The incorporation of fluorine and fluorinated group is a widely applied strategy to improve the biological activity and other pharmacokinetic properties of lead compounds [1-9]. In particular, the difluoromethyl group (CF2H) has caught enormous attention in medicinal chemistry and organic chemistry since it can act as not only a lipophilic hydrogen donor but a bioisostere of amine, hydroxyl and thiol groups (Scheme 1A) [10-13]. Thus, the development of efficient methods for difluoromethylation reaction is always in great demand during the past several decades [14-22].
|
Download:
|
| Scheme 1. Nickel-catalyzed difluoromethylation of alkenes. | |
Alkene functionalization is a considerable strategy for rapidly increasing molecular complexity from simple starting materials [23-28]. Among them, the direct hydrodifluoromethylation of alkenes for constructing C(sp3)-CF2H bond have been achieved using different types of difluoromethylating regents [29-33]. In 2015, Dolbier reported a photoredox-catalyzed reductive difluoromethylation of electron-deficient alkenes using difluoromethanesulfonyl chloride (HCF2SO2Cl) [34]. A year later, Qing developed a visible-light-induced hydrodifluoromethylation of unactivated alkenes with bromodifluoromethylphosphonium bromide [Ph3PCF2Br]+Br− [35]. Shortly after, the same group further reported the hydrodifluoromethylation using phosphonium salt [Ph3PCF2H]+Br− under photocatalytic conditions [36]. Xiao [37] and Chen [38] simplified the conditions and achieved hydrodifluoromethylation of alkenes without the need for photocatalysts in 2019 and 2022, respectively. Gouverneur reported the hydrodifluoromethylation of alkenes using difluoroacetic acid and phenyliodine(Ⅲ) diacetate in 2019 [39].
Then later, Wu group reported a photocatalytic radical hydrodifluoromethylation of unactivated alkenes with chlorodifluoromethane (ClCF2H) [40]. In 2021, Hu described a hydrodifluoromethylation of electron-deficient alkenes by electrochemical reduction of difluoromethyl sulfone (Het)ArSO2CF2H [41]. Kim then extended the scope to both unactivated and activated alkenes using sulfone PhSO2CF2H via an electroreductively triggered two-pronged approach [42]. Although the efficient hydrodifluoromethylation of alkenes have been achieved under some photoinduced or electrochemical conditions, most of these methods require the use of complex CF2H-based reagents, or strong oxidants or expensive photocatalysts (Scheme 1B, 1-7). The development of difluoromethylation with inexpensive and readily available regents under scalable and operationally conditions remains unexplored.
Transition metal-catalyzed difluoromethylation reaction has been established during the last few years [43-52]. Nevertheless, transition metal-catalyzed hydrodifluoromethylation of alkenes have been seldom reported. More recently, Chu developed a silver-enabled difluoromethylation reaction of alkenes with TMSCF2H, thus improving the practicability of such reactions (Scheme 1B, 8) [53]. However, the use of chemical equivalent silver reagent does increase its cost.
Difluoroacetic anhydride (DFAA) is considered as an attractive difluoromethyl free-radical regent in terms of its low cost, scalability and ready availability. However, the application of DFAA as a difluoromethylating source was still rather limited due to its high reduction potential. Over the past decade, nickel catalyzed decarboxylation coupling reactions have been established well [54-59]. And the application of nickel in difluoromethylation reaction is always highly desirable considering its inexpensive, abundant and sustainable advantages [60-64]. While nickel-catalyzed difluoromethylation reaction using DFAA through a decarboxylative process has never been reported before. To note, Stephenson et al. in 2015 reported a strategy for the generation of CF3 radical from trifluoroacetic anhydride/pyridine N-oxide using photoredox catalysis, and this method is applied for trifluoromethylation of vinyl, aryl and heteroaryl substrates [65]. In addition, Zhong's group accomplished a photoinduced fluoroalkyl radical cyclization of alkyne to construct the fluorinated seven-membered ring skeleton using fluoroalkyl anhydrides, in which only one difluoromethylated product was obtained [66].
Upon these relevant studies, we herein report the first example of nickel-catalyzed reductive difluoromethylation reaction of electron-deficient alkenes with DFAA/pyridine N-oxide. A variety of C(sp3)-CF2H containing compounds were prepared through a hydrodifluoromethylation process. In addition, various gem–difluoroalkenes bearing CF2H group were synthesized via defluorinative reductive cross-coupling process from trifluoromethyl-substituted alkenes using this new reaction system. Difluoroacetic anhydride has been then extended to other common alkyl anhydrides, and the corresponding hydroalkylation and defluoroalkylation processes have been successfully achieved (Scheme 1C).
The nickel-catalyzed difluoromethylation reaction of benzyl 2-phenylacrylate 1a with DFAA was initially attempted. To our delight, we found that the combination of pyridine N-oxide as an activator for DFAA, Li2CO3 as a base, Mn as a reductant, NiBr2·dme as a catalyst and ter-pyridine as a ligand readily gave the desired C(sp3)-CF2H product 2a in 92% yield (Table 1, entry 1). Without the nickel catalyst, the yield decreases dramatically, which shows that the catalyst can significantly promote this difluoromethylation process (entry 2). Several nickel catalysts including NiCl2, Ni(COD)2 and Ni(ClO4)2·6H2O were capable to generate the desired CF2H product (entries 3–5), while NiBr2·dme was found to be the optimal. In the absence of terpyridine or the use of various other common nitrogen ligands L1-L4 (entries 6–10) only provided product 1a in the lower yields. The reductant Mn was essential for this transformation, and no desired CF2H product was detected in the absence of Mn (entry 11). A significant decrease of yield was observed when the Mn was replaced with Zn (entry 12). Decreasing the loading of Mn or DFAA/pyridine N-oxide could lead to a decrease in the yield (entries 13 and 14). Lower product yields were detected when the Li2CO3 was absent, or replaced with other salts like LiCl or KF (entries 15–17).
|
|
Table 1 Optimization of reaction conditions.a |
With the optimal reaction conditions in hand, the scope of this nickel-catalyzed reductive difluoromethylation of alkenes was then explored. As shown in Scheme 2, a broad range of electron-deficient alkenes were well tolerated, and were converted into the desired C(sp3)-CF2H products in moderate to excellent yields. A series of 2-phenylacrylic esters (2a-2d) were first examined and the corresponding difluoromethylated products were obtained in good yields. Substrates bearing methyl, fluorine, chlorine, bromine and phenyl on the aromatic ring were well tolerated, providing the desired products in good to excellent yields (2e-2i). The pyridine-containing substrate 1j was also compatible with this difluoromethylation. In addition, the aryl methacrylates were found to be well applicable to this hydrodifluoromethylation reaction. Numerous mono- and di-substituted phenyl methacrylates from phenol derivatives showed good reactivities, including 4-CN, 4-MeO or 4-PhO substituted phenol, 4-cumylphenol, carvacrol, sesamol and eugenol (2k-2n, 2p-2r). Phenyl acrylate was also suitable substrate, giving the desired product 2o in 62% yield. Reaction with 2-naphthol and 7-hydroxycoumarin derivatives could occur, resulting in the products 2s and 2t in 87% and 58% yields, respectively. Amides were also amenable, giving the desired products 2u and 2v in relatively lower yields. Acrylonitrile could be converted to the corresponding product 2w in 90% yield. Unsaturated ketone was also well tolerated, giving the product 2x in 79% yield. To our gratifying, this protocol was applicable to the late-stage functionalization of complex alkenes derived from natural products and biologically active molecules. Vitamin E, mecarbinate, pterostilbene, and cholesterol derivatives were all suitable substrates, delivering the desired C(sp3)-CF2H products in good yields (2y-2ab).
|
Download:
|
| Scheme 2. Nickel-catalyzed hydrodifluoromethylation of alkenes using DFAA. Reaction conditions: alkene (0.2 mmol), DFAA (1.0 mmol), pyridine N-oxide (1.0 mmol), Li2CO3 (0.6 mmol), Mn (0.6 mmol), NiBr2·dme (10 mol%), L5 (15 mol%), DMA (0.1 mol/L), N2, 30 ℃, 36 h, isolated yields. | |
Notably, when trifluoromethyl alkenes were applied to this nickel-catalyzed difluoromethylation approach, an allylic defluorinative reductive cross-coupling process occurred, affording a series of multifluorinated molecules containing CF2H and gem–difluoroalkene moities (Scheme 2b) [67]. Substrates bearing electron-donating or electron-withdrawing substituents in ortho, meta or para position of aryl ring were well tolerated, providing the multifluorinated products in moderate to good yields (3a-3k). Heteroaryl substituted trifluoromethyl alkene could also afford the corresponding product 3l in 66% yield, successfully.
Throughout the course of this study, other fluoroalkyl or chloroalkyl acids anhydrides, such as trifluoroacetic anhydride, chlorodifluoroacetic anhydride and chloroacetic anhydride, were found to be unreactive. Additionally, 1-octene, 4-phenyl-1-butene and 4-vinylbiphenyl failed to undergo the difluoromethylation under this system.
During the past few years, nickel-catalyzed allylic defluorinative alkylation of trifluoromethyl alkenes have been well developed [68-72]. Among them, in 2019, Fu's group reported an efficient synthesis of gem–difluoroalkenes through a decarboxylation process of redox-active esters [73]. Inspired by this work, we envisioned that this acid anhydride/pyridine N-oxide system could also be applied to the defluorinative alkylation reaction as an alkyl radical precursor. Under the above newly established standard conditions, the alkylation product 4a was only isolated in 56% yield with a low conversion efficiency. Satisfyingly, a significant increase of yield was observed when the Mn was replaced with Zn. We then gratifyingly found that the diverse aryl and heteroaryl substituted trifluoromethyl alkenes underwent this nickel-catalyzed defluorinative alkylation under the modified conditions, rendering the corresponding products 4a–4g with good efficiency and functional group tolerance. Primary, secondary and tertiary acid anhydrides (or in-situ mixed acid anhydride) were all well tolerated, providing the gem–difluoroalkene products 4h–4l in good to excellent yields. Dehydrocholic acid mixed anhydride also worked well as an example of LSF of complex molecule, giving the desired product 4m in 74% isolated yield (Scheme 3).
|
Download:
|
| Scheme 3. Nickel-catalyzed defluorinative alkylation of trifluoromethyl alkenes using alkyl acid anhydride. Reaction conditions: trifluoromethylalkene (0.2 mmol), alkyl acid anhydride (0.3 mmol), pyridine N-oxide (0.3 mmol), LiCl (0.4 mmol), Zn (0.6 mmol), NiBr2·dme (10 mol%), L5 (15 mol%), DMA (0.1 mol/L), N2, 30 ℃, 36 h, isolated yields. a Alkyl acid anhydrides were commercially available. b Using prepared mixed anhydrides of alkyl acids with p-toluic acids. | |
Fortunately, the nickel catalyzed hydroalkylation of conjugated olefins has also been successfully achieved under simply modified conditions. Monosubstituted and disubstituted alkyl esters were amenable, giving the desired hydroalkylative products 5a and 5b in good yields. Enamide derivative 5c could also be obtained in 56% yield (Scheme 4).
|
Download:
|
| Scheme 4. Nickel-catalyzed hydroalkylation of electron‐deficient alkenes using alkyl acid anhydride. Reaction conditions: alkene (0.2 mmol), alkyl acid anhydride (0.3 mmol), pyridine N-oxide (0.3 mmol), HCF2COOH (1.2 mmol), Zn (0.6 mmol), NiBr2·dme (10 mol%), L5 (15 mol%), DMA (0.1 mol/L), N2, r.t., 20 h, isolated yields. | |
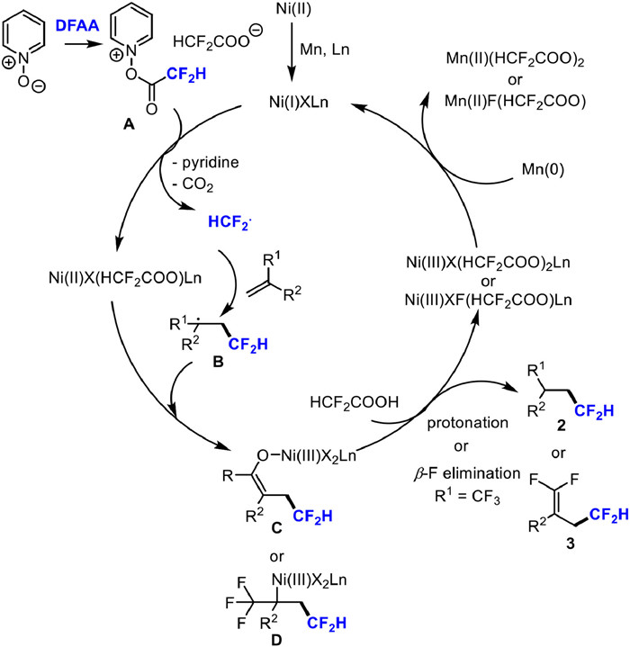
To gain more insights into the mechanism of this nickel-catalyzed difluoromethylation reaction, several control experiments were conducted (Scheme 5). When TEMPO was added to the reaction of benzyl 2-phenylacrylate 1a with DFAA on the standard conditions, TEMPO—CF2H adducts were detected by 19F NMR in 82% yield, while the C(sp3)-CF2H product 2 was not observed (Scheme 5A). Besides, the reaction of (1-cyclopropylvinyl)benzene 6 with DFAA on this new established system provided the allylic-CF2H product 7 in a 15% isolated yield, indicating a probable generation of a CF2H radical (Scheme 5B). Inspired by Zhang's work, a [NiCF2H] complex A was prepared according to the reported method (for details, please see Support information) [74]. While the ter-pyridine was screened as the optimal ligand in our new established approach, 4,4′-ditBu-Bpy (L2) could also provide 2a in 69% yield (Table 1, entry 8). However, reaction of alkene 1a with this complex A failed to afford the desired product 2a (Scheme 5C). Considering that a small amount of difluoroacetic acid contained in the DFAA reagent may participate in the protonation process, the reaction of alkene 1a with complex A in the presence of 2.0 equiv. of difluoroacetic acid or H2O were performed. Nevertheless, the product 2a was also not observed under this condition (Scheme 5D). In addition, compound 3a could not be obtained from trifluoromethyl alkene S27 using the complex A (Scheme 5E). These results implied that this difluoromethylation reaction initiated from an oxidative addition process of DFAA/N-oxide adduct to Ni(0) is less possible. Futhermore, when two or four equivalents of D2O was added to the reaction of 1a with DFAA under the standard conditions, 36% or 57% deuterium incorporation of products were observed, respectively (Scheme 5F). No deuterated products were observed when DMF-d7 was used as solvent (Scheme 5G). These results suggest the reaction may proceed via a protonation process from the water in this system.
|
Download:
|
| Scheme 5. Mechanistic studies. (A) Reaction in the presence of TEMPO. (B) Reaction with cyclopropyl alkene. (C) Reaction of complex A with alkene 1a. (D) Reaction of complex A with alkene 1a in the presence of difluoroacetic acid. (E) Reaction of complex A with trifluoromethyl alkene S27. (F) Deuterium labeling experiment using D2O. (G) Deuterium labeling experiment using DMF-d7. | |
Based on these experimental results and prior mechanistic investigations of Ni-catalyzed cross-coupling reactions with anhydrides or redox-active esters [54-58,75-78], a reasonable catalytic cycle starting from Ni(Ⅰ) catalyst is proposed in Scheme 6. The Ni(Ⅰ) species were also approved as active form of the catalyst in a nickel-induced fluoroalkylation reaction reported by Budnikova [79]. The DFAA/N-oxide adduct A could be readily reduced by the Ni(Ⅰ) catalyst, generated from the reduction of Ni(Ⅱ) precatalyst, to provide a Ni(Ⅱ) complex and the HCF2 radical. We believe that lithium ions may have played a promoting role in this decarboxylation process [58]. The capture of this HCF2 radical by the alkene substrate generated the radical intermediate B. Then a Ni(Ⅲ)-enolate C or Ni(Ⅲ) alkyl intermediate D would be formed from the combination of Ni(Ⅱ) complex with the radical intermediate B. Then intermediate C underwent a protonation process to deliver the desired hydrodifluoromethylated product 2 and a Ni(Ⅲ) complex. When the R1 was CF3 group, the Ni(Ⅲ) alkyl intermediate D would undergo a facile β-F elimination process to deliver the defluorinative product 3 due to good match between Ni(Ⅲ) and F anion based on HSAB. As a final step, the Ni(Ⅲ) complex could be reduced by Mn powder to re-generate the Ni(Ⅰ) catalyst.
|
Download:
|
| Scheme 6. Proposed reaction mechanism. | |
In conclusion, we have developed a nickel-catalyzed decarboxylative reductive difluoromethylation reaction of alkenes using cost-efficient and practical DFAA/pyridine N-oxide reagents system for the first time. This reaction exhibits broad substrate scopes and good functional group tolerance. A wide range of C(sp3)-CF2H containing compounds were synthesized under mild condition. In addition, various gem–difluoroalkenes bearing CF2H group were also prepared using this new established strategy. Difluoroacetic anhydride has been then extended to other common alkyl anhydrides, and the corresponding hydroalkylation and defluoroalkylation processes have also been successfully achieved.
Declaration of competing interestThe authors declare that they have no known competing financial interests or personal relationships that could have appeared to influence the work reported in this paper.
CRediT authorship contribution statementZhenkang Ai: Writing – original draft, Methodology, Data curation. Hui Chen: Methodology, Data curation, Conceptualization. Xuebin Liao: Writing – review & editing, Methodology, Funding acquisition, Formal analysis, Conceptualization.
AcknowledgmentsWe are grateful for the financial support from the National Natural Science Foundation of China (NSFC, No. 21877067), and Tsinghua-Peking Centre for Life Science. We thank professor Qilong Shen at Shanghai Institute of Organic Chemistry (SIOC), Pinjing Zhao at North Dakota State University for helpful discussion.
Supplementary materialsSupplementary material associated with this article can be found, in the online version, at doi:10.1016/j.cclet.2024.109954.
| [1] |
D. O’Hagan, Chem. Soc. Rev. 37 (2008) 308-319. DOI:10.1039/B711844A |
| [2] |
S. Purser, P.R. Moore, S. Swallow, V. Gouverneur, Chem. Soc. Rev. 37 (2008) 320-330. DOI:10.1039/B610213C |
| [3] |
W.K. Hagmann, J. Med. Chem. 51 (2008) 4359-4369. DOI:10.1021/jm800219f |
| [4] |
M. Sodeoka, Science 334 (2011) 1651-1652. DOI:10.1126/science.1215220 |
| [5] |
D. Cahard, V. Bizet, Chem. Soc. Rev. 43 (2014) 135-147. DOI:10.1039/C3CS60193E |
| [6] |
Q.A. Huchet, B. Kuhn, B. Wagner, et al., J. Med. Chem. 58 (2015) 9041-9060. DOI:10.1021/acs.jmedchem.5b01455 |
| [7] |
E.P. Gillis, K.J. Eastman, M.D. Hill, D.J. Donnelly, N.A. Meanwell, J. Med. Chem. 58 (2015) 8315-8359. DOI:10.1021/acs.jmedchem.5b00258 |
| [8] |
N.A. Meanwell, J. Med. Chem. 61 (2018) 5822-5880. DOI:10.1021/acs.jmedchem.7b01788 |
| [9] |
H. Mei, J. Han, K.D. Klika, et al., Eur. J. Med. Chem. 186 (2020) 111826. DOI:10.1016/j.ejmech.2019.111826 |
| [10] |
J.A. Erickson, J.I. McLoughlin, J. Org. Chem. 60 (1995) 1626-1631. DOI:10.1021/jo00111a021 |
| [11] |
Y. Zafrani, D. Yeffet, G. Sod-Moriah, et al., J. Med. Chem. 60 (2017) 797-804. DOI:10.1021/acs.jmedchem.6b01691 |
| [12] |
C.D. Sessler, M. Rahm, S. Becker, et al., J. Am. Chem. Soc. 139 (2017) 9325-9332. DOI:10.1021/jacs.7b04457 |
| [13] |
Y. Zafrani, G. Sod-Moriah, D. Yeffet, et al., J. Med. Chem. 62 (2019) 5628-5637. DOI:10.1021/acs.jmedchem.9b00604 |
| [14] |
G.K.S. Prakash, J. Hu, Acc. Chem. Res. 40 (2007) 921-930. DOI:10.1021/ar700149s |
| [15] |
J. Hu, W. Zhang, F. Wang, Chem. Commun. (2009) 7465-7478. DOI:10.1039/b916463d |
| [16] |
T. Koike, M. Akita, Acc. Chem. Res. 49 (2016) 1937-1945. DOI:10.1021/acs.accounts.6b00268 |
| [17] |
D.E. Yerien, S. Barata-Vallejo, A. Postigo, Chem. Eur. J. 23 (2017) 14676-14701. DOI:10.1002/chem.201702311 |
| [18] |
J. Rong, C. Ni, J. Hu, Asian J. Org. Chem. 6 (2017) 139-152. DOI:10.1002/ajoc.201600509 |
| [19] |
Z. Feng, Y.L. Xiao, X. Zhang, Acc. Chem. Res. 51 (2018) 2264-2278. DOI:10.1021/acs.accounts.8b00230 |
| [20] |
J.B.I. Sap, C.F. Meyer, N.J.W. Straathof, et al., Chem. Soc. Rev. 50 (2021) 8214-8247. DOI:10.1039/d1cs00360g |
| [21] |
F.L. Qing, X.Y. Liu, J.A. Ma, et al., CCS Chem. 4 (2022) 2518-2549. DOI:10.31635/ccschem.022.202201935 |
| [22] |
T. Tagami, Y. Mitani, S. Kawamura, M. Sodeoka, Adv. Synth. Catal. 365 (2023) 3637-3647. DOI:10.1002/adsc.202300337 |
| [23] |
J.R. Coombs, J.P. Morken, Angew. Chem. Int. Ed. 55 (2016) 2636-2649. DOI:10.1002/anie.201507151 |
| [24] |
X. Li, P. Chen, G. Liu, Beilstein J. Org. Chem. 14 (2018) 1813-1825. DOI:10.3762/bjoc.14.154 |
| [25] |
Z.X. Wang, X.Y. Bai, B.J. Li, Chin. J. Chem. 37 (2019) 1174-1180. DOI:10.1002/cjoc.201900308 |
| [26] |
X. Qi, T. Diao, ACS Catal. 10 (2020) 8542-8556. DOI:10.1021/acscatal.0c02115 |
| [27] |
K.E. Poremba, S.E. Dibrell, S.E. Reisman, ACS Catal. 10 (2020) 8237-8246. DOI:10.1021/acscatal.0c01842 |
| [28] |
A. Das, J. Waser, Tetrahedron 128 (2022) 133135. DOI:10.1016/j.tet.2022.133135 |
| [29] |
N. Levi, D. Amir, E. Gershonov, Y. Zafrani, Synthesis 51 (2019) 4549-4567. DOI:10.1055/s-0039-1690027 |
| [30] |
M. Zhang, J.H. Lin, J.C. Xiao, Angew. Chem. Int. Ed. 58 (2019) 6079-6083. DOI:10.1002/anie.201900466 |
| [31] |
T. Koike, M. Akita, Org. Biomol. Chem. 17 (2019) 5413-5419. DOI:10.1039/c9ob00734b |
| [32] |
J. Feng, X. Jia, S. Zhang, K. Lu, D. Cahard, Org. Chem. Front. 9 (2022) 3598-3623. DOI:10.1039/d2qo00551d |
| [33] |
D. Chen, X. Yang, D. Wang, et al., Org. Chem. Front. 10 (2023) 2482-2490. DOI:10.1039/d3qo00290j |
| [34] |
X.J. Tang, Z. Zhang, W.R. Dolbier Jr, Chem. Eur. J. 21 (2015) 18961-18965. DOI:10.1002/chem.201504363 |
| [35] |
Q.Y. Lin, X.H. Xu, K. Zhang, F.L. Qing, Angew. Chem. Int. Ed. 55 (2016) 1479-1483. DOI:10.1002/anie.201509282 |
| [36] |
W.Q. Hu, X.H. Xu, F.L. Qing, J. Fluorine Chem. 208 (2018) 73-79. DOI:10.1016/j.jfluchem.2018.01.013 |
| [37] |
J. Yu, J.H. Lin, Y.C. Cao, J.C. Xiao, Org. Chem. Front. 6 (2019) 3580-3583. DOI:10.1039/c9qo00919a |
| [38] |
X. Ren, Q. Liu, Z. Wang, X. Chen, Chin. Chem. Lett. 34 (2023) 107473. DOI:10.1016/j.cclet.2022.04.071 |
| [39] |
C.F. Meyer, S.M. Hell, A. Misale, A.A. Trabanco, V. Gouverneur, Angew. Chem. Int. Ed. 58 (2019) 8829-8833. DOI:10.1002/anie.201903801 |
| [40] |
Z.Q. Zhang, Y.Q. Sang, C.Q. Wang, et al., J. Am. Chem. Soc. 144 (2022) 14288-14296. DOI:10.1021/jacs.2c05356 |
| [41] |
X. Zhou, C. Ni, L. Deng, J. Hu, Chem. Commun. 57 (2021) 8750-8753. DOI:10.1039/d1cc03258e |
| [42] |
S. Kim, K.H. Hwang, H.G. Park, et al., Commun. Chem. 5 (2022) 96. DOI:10.1109/isgtasia54193.2022.10003619 |
| [43] |
P.S. Fier, J.F. Hartwig, J. Am. Chem. Soc. 134 (2012) 5524-5527. DOI:10.1021/ja301013h |
| [44] |
G.K.S. Prakash, S.K. Ganesh, J.P. Jones, et al., Angew. Chem. Int. Ed. 51 (2012) 12090-12094. DOI:10.1002/anie.201205850 |
| [45] |
Z. Feng, Q.Q. Min, X.P. Fu, L. An, X. Zhang, Nat. Chem. 9 (2017) 918-923. DOI:10.1038/nchem.2746 |
| [46] |
C. Lu, Y. Gu, J. Wu, Y. Gu, Q. Shen, Chem. Sci. 8 (2017) 4848-4852. DOI:10.1039/C7SC00691H |
| [47] |
W. Miao, Y. Zhao, C. Ni, et al., J. Am. Chem. Soc. 140 (2018) 880-883. DOI:10.1021/jacs.7b11976 |
| [48] |
F. Pan, G.B. Boursalian, T. Ritter, Angew. Chem. Int. Ed. 57 (2018) 16871-16876. DOI:10.1002/anie.201811139 |
| [49] |
T.H. Zhu, Z.Y. Zhang, J.Y. Tao, K. Zhao, T.P. Loh, Org. Lett. 21 (2019) 6155-6159. DOI:10.1021/acs.orglett.9b02361 |
| [50] |
A. Cai, W. Yan, C. Wang, W. Liu, Angew. Chem. Int. Ed. 60 (2021) 27070-27077. DOI:10.1002/anie.202111993 |
| [51] |
N. Lalloo, C.A. Malapit, S.M. Taimoory, C.E. Brigham, M.S. Sanford, J. Am. Chem. Soc. 143 (2021) 18617-18625. DOI:10.1021/jacs.1c08551 |
| [52] |
L. Peng, H. Wang, C. Guo, J. Am. Chem. Soc. 143 (2021) 6376-6381. DOI:10.1021/jacs.1c02697 |
| [53] |
J. Yang, S. Zhu, F. Wang, F.L. Qing, L. Chu, Angew. Chem. Int. Ed. 60 (2021) 4300-4306. DOI:10.1002/anie.202014587 |
| [54] |
T. Qin, J. Cornella, C. Li, et al., Science 352 (2016) 801-805. DOI:10.1126/science.aaf6123 |
| [55] |
J. Cornella, J.T. Edwards, T. Qin, et al., J. Am. Chem. Soc. 138 (2016) 2174-2177. DOI:10.1021/jacs.6b00250 |
| [56] |
T. Qin, L.R. Malins, J.T. Edwards, et al., Angew. Chem. Int. Ed. 56 (2017) 260-265. DOI:10.1002/anie.201609662 |
| [57] |
K.M.M. Huihui, J.A. Caputo, Z. Melchor, et al., J. Am. Chem. Soc. 138 (2016) 5016-5019. DOI:10.1021/jacs.6b01533 |
| [58] |
H. Chen, L. Hu, W. Ji, L. Yao, X. Liao, ACS Catal. 8 (2018) 10479-10485. DOI:10.1021/acscatal.8b03396 |
| [59] |
H. Chen, S. Sun, X. Liao, Org. Lett. 21 (2019) 3625-3630. DOI:10.1021/acs.orglett.9b01048 |
| [60] |
L. Xu, D.A. Vicic, J. Am. Chem. Soc. 138 (2016) 2536-2539. DOI:10.1021/jacs.6b00053 |
| [61] |
H. Motohashi, K. Mikami, Org. Lett. 20 (2018) 5340-5343. DOI:10.1021/acs.orglett.8b02264 |
| [62] |
V. Bacauanu, S. Cardinal, M. Yamauchi, et al., Angew. Chem. Int. Ed. 57 (2018) 12543-12548. DOI:10.1002/anie.201807629 |
| [63] |
X.P. Fu, Y.L. Xiao, X. Zhang, Chin. J. Chem. 36 (2018) 143-146. DOI:10.1002/cjoc.201700624 |
| [64] |
H. Li, F. Wang, S. Zhu, L. Chu, Angew. Chem. Int. Ed. 61 (2022) e202116725. DOI:10.1002/anie.202116725 |
| [65] |
J.W. Beatty, J.J. Douglas, K.P. Cole, C.R.J. Stephenson, Nat. Commun. 6 (2015) 7919. DOI:10.1038/ncomms8919 |
| [66] |
X.K. Qi, H. Zhang, Z.T. Pan, et al., Chem. Commun. 55 (2019) 10848-10851. DOI:10.1039/c9cc04977k |
| [67] |
L.H. Wu, J.K. Cheng, L. Shen, Z.L. Shen, T.P. Loh, Adv. Synth. Catal. 360 (2018) 3894-3899. DOI:10.1002/adsc.201800740 |
| [68] |
Y. Lan, F. Yang, C. Wang, ACS Catal. 8 (2018) 9245-9251. DOI:10.1021/acscatal.8b02784 |
| [69] |
D. Ding, Y. Lan, Z. Lin, C. Wang, Org. Lett. 21 (2019) 2723-2730. DOI:10.1021/acs.orglett.9b00692 |
| [70] |
Z. Lin, Y. Lan, C. Wang, Org. Lett. 21 (2019) 8316-8322. DOI:10.1021/acs.orglett.9b03102 |
| [71] |
Y. Jin, J. Wu, Z. Lin, Y. Lan, C. Wang, Org. Lett. 22 (2020) 5347-5352. DOI:10.1021/acs.orglett.0c01592 |
| [72] |
J.X. Wang, M.C. Fu, L.Y. Yan, X. Lu, Y. Fu, Adv. Sci. 11 (2024) 2307241. DOI:10.1002/advs.202307241 |
| [73] |
X. Lu, X.X. Wang, T.J. Gong, et al., Chem. Sci. 10 (2019) 809-814. DOI:10.1039/c8sc04335c |
| [74] |
C. Xu, W.H. Guo, X. He, et al., Nat. Commun. 9 (2018) 1170. DOI:10.1038/s41467-018-03532-1 |
| [75] |
R. Wang, J. Xu, J. Li, et al., Chin. Chem. Lett. 34 (2023) 108490. DOI:10.1016/j.cclet.2023.108490 |
| [76] |
N.D. Schley, G.C. Fu, J. Am. Chem. Soc. 136 (2014) 16588-16593. DOI:10.1021/ja508718m |
| [77] |
S. Biswas, D.J. Weix, J. Am. Chem. Soc. 135 (2013) 16192-16197. DOI:10.1021/ja407589e |
| [78] |
Y. Xiao, W. Huang, Q. Shen, Chin. Chem. Lett. 33 (2022) 4277-4280. DOI:10.1016/j.cclet.2022.01.020 |
| [79] |
D. Mikhaylov, T. Gryaznova, Y. Dudkina, et al., Dalton Trans. 41 (2012) 165-172. DOI:10.1039/C1DT11299F |
2025, Vol. 36 

