b Key Laboratory of Marine Genetic Resources, Third Institute of Oceanography, Ministry of Natural Resources, Xiamen 361005, China;
c The School of Basic Medical Sciences, Fujian Medical University, Fuzhou 350122, China;
d Fujian Province Universities and Colleges Engineering Research Center for Marine Biopharmaceutical Resource Utilization, Xiamen Medica College, Xiamen 361023, China
Penicillium citrinum are important medicinal fungi that bio-synthesized a broad spectrum of bioactive compounds, such as alkaloids [1], polyketides [2,3], sterols [4] and terpenes [5,6]. In particular, this species of Penicillium is characterized to produce citrinin, a well-known mycotoxin featuring an 8–hydroxy-3,4,5-trimethyl-6-oxo-4,6-dihydro-3H-isochromene core [7]. The related analogues from the same species usually derived from the degradation, dimerization or trimerization of citrinin through different pathways, thereby leading to a vast range of structure diversity, complexity and biological activity of this polyketides family [8–10]. For example, citrifelin B, possessing a unique tetracyclic framework, showed strong inhibitory activity against the human pathogens Escherichia coli and Staphylococcus aureus with minimum inhibitory concentration (MIC) values of 2.0 and 4.0 µg/mL, respectively [11]. Tricitrinols A and B, isolated from Penicillium citrinum HGY1–5, consisting of two coupled citrinin monomers as well as a third moiety linked through a single bond between C-7′ and C-10′ display a DNA topoisomerase IIα inhibitory activity [12]. In a few cases, citrinin analogues incorporate some unusual substructures like pyrrolidine [13], furanone [14] or isoquinolinone [15], furtherly extend the understanding about the chemical structures of this polyketide family.
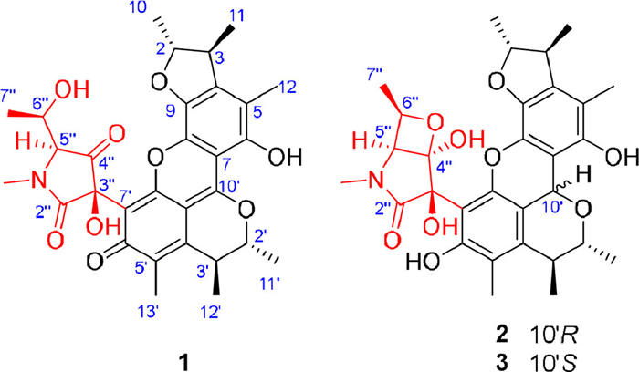
In the course of discovering structurally new and bioactive secondary metabolites from deep-sea derived fungi [16–21], the Penicillium citrinin W22 isolated from a sediment sample at a depth of 5278 m from the Western Pacific was subjected to a systematic chemical investigation. The subsequent series of purifications finally afforded three unprecedented citrinin dimers (1–3, Fig. 1) along with a known derivative, penicitrinone A (4). We report herein the fermentation, isolation, structure, and bioactivities of these isolates.
|
Download:
|
| Fig. 1. Chemical structures of compounds 1–3. | |
The EtOAc extract of the rice culture of Penicillium citrinum W22 was subjected to extensive column chromatography (CC) over silica gel, octadecyl silane (ODS), Sephadex LH-20, and preparative high-performance liquid chromatography (HPLC) to yield compounds 1–4. Compound 4 was identified as a known compound, penicitrinone A, by comparing the nuclear magnetic resonance (NMR), mass spectra (MS), and optical rotation (OR) data with those reported in the reference [8].
The positive high-resolution electrospray ionization-mass spectrometry (HRESIMS) analysis of compound 1 returned a molecular formula C30H33NO9, requiring for 15° of unsaturation. The 1H, 13C NMR together with heteronuclear single quantum coherence (HSQC) spectra of 1 (Table 1) revealed resonances for eight methyl groups including two singlets, five doublets, and one N-methyl; six sp3 methine; and 16 non-hydrogenated carbons consisting of one sp3, 12 olefinic, and three carbonyl carbons. Therefore, 1 incorporated six rings. In the 1H–1H correlation spectroscopy (COSY) spectrum, two suites of correlations of H3–10/H-2/H-3/H3–11 and H3–11′/H-2′/H-3′/H3–12′ confirmed that the four methyl doublets and four sp3 methine were mutually coupled in two pairs, which much resembled resonances in the spectra of penicitrinone A (4). An in-depth comparison of the 1D and 2D NMR data of 1 with those of 4 indicated 1 incorporated a C-7-substituted citrinin dimer moiety (Fragment A). The assumption was supported by the diagnostic heteronuclear multiple bond correlation (HMBC) correlations of H-2 to C-9, H-3 to C-4/9, H3–11 to C-4, H3–12 to C-4/5/6, H-2′ to C-10′, H-3′ to C-9′, H3–12′ to C-4′, H3–13′ to C-4′/5′/6′, and a long-range correlation of H3–13′ to C-7′ (Fig. 2).
|
|
Table 1 The 1H and 13C NMR spectroscopic data for neo-dicitrinols A–C (1–3) (J in Hz). |
|
Download:
|
Fig. 2. The key COSY (![]() ![]() ![]() |
|
Apart from the dimeric citrinin substructure, the rest of 2D NMR signals were attributed to a N-methyl-containing fragment B, evident by the HMBC correlations from the N-methyl to C-2′′/5′′ and COSY correlation of H-6′′/6′′-OH, as well as an oxygenated non-hydrogenated carbon (δC 82.2, Fragment C). Considering the molecular formula and the ketonic nature of C-4′′ (δC 206.4), the planar structure of 1 was assigned as shown in Fig. 2. The nuclear Overhauser effect spectroscopy (NOESY) correlations of H-2′/H3–12′, H-3′/H3–11′ permitted a cis relationship of the two methyl, which could be applied to H3–10/H3–11 due to a biogenetic ground [8]. However, the relative configuration of C-3′′, C-4′′, and C-5′′ remains unclear since no useful NOESY correlations could be observed on these chiral centres. Fortunately, a crystal of 1 was obtained by slowly evaporating in MeOH. Therefore, the X-ray diffraction analysis was conducted, which eventually established the absolute configuration of 1 (Fig. 3). Accordingly, compound 1 was identified as a novel dimeric citrinin analogue, and named neo-dicitrinol A.
|
Download:
|
| Fig. 3. The single X-ray crystallography structure of 1. | |
Compound 2 was assigned the molecular formula C30H35NO9 based on its positive HRESIMS spectrum. Comparison of the NMR spectra of 2 with those of 1 (Table 1) revealed a high degree of similarities with the principal differences as (i) the presence of a sp3 hybrid oxymethine (δH 5.69, δC 67.2; CH-10′) in 2; (ii) the replacement of two ketone in 1 with a deshielded aromatic carbon (δC 158.8; C-6′) and one hemiketal carbon (δC 110.9; C-4′′); (iii) the deshielding of C-3′′ (ΔδC +6.6). Diagnostic HMBC correlations observed from H-10′ to C-6/7/8/2′/4′/8′/9′ and from H3–13′ to C-6′ confirmed a reduction at C-10′ and an enol-ketol transformation at C-6′. Additionally, the COSY correlation of H-5′′/H-6′′ together with HMBC cross-peaks from H-5′′ to C-3′′/4′′ and H-6′′ to C-4′′ established that the hemiketal was formed through C-6′′-O-C-4′′ (Fig. 4). Therefore, the planar structure of 2 was assigned. The NOESY cross-peaks of H-2′/H3-12′, H-10′/H-2′, H-10′/H3-12′, and N-methyl/H3-7′′ indicated a co-facial relationship of those protons, thus established the relative configuration among C-10′/2′/3′ as well as C-4′′/5′′/6′′ (Fig. 5). This along with a biogenetic consideration with 1 permitted the assignment for the absolute configurations of all those chiral centres. Finally, the configuration of 2 was well supported by a DP4+ probability analysis (Figs. S26 and S28 in Supporting information) and the agreement between the predicted and experimental electronic circular dichroism (ECD) spectra (Fig. 6). On the basis of the above evidence, the complete structure of 2 was then assigned, and was given a trivial name neo-dicitrinol B.
|
Download:
|
| Fig. 4. Selected COSY (bold) and HMBC (arrow) correlations of 2 and 3. | |
|
Download:
|
| Fig. 5. Selected NOESY correlations of compounds 2 and 3. | |
|
Download:
|
| Fig. 6. The experimental and calculated ECD spectra of 2 and 3. | |
Analysis of the positive HRESIMS of 3 returned the identical molecular formula C30H35NO9 as 2. Interpretation of the 1D and 2D NMR data of 3 (Table 1) revealed the same planar structure as 2. Comparison of the data of both compounds disclosed principal differences in the chemical shifts of carbons around the chiral center C-10′, including the shielding of C-10′ (ΔδC −3.8), C-2′ (ΔδC −3.1), C-3′ (ΔδC −2.9), C-4′ (ΔδC −2.3), C-9′ (ΔδC −1.3) as well as the deshielding of C-7 (ΔδC +1.7), C-8′ (ΔδC +1.5), implying a probable inversion of the configuration at C-10′ in 3. This was evidenced by the observation of NOESY correlation between H-10′ and H3–11′ instead of H-10′ and H-2′/H3–12′ in 3. For a further confirmation, a theoretical ECD spectra of (2R,3S,2′R,3′S,10′S,3′′R,4′′R,5′′S,6′′R)−3 and the enantiomer was calculated, in which the tendency of the experimental curve matched well with that of 10′-S (Fig. 5). Thus, compound 3 was elucidated as 10′-S epimer of 2, and named neo-dicitrinol C.
Citrinin and the related analogues have been documented as polyketide synthase (PKS) products in previous studies [22]. However, the 5–hydroxy-ethyl-N-methyl-tetramic acid moiety in 1–3 was not induced by such enzyme to best of our knowledge. This droves us to seek for the origin of it in literature. Being rarely involved in citrinin-analogous molecules, the 5-hydroxyethyl-N-methyl-tetramic acid substructure was found common in fungal metabolites like penicillenols [23], epicoccarines [24] and methiosetin [25], derived from the amino acid precursors via mixed polyketides synthase and non-ribosomal peptide synthase (PKS-NRPS) pathways [26]. On the basis of this fact, a plausible biosynthetic transformation was proposed for compounds 1–3 (Scheme 1), which started from the condensation between a NRPS module-carrying N-methyl-l-threonine and PKS catalysed homo-citrinin precursors. Then the intermediate i that underwent a Dickmann condensation-alike reaction [27] formed the tetramic acid moiety ii and the subsequent epoxide iii. The addition from the free hydroxy of the amino acid to the epoxy with a concomitant hydrogenation on the aromatic ring afforded the 10′-epimers 2 and 3. Compounds 2 and 3 went through a hydrolysis on the oxetane moiety and a subsequent oxidation-dehydration on the aromatic ring to deliver 1. Of particular note, neo-dicitrinols A-C represent the first example of citrinin analogues as hybrid PKS-NRPS products and furtherly enrich the chemical diversity of this class of compounds.
|
Download:
|
| Scheme 1. Plausible biosynthetic pathway linking compounds 1–3. | |
Ferroptosis is a novel type of regulated cell death, which has been implicated in multiple diseases including ischemic organ damage, neurodegeneration, and liver and lung fibrosis [28]. Intervention of ferroptosis would be beneficial to the treatment of these diseases. As shown in Fig. 7, ferroptosis-inducing compound renin-angiotensin system-selective lethal 3 (RSL3) dramatically reduced cell viability in human melanoma A375 cells, which can be reversed by ferroptosis inhibitor ferrostatin-1 (Fer-1, 10 µmol/L). Interestingly, compounds 1–3 were effective in inhibiting RSL3-induced ferroptosis at a concentration of 40 µmol/L, of which, neo-dicitrinols C (3) exhibited the most potency with a half maximal effective concentration (EC50) value of 21.6 µmol/L (Fig. S32 in Supporting information).
|
Download:
|
| Fig. 7. Compounds 1–3 inhibited RSL3-induced ferroptosis in A375 cells. Results are represented as means ± SD (n = 4). Two-tailed Student's t-test was used to compare differences between two groups. Statistical significance was defined as P < 0.01. | |
In conclusion, neo-dicitrinols A–C (1–3), three unprecedented PKS-NRPS hybrid citrinin dimers were discovered from the deep-sea-derived fungus Penicillium citrinum W22. Compound 3 exhibited potent inhibition against RSL3-induced ferroptosis.
Declaration of competing interestThe authors declare that they have no known competing financial interests or personal relationships that could have appeared to influence the work reported in this paper.
AcknowledgmentsThe authors wish to thank Dr. H. Li of the Sun Yat-sen University for the constructive suggestions in the biosynthetic pathway of compounds 1–3. The work was financially supported by the Xiamen Southern Oceanographic Center (No. 22GYY007HJ07).
Supplementary materialsSupplementary material associated with this article can be found, in the online version, at doi:10.1016/j.cclet.2024.109723.
| [1] |
M. Tsuda, M. Sasaki, T. Mugishima, et al., J. Nat. Prod. 68 (2005) 273-276. DOI:10.1021/np049661q |
| [2] |
Y.L. Sun, X.Y. Zhang, Z.H. Zheng, et al., Nat. Prod. Res. 28 (2014) 239-244. DOI:10.1080/14786419.2013.843177 |
| [3] |
M. El-Neketi, W. Ebrahim, W. Lin, et al., J. Nat. Prod. 76 (2013) 1099-1104. DOI:10.1021/np4001366 |
| [4] |
M. Tsuda, Y. Kasai, K. Komatsu, et al., Org. Lett. 6 (2004) 3087-3089. DOI:10.1021/ol048900y |
| [5] |
S. Pang, Z.G. Guo, L. Wang, et al., Nat. Prod. Res. 37 (2023) 586-591. DOI:10.1080/14786419.2022.2078820 |
| [6] |
X. Wei, J.C. Su, J.S. Hu, et al., Org. Lett. 24 (2022) 158-163. DOI:10.1021/acs.orglett.1c03795 |
| [7] |
Z.Y. Lu, Z.J. Lin, W.L. Wang, et al., J. Nat. Prod. 71 (2008) 543-546. DOI:10.1021/np0704708 |
| [8] |
B.R. Clark, R.J. Capon, E. Lacey, et al., Org. Biomol. Chem. 4 (2006) 1520-1528. DOI:10.1039/b600960c |
| [9] |
L. Du, H.C. Liu, W. Fu, et al., J. Med. Chem. 54 (2011) 5796-5810. DOI:10.1021/jm200511x |
| [10] |
Z.H. He, C.L. Xie, T. Wu, et al., Bioorg. Chem. 139 (2023) 106756. DOI:10.1016/j.bioorg.2023.106756 |
| [11] |
L.H. Meng, Y. Liu, X.M. Li, et al., J. Nat. Prod. 78 (2015) 2301-2305. DOI:10.1021/acs.jnatprod.5b00450 |
| [12] |
R.D. Stipanovic, M.H. Wheeler, L.S. Puckhaber, et al., J. Agric. Food. Chem. 59 (2011) 5351-5356. DOI:10.1021/jf200628r |
| [13] |
J. Wei, X. Chen, Y. Ge, et al., J. Org. Chem. 87 (2022) 13270-13279. DOI:10.1021/acs.joc.2c01856 |
| [14] |
G.P. Yin, Y.R. Wu, M.H. Yang, et al., Org. Lett. 19 (2017) 4058-4061. DOI:10.1021/acs.orglett.7b01823 |
| [15] |
S.H. Lin, Q.X. Yan, Y. Zhang, et al., Mar. Drugs 21 (2023) 504. DOI:10.3390/md21100504 |
| [16] |
C.L. Xie, Y.T. Yue, J.P. Xu, et al., Pharmacol. Res. 197 (2023) 106968. DOI:10.1016/j.phrs.2023.106968 |
| [17] |
Z.H. He, C.L. Xie, T. Wu, et al., J. Nat. Prod. 86 (2023) 157-165. DOI:10.1021/acs.jnatprod.2c00866 |
| [18] |
C.L. Xie, D. Zhang, K.Q. Guo, et al., Chin. Chem. Lett. 33 (2022) 2057-2059. DOI:10.1016/j.cclet.2021.09.073 |
| [19] |
C.L. Xie, Q. Liu, Z.H. He, et al., Bioorg. Chem. 108 (2021) 104671. DOI:10.1016/j.bioorg.2021.104671 |
| [20] |
S. Niu, C.L. Xie, J.M. Xia, et al., Org. Lett. 22 (2020) 580-583. DOI:10.1021/acs.orglett.9b04332 |
| [21] |
S. Niu, J.M. Xia, Z. Li, et al., J. Nat. Prod. 82 (2019) 2307-2331. DOI:10.1021/acs.jnatprod.9b00705 |
| [22] |
Y. He, R.J. Cox, Chem. Sci. 7 (2016) 2119-2127. DOI:10.1039/C5SC04027B |
| [23] |
Z.J. Lin, Z.Y. Lu, T.J. Zhu, et al., Chem. Pharm. Bull. 56 (2008) 217-221. DOI:10.1248/cpb.56.217 |
| [24] |
H.V. Kemami Wangun, C. Hertweck, Org. Biomol. Chem. 5 (2007) 1702-1705. DOI:10.1039/b702378b |
| [25] |
K. Herath, H. Jayasuriya, D.L. Zink, et al., J. Nat. Prod. 75 (2012) 420-424. DOI:10.1021/np200857y |
| [26] |
X.H. Mo, Q.L. Li, J.H. Ju, RSC Adv. 4 (2014) 50566-50593. DOI:10.1039/C4RA09047K |
| [27] |
S.H. Hou, F.F. Zhou, Y.H. Sun, et al., Molecules 28 (2023) 6193. DOI:10.3390/molecules28176193 |
| [28] |
X. Jiang, B.R. Stockwell, M. Conrad, Nat. Rev. Mol. Cell Biol. 22 (2021) 266-282. DOI:10.1038/s41580-020-00324-8 |
2024, Vol. 35 




