constant of the complex of EtP6 and G2 was calculated to be (9.63 ± 2.57) × 104 L/mol with a 1:1 stoichiometry, higher than that of EtP5 and G2 (Figs. S11–S13). This finding suggested that EtP6 might provide a deeper cavity for the guest molecules, leading to an increased binding affinity towards G2. The association constant of the complex of EtP6 and G1 was calculated to be (1.76 ± 0.26) × 104 L/mol, lower than that of EtP6 and G2 (Figs. S4–S6). This indicated that an increase in nitro groups on the guest might enhance intermolecular charge-transfer interactions, resulting in a stronger binding affinity.
|
Download:
|
| Fig. 2. UV-vis spectra (CHCl3) of (a) (H) EtP5 (5.0 mmol/L), (G) G1 (20.0 mmol/L), (HG) EtP5 (5.0 mmol/L) and G1 (20.0 mmol/L); (b) (H) EtP6 (5.0 mmol/L), (G) G1 (20.0 mmol/L), (HG) EtP6 (5.0 mmol/L) and G1 (20.0 mmol/L); (c) (H) EtP5 (5.0 mmol/L), (G) G2 (20.0 mmol/L), (HG) EtP5 (5.0 mmol/L) and G2 (20.0 mmol/L); and (d) (H) EtP6 (5.0 mmol/L), (G) G2 (20.0 mmol/L), (HG) EtP6 (5.0 mmol/L) and G2 (20.0 mmol/L). | |
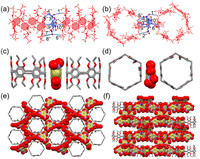
Other than investigating the host–guest interaction in solution, single crystals were cultivated to investigate the solid-state assembly behavior between pillararenes and these nitro-compounds. Single crystals of EtP6⊃G1 were obtained through the gradual evaporation of a mixed solution containing chloroform and ethanol. Analysis using X-ray crystallography revealed that EtP6⊃G1 crystallized in the monoclinic C2/c space group, with one molecule of EtP6 and one molecule of G1 present in each unit cell. The crystal structure clearly demonstrated the formation of a 1:1 host–guest inclusion complex between G1 and EtP6. Notably, in the EtP6⊃G1 complex, each G1 molecule was fully encapsulated by an EtP6 molecule, and various hydrogen bonding interactions could be observed. The main driving forces behind these interactions were C–H···Cl and C–H···O interactions (1–10 in Figs. 3a and b). Specifically, the chlorine atom on G1 interacted with four hydrogen atoms from the ethoxy group on EtP6 at calculated distances of 3.11, 3.18, 3.02, and 3.63 Å (1–4), respectively. Additionally, C–H···O interactions (5–10) were observed between the oxygen atoms of the nitro group on G1 and the hydrogen atoms of the ethoxy group on EtP6. All of these noncovalent interactions collectively contributed to stabilizing the threading structure of EtP6⊃G1 in the solid state (Figs. 3c and d). From the extending structure of the host–guest complex, G1 molecules were found to locate inside the one-dimensional channel formed by EtP6, indicating a good encapsulation ability for EtP6 toward G1 (Figs. 3e and f).
|
Download:
|
| Fig. 3. (a, b) Ball-stick views of the crystal structures of EtP6⊃G1. Host EtP6 is red, guest G1 is blue, oxygen atoms are solid and red, and nitrogen atoms are solid and blue. In EtP6⊃G1, 1–4 indicating C–H···Cl interactions, 5–10 indicating C–H···O interactions. (c, d) Crystal structure of the host–guest complex between EtP6 and G1. Host EtP6 is in a capped stick model, and guest G1 is in a space-filling model. (e, f) Packing structure of EtP6⊃G1, revealing that the guest molecules were encapsulated in the one-dimensional channel formed by EtP6. | |
The single crystals of EtP5@G2 were obtained through the gradual evaporation of a mixed solution containing chloroform and hexane. The crystal structure of EtP5@G2 exhibited a monoclinic C2/c space group, with an exo-wall binding mode. This host–guest complex was stabilized by multiple hydrogen bonding and π–π stacking interactions (Figs. 4a and b). Specifically, five C–H···O interactions (1’–5’) were observed between the oxygen atoms of the nitro and phenol groups on G2 and the hydrogen atoms on EtP5. The H···O distances measured were 2.70, 2.79, 2.96, 2.85, and 2.85 Å (1’–5’, respectively). Furthermore, π–π interactions were identified between the ring plane of G2 and the adjacent ring plane of EtP5. The distances between the aromatic centroid of G2 and the ring plane of EtP5 were measured as 3.25 and 3.35 Å (6’ and 7’, respectively). Analysis of the crystal packing revealed that G2 resided within the gap between EtP5 molecules, with each G2 molecule sandwiched by two EtP5 molecules through exo-wall charge transfer interactions (Figs. 4c–f).
|
Download:
|
| Fig. 4. (a, b) Ball-stick views of the crystal structures of EtP5@G2. Host EtP5 is red, guest G2 is blue, oxygen atoms are solid and red, and nitrogen atoms are solid and blue. In EtP5@G2, 1’–5’ indicate C–H···O interactions, 6’ and 7’ indicate π–π interactions. (c, d) Crystal structure of the host–guest complex between EtP5 and G2. Host EtP5 is in a capped stick model, and guest G2 is in a space-filling model. (e, f) Packing structure of EtP5@G2, revealing that the guest molecules formed external binding complex with host molecules. | |
The host–guest complex between EtP6 and G2 in solid state was also investigated. The EtP6@G2 complex crystallized from a mixed solution of chloroform and hexane. The crystal structure has an orthorhombic Pna21 space group, with one molecule of EtP6 and four molecules of G2 present per unit cell. G2 was also associated with EtP6 via exo-wall interactions. As revealed from the crystal structure, eight hydrogen bonds and two π–π stacking interactions were found between EtP6 and G2 (Figs. 5a and b). The H···O distance of these hydrogen bonds was measured to be 2.68, 2.87, 2.82, 2.94, 2.95, 2.93, 2.79, and 2.85 Å (1’’–8’’, respectively). Moreover, for the π–π stacking interactions, the distance between centroid of the aromatic ring on G2 and the ring plane on EtP6 was measured to be 3.25 and 3.35 Å (9’’ and 10’’, respectively). G2 also interacted with adjacent EtP6 molecules, through parallel face-to-face π–π stacking with benzene faces of EtP6 (Figs. 5c and d). In the packing structure, each side of EtP6 was found to be surrounded by G2, resulting in the formation of the two-dimensional tessellation (Figs. 5e and f). From the crystal structure it was found that EtP6 held a strong host–guest binding ability toward G2 in solid state.
|
Download:
|
| Fig. 5. (a, b) Ball-stick views of the crystal structures of EtP6⊃G2. Host EtP6 is red, guest G2 is blue, oxygen atoms are solid and red, and nitrogen atoms are solid and blue. In EtP6⊃G2, 1’–8’ indicate C–H···O interactions, 9’ and 10’ indicate π–π interactions. (c, d) Crystal structure of the host-guest complex between EtP6 and G2. Host EtP6 is in a capped stick model, and guest G2 is in a space-filling model. (e, f) Packing structure of EtP6⊃G2, showing an exo-wall tessellation host–guest complex. | |
Furthermore, we investigated the potential development of a sensor system for the detection of nitro-compounds based on these host−guest systems. Each guest (G1, G2) was dissolved in methanol solution with a concentration of 0.2 mol/L, and then pillararenes powders were suspended into the solution to allow for solid-liquid adsorption. Pillararenes powders were then centrifuged, washed with methanol and vacuum dried at room temperature. The adsorption efficiency was determined through the 1H NMR spectra of these pillararenes (Figs. 6a and b, Figs. S14a and b, S15−S33 in Supporting information). For G1, Only EtP6 was capable of effectively absorbing it from the solution (Figs. S14b, S20−S24 in Supporting information). EtP5 shows no adsorption ability toward G1 due to the weak host−guest interactions (Figs. S14a, S15−S19). For G2, we discovered that it can be efficiently removed by EtP5 and EtP6 from solution (Figs. 6a and b, Figs. S25−S33). Notably, G2 is a highly hazardous compound known for its explosive and toxic properties, posing significant risks to human health and the environment. Therefore, the detection and removal of G2 are of utmost importance. After adsorption at saturated point, the color of EtP5 powder turned yellow upon absorbing G2, while that of EtP6 powder turned brown (inset pictures in Figs. 6a and b). This change in color might be attributed to the intermolecular charge transfer interactions and may serve as an indicator for picric acid (G2) detection. Additionally, we prepared pillararene-based test papers by immersing the paper in a solution of pillararenes and allowing it to dry. The detection ability was indicated by the colour change of the test papers. Except for EtP5 and G1, after adding several drops of guest solution to the test papers, a significant colour change occurred and could be easily visualized with the naked eye, which was distinctly different from the untreated paper (right one in Figs. 6c and d, Fig. S14d). The PXRD data of EtP5/EtP6 before and after the adsorption of guest molecules were obtained (Fig. S34 in Supporting information). For EtP5/EtP6, the PXRD patterns of EtP5/EtP6 were changed after adsorption of G1/G2. These results indicated the occurrence of structural transitions from guest-free EtP5/EtP6 to a new G1/G2-loaded structure after adsorption of G1/G2.
|
Download:
|
| Fig. 6. (a) Time-dependent solid-liquid adsorption plot for EtP5 towards G2. (b) Time-dependent solid-liquid adsorption plot for EtP6 towards G2. The inserted photographs show the colour deepening of pillararenes upon the adsorption of guests. Test papers made from (c) EtP5 and (d) EtP6, showing significant colour changes in detection of G2. | |
In conclusion, our study focused on investigating the host−guest complexation behavior between perethylated pillar[n]arenes and two aromatic nitro guest molecules. The results from various techniques such as 1H NMR, 2D NOESY NMR, and UV-vis spectroscopy, successfully confirmed the formation of stable complexes through host−guest interactions in solution. Additionally, the acquisition of three single crystal structures confirmed the formation of stable complexes in solid state, and further provided valuable insights into the diverse supramolecular arrangements observed in the solid state. These structures included a 1:1 host–guest inclusion complex for EtP6 and G1, an external binding complex for EtP5 and G2, and an exo-wall tessellation complex for EtP6 and G2. Furthermore, our findings demonstrated the remarkable detection and adsorption capabilities of pillararenes towards these aromatic nitro compounds. Given the hazardous nature of these compounds, any potential leakage may possibly lead to severe consequences. Therefore, our results shed light on the potential for developing pillararene-based materials for the detection and adsorption of these compounds, thus providing great significance for environmental protection. Furthermore, the synthetic route for pillararenes is well-established and the yield is high, allowing for mass production at a relatively low cost, which holds potential for commercial viability. However, the selectivity of detection nitro compounds using this method relies significantly on the size and binding affinity of the macrocyclic host. A threshold for nitro compound adsorption by pillararenes also exists, leading to saturation beyond which no further adsorption occurs. Additionally, research on the biodegradability of pillararenes is limited. Future endeavors should focus on amplifying detection signals and designing porous structures capable of accommodating a greater variety of guests. Furthermore, incorporating macrocyclic hosts into biodegradable polymers represents a promising approach to enhance their biodegradability. Concurrently, we intend to investigate novel supramolecular macrocycles that are amenable to large-scale production, with the capability to detect a wider array of environmental contaminants. We are confident that ongoing innovation in this domain will significantly expand the effectiveness and applicability of adsorption and detection techniques, thereby making a substantial contribution to environmental remediation.
Declaration of competing interestThe authors declare that they have no known competing financial interests or personal relationships that could have appeared to influence the work reported in this paper.
CRediT authorship contribution statementXueru Zhao: Writing – review & editing, Writing – original draft, Validation, Software. Aopu Wang: Writing – review & editing, Writing – original draft, Validation. Shimin Wang: Writing – review & editing, Writing – original draft. Zhijie Song: Writing – review & editing. Li Ma: Writing – review & editing. Li Shao: Writing – review & editing, Writing – original draft, Validation, Supervision, Methodology, Funding acquisition.
AcknowledgmentsThis work was supported by the fundamental research funds of Zhejiang Sci-Tech University (No. 22212286-Y) and the Natural Science Foundation of Zhejiang Province (No. LQ24B040003).
Supplementary materialsSupplementary material associated with this article can be found, in the online version, at doi:10.1016/j.cclet.2024.110205.
| [1] |
F.Y. Zhong, C.Q. Li, Y.B. Xie, et al., J. Solid State Chem. 278 (2019) 120892. |
| [2] |
C.R. Qin, M.T. Dang, Y.F. Meng, et al., Process Saf. Environ. Prot. 172 (2023) 659-680. DOI:10.1016/j.psep.2023.02.020 |
| [3] |
S. Roy, J. Darabdhara, M. Ahmaruzzaman, J. Clean. Prod. 430 (2023) 139517. DOI:10.1016/j.jclepro.2023.139517 |
| [4] |
M. Bastrakov, A. Starosotnikov, Pharmaceuticals 15 (2022) 705. DOI:10.3390/ph15060705 |
| [5] |
Y.R. Jiang, X.F. Wang, M. Li, et al., J. Environ. Sci. 135 (2024) 483-494. DOI:10.1016/j.jes.2022.09.033 |
| [6] |
Z.X. Fang, Y. Gu, X.R. Dong, et al., Chin. Chem. Lett. 34 (2023) 108128. |
| [7] |
M.Y. Liu, W.L. Zheng, Y. Yang, et al., Microchem. J. 191 (2023) 108889. DOI:10.1016/j.microc.2023.108889 |
| [8] |
Y.L. Hou, R.P. Shi, H.Y. Yuan, et al., Chin. Chem. Lett. 34 (2023) 107688. DOI:10.1016/j.cclet.2022.07.031 |
| [9] |
R.R. Nair, S. Debnath, R. Ghosh, et al., Chem. Eur. J. 30 (2023) e202303068. |
| [10] |
B. Jana, S. Ghorai, Y.R. Singh, et al., Mater. Today Chem. 33 (2023) 101684. DOI:10.1016/j.mtchem.2023.101684 |
| [11] |
M. Ueno, T. Tomita, H. Arakawa, et al., Commun. Chem. 3 (2020) 183. DOI:10.1038/s42004-020-00430-w |
| [12] |
Q. Li, H.T.Z. Zhu, F.H. Huang, J. Am. Chem. Soc. 141 (2019) 13290-13294. DOI:10.1021/jacs.9b05054 |
| [13] |
Y. Jia, W.L. Guan, J. Liu, et al., Chin. Chem. Lett. 34 (2023) 108082. DOI:10.1016/j.cclet.2022.108082 |
| [14] |
C.Y. Wang, Y.Q. Liu, C.G. Jia, et al., Chin. Chem. Lett. 34 (2023) 108400. DOI:10.1016/j.cclet.2023.108400 |
| [15] |
X. Li, M.L. Shen, J. Yang, et al., Adv. Mater. 36 (2024) 2313317. DOI:10.1002/adma.202313317 |
| [16] |
E. Li, W.J. Zhu, S. Fang, et al., Angew. Chem. Int. Ed. 61 (2022) e202211780. DOI:10.1002/anie.202211780 |
| [17] |
K.C. Jie, Y.J. Zhou, Q. Sun, et al., Nat. Commun. 11 (2020) 1086. DOI:10.1038/s41467-020-14892-y |
| [18] |
Z.D. Tang, X.M. Sun, T.T. Huang, et al., Chin. Chem. Lett. 34 (2023) 107698. DOI:10.1016/j.cclet.2022.07.041 |
| [19] |
P.B. Niu, C.H. Shi, J.M. Jiao, et al., Chem. Commun. 59 (2023) 10960-10963. DOI:10.1039/d3cc02804f |
| [20] |
S. Ohtani, K. Onishi, K. Wada, et al., Adv. Funct. Mater. 34 (2024) 2312304. DOI:10.1002/adfm.202312304 |
| [21] |
T.X. Xiao, L. Zhou, X.Q. Sun, et al., Chin. Chem. Lett. 31 (2020) 1-9. DOI:10.1016/j.cclet.2019.05.011 |
| [22] |
L. Shao, H.W. Zhang, X.Q. He, et al., J. Am. Chem. Soc. 143 (2021) 693-698. DOI:10.1021/jacs.0c12685 |
| [23] |
B.B. Shi, J.X. Jiang, H. An, et al., J. Am. Chem. Soc. 146 (2024) 2901-2906. DOI:10.1021/jacs.3c13714 |
| [24] |
R.W. Tang, Y.P. Ye, S.J. Zhu, et al., Chin. Chem. Lett. 34 (2023) 107734. |
| [25] |
B. Hua, C. Zhang, W. Zhou, et al., J. Am. Chem. Soc. 142 (2020) 16557-16561. DOI:10.1021/jacs.0c08751 |
| [26] |
H.Z. Liang, Y.T. Yang, L. Shao, et al., J. Am. Chem. Soc. 145 (2023) 2870-2876. DOI:10.1021/jacs.2c10674 |
| [27] |
X.R. Zhao, B. Hua, L. Shao, Chem. Commun. 60 (2024) 1164-1167. DOI:10.1039/d3cc03579d |
| [28] |
M. Li, Y. Liu, L. Shao, et al., J. Am. Chem. Soc. 145 (2023) 667-675. DOI:10.1021/jacs.2c11618 |
2025, Vol. 36 

