b Key Laboratory for Yellow River and Huaihe River Water Environment and Pollution Control, Ministry of Education, Henan Key Laboratory for Environmental Pollution Control, School of Environment, Henan Normal University, Xinxiang 453007, China;
c State Key Laboratory of Advanced Electromagnetic Engineering and Technology, School of Electrical and Electronic Engineering, Huazhong University of Science and Technology, Wuhan 430074, China
Lithium-ion batteries (LIBs) have dominated the market of electrochemical energy storage from electronic devices to current electric vehicles [1-5]. However, the safety issues become even more important on the strong demands for better reliability and longer recharge mileage [6-9]. In fact, it is still challenging to further improve safety due to the highly flammable characteristics of the electrolyte solvents (cyclic/linear carbonate cosolvents, such as ethylene carbonate and ethyl methyl carbonate) [10-13]. As promising substitutes for LIBs, zinc-based batteries (ZBs) show unique merits including environmental friendliness, abundant resources, low cost and especially for high safety, gaining significant attention in recent years [14-16]. Nevertheless, the growth of zinc dendrites, hydrogen evolution reaction, cathode dissolution and side reactions seriously impede the development of ZBs [17-20]. Electrolytes, acting as the media of conveying ions between cathodes and anodes during the charging/discharging process, are of great strategic significance for adjusting the electrochemical performances of ZBs [21,22]. For example, the ionic conductivity and ion transference number of electrolytes are closely related with plating and stripping of zinc ions (Zn2+), while the wide electrochemical stability window is benefitting to improving the energy density of ZBs [23,24]. Thus, designing high-performance electrolytes is crucial to alleviate the above problems and further acquire ZBs with excellent electrochemical performances.
The ion-conductive gel polymer electrolytes (GPEs), focused on in this report, lie somewhere between liquid-state electrolytes (LEs) and solid-state polymer electrolytes (SPEs) in the terms of ionic conductivity, electrolyte leakage and processibility. The ionic conduction mechanisms normally follow that of LEs, while the interaction of polymer with charge carrier species may influence the conductivity [25-27]. Especially, when the content of polymer is lower than 5% compared with the total mass of GPEs, the ionic conductivity of GPEs with the integrated network may even reach the level of LEs. Furthermore, the GPEs with flexibility show distinct advantages in the fields of wearable electronics [28,29]. Thanks to the above merits, GPEs have been widely applied on ZBs, such as Zn-NiCo textile battery [30], Zn-Ni battery [31], Zn-organic materials battery [32] and Zn-air battery [33]. Meanwhile, countless efforts have been invested in developing the new kinds of hydrous GPEs and its application on flexible devices, peculiarly Zhi's group. Thus, several reviews that have been published comprehensively covered the GPEs-related topics, including polymer materials used for preparing GPEs and its applications. For instance, Li et al. [28] reviewed the recent progress in flexible ZBs especially on the current collectors or substrates with flexibility in 2018, Wang et al. [29] summarized the progress of hydrogel polymer materials for flexible energy storage devices (such as supercapacitors, LIBs, ZBs and the other energy storage devices) in 2018, Xia et al. [34] overviewed the progress of polymer electrolytes and stressed the electrode/electrolyte interface in 2020, Lv et al. [35] particularly presented the advances of “beyond aqueous” electrolytes in 2022, and so much more. There has been less focus on the gelation mechanisms though it closely relates with the properties of GPEs (physical, chemical and electrochemical properties) and even determines the electrochemical performances of ZBs.
This review not only attempts to capture the gelation mechanisms of hydrous and anhydrous GPEs used for ZBs but also puts forward the corresponding challenges. Firstly, the gelation mechanisms of GPEs are divided into physical gel of polymer, chemical crosslinking of polymer and chemical polymerization of monomers, according to the preparation process. Then, the electrochemical performances (ionic conductivity and ionic transference number), functionalities (such as stretchability and self-healing ability) and features of GPEs are analyzed, meanwhile a number of trends that have been emerged in advanced battery systems are summarized. Particularly, the gelation approaches (including solution-casting methods, separator assisted methods, solution-soaking methods and in-situ polymerization methods) are summarized and discussed, which not only contributes to understand the gelation mechanisms but helps to select suitable methods to prepare electrolytes based on different polymer matrixes or monomers. Finally, the challenges and opportunities in this burgeoning field are also discussed for promoting the further research and development of ZBs.
2. Gelation mechanisms of hydrous gel polymer electrolytesIn the light of preparation process, the gelation mechanisms of hydrous GPEs are mainly classified as three major categories in this review: physical gel of polymers, chemical crosslinking of polymers, and chemical polymerization of monomers. Generally, the physical gel of polymer is usually based on weak interactions (e.g., van der Waals force and intermolecular/intramolecular hydrogen bond) of polymer chains, while the chemical gel, basing on chemical bonds between monomers or covalent bonds between crosslinker and polymer, is superior to physical gel in terms of stable integration. In addition, both the preparation methods and the gelation mechanisms of hydrous GPEs will be minutely summarized and illustrated in this part.
2.1. Preparation methods of hydrous gel polymer electrolytesHere, we classify the methods for preparing GPEs used for ZBs, respectively defined as solution-casting methods, separator assisted methods, solution-soaking methods and in-situ polymerization methods (in-situ methods). In the matter of the first method, the detail process is as follows. Firstly, polymer matrix is directly dissolved into the LEs at a higher temperature (>80 ℃), where polymer matrix is used as a framework of incorporating the hydrous electrolytes. After continuously stirring for several hours, the homogeneous and transparent mixture is obtained and then kept at room temperature for several hours (about 24 h) to eliminate the bubbles. Subsequently, the mixture is cast into a mold and then cooled down to the room temperature. Finally, it is frozen at −18 ℃ for 15 h and thawed at room temperature for 24 h, repeating several times for obtaining hydrous GPEs with ruggedness. Then the prepared gel electrolyte films are inserted into the electrodes for assembling ZBs. Besides, the additional LEs are required to introduce into the cells for the wetting electrodes. To develop a hydrogel electrolyte with well-kept mechanical performances even under the mild, strong alkaline, or strong acid environments, the hydrogel network normally needs to meet three requirements. Firstly, the hydrogel network should possess the sufficient spaces to absorb the high content of liquid electrolytes. And the charged functional groups on the polymer chains can effectively attract and localize the electrolytic ions within the network, benefitting to improving the ionic conductivity. Secondly, excellent mechanical strength of polymer network contributes to suppress the growth of Zn dendrite and deformation of Zn electrode. However, there is always trade-off among some attributes, especially considering mechanical strength and ionic conductivity. In addition, the hydrogel network should be able to form the strong intermolecular hydrogen bonds, helping polymer chains to withstand the attack of solvent molecules and mitigate the collapse or degradation of polymer chains when it is mixed with electrolytes shown different pH values. As for separator assisted methods, the precursor consisting of monomer, electrolytic salts and initiator is added to a supported substance, which is polymerized under the external energy (such as illumination or heating). After that, electrolyte films can be acquired and employed to assemble battery. In fact, both the composition of precursor and preparation process of separator assisted methods are similar with that of solution-casting methods, while the distinction lies in whether a supported substance is used in the step of casting the mixture into the mold. For solution-soaking methods, both electrodes and separators (such as glass fiber separators) are soaked in the mixture (hydrous electrolytes and polymer matrix) and then left under ambient condition to remove the unnecessary water [36,37]. In this process, LEs can be well filled in the interstitial spaces within the polymer chain, which enables the formation of wet soft GPEs with a high ionic conductivity (even up to the level of LEs) and suitable dimensional stability [36]. Eventually, all of them are assembled together for acquiring the mechanically robust ZBs when the electrolyte is solidified. As a matter of convenience, we refer the hydrous GPEs as hydrogel-based polymer electrolytes (HGPEs) because all methods employ water as solvent in the preparation process.
Directly preparing GPEs within batteries is usually referred as in-situ methods [38]. In general, the liquid precursor consisting of monomers, metal salts and initiators is directly injected into batteries, while the separator was sandwiched between the cathode and Zn foil. Then the sealed batteries are followed by treating through external energy (such as heat or ionizing irradiation) to acquire solid-state batteries (SSBs) [39,40]. The liquid precursor with similar properties of liquid electrolytes, is able to infiltrate well into porous electrodes and thus solid-state polymer electrolytes (SPEs) or GPEs can in-situ form at/inside the electrode surface, resulting in the excellent electrode/electrolyte interface contact and consecutive pathways for the conduction of metal ions [41,42]. Consequently, in-situ methods avoid the uses of additional solvents and simplify the preparation process of SSBs [43,44]. Specially, the in-situ methods have made huge advancement in preparing solid-state lithium metal batteries (LMBs) with intimate interfacial contacts and successive pathways for the conduction of lithium ion (Li+). However, it is rarely reported in ZBs. Compared with in-situ methods, the methods mentioned in the last part (solution-casting methods, separator assisted methods, solution-soaking methods) are defined as ex-situ polymerization methods (ex-situ methods).
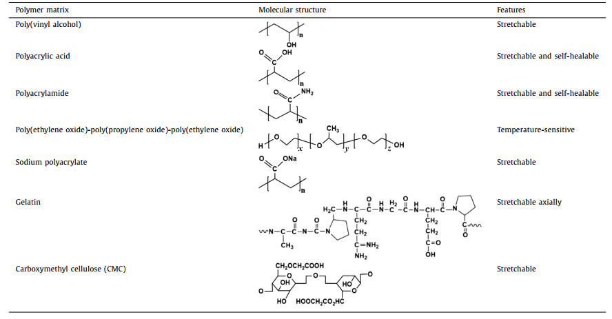
2.2. Physical gel of polymerHGPEs based on physical gel are usually obtained by solution-casting methods or solution-soaking methods. In general, polymer served as a solid framework is rich in hydrophilic groups (for instance, carboxylic, amino, hydroxyl or sulfonic groups), leading to the formation of interstitial spaces due to the intermolecular or intramolecular hydrogen bond (the weak physical crosslinking). Accordingly, the polymer is able to absorb and trap the water molecular into the framework through the intramolecular hydrogen bonds [45,46]. In addition, the charged functional groups on polymer chains can effectively absorb and localize the electrolytic ions inside the network [45,47]. Thus, HGPEs usually display the high ionic conductivity and even up to the level of LEs. The polymers frequently used include poly(vinyl alcohol) (PVA), polyacrylic acid (PAA), gelatin, carboxymethyl cellulose (CMC), and so on, while PVA is the most frequently used polymer matrix due to its environmental friendliness, cost-effective and nontoxicity [48-50]. To better understand the gelation mechanisms, the molecular structures and features of polymer matrixes normally used to fabricate hydrous GPEs for ZBs have been shown in Table 1.
|
|
Table 1 Structures of hydrous gel polymer electrolytes. |
All these polymer matrixes containing the hydrophilic groups contribute to prepare physical gel through intermolecular hydrogen bonds or van der Waals forces, while the properties are a little different in some ways. For example, HGPEs based on CMC show the high ionic conductivity and wide electrochemical stability window owing to their high dielectric constant and low energy level of highest occupied molecular orbital [16,51-53]. However, the mechanical property of gelatin-based HGPEs is poor when the temperature exceeds 35 ℃ due to the destruction of non-covalent associations [54-56]. Thus, improving the mechanical strength of gelatin-HGPEs at high temperature is crucial to fabricate the wide-temperature ZBs. Interestingly, poly(ethylene oxide)-poly(propylene oxide)-poly(ethylene oxide) (PEO-PPO-PEO) electrolytes show the temperature-sensitive properties [57]. However, PAA is a kind of anionic polymer since the side chains are capable of losing protons and thus acquiring a negative charge forming polymer electrolytes [58]. And the electrostatic interaction between the group of −COOH and cations is conductive to improve the mechanical strength of electrode [59]. These polymer matrixes will be introduced in the following part.
2.2.1. Intermolecular hydrogen bonds between poly(vinyl alcohol) and waterPoly(vinyl alcohol) (PVA) is a hydrophilic polymer due to the abundant hydroxyl groups on its side chain. Thanks to its cost-effective, environmental friendliness, nontoxicity, high tensile strength and excellent flexibility, PVA-based physical gel is widely used in energy storage systems, such as zinc-nickel (Zn-Ni) batteries [60,61], Zn-Ti/V2O5 battery [62,63], Zn-air batteries [64,65], Zn-Ag batteries [66], Zn-MnO2 batteries [29] as well as supercapacitor [61,67,68], which will be elaborated in the latter section according to the battery systems.
Alkaline zinc-manganese dioxide (Zn-MnO2) batteries have long dominated the primary battery market due to cost effectiveness, high safety, easy manufacturing, and high energy density. Recent years, HGPEs are proposed to substitute the hydrous electrolyte to extend the application of Zn-MnO2 battery, especially for flexible and wearable electronic devices. He et al. [29] fabricated an ultrathin microbattery-pressure sensor, which achieved the combination of energy storage devices and pressure detection devices. Thanks to the high ionic conductivity of PVA-based HGPEs (PVA/LiCl-ZnCl2−MnSO4) and outstanding electron conductivity of the composite cathode materials (MnO2 nanosheets were directly deposited on 3D Ni skeletons), the single device could accomplish the real-time monitoring of the health status statically and dynamically. This work will guide the researchers to develop miniaturized integration configurations with high performance and multifunctionality and explore their application on portable and wearable electronics. Actually, some shortcomings still exist, such as unsatisfactory rate capability resulting from the poor conductivity of MnO2, the limited cycle life of Zn-MnO2 batteries caused by the shape change and dendrite formation at the Zn anode during the repeated charging/discharging process. Constructing buffer layer with high conductivity [69] and designing 3D electrode structure [70,71] have been proposed to improve the conductivity of MnO2, while one feasible way to inhibit the growth of zinc dendrite is replacing hydrous electrolytes with solid polymer or gel electrolytes instead of conventional potassium hydroxide [72]. Zeng et al. [69] fabricated a quasi-solid-state Zn-MnO2 battery by using PVA/ZnCl2/MnSO4 gel as the mild neutral electrolyte and poly(3,4-ethylenedioxythiophene) (PEDOT)-coating MnO2 as cathode, which showed a prominent capacity of 282.4 mAh/g (19 mAh/cm3) and a high capacity retention of 77.7% (after 300 cycles). Moreover, the flexible and quasi-solid-state Zn-MnO2 battery displayed a prominent energy density of 504.9 Wh/kg (33.95 mWh/cm3), as well as a peak power density of 8.6 kW/kg, superior to that of most reported flexible energy storage devices. In addition to the great advances on the room-temperature batteries, anti-freezing Zn-MnO2 battery based on PVA-based HGPEs also has drawn attention in recent years. Chen et al. [73] used glycerol as anti-freezing agent (in the presence of borax), leading to the constitution of hydrogen bonds between glycerol and water molecules but disruption of hydrogen bonds among water molecules. The anti-freezing PVA-based HGPEs exhibited many strengths, for example, the enhanced anti-freezing and mechanical properties, the ability of suppressing dendrite growth and high ionic conductivity of 20.4, 15.9 and 10.1 mS/cm at 0, −20 and −35 ℃. Benefitting from the above advantages, the Zn-MnO2 battery exhibited a preferably high energy density of 25.8 mWh/cm3 (732 µWh/cm2) corresponding to 55.0% of that at 25 ℃. After 2000 cycles, the discharge capacity of anti-freezing Zn-MnO2 battery retained 93.7%, 91.9%, 87.0% and 89.4% comparing with that of the first cycle at 25, 0, −20, and −35 ℃, respectively. The presented strategy affords new viewpoints to explore low-cost and anti-freezing HGPEs. Hence, more attention should be paid to the development of HGPEs with excellent electrochemical properties at low temperatures (≤ 0 ℃). The other strategies for designing anti-freezing aqueous electrolytes include solute modification (such as improving the concentration of cations) and solvent optimization (e.g., introducing organic liquid as cosolvents and/or anti-freezing additives), which aims to efficiently inhibit the tendency of H-bonds formation among water molecules with the drop of temperature.
Zinc-silver (Zn-Ag) battery is one of the most promising hydrous batteries with advantages of stable output voltage and environmental friendliness. In addition, Zn-Ag battery is capable to provide the high energy density in theory comparable to commercial LIBs. Nevertheless, some defects remain, such as the low energy density compared with that of theoretical value (300 Wh/kg) and large contact resistance caused by polymer binders and conductive additives. To construct the intimate interface contact, Li et al. [74] prepared a solar charged quasi-solid-state hydrous rechargeable Zn-Ag battery, which employed PVA-based HGPEs as electrolytes and metal-organic framework (MOF)-derived Ag nanowires on carbon cloth as binder-free cathodes. MOF-derived Ag nanowires could provide the abundant reaction sites and short electron and ion diffusion paths, resulting in the fabricated Zn-Ag battery with a high energy density of 1.87 mWh/cm2. The excellent flexibility resulting from the PVA-based HGPEs and electrodes demonstrated that the Zn-Ag battery was able to withstand bending test from 0° to 135°. Li et al. [75] also directly deposited Ag2O nanoparticles on metal-organic framework (MOF)-derived N-doped carbon nanosheet array coated by poly(3,4-ethylenedioxythiophene)poly(styrenesulfonate) (PEDOT:PSS) to prepare the binder-free cathodes, while and Zn nanosheets were deposited on nitride-doped nanocarbon array (NCA) for obtaining the binder-free anodes, which was conductive to the transformation of electrons and ions. Accordingly, the quasi-solid-state Zn-Ag2O battery based on these binder-free electrodes and PVA/KOH electrolytes showed a capacity retention of 95.61% (100 cycles) after bending at 180°. Though the strategy of designing binder-free electrodes can enhance the energy density of Zn-Ag battery in some degree, the poor cyclic stability, low mass loading of active substances and sluggish migration of Ag ions still hinder the extensive application of Zn-Ag batteries. On the other hand, improving the cycling stability of Zn anode is also required for raising the energy density of Zn-Ag batteries.
Hydrous rechargeable Zn-Ni battery, showing the features of cost effectiveness, high capacity and high output voltage of ~1.75 V (due to the high redox potential of Ni2+/Ni3+) as compared to that of other hydrous batteries (mostly ≤ 1.2 V), is another suitable select of high-safety batteries. However, the shape change and dendrite growth of Zn anode hinder the development of Zn/Ni batteries. To improve the cycling stability of Zn anode, Yan et al. [76] prepared composite anode by in-situ growing ZnO nanoplates on graphene (Fig. 1). The ZnO-graphene anode was able to promote the faster ion transportation of Zn deposition during the charging process and buffer the volume change of Zn anode effectively. Together with the excellent flexibility of PVA-based HGPEs and electrodes, the Ni-Zn batteries in the charging state could power the LED or high-power fan on wearable power source. Li et al. [77] proposed that the 3D lithium doped TiO2 nanotube-array (Li-RTiO2) could be used as the anode of Zn-Ni battery and lead to zinc deposition as nanoparticles instead of bulk dendritic crystals. The Zn-Ni fibrous battery constructed by PVA-based HGPEs and Li-RTiO2 anode demonstrated the superiorly electrochemical performance, manifesting that the capacity retention was 95% after 20,000 cycles and the negligible change was shown even under the various mechanical states.
|
Download:
|
| Fig. 1. (a) Schematics of flexible quasi-solid-state Ni-Zn secondary battery based on commercial ZnO anode or ZnO/graphene anode. (b) Galvanostatic charge/discharge curves of single Ni-Zn battery and two batteries in series at the current density of 5 A/g. (c) A 3 W LED and a 5 W cooling fan powered by two Ni-Zn batteries in series at flat or bending conditions. Reproduced with permission [76]. Copyright 2018, Elsevier. | |
In addition to the bottleneck of Zn anode, the low capacity and poor reversibility of the Ni-based cathode also result in the Zn-Ni batteries with low energy density and inferior stability. Therefore, many reports have devoted to designing Ni-based cathode materials, such as nickel cobalt carbonate hydroxide [78], 3D Ni@NiO core–shell materials [79], Ni-NiO heterostructured nanosheets [80], NiAlCo-layered double hydroxide nanoplates/carbon nanotubes composite [81] and Ni3S2 nanosheets [82]. Particularly, Lee et al. [83] developed NiO/Ni(OH)2 mesoporous spheres formed by self-assembling of NiO/Ni(OH)2 nanoflakes, which could be employed as cathode materials of PVA-based Zn-Ni battery and Zn-air battery simultaneously due to the high surface area (Fig. 2). As a result, the hybrid battery (Zn-Ni battery and Zn-air battery) demonstrated both considerably high power density (volumetric, 14,000 W/L; gravimetric, 2700 W/kg) and energy density of 980 Wh/kg, significantly superior to that of conventional zinc-air batteries. What is more, the thin cell constructed by the PVA-based gel films had a thickness of only 0.5 mm, which was beneficial to improving the power and energy densities. The novel design concept of hybrid rechargeable battery reported by Lee et al. is attractive, which will promote the further development of advanced energy systems with both high power and energy density. Besides, the PVA-based HGPEs have been employed as electrolytes for constructing Zn/NiCo textile battery [30], on-chip Zn/Ni microbattery [84] and flexible fiber-shaped Zn/Ni battery [80]. In fact, other electrode materials without nickel also have been explored or designed to improve the energy density of ZBs, including 2D V2O5 nanosheets [85], MoS2/graphene composites [86], MoO3 nanowires [87], 3D spongy VO2-graphene composite [88], (NH4)2V6O16·0·9H2O nanobelts modified with reduced graphene oxide [89], two-dimensional thin V2O5 nanosheets combined with N-doped carbon nanowall arrays [63].
|
Download:
|
| Fig. 2. The hybrid battery consisting of zinc-air/nickel battery. (a) Schematics of electrochemical processes in hybrid zinc-air/nickel battery (top) and zinc-air battery (bottom). (b) Solid-state hybrid and rechargeable battery pattern. (c) Flexible hybrid battery demonstration. Reproduced with permission [83]. Copyright 2016, American Chemical Society. | |
Typical ZBs often implement a typical Zn2+ insertion/extraction mechanism. In addition, cations and anions can insert/extract into/from the anode and cathode during the charge/discharge process, respectively, which is deemed as supercapacitor-liked dual-ion mechanism. Battery based on the dual-ion mechanism usually shows the high operating voltage, good rate capability, and long cycle life. In particular, organic compounds with ability of storing ions during charging/discharging process have been widely used as the electrodes of lithium-ion and sodium-ion batteries. On the other hand, organic compounds display unique advantages in the area of wearable and biocompatible devices. Inspired by this, Wang et al. [90] successfully matched the organic compound of polypyrrole (PPy, as cathode) with zinc (Zn, as anode) for the first time to fabricate a flexible battery. Thanks to the high ionic conductivity of PVA-based HGPEs (PVA-KCl-Zn(CH3COO)2) and the good storage capacity of PPy for cation and anion, the solid-state Zn-PPy battery showed a high capacity of 123 mAh/g (PPy). What is more, the discharge capacity of the flexible battery still remained unchanged even under the various bending states. Wan et al. [91] constructed a quasi-solid-state Zn-polyaniline battery, which displayed excellent flexibility and cycling stability (capacity retention of 91.7% after 200 cycles). However, the electrochemical performances are still unsatisfactory for potential application on powering wearable devices due to the inherently low electrolyte conductivity, anode corrosion and soluble quinone formation in the cathode. Shim et al. [92] proposed that the addition of methanesulfonic acid (MSA) into the PVA-based HGPEs could mitigate the dilemma of Zn-polyaniline battery effectively (Fig. 3). MSA could interact with PVA and polyaniline surface by the hydrogen bonds, which improved the ionic conductivity of electrolytes (30.6 mS/cm at room temperature) and promote the charge transfer at the polyaniline/electrolyte interface. In addition, MSA with the relatively large molecular size was able to impede the access of water into the active electrode materials but allow polyaniline to be efficiently doped with small-radius Cl−. Accordingly, the Zn-polyaniline battery based on PVA-based HGPEs containing MSA showed a capacity retention of 88.1% after 2000 cycles and 92.7% after 500 bending cycles. Therefore, organic compounds afford some prominent advantages, such as low cost, renewability, a controllable synthetic process structural diversity, and molecular-level controllability. These studies may provide guidance for exploring new application of HGPEs and promoting the application of ZBs on the flexible devices.
|
Download:
|
| Fig. 3. (a) Schematics of Zn-polyaniline battery based on PVA-based GPEs and gelation mechanisms of electrolytes. (b) Ionic conductivity of PVA-based GPEs with methanesulfonic acid or HCl. (c) The zinc-ion transference number of PVA-based GPEs with methanesulfonic acid (MSA) or HCl. (d) The interaction of benzenoid and quinonoid segments with MSA during charge and discharge, and interaction between PANI and HCl and degradation mechanism of PANI in PVA-based GPEs with HCl. Reproduced with permission [92]. Copyright 2021, Elsevier. | |
Thanks to the high theoretical specific energy density of 1086 Wh/kg, low cost and high safety [93,94], the emerging Zn-air battery has been regarded as another promising candidate. Particularly, electrochemical oxygen reactions, referred as the oxygen evolution reaction (OER) and the oxygen reduction reaction (ORR), are the core reactions at the air-cathode [95,96]. Nevertheless, the ORR/OER shows inherently sluggish kinetics that results from the coupled multi-electron and multi-proton O2 reduction/evolution processes, leading to a higher overpotential and poor efficiency [97,98]. As is known to all, Pt is an efficient catalyst for the ORR, while Ir and Ru are excellent for the OER [99,100]. However, these noble metal catalysts suffer from limited reserves, high cost, poor durability and single function (A kind of precious metal can only catalyze the ORR or OER.), impelling the research on non-noble metal catalysts with bifunctionality (such as RuO2-based catalyst [64] and CoFe alloy nanoparticles embedded in N-doped carbon nanotubes [101]. On the other hand, the “half-open” structure of Zn-air battery displays great potential on flexible electronics. Thus, Zn-air battery based on GPEs has aroused the interests in recent years. Xu et al. [64] constructed a fiber-shaped Zn-air batteries using cross-stacked and porous carbon nanotube sheets as multifunctional layer (catalyst, current collector and gas diffusion) and PVA-based gel as electrolytes. The battery showed satisfactory electrochemical performances and excellent flexibility and stretchability, indicating that it was promising to power portable and wearable electronic devices. Yan et al. [65] also employed PVA-based HGPEs to fabricate a Zn-air battery. Thanks to the bifunctional CNTs-Co/ZnCo2O4@NC—CNTs electrocatalyst, the Zn-air battery exhibited a superior high-power density of 305 mW/cm2 and a stable rechargeability of up to 103 h. Most of researches emphasize the synthesis of catalyst, however, optimizing the properties of electrolytes is also crucial to take advantage of the catalytic reactivity of catalysts efficiently.
In short, PVA-based HGPEs have been widely utilized in various kinds of batteries due to the nontoxicity, low cost and stretchability, while some intrinsic features of PVA have indeed hindered the practical applications. Firstly, the long carbon chain and only a limited number of hydrophilic side chain groups of PVA may have adverse effect on strengthening the interaction between PVA and solvent of water, leading to the unsatisfactory ionic conductivity of electrolytes and cycling stability of battery. Second, PVA-based HGPEs easily absorb water from the environment, leading to the compromise of mechanical strength. Meanwhile, the evaporation of water may cause the decline of ionic conductivity and especially for Zn-air battery system. Introducing a covalent cross-linking network in the hydrogel or adding fillers (such as graphene oxide [102]) may be a feasible approach for enhancing the mechanical strength and network stability. In addition, HGPEs with high content of LEs within the HGPEs are typically deemed as an electrolyte with high ionic conductivity. However, Mohamad et al. [103] analyzed the variation of ionic conductivity with KOH concentration, indicating that the addition of KOH could enhance the ionic conductivity effectively but the optimized ionic conductivity of 8.5 × 10−4 S/cm could be only achieved when the mass ratio of KOH was 40 wt%. In fact, the value is insufficient for ZBs with high performances due to the evil dendrite growth. Therefore, more attention should be paid in the further work. What is more, the interfacial compatibility between electrode and PVA-based HGPEs should be accelerated and directly engineering electrodes materials with the 3D-structured substrates may be a possible way, which simultaneously contributes to the admirable mechanical properties and long cycling performance of ZBs.
Apart from PVA, other polymer matrixes also can be used to prepare HGPEs, such as carboxymethyl cellulose (CMC) [104,105], gelatin [106-110], Xanthan gum (XG) [111], and polyacrylic acid (PAA) [58,112-114]. Both of them are rich in hydrophilic groups, which is not only conductive to forming physical gel by intermolecular hydrogen bonds or van der Waals forces but also enhancing physicochemical properties and enlarging its applications by diverse modification approaches [58]. Even so, all of them still show unique features. CMC shows the high ionic conductivity and wide electrochemical stability window owing to their high dielectric constant and low energy level of highest occupied molecular orbital [115]. Gelatin are easy to form hydrogels during the cooling process, while the mechanical property of HGPEs is still poor since the non-covalent associations are easily broken when the temperature is higher than 35 ℃ [56]. However, XG with double helix structure shows the excellent structure stability and a little change of viscosity with the variation of temperature [116,117].
2.2.2. Intermolecular hydrogen bonds between poly(ethylene oxide) and waterPoly(ethylene oxide) (PEO)-based materials have been considered as potential candidates for preparing solid-state electrolytes of LMBs due to the easy fabrication, low cost and especially excellent compatibility with lithium metal. What is more important, electric vehicles powered by PEO-based Li/LiFePO4 batteries were launched by Bollcoré in 2011 [118], which remarkably promoted the development of PEO-based electrolytes. Poly(ethylene oxide)-poly(propylene oxide)-poly(ethylene oxide) (PEO-PPO-PEO, Pluronic) is a water-soluble triblock copolymer of PEO and PPO, which possesses the improved mechanical strength and ionic conductivity compared with the pure PEO or PPO-based electrolytes [119,120]. Normally, amphiphilic block copolymer is able to form the various aggregate structures by the self-assemble process [121]. Especially, PEO-PPO-PEO displays a significant structure polymorphism in polar solvent (such as water) through changing temperature. On the other hand, it is a temperature-sensitive polymer, showing that it undergoes a special transition process from sol (at room temperature) to gel (<15 ℃) by the physical entanglements and noncovalent interactions. Inspired by these features, Zhao et al. [122] employed PEO-PPO-PEO as polymer host to fabricate temperature-sensitive electrolytes, which kept gelatinous at room temperature but turned back to liquid when cooling. Thus, when the Zn-LiMn2O4 (Zn-LMO) cell suffered from a strong mechanical stress, the electrode/electrolyte interface could be repaired after a cooling process and the specific capacity also restored to 98% of the original capacity (Fig. 4). Later, Ma et al. [123] used PEO-PPO-PEO hydrogel electrolytes to construct a flexible cable-type Zn-CoFe(CN)6 battery, which displayed the excellent cycling performances of 2200 cycles and hardly no decay of discharge capacity due to the enhanced electrode/electrolyte interface contact. Furthermore, both of them could be successfully combined with the wearable applications. In contrast to the conventional polymer matrixes, PEO-PPO-PEO shows the unique properties of temperature sensibility, which not only improved the safety of ZBs but helps to construct excellent interact contact. However, the reports about polymer with the similar properties of PEO-PPO-PEO are limited, more efforts should be made in the future.
|
Download:
|
| Fig. 4. (a) The cooling-recovery function of a thermoreversible electrolytes based on PEO-PPO-PEO. (b) Photographs of PEO-PPO-PEO electrolytes at different temperatures. (c) Top-view and cross-sectional photographs of the flexible Zn-LiMn2O4 battery. (d) Photographs of Zn-LiMn2O4 battery under strong folding. (e) Capacity variation of battery under folding and recovering with different stresses. (f) The photograph of the battery that has been broken electrode/electrolyte interface. Top-viewed SEM images of (g) the broken electrode/electrolyte interface owing to the strong folding (100 kPa), and the recovered area after cooling for different time at −5 ℃. (h) Cycling performance of the battery at different positions (25 ℃). Reproduced with permission [122]. Copyright 2017, Wiley-VCH. | |
In short, most of the polymer matrixes for physical gel only function as a framework to ensure the structure stability of HGPEs, while the ion mobility mainly depends on the liquid electrolytes. Though this kind of electrolytes lead ZBs to show high capacity, the production of OH− resulting from the water decomposition usually induces the formation of Zn(OH)2 and eventually changes to ZnO at the anode/electrolyte interface, which will significantly decrease the reversibility of Zn stripping/plating. Furthermore, free water may remain in hydrogel electrolytes and will freeze at subzero temperature, inevitably bringing about the attenuation of electrochemical performance and even the failure of battery. In fact, studies have shown that the strong interaction between Zn2+ and water molecular will result in a high energy barrier of plating/stripping of Zn2+ [124,125]. Designing highly concentrated electrolytes or water-in-salt electrolytes is an efficient strategy for mitigating the formation of Zn(OH)2/ZnO and meanwhile improving the cycling stability of Zn anode. Therefore, a compromise proposal should be considered for HGPEs with high ionic conductivity and limited content of water. Replacing water in hydrogel electrolytes with organic solvent or adding additives may be a feasible way to guarantee the electrochemical performances of ZBs. In addition, selecting the suitable polymer matrix according to ions containing in electrolytes is crucial to fabricate ZBs with high performances. For instance, PVA is usually used to absorb KOH electrolytes while it cannot work well in concentrated ZnSO4 electrolytes, resulting from the precipitate of PVA caused by the presence of SO42−. However, the HGPEs based on PANa can still keep highly stable and enable ZBs to show outstanding electrochemical performances even in a strongly alkaline environment. Gelatin or poly(acrylamide) (PAM) is usually used to prepare neutral or mild acidic electrolytes.
2.3. Chemical crosslinking of polymerAs described, the physical hydrogels summarized above are normally obtained by mixing polymer matrix with liquid electrolytes, where polymer is only employed as physical frameworks without remarkable contribution to the electrochemical performances. In addition, PVA is most frequently used for preparing HGPEs, while electrolytes suffer from the poor stretchability (it will be even worse when PVA is infiltrated into the alkaline electrolytes) and limited ion-transport capability, leading to the unsatisfactorily electrochemical performance and mechanical flexibility [126]. Hence, novel hydrogel materials with both enhanced electrochemical performances and specific properties (such as stretchability, compressibility, and self-healing ability) are required [127]. Specially, chemical crosslinking of polymer is a feasible way to improve the mechanical properties of HGPEs due to the steep accumulation of hydrogen bonds or formation of covalent bonds and ionic bonds [50]. On the other hand, owing to the increase of hydrophilic groups, this method is conductive to enhance the ionic conductivity [49]. What is more, the existences of these groups can also endow HGPEs with some special functionalities, such as self-healing ability or thermo responsiveness [128]. The crosslinking methods of different polymer host are relatively different, which will be demonstrated in the following part.
2.3.1. Chemical crosslinking by ester linkageTo make conventionally rigid PVA-based electrolytes stretchable, Wang et al. [129] prepared PVA-PAA (mass ratio was 2:1) electrolyte films by electrostatic spinning. PVA and PAA could be crosslinked by ester linkage under the esterification reaction, leading to the electrolytes with the capability of not only efficiently absorbing the electrolytes but promoting the ion diffusion due to the high porosity and good mechanical strength of the hydrophilic electrolyte films. The Zn-Co3O4 battery assembled with the crosslinked PVA-PAA film showed a high discharge voltage of 1.78 V and energy density of 241 Wh/kg (according to the mass of Co3O4 and zinc). After 2000 cycles, the capacity retention was 80%. Thanks to the high conductivity and mechanical strength of the crosslinked film prepared by electrospinning, the flexible Zn-Co3O4 battery could light the LED light under different bending conditions.
2.3.2. Chemical crosslinking by covalent Si−O bondsIn addition to the unideal stretchability, the compressible and healable ability are still unsatisfied. Chen et al. [130] constructed a versatile HGPEs via employing cellulose made from cotton as polymer framework and tetraethyl orthosilicate (TEOS) as the crosslinker, and glycerol as the anti-freezing agent. TEOS transformed into Si(OH)4 in present of water, which is able to link the hydroxyl groups of cellulose and the glycerol via covalent siloxane bonds (−Si−O−Si−), and thus a 3D porous framework formed (Fig. 5). When 5 mL and 30 mL of TEOS and glycerol was used respectively, the obtained HGPEs possessed the best properties, as exemplified by its high ionic conductivity (19.4 mS/cm at −40 ℃), outstanding mechanical properties (tensile strength of 2.11 MPa and fracture elongation of 846.5%), great self-healing ability, high adhesion, and good heat-resistance ability. What is more, this HGPEs were able to significantly inhibit the dendritic growth of zinc anode and parasitic side reactions from −40 ℃ to 60 ℃. Accordingly, the flexible quasi-solid-state Zn-MnO2 battery showed remarkable energy densities and outstanding cycling stability from −40 ℃ to 60 ℃.
|
Download:
|
| Fig. 5. (a) Synthesis schematic of the crosslinked CMC-based hydrogel electrolyte. (b) Surface and cross-sectional SEM images of the Zn foils in Zn/Zn cells with crosslinked CMC-based hydrogel electrolyte (CT3G30) after 500 cycles. (c) Ionic conductivity values of different electrolytes with different content of crosslinker. (d) Rate performance of the Zn-MnO2 batteries with CT3G30 at different temperatures. Reproduced with permission [130]. Copyright 2021, Wiley-VCH. | |
Nevertheless, water molecules inevitably evaporate from hydrogels at high temperature, leading to deterioration of electrochemical performance. Therefore, it is highly desirable to prepare novel HGPEs with the frost resistance, heat-resistant features and long-term stability in a wide temperature range. Interestingly, inspired by the function of epidermis of mammalian skin, Mo et al. [131] inferred that grafting elastomer on the activated surface of hydrogel may be a possible approach to prevent the hydrogel from any variation under the external environments. In this special design (Fig. 6), the internal HGPEs functioned as a flexible ionic conductor, while the external elastomers not only afforded to retard dehydration and exchange solutes from the external environment but played a role of stretchable dielectrics, guaranteeing the long-term stability. Ideally, they synthesized a biomimetic organohydrogel (BM-gel) electrolyte with ability of withstanding extreme temperature and water retention, which employed ethylene glycol (EG) as a nontoxic anti-freezing agent, elastomer-coated EG-based Zn-alginate/PAM gel as polymer matrixes. Meanwhile, the silane-coupling agents helped to form strong adhesion between the gel and external elastomer layer because it could form tough bonds across the interface. Surprisingly, the BM-gel could be used as HGPEs for the conduction of various ions, such as Zn2+, Li+, H+ and Na+ ions, and showed high ionic conductivity (16.3 mS/cm at 25 ℃ and 14.1 mS/cm at −20 ℃) in a wide temperature range (from −20 ℃ to 80 ℃). Therefore, the environmental adaptive Zn-MnO2 battery-based BM-gel electrolyte (EA battery) exhibited a high specific capacity of 272 mAh/g (the current density was 0.1 A/g) and a high volumetric energy density of 26.88 mWh/cm3 at room temperature. Even operating at 80 ℃, the EA battery still showed a stable capacity of 105 mAh/g (at the current density of 2.0 A/g) after 150 cycles without any performance decay derived from dehydration. On the other hand, the EA battery has demonstrated excellent electrochemical performances at −20 ℃, indicating that capacity retention approached 66% after 500 cycles at a current density of 1.6 A/g. The ingenious design covered the shortage of the classical HGPEs and significantly expanded the application of flexible ZBs on the environmental adaptive energy storage devices. Apart from that, Zhi's group [132] proposed a kind of “air chargeable” ZBs with “U” shaped structure, where a zinc electrode was in middle but polyacrylamide and sodium polyacrylate-based HGPEs were sandwiched between the zinc metal and flexibly freestanding “U” shaped electrode. Specially, the “U” shaped electrode took on the energy conversion and storage simultaneously. The “air chargeable” zinc-vanadium battery with a large capacity of ~1000 mAh could be fully charged by air in 1 h This work proposes a strategy of circumventing the weaknesses of the intermittent and unpredictable nature of currently developed self-chargeable devices.
|
Download:
|
| Fig. 6. (a) Schematic synthesis routine of the elastomer-coated alginate/PAM (polyacrylamide) organohydrogel electrolyte and the manufacturing process of elastomeric coating. (b) The electronic watch powered by EA battery working at 25 ℃ and −20 ℃. (c) Capacity retention of the EA battery at −20 ℃ and discharge curves at different storage time intervals. (d) Heat-resistant test achieving by powering an electronic watch in boiling water. Reproduced with permission [131]. Copyright 2019, Wiley-VCH. | |
Compared with the physical gel based on hydrogen bonds, the strong interaction formed through chemical crosslinking agents endows HGPEs with excellently mechanical strength (such as stretchability and compressibility) and some unique functions (for example, self-healing properties, anti-freezing and heat-resistant properties). Furthermore, the chemical crosslinking is conductive to improving ionic conductivity due to the enhancement of capacity of water retention. For acquiring the HGPEs with outstanding chemical, electrochemical and mechanical properties, dual-crosslinking may be a practicable way.
2.4. Chemical polymerization of monomerDespite it has been proved that chemical crosslinking of polymer provides a favorable mean for improving the mechanical strength of HGPEs, the adjustment of polymer structure is exclusively limited to the direct employment of the commercial polymer with well-defined molecular weights and cross-linking degree, significantly hindering the increasement of electrochemical performances and application of ZBs [133,134]. Therefore, it is highly desirable to develop well-designed HGPEs by swift strategies with desired properties, such as high ionic conductivity, superior water-retaining capability, and particularly for good electrode/electrolyte interface stability.
2.4.1. Ex-situ polymerization of acrylic acidSodium polyacrylate hydrogel (PANa) is still able to remain its stretchability even absorbing the strong alkaline solution, which is out of the ordinary and superior to the other hydrogel [135]. Furthermore, PANa with high hydroscopic property is capable of absorbing water up to 300 times of its own weight, resulting from the osmotic pressure difference caused by the concentration deviation of ionic groups within/without the hydrogel network [136]. Given this, Wang et al. [137] synthesized PANa-based electrolytes and the detailed process was shown in Fig. 7a. Firstly, acrylic acid (AA) was added into the sodium hydroxide in an ice bath environment to obtain sodium acrylate monomers. Then the initiator of ammonium persulfate was put into the above solution with vigorous stirring. After keeping at 40 ℃ for 30 h, the PANa hydrogel could be acquired, which was subsequently soaked in concentrated solution consisting of KOH and Zn(CH3COO)2. Surprisingly, the PANa-based HGPEs showed excellent stretchability from −20 ℃ to 50 ℃ (Fig. 7b), and the fabricated Zn-NiCo battery also could work well in a wide-temperature-range (from −20 ℃ to 50 ℃). Huang et al. [138] constructed a Zn-air battery by the same strategy, which showed ultralong cycling stability of 800 cycles. The superior performance may ascribe to the excellent properties of the prepared PANa-based electrolytes, such as the high ionic conductivity, good water-retaining ability, strong electrode/electrolyte interaction and capability of restraining the dendrite growth.
|
Download:
|
| Fig. 7. (a) Synthesis schematic of the PANa-based hydrogel electrolytes. (b) Stretchability of the PANa hydrogel electrolytes infused with concentrated ions and deionized water, respectively. Reproduced with permission [137]. Copyright 2019, American Chemical Society. | |
To further enhance the mechanical stretchability and stability of PANa-based electrolytes under the strongly alkaline environment, Ma et al. [139] prepared a dual-network PANa-cellulose composite electrolytes, which was obtained by directly adding cellulose into the hydrous solution of PANa-based electrolytes synthesized by polymerization of acrylic acid (Fig. 8). As a consequence, the PANa-cellulose gel electrolytes showed a stretchability of over 1000% in 6 mol/L KOH solution and a high ionic conductivity of 0.28 S/cm. In addition, the obtained electrolytes could be used to prepare integrated air electrode and zinc spring electrode, leading to 800% stretchability of the flat-shape battery, 500% stretchability of the fiber-shaped battery, excellent flexibility and/or weave ability. Similarly, Guan et al. [140] and Zang et al. [141] also employed the PANa-based electrolytes to assemble Zn-air batteries. Specially, Braam et al. [142] synthesized the crosslinked PANa-based electrolyte films by UV light-induced free radical polymerization, which employed poly(ethylene glycol) divinyl ether (PEGDE) (Mn ≈ 250 g/mol) as crosslinker and poly(ethylene oxide) (PEO) as fillers (Mv ≈ 600,000 g/mol). PEO helped to improve the mechanical strength of the PANa-based electrolyte films. Thanks to the ultrahigh ionic conductivity of 0.4 S/cm and excellent mechanical strength, the printed Zn-Ag2O battery delivered a discharge capacity of 5.4 mAh/cm2 at a current density of 2.75 mA/cm2. Different from the above method of preparing PANa-based electrolytes, Pei et al. [143] firstly synthesized PAA polymer in the ice-water bath and then it was soaked into the KOH/Zn(Ac)2 mixture to obtain the PAA-based HGPEs. It showed a high ionic conductivity of 0.2 S/cm even at −20 ℃, higher than that of PAA-based HGPEs employed commercial. Thus, the chemical polymerization of acrylic acid is conductive to acquire the electrolytes with excellent electrochemical properties and mechanical strength due to the formation of covalent bonds.
|
Download:
|
| Fig. 8. (a) Synthetic procedure of the PANa-cellulose hydrogel electrolytes. (b) Power density curves of the Zn-air battery with a strain from 0 to 800%. (c) Max power density as a function of the tensile strain. (d) Polarization curves of Zn-air battery under different deformation conditions. (e) Max power density with the tensile strain of 0 and 500%. Reproduced with permission [139]. Copyright 2019, Wiley-VCH. | |
Zwitterions, structurally similar with the imidazolium-based ionic liquids, contain covalently bonded cations and anions (such as sulfonate, carboxylate, or imide). In recent years, zwitterions have attracted extensive interest as a potential polymer matrix of HGPEs due to the following preponderance. First, thanks to the strong interactions between the charged groups and water molecules, it is well soluble in water and comfortable to polymerize even without addition of initiators. Thus, polyzwitterions are suitable for a polymer matrix. Secondly, the zwitterionic nature enables the cationic and anionic counterions of polyzwitterions to easily separate during the process of ion transference, thus leading to a high ionic conductivity. Furthermore, the dipole-dipole physical interaction among the zwitterionic groups endows the polyzwitterion-based gel with a certain mechanical strength. Thirdly, the charged and polar groups on polyzwitterions are beneficial to improving adhesion between the electrodes and electrolytes, thus HGPEs based on the polyzwitterions can serve as a binder to keep the electrodes integrated and help to decrease the interface resistance. What is more, it has been proved that zwitterions can be used as electrolytes with high ionic conductivity and transference number of Li+ [144,145]. Considering these merits, introducing zwitterions into the HGPEs used for ZBs may be feasible. Yuan et al. [146] introduced the zwitterionic [2-(methacryloyloxy)ethyl]dimethyl-(3-sulfopropyl) (SBMA) into the hydrous solution of AM monomer to improve the ionic conductivity. Thanks to the excellent ability of dissociating salts and formation of hydration channels for ion migration, the resulting electrolytes held the high ionic conductivity of 10.38 mS/cm at −20 ℃ and the Zn-LiFePO4 battery showed an excellent cycling stability with a capacity retention of 72.6% (1000 cycles). However, the “salt-like structure” of polyzwitterions usually enable the hydrogel to present the brittleness. Mo et al. [147] fabricated zwitterionic sulfobetaine/cellulose hydrogel electrolytes with semi-interpenetrating networks (Fig. 9), which could enable hydrous Zn-MnO2 battery to show superior electrochemical performances and mechanical strength. The hydrogel electrolytes were synthesized through the polymerization of zwitterionic sulfobetaine monomer of [2-(methacryloyloxy)ethyl]diethy-(3-sulopropyl) (MAEDS) and cellulose nanofibrils were employed as the supporting skeleton. Specially, all monomers were resulted from the natural plants. The zwitterionics of MAEDS not only demonstrated an excellent water retention due to the strongly electrostatic interactions between zwitterionic groups and water molecules but helped ion to transfer because of the formation of channels for ion migration, and both benefitted to improve the rate performances. The physical entanglement and intertwining between cellulose nanofibrils and PMAEDS covalent networks dramatically enhanced the mechanical strength. Owing to these synergistic effects, the obtained electrolytes demonstrated an ionic conductivity of 24.6 mS/cm and excellent stretchability of 920%. Meanwhile, the Zn-MnO2 battery also displayed a high capacity of 148 mAh/g (in accordance with MnO2) at 6.5 C and a capacity retention of 90.42% (1200 cycles) compared with the initial capacity. Surprisingly, a high capacity of 74 mAh/g (in accordance with MnO2) could be observed even at 30 C. In addition, the assembled Zn-MnO2 battery with the designed electrolytes possessed extraordinary flexibilities, showing that the Zn-MnO2 battery with a length of 7.5 cm and curvature radius of 1.5 cm was able to withstand the various bending states in the range of 0–180° and keep electrochemically stable. Accordingly, the zwitterionic sulfobetaine/cellulose hydrogel electrolytes showed great potential for flexible and wearable electronics. The development of hydrogel electrolytes based on zwitterions is still in the initial stage and thus this work leaves plenty of room to improve electrochemical performance of solid-state ZBs via chemical design of polyzwitterion electrolytes.
|
Download:
|
| Fig. 9. (a) Synthesis schematics of zwitterionic sulfobetaine/cellulose (ZSC) hydrogel electrolytes. (b) Schematic of the ZSC-based electrolytes in Zn batteries under an external electric field. (c) Rate performances of Zn-MnO2 battery. Reproduced with permission [147]. Copyright 2020, Wiley-VCH. | |
Aside from the acrylic acid and zwitterions, acrylamide (AM) monomers also have been proposed to prepare PAM-based HGPEs. Typically, PAM-based HGPEs are usually obtained by separator assisted methods or solution-soaking methods. As for the separator assisted methods, AM monomer and N,N'-methylenebisacrylamide crosslinker are sequentially added into the liquid electrolytes (ZnSO4 is usually employed as zinc salt), followed extensively stirring until homogeneous solution is obtained. Sometimes natural polymer (such as cellulose and gelatin) is added to improve crosslinking degree, mechanical strength and ionic conductivity. Then the initiator is appended in the above solution (potassium persulfate is one of the most common initiators), stirring for some time. After that, the mixture is poured into a mold or injected into a supporting membrane, whereafter keeping at certain temperature (≥60 ℃) for several hours. Eventually, a PAM-based electrolyte film can be gained and used to assemble batteries. With reference to the solution-soaking methods, the transparently hydrous solution, including AM monomer, crosslinker and initiator, is poured into a mold with designed thickness. Then holding it at a certain temperature (≥60 ℃) for several hours, PAM-based thin film can be acquired, which is subsequently soaked into the liquid electrolytes for more than 12 h to obtain PAM-based HGPEs. Great progress has been made in this field especially by Zhi's groups, such as solid-state flexible Zn-Ni and Zn-MnO2 battery [148], 2.2 V-high voltage Zn-Co3O4 battery [149], Zn-MoS2 battery [150], Zn-Co3O4–x battery [151], and Zn-Mn3O4 battery with ultra-long cycle life [152]. To acquire the high ionic conductivity and superior mechanical properties, Li et al. [153] employed polyacrylonitrile (PAN) electrospun fiber membrane as supporting separator to synthesize hierarchical PAM-based electrolytes, which was obtained by grafting PAM onto gelatin chains. Benefitting from the favorable mechanical strength and enhanced ionic conductivity (17.6 mS/cm at room temperature) of the PAM-based electrolyte films, the solid-state ZBs displayed a high areal energy density of 6.18 mWh/cm2 and power density of 148.2 mW/cm2 at 2772 mA/g, as well as an excellent capacity of 306 mAh/g at a discharge current density of 61.6 mA/g and cycling stability (capacity retention of 97% after 1000 cycles at 2772 mA/g). What is more, the solid-state ZBs showed high wearability and safety, while it also could power the electronic devices, such as commercially smart watches, wearable pulse sensors and smart insoles, demonstrating that ZBs were a promising candidate of energy supply for wearable devices. For the sake of obtaining the electrolytes with highly soft and dynamically super-tough properties, Liu et al. [154] introduced alginate into the covalently dual-crosslinked PAM network through solution-soaking methods. Interestingly, the ionically crosslinked Zn-alginate network would be broken when suffered from the stress loading, while it would recover when the stress loading was gone. Accordingly, the Zn-MnO2 batteries employed the Zn-alginate/PAM electrolyte films exhibited outstanding mechanical durability even under dynamical folding, twisting, compressing, and bending. In addition, it has been reported that the PAM-based HGPEs showed the excellent self-healing property due to the highly reversible hydrogen bonds [155]. Above all, HGPEs based on PAM and PAM composites demonstrated exceptional flexibility and durability as well as high electrochemical performances, indicating that it is promising for flexible and wearable electronic devices.
Nevertheless, the electrochemical properties under the low temperature (<0 ℃) are mediocre. Though the conventional methods (for instance, adding the anti-freezing additives in the precursor) are practicable, the stability of hydrogen bonds between alcohol molecules and polymer chains are poor. Furthermore, the anti-freezing additives will in turn deteriorate the intrinsically weak mechanical strength of the physically crosslinked PAM-based HGPEs. Therefore, it is critical to explore the novel HGPEs with inherent ability to withstand low temperature. Ideally, Mo et al. [156] achieved the notion by ingenious design, and the detail process was as follows. Firstly, a variety of EG-based waterborne anionic polyurethane acrylates (EG-waPUA) was synthesized through a step-growth polymerization, where EG and isophorone diisocyanate (IPDI) was used as monomer but dimethylol propionic acid (DMPA) as chain extender. Especially, the covalent bonds formed between the hydroxyl groups of EG molecules and isocyanate groups, rather than the simple interaction based on hydrogen bond between the polymer chains. Thus, the stable chemically anchor could be formed. Subsequently, end-capping regent of hydroxyethyl methacrylate (HEMA) was added for introducing the double bonds in the terminate sides of the polymer chains, aiming to carry on the following reaction of free radical polymerization. Secondly, the EG-waPUA/PAM hydrogel with dual-crosslinked structure was acquired by the ionic polymerization of EG-waPUA and AM monomer, where the polymer chain of EG-waPUA played a decisive role of chemically covalent crosslinking points. In addition, hydrogen bonds among the intermolecular and intramolecular of PAM polymer were conductive to dynamically uniformizing the network and dissipate energy under deformation, leading to the polymer hydrogel with the good flexibility and extensibility. Best of all, the multiple interactions could tightly lock water molecules within the polymer networks and break the crystal lattices that have been formed, resulting in the EG-waPUA/PAM hydrogel with excellent anti-freezing property and long-term stability even at −20 ℃. What is more, the density functional theory calculations were also used to prove the above design philosophy. Accordingly, the solid-state Zn-MnO2 battery showed an excellent volumetric energy density of 32.68 mWh/cm3 and specific capacity of 275 mAh/g at 20 ℃, as well as a high-capacity retention of 81.7% (0 ℃) and 74.5% (−20 ℃) at a discharge current of 2.4 A/g (over 600 cycles). The exceptional flexibility and durability of the Zn-MnO2 battery remained even under the rigorous conditions, such as bending, washing in ice bath, hammering and compressing, indicating that well-designed EG-waPUA/PAM hydrogel with the dual-crosslinked structure possessed excellent mechanical properties. Especially, Zhu et al. [157] proposed that high concentration electrolytes (2 mol/L ZnSO4 and 4 mol/L LiCl), not only decreased the freezing temperature due to the cooperative hydration of Zn2+ and Li+ but also enhanced the reversibility of zinc anode owing to the prior absorption of Li+ and the shortage of Zn(OH)2 and ZnO. As a result, the flexible Zn-LiFePO4 battery delivered a superb capacity retention of near 100% after 500 cycles at −20 ℃ and a high coulombic efficiency of > 99.5%. In addition, the mechanical durability perfectly maintained when the battery was stored at −20 ℃ for 24 h. Compared with the previous researches, this simple strategy opens a novel pathway to prepare electrolytes with multiple functions.
2.4.4. In-situ polymerization of acrylamideAs described in the previous part, GPEs are able to prevent the growth of Zn dendrites, reduce the side reaction between electrodes and electrolytes and restrict the migration/diffusion of ions. Nevertheless, the electrode/electrolyte interfacial contact is still poor due to the ex-situ process of preparing electrolytes and assembling batteries. Alternatively, the in-situ methods can effectively conquer these disadvantages. Zhao et al. [158] directly prepared PAM hydrogel electrolytes on the surface of Zn electrode completed with carbon cloth, which dramatically decreased the interface impedance and enhanced the electrochemical performances. Specially, Qin et al. [159] directly employed Zn metal as a redox initiator to trigger the in-situ polymerization of AM and N,N-methylenebis-acrylamide (MBA) monomers on the surface of Zn anode, which also simultaneously eliminated the surficial impurity on the surface. Besides, the in-situ formed GPEs not only served as a hard layer with permission to transport of Zn2+ and decreased the interface impedance but prevented the side reactions between electrode and electrolytes, leading to the uniform priorly nucleation along (002) crystal planes of Zn. Eventually, the symmetric cells showed an ultralong cycle life of 5100 h at a current density of 1 mA/cm2 (1 mAh/cm2) and stable cycling for 240 h even at a high current density of 40 mA/cm2 (40 mAh/cm2), suggesting that the reversibility of Zn were significantly improved. The in-situ fabricated capacitors also displayed impressive cycling performances of over 40,000 cycles with a coulombic efficiency of 100%. Compared with the ex-situ methods, the in-situ methods can impressively decrease the interface impedance, lead to a hard-bonded interface with well-connected ion pathways and alleviate side reactions. This work develops a new strategy to construct a robust electrode/electrolyte interface in Zn batteries. In addition to the chemical initiators, the in-situ polymerization can be carried out by the other ways, such as ionizing irradiation (such as electron-beam, β-ray or γ-ray), alkali metal initiators and electro-polymerization. Though these methods have been used to prepare solid-state lithium metal batteries, their application on ZBs still needs to explore.
2.4.5. Summary of chemical polymerization of monomerIn the previous part, monomers can be chemically polymerized are summarized, which includes acrylic acids, zwitterions and acrylamides. Compared with that of directly employing commercial polymer matrixes as framework, the properties of polymer synthesized by chemical polymerization are easily adjusted through changing the kinds of monomers and polymerization conditions. However, less of researches focus on the physical properties of the obtained polymer that observably affect the electrochemical performances, such as glass-transition temperature (Tg), melting temperature, recrystallization temperature, the molecular weight, storage/loss moduli and chain length. Therefore, physical properties should deserve careful consideration in the future work.
2.5. Summary of hydrous gel polymer electrolytesOwing to the merits of high safety, low-cost, nontoxic, and high ion conductivity (~1 S/cm) [160], hydrous batteries have become a hotspot in the last few years and have been regarded as promising candidates in large-scale energy storage systems. In the previous section, hydrogel-based polymer electrolytes have been minutely summarized according to gelation mechanisms. It can be found that the most frequently used polymer matrixes for preparation of HGPEs include PVA, PAA and PAM, and both consist of hydrophilic groups, such as hydroxyl, carboxylic and amide group. But there are some differences in the crosslinking methods between them. PVA is generally crosslinked through physical methods (for example, hydrogen bond) or chemical crosslinking agent (such as glutaraldehyde or borax), which strengthen the stretchability of PVA-based HGPEs due to the presence of reversible interaction. By comparison, the chemical crosslinking methods are normally carried out for PAA or PAM-based HGPEs. As for the other polymer matrixes containing gelatin, cellulose, and Xanthan gum, all of them are rich in functional groups with excellent affinity for hydrous electrolytes and rare ability to form hydrogen bonds. Thus, HGPEs based on these polymer matrixes or their composites have shown the good electrochemical performances, and the great progress has been made especially for application on the flexible devices. Yet, in the cause of further stimulating the development of HGPEs and extending the practical application, challenges remain and need to be addressed.
(1) Developing HGPEs with wide electrochemical stability window. The decomposition of water molecular prevents the application of HGPEs from working in the high voltage, which is against the enhancement of energy density. Up to mow, the ZBs based on mild electrolytes show an open-circuit voltage of 1.4–1.6 V while 1.7–1.8 V can be observed using alkaline electrolytes, which is greatly inferior to that of lithium batteries with organic electrolytes. Increasing the salt concentration may be a possible way [161], while what matter is how to balance the viscosity with the electrochemical performances of electrolytes (such as ionic conductivity and zinc ion transference number).
(2) Improving the rate performances of ZBs. The hydrous electrolytes and HGPEs generally show the high ionic conductivity at room temperature even low temperature (<0 ℃), indicating that it is a promising candidate for fabricating ZBs with superior energy density at a high current density. Unluckily, the instabilities of electrode materials make the rate performances be unsatisfactory. Developing the novel electrode materials may benefit to taking advantages of hydrous electrolytes and HGPEs as well as improving electrochemical performances of ZBs.
(3) Reducing the thickness of electrolyte films. Generally, the thickness of HGPEs employed in the previous research are greater than 1 mm and even up to 3 mm. Although HGPEs used for ZBs show excellent safety and flexibility, the electrolyte thickness has received less attention especially that serves as a critical role in evaluating the energy density and electrochemical performances. Therefore, how to reduce the thickness of electrolyte films and meanwhile keep the outstanding electrochemical and mechanical properties are crucial to improving the energy density and extending the practical application.
(4) Developing in-situ polymerization methods. Zn dendrites lead to irreversible capacity of ZBs. Furthermore, the byproducts resulted from parasitic reaction also severely shorten the battery lifetime. Despite the achievements made in elevating the cycling stability of Zn anode so far, significant challenges remain for high-performance ZBs. In-situ polymerization methods have been deemed as an effective strategy to inhibit dissolution of transition metal ions and suppress growth of lithium dendrite. Specially, the in-situ methods can dramatically improve the interface contact and form the continuous ion pathways, which is conductive to construct a robust electrode/electrolyte interface and consequently improve the electrochemical performances of batteries. Therefore, the in-situ methods may be also suitable for the Zn battery systems.
3. Gelation mechanisms of anhydrous gel polymer electrolytesBased on the above analysis, the electrolytes for ZBs have been dominated by the hydrous electrolytes. Although water contained in HGPEs may improve the solubility of salts and endow the obtained electrolytes with good flowability, the polymer framework of the HGPEs may be collapsed and even dissolved in hydrous electrolytes, worse in Zn-air batteries due to the semi-open environment. Anhydrous polymer electrolytes may be able to offer some advantages, such as wide working temperature range and electrochemical stability window. Therefore, anhydrous GPEs also have attracted intense attention in recent years. In this section, the gelation mechanisms of anhydrous gel polymer electrolytes will be introduced and classified by the interaction between polymer matrix and plasticizer. The classification criterion has a certain distinction compared with that of HGPEs since it is almost no residual of solvent.
3.1. Preparation methods of anhydrous gel polymer electrolytesAnhydrous gel polymer electrolytes are usually prepared by solution-casting methods or in-situ methods. As for solution-casting methods, the preparation process of electrolytes is as same as that of LMBs. Firstly, the polymer matrix (PEO and PVDF are usually employed.) and electrolytic salts (such as ZnSO4, Zn(TFSI)2 and Zn(BF4)2) are dissolved into the solvent (such as acetone), which is stirred for several hours to obtain a homogeneous mixture. Next, the mixture is directly cast into a mold with a designed size. Removing the solvent at room temperature and then keeping at higher temperature (50 or 60 ℃) for 24 h, the electrolyte films can be acquired. It can be found that the preparation process is similar with that of HGPEs, while the difference lies in solvents, polymer matrixes and the postprocessing. The ionic conductivity of anhydrous gel polymer electrolytes is generally lower than that of HGPEs owing to sluggish motivation of polymer segment. Therefore, organic/inorganic fillers are usually employed as plasticizer to improve the ionic conductivity by decreasing the crystalline of polymer [162]. Furthermore, employing polymer matrixes with low glass transition temperature is also a feasible way. For in-situ methods, the process of preparing anhydrous gel polymer electrolytes is parallel to that of hydrous gel polymer electrolytes, but the distinction between them primarily consists in the employed monomers and initiators. In addition, zinc salts are also disparate because the solubility of salts used in hydrous electrolytes is low (<0.5 mol/L) in some organic solvents [163].
3.2. Physical gel of polymerThe anhydrous GPEs are generally prepared by solution-casting methods, which is similar to that of hydrous GPEs but the polymer matrixes are different. The typical polymer matrixes are PEO, PVDF and PVDF-HFP, which are mostly employed to prepare polymer electrolytes of LMBs. However, the ionic conductivity of dry SPEs based on these polymer matrixes is poor (10−7–10−6 S/cm at room temperature), which is attributed to the sluggish motion of polymer segment [164]. Adding organic plasticizer with high permittivity (such as ethylene carbonate and propylene carbonate) is one of the most common approaches to improve the ionic conductivity, resulting from the enhanced dissociation of ion pairs of salts and decrease of the crystallinity of polymer host.
3.2.1. Physically blending poly(ethylene oxide) with organic plasticizerPEO is the most widely studied polymer host due to its excellent solubility for lithium salts, which have triggered great innovations in this fields, such as materials engineering and preparing composite electrolytes. In fact, anhydrous alkaline PEO-based polymer electrolytes (PEO:KOH = 1:1, mass ratio) used for ZBs have been prepared by solution-casting method in 1995 and showed a high ionic conductivity of 10−3 S/cm at room temperature due to the high concentration of KOH (hydrous solution) [165]. However, the electrochemical performances about ZBs were devoid. Karan et al. [166] prepared PEO-Zn(CF3SO3)2 polymer electrolytes with different mass ratio of salt by a hot-press casting method. When the mass ratio of Zn(CF3SO3)2 was 10 wt%, the polymer electrolytes displayed the highest ionic conductivity of 1.09 × 10−6 S/cm and a ion transference number of 0.17 at room temperature. It was regrettable that the PEO-Zn(CF3SO3)2 polymer electrolytes were not used to assemble batteries, which may be ascribed to the relatively low ionic conductivity. To improve the high ionic conductivity of PEO-based electrolytes, Hiralal et al. [167] introduced the ceramic fillers of titanium oxide (TiO2) nanoparticles into the mixture (25 mg/mL PEO, 11 mg/mL NH4Cl and 3.75 mg/mL ZnCl2 were added into acetonitrile solvent) and prepared mixed electrolytes. Therefore, the flexible Zn-MnO2 battery showed similar discharge curves to the liquid case, indicating that TiO2 was able to decrease the crystalline degree and thus improve the ionic conductivity. Especially, the mixture was directly casted onto the electrode, followed by volatilizing acetonitrile solvent at 35 ℃ to obtain the dry electrodes. This process extremely facilitates the interface contact between electrode and electrolyte, leading to a long cycling stability. Zhao et al. [155] employed the similar strategy in Zn-Bi2S3 battery to prepare hydrous electrolytes on the surface of Zn anode by the polymerization of AM. Wang et al. [168] prepared composite electrolytes by combining branched aramid nanofibers with PEO electrolytes, which not only facilitated the ionic conductivity of the pure PEO-Zn(CF3SO3)2 (2.5 × 10−5 S/cm at room temperature) but endowed the ultimate electrolytes with excellent ability of suppressing dendrites growth of Zn anode and fast Zn2+ transport (Fig. 10). The symmetrical cell with the composite electrolytes showed excellent cycling stability (cycling for over 2500 h) with negligible potential loss. In addition, the voltage of the assembled Zn-γ-MnO2 battery kept virtually unchanged even under various deformations (such as half-sphere or square wave shape). What is more important, the Zn-γ-MnO2 battery with lightness and deformability was able to act as a load bearing and charge storage element in a small unmanned aerial vehicle. These findings indicate the great potential of anhydrous GPEs on zinc batteries and will guide future research in the novel devices of energy storage.
|
Download:
|
| Fig. 10. (a) Photograph of PEO-based composite electrolyte. (b) Galvanostatic cycling curves of the cells with composite electrolyte films. (c) Model used for plastic deformation studies. (d-h) Zn battery employed the prepared composite electrolytes under different plastically deformation. (i) Open-circuit voltage of Zn-γ-MnO2 battery with square wave shape plastic deformation. (j) LED light powered by the two serial batteries. (k) Galvanostatic charge and discharge curves of the corrugated Zn-γ-MnO2 (d-h) at 0.2 C. (l) EIS curves of the original and plastically deformed corrugation batteries (d-h). Reproduced with permission [168]. Copyright 2019, American Chemical Society. | |
Except for PEO-based electrolytes, poly(vinylidenefluoride) (PVDF) and poly(vinylidene fluoride-co-hexafluoropropylene) (PVDF-HFP)-based electrolytes also have been used to construct ZBs. Xu et al. [163] prepared a series of PVDF-HFP gel electrolyte films by adjusting the kinds of plasticizer (such as ethylene carbonate, propylene carbonate, dimethylsulfoxide or poly(ethylene glycol) dimethyl ether) and zinc salts, meanwhile the physical, chemical and electrochemical properties were also measured. It suggested that all the gel electrolytes showed the low volatility, highly thermal stability, acceptable ionic conductivity (about 10−4 S/cm at room temperature) and wide electrochemical stability window (2.5 V even up to 2.8 V, vs. Zn/Zn2+), while gel electrolytes based on poly(ethylene glycol) dimethyl ether (PEGDME) possessed a strong capacity to dissolve zinc salts compared with the others. However, the solubility of some zinc salts (for example, Zn(CF3SO3)2) in organic solvents are still low (<0.5 mol/L), which is harmful to enhance the ionic conductivity and form the stable electrode/electrolyte interface. Later, Xu et al. [169] used ionic liquids (ILs) of 1-ethyl-3-methylimidazolium bis(trifluoromethanesulfonyl)imide (EMITFSI) as plasticizer and Zn(TFSI)2 as zinc salt to prepare PVDF-HFP gel electrolyte films by solution-casting methods, and the various properties were characterized simultaneously. In addition to the high ionic conductivity and wide electrochemical stability window, ILs also possess non-volatility, high thermal stability and non-flammability compared with the organic solvent usually used as in lithium batteries. As a result, the freestanding electrolyte films displayed excellent electrochemical properties, such as a high ionic conductivity of 1.05 × 10−3 S/cm at room temperature and 10−4 S/cm at −20 ℃, and a wide electrochemical stability window of 5 V (vs. Zn/Zn2+) much higher than that of hydrous electrolytes. These results indicate that the gel electrolytes based on EMITFSI is able to be applied on anhydrous zinc batteries especially for Zn-air battery.
Nevertheless, both of them are lacking in the application of electrochemical devices. Kumar et al. [162] employed PVDF-based gel electrolytes to assemble Zn-γ-MnO2 battery, where electrolytes were prepared by using ethylene carbonate (EC) and propylene carbonate (PC) as plasticizer and zinc trifluoromethane sulfonate as zinc salt. Under the optimal conditions, the Zn-γ-MnO2 battery showed a discharge capacity of 105, 82, 64 and 37 mAh/g (at room temperature) of γ-MnO2 at current density of 10, 50, 100 and 200 µA/cm2, respectively. After 55 cycles, the capacity retention was about 100% compared with the initial capacity. In contrast to the electrochemical performances based on HGPEs, the capacity may be unsatisfactory but this work assesses the feasibility of PVDF-based electrolytes for ZBs. In 2015, Tafur et al. [170] discussed the charge storage mechanism of MnO2 cathodes (Zn-MnO2 battery) based on IL-based gel electrolytes. X-ray photoelectron spectroscopy and energy dispersive X-rays analysis indicated that the Mn4+ was reduced in the discharge process and meanwhile the Zn2+ together with triflate anions were incorporated into the cathode materials. During the charge process, Mn2+ returned to the cathode and then oxidized to Mn4+, while only part Zn2+ emerged and the other remained in the electrode. Ma et al. [171] prepared gel polymer electrolyte films through employing PVDF-HFP and PEO as polymer host, 1-ethyl-3-methylimidazolium tetrafluoroborate ([EMIM]BF4) ionic liquid as plasticizer and zinc tetrafluoroborate (Zn(BF4)2) as zinc salt (2 mol/L), and the final electrolyte was denoted as PHP-ILZE (Fig. 11). PHP-ILZE with an ultrathin thickness of 28.6 µm showed a high ionic conductivity of 16.9 mS/cm, excellently mechanical strength and outstanding flexibility. Owing to the presence of BF4− around Zn2+, the parasitic reaction of HER was also avoided, resulting in a reversible and dendrite-free Zn plating/stripping (cycling over 1500 h at 2 mA/cm2 and ~100% coulombic efficiency). Accordingly, Zn-cobalt ferricyanide battery displayed the ultralong cycling life of 30,000 cycles with capacity retention of 90%. And the battery based on PHP-ILZE could be operated at a wide temperature range (from −20 ℃ to 70 ℃). Furthermore, PHP-ILZE electrolyte films was non-flammable, indicating that it possessed inherent safety similar to hydrous electrolytes. This impressive work will guide the researchers to develop the novel solid-state electrolytes for ZBs. Although ILs have many advantages, their relatively high viscosity compared to that of conventional electrolyte solvents makes them unsatisfactory for improving the rate performances.
|
Download:
|
| Fig. 11. (a) Gelation mechanisms of polymer network of PHP-ILZE formed by the intermolecular hydrogen binding effect. (b, c) Optical photograph of a PHP-ILZE films. (d) Cross-sectional SEM image of a thin PHP-ILZE. (e) Ionic conductivity of the all-solid-state PHP-ILZE. (f) Cyclic performances of Zn-cobalt ferricyanide battery at 2 A/g. Reproduced with permission [171]. Copyright 2020, Wiley-VCH. | |
In addition to adding organic plasticizer, preparing composite polymer electrolytes is another effective way to improve the ionic conductivity. To construct the polymer electrolytes with fast ion transport network and excellent mechanical strength, Feng et al. [172] embedded Ti3C2Tx MXene into PVDF-HFP/Zn(OTf)2 electrolytes (pH/MXene SPE), which demonstrated an enhanced ionic conductivity of 4.52 × 10−4 S/cm and ion transference number of 0.435 due to the formation of hydrogen bond network between MXene and polymer matrix. In addition, the hydrogen bond network also accelerated the dissociation of zinc salts and ion transport by locally polarized electric field effect, and thus the homogeneous ion transport at interface between electrolyte and anode could be achieved. Specially, the Ti3C2Tx MXene was able to decrease the concentration polarization and promote the formation of stable interphase for uniform Zn deposition. As a result, the Zn/Zn symmetric cell assembled with pH/MXene SPEs showed stable plating/stripping of Zn2+ at different current density (2500 h at 0.1 mA/cm2 and 1500 h at 0.5 mA/cm2). The constructed Zn-VO2 battery also performed a good cycling stability. This renders researchers to design composite electrolytes to fabricate ZBs with high performance.
3.2.3. Summary of physical gel of polymerThe anhydrous GPEs, especially for PEO-based electrolytes, are chemically and electrochemically stable to electrodes. On the other hand, the anhydrous GPEs with the wide electrochemical stability window help to improve the energy density of ZBs. Nevertheless, the ion conductivity is much lower than that of hydrous GPEs, which limits the electrochemical performances of ZBs under room temperature. Thus, improving the ionic conductivity of anhydrous GPEs is crucial to attaining high-performance ZBs, and strategies have been used in LMBs may be also appropriate for electrolytes used for ZBs.
3.3. Chemical polymerization of monomerThough several research indicated that GPEs prepared by ex-situ methods deliver the high ionic conductivity, enhanced safety and nonflammability, GPEs cannot well penetrate into the pores of electrode materials, leading to high interface impedance and irreversible capacity decay of batteries. In addition, the preparation process of anhydrous GPEs prepared by ex-situ methods inevitably involves in the solvent evaporation of organic solvents, which is not environmentally friendly. In contrast, in-situ methods are not only able to solve the above problems but suppress the dendrite growth and diffusion of transition metal ions [173]. The reports related with the in-situ preparation of GPEs and assemblage of ZBs are limited, which will be introduced in this part according to the kinds of monomers.
3.3.1. In-situ polymerization of acrylic acidIn addition to in-situ preparation of hydrous PAA-based electrolytes, acrylic acid also can be used to prepare anhydrous GPEs. Zhi's group [174] in-situ prepared the thermo-responsive gel electrolytes through the free radical polymerization of acrylic acid (AA), N-isopropylacrylamide (NIPAM) and methylene-bis-acrylamide (MBAA), which was able to optionally switch from sol to gel if suffering from the high temperature. The in-situ assembled ZBs showed a stable cycling at room temperature, while the battery could not reach a charge voltage of 1.8 V in a long time due to the enhanced interface resistance and low ion diffusion of Zn2+. Interestingly, the battery could return to the original state when the temperature dropped. This ingenious design may effectively boost the development of smart GPEs and application of GPEs on ZIBs. Therefore, the in-situ methods contribute to achieve the uniform and dendrite-free Zn deposition, intimate interface contacts, continuous pathways for the conduction of ions and enhanced ionic conductivity, which also provides fruitful insight into constructing high-performance Zn-based batteries.
3.3.2. In-situ polymerization of acrylamideAs the previous part demonstrated, AM has been used to in-situ prepare hydrous GPEs. In-situ preparation of GPEs provides a feasible way for conquering the interfacial problems resulting from the side reactions and irregular deposition of Zn2+. Nevertheless, the limited Zn2+ mobility in polymers impede the application of GPEs. Adjusting the solvation structure to minimize its migration barriers is crucial to acquire GPEs with excellent electrochemical performances. Inspired by biologically dynamic Zn functions, Lu et al. [175] proposed that the Lewis-acidic deep eutectic solvents (DESs) were able to induce the in-situ polymerization of AM. Thus, a novel Zn2+-conducting heteroleptic coordination polymer electrolytes (denoted as HCPEs) could be obtained. PAM and kindred small-molecular amide ligands were coordinated with Zn2+ simultaneously, which could accelerate the process of ligand exchange and thus warrant the long-range transport of Zn2+. Consequently, HCPEs delivered a high Zn2+ transference number of 0.44 as well as a high ionic conductivity of 4.7 × 10−5 S/cm at 30 ℃ (two times higher than that of common polymer electrolytes). Of course, the improved stability of Zn anode (stable plating/stripping for 1200 h) and long cycling life of Zn battery could be achieved at 30 ℃ (350 cycles for Zn-Mo6S8 battery and 180 cycles for Zn-V2O5 battery). This work proposed a new kind of chemical clues for adjusting the coordination environment of Zn2+ and provided an alternative approach for preparing cation conductors.
3.3.3. In-situ polymerization of 1,3-dioxolane1,3-Dioxolane (DOL), a most used electrolyte solvent of lithium-sulfur batteries [176,177], have been widely employed to prepare solid-state LMBs owing to the high compatibility with Li and mild conditions for polymerization [178,179]. Guo et al. [180] selected LiPF6 as initiators to in-situ prepare poly(1,3-dioxolane) (PDOL) gel electrolytes at room temperature, where trace H2O also played an important role for polymerization of DOL. LMBs employed PDOL electrolytes demonstrated excellent electrochemical performances. Archer et al. [181] also in-situ synthesized PDOL electrolytes by employing Al(OTf)3 as initiators, which showed a high ionic conductivity of 1 mS/cm and could endow Li/S, Li/LFP and Li/LiNi0.6Mn0.2Co0.2O2 batteries to deliver ultralong cyclability. Inspired by these unique advantages, Ma et al. [182] in-situ prepared PDOL electrolytes inside the Zn-CoHCP battery (Figs. 12a and b). PDOL electrolytes showed the ionic conductivity of 1.96 × 10−2 S/cm at room temperature. The Zn anode possessed high reversibility owing to the low interfacial impedance and well-connected pathways, demonstrating that in-situ assembled Zn/Zn symmetric cell achieved the stable Zn plating/stripping over 1800 h. Furthermore, the Zn-CoHCP battery delivered a capacity of 105.8 mAh/g after 20,000 cycles at 0.5 A/g (Fig. 12e), while the battery assembled by ex-situ methods only demonstrated a capacity of 50.4 mAh/g due to the high interfacial impedance (Figs. 12c and d) and low utilization of active materials.
|
Download:
|
| Fig. 12. (a) Digital photograph of the liquid 4 mol/L Zn(BF4)2/DOL solution and PDOL electrolytes induced by 2 mmol/L Al(OTf)3. (b) Ring-opening polymerization mechanism of DOL. (c) EIS profiles of the symmetric Zn/Zn cells assembled with ex-situ and in-situ methods. (d) SEM images of PDOL/Zn interface formed by in-situ and ex-situ methods. (e) Cyclic performances of Zn-CoHCP batteries. Reproduced with permission [182]. Copyright 2020, Wiley-VCH. | |
In-situ methods are one kind of ideal approaches of developing anhydrous GPEs. Compared with ex-situ methods, in-situ methods not only avoid the consumption of organic solvents but predigest the preparation process of SSBs. What is more important, in-situ methods are conducive to fabricating the intimate interfacial contacts and continuous pathways for the conduction of ions. It has made great progress in the development of solid-state LMBs, while it is still in its infancy for ZBs. Preparing anhydrous GPEs by in-situ methods still faces a couple of challenges, such as low ionic conductivity, sluggish zinc ion transport and poor mechanical strength. Additionally, the thermal stability of polymer electrolytes prepared by the in-situ methods also should be considered. Introducing the flame-retardant additives and developing new monomers with nonflammable properties, in-situ preparation of composite polymer electrolytes, and meanwhile employing the separator with high thermal stability (such as polyimide film) as support may be possible ways.
3.4. Summary of anhydrous gel polymer electrolytesCompared with the hydrous GPEs, the research about anhydrous GPEs is still in its early stage. Even so, it shows conspicuous advantages in some aspects. Firstly, the Zn electrode in the anhydrous GPEs shows excellent thermodynamic stability, eliminating the presence of passivation products (for example, ZnO and Zn(OH)4) inevitably formed in the traditional hydrous electrolytes. Secondly, there is no the decomposition of water and other side reactions, rendering the electrolytes with a wide electrochemical stability window. Furthermore, the polymer matrixes used for preparing anhydrous GPEs possess the sufficient mechanical strength to resist dendrite growth. However, challenges still remain, especially for the relatively poor ionic conductivity (10−7–10−5 S/cm at room temperature) caused by the random motion of polymer chains with sluggish kinetics. The strategies of promoting ionic conductivity mainly aim to decrease the crystallinity of the polymer. (1) Introducing the organic solvent with high dielectric constant or ionic liquid as the plasticizer. (2) Adding ceramic filler, such as Al2O3, ZnO, MgO, SiO2, Fe2O3, CeO2, TiO2, and ZrO2, can reduce the crystallinity of the polymer to improve the ionic conductivity. Furthermore, ceramic filler with a high dielectric constant can increase the dissociation of zinc salt and form more free ions in solid-state electrolytes. In addition, the groups on the surface of the ceramic filler can interact with the sites of the polymer matrix and form a conductive pathway that facilitates the movement of zinc ions. (3) Blending low crystallinity or low molecular weight polymers. Normally, the ionic conductivity at room temperature can be up to 10−5–10−4 S/cm, which is sufficient to power ZBs. On the other hand, developing anhydrous GPEs with outstanding electrochemical performances and chemical stability as well as good electrode/electrolyte interface contact is the premise condition of fabricating high-performance solid-state Zn-based batteries. What is more important, in order to realize the full advantages of GPEs in batteries, in-situ preparation of GPEs within cells should be paid more attention in the further work.
4. Conclusion and perspectivesIn this review article, the gel mechanisms and features of GPEs for ZBs have been reviewed and discussed. Compared with the electrode materials that offer the storage space of ions, the electrolytes physically separate electrodes from the direct electron transfer while allowing ion transport so that the cell reactions can carry out sustainably. Furthermore, it is simultaneously required to meet various criteria, involving the rapid ion transports, insulation resistance, highly oxidative stability toward cathodes and strongly reductive stability with anodes. In addition to these indispensable features, the GPEs can be capable to relieve the dissolution of electrode materials, lower the risks of leakage and evaporation of electrolytes as well as promote the application of ZBs on flexible and smart devices. Particularly, we stressed the in-situ polymerization methods due to its unique advantages, such as simplifying the procedures of preparing ZBs, forming a compact electrode/electrolyte interface contact, and suppressing dendrite growth. However, there are still some challenges to construct high-performance Zn batteries based on GPEs.
(1) Enhancing the mechanical properties of hydrous GPEs. As mentioned above, flexible and stretchable Zn batteries show great potential to apply on the wearable devices. The hydrous GPEs generally display the high ionic conductivity caused by the high content of water molecular, which in turn affects the mechanical strength yet. Therefore, more efforts should be made on improving the inherent mechanical strength while remaining the high ionic conductivity. It has been proved that synthesizing the dual-crosslinking polymer with elastomer performances is a feasible way, and other possible ways include preparing composites electrolytes with inorganic fillers or designing branching, random or comb copolymer electrolytes. Additionally, the theoretical calculation can help to screen the optimal polymer matrixes with ideal properties.
(2) Optimizing the operating temperature range of hydrous GPEs. Normally, the properties of hydrogel electrolytes are easily influenced by temperature change, resulting from the evaporation (at high temperature) and freeze (at subzero temperature) of water, respectively. Therefore, designing the electrolytes with special functions is crucial to extend the application of ZBs. The strategy of adding electrolyte additives is an ideal selection.
(3) Widening the electrochemical stability window of hydrous GPEs. The development of hydrous ZBs is seriously impeded by the narrow electrochemical stability window due to the water decomposition and related side reactions. Exploring appropriate electrolytes with both wide electrochemical stability window and high ionic conductivity is of great importance to achieve high-performance Zn batteries yet remains challenging. “Water-in-salt” strategy is quite available for extending the electrochemical stability window caused by the reduction of free water molecules within the liquid electrolytes. However, high concentration of zinc salts will inevitably result in the increase of viscosity and decrease of ionic conductivity. Ideally, introducing the solvents with low dielectric constants to prepare the diluted high concentration electrolytes may achieve both the high ionic conductivity and wide electrochemical stability window.
(4) Improving the ionic conductivity of anhydrous GPEs. Electrolytes play a role of transporting the ions and the high ionic conductivity is the prerequisite for fabricating high-performance ZBs. Nevertheless, anhydrous GPEs show an insufficient ionic conductivity. Decreasing the crystallization of polymer through adding BaTiO3, LiNbO3, ZrO2 and SrTiO3 ceramic fillers is an effective approach to improve the ionic conductivity. Especially, the Lewis acid sites at the extended surface of ceramic not only can increase the free ion concentration but also act as the fast pathway of ion and lead to the increase of ionic conductivity. On the other hand, employing ionic liquids as plasticizer is conductive to enlarge Zn2+ mobility and improve the electrochemical stability window as well as thermal stability. In addition, weakening the strong electrostatic interaction between divalent zinc ions and the polymer chains through introducing competitive metal ions may not only help to improve the ionic conductivity but lead to the uniform deposition of Zn2+.
(5) Probing the interfacial reaction mechanisms between electrodes and GPEs. Solid electrolyte interface forming at the interface of electrolyte and anode (SEI) or cathode (CEI) has vital influences on electrochemical performances of batteries. A firm SEI is not only able to prevent the side reaction between electrolytes and Zn anode but also suppress the dendrite growth, while a robust CEI can mitigate side reactions between electrolyte and cathode as well as remain the structure stability of cathode. Therefore, constructing SEI and CEI with both highly chemical and electrochemical stability and suitable mechanical strength is conductive to construct the high-performance batteries.
(6) Paying more attention on in-situ polymerization methods. In most cases, the GPEs are obtained by the solution-casting or solution-soaking methods, which involves the time-consuming and complex process. In contrast, the in-situ methods not only simplify the process of preparing SSBs but also help to form the good interface contact and continuous pathways for the conduction of Zn2+. It also improves the utilization of active materials due to the good infiltration of liquid precursor into porous electrodes. In addition, the electrolytes prepared by in-situ polymerization methods can lead to uniform Zn2+ deposition, resulting from the high chemical stability and ionic conductivity of electrolytes. Therefore, it is a promising way to acquire GPEs and ZBs with high performance. However, the chemical or electrochemical stability between monomers or initiators and electrodes is the primary concern for developing solid-state batteries with high energy density and stable cycling life. The adverse reaction hidden in certain methods (for instance, N2 arising from the decomposition of azo compounds or CO2 caused by the degradation of peroxides) should be investigated deeply.
(7) Developing high-performance cathode materials with high capacity and superior structural stability. The crystal structure of electrodes is likely to collapse due to the repeated intercalation/deintercalation of hydrated Zn2+ and H+, resulting in a rapid capacity fading upon cycling. Additionally, the cathode materials (especially the Mn-based and V-based materials) may be dissolved in the hydrous electrolytes, which is adverse to the cycling stability of ZBs. Though electrolytes employing Zn(CF3SO3)2 as salts can mitigate the dissolution of cathode materials and adding Mn2+ in the electrolytes may enhance the cycling stability, these approaches do not thoroughly address the issues of low stability and capacity fading. Thus, more effective strategies in the field of structural engineering (such as oxygen vacancies or ion doping) of the existing materials should be proposed, and exploring new cathode materials is another possible way. Besides, according to the hybrid chemistry mechanism and the high reversibility of Zn electrodes in hydrous electrolytes, constructing high-performance hybrid battery systems is attractive.
(8) Improving the cyclic performances of Zn electrodes in hydrous electrolyte. Zn electrodes suffer from zinc dendritic, corrosion, low Columbic efficiency and shape change, which will be worse at high current densities and thus hampers the development of the ZBs. Great advancements in Zn electrodes have been made, such as optimizing the electrolytes, surface coating and structure design of Zn electrodes. However, there is no one solution to overcome all these challenges of Zn electrodes to the ground, especially in alkaline electrolytes. Preparing nanostructured or high-surface-area Zn-based materials with multi-dimensional or hierarchical architecture coupling with additives or surface modification may be effective.
(9) Exploring the reaction mechanisms of ZBs based on anhydrous electrolytes. The reaction mechanisms of manganese oxides for ZBs can be summarized as (1) Zn2+ intercalation/deintercalation, (2) co-insertion, (3) chemical conversion mechanism, (4) hybrid chemistry mechanism, and (5) charge-state change of electroactive groups, which has been studied by many characterization techniques (such as in-situ X-ray absorption near edge structure, in situ synchrotron X-ray diffraction, X-ray photoelectron spectroscopy and field emission scanning electron microscopy). However, the reaction mechanisms of ZBs based on anhydrous electrolytes are still elusive in different cases. Therefore, more precise experiments should be designed and comprehensive analytic methods are supposed to propose to clarify the mechanisms of anhydrous ZBs.
Declaration of competing interestThe authors declare that they have no known competing financial interests or personal relationships that could have appeared to influence the work reported in this paper.
AcknowledgmentsThis work was supported by the Natural Science Foundation of Henan Province (No. 222300420511), and Science and Technology Research Project of Henan Province (No. 212102210462).
| [1] |
M. Armand, J.M. Tarascon, Nature 451 (2008) 652-657. DOI:10.1038/451652a |
| [2] |
S. Chu, A. Majumdar, Nature 488 (2012) 294-303. DOI:10.1038/nature11475 |
| [3] |
B. Dunn, H. Kamath, J.M. Tarascon, Science 334 (2011) 928-935. DOI:10.1126/science.1212741 |
| [4] |
S. Chen, C. Yu, S. Chen, et al., Chin. Chem. Lett. 33 (2022) 4635-4639. DOI:10.1016/j.cclet.2021.12.048 |
| [5] |
S. Chen, C. Yu, C. Wei, et al., Chin. Chem. Lett. 34 (2023) 107544-107549. DOI:10.1016/j.cclet.2022.05.058 |
| [6] |
Y. Du, X. Gao, S. Li, et al., Chin. Chem. Lett. 31 (2020) 609-616. DOI:10.1016/j.cclet.2019.06.013 |
| [7] |
S. Yuan, K. Ding, X. Zeng, et al., Adv. Mater. 35 (2023) 2206228. DOI:10.1002/adma.202206228 |
| [8] |
Y. Jin, Y. Xu, Phung M.L. Le, et al., ACS Energy Lett. 5 (2020) 3212-3220. DOI:10.1021/acsenergylett.0c01712 |
| [9] |
C. Wei, C. Yu, R. Wang, et al., J. Powe Source 559 (2023) 232659-232670. DOI:10.1016/j.jpowsour.2023.232659 |
| [10] |
Z. Zhang, Z. Wang, L. Zhang, et al., Adv. Sci. 9 (2022) 2200744. DOI:10.1002/advs.202200744 |
| [11] |
L. Ye, X. Li, Nature 593 (2021) 218-222. DOI:10.1038/s41586-021-03486-3 |
| [12] |
F. Chen, X. Wang, M. Armand, et al., Nat. Mater. 21 (2022) 1175-1182. DOI:10.1038/s41563-022-01319-w |
| [13] |
A.D. Poletayev, J.A. Dawson, M.S. Islam, et al., Nat. Mater. 21 (2022) 1066-1073. DOI:10.1038/s41563-022-01316-z |
| [14] |
S. Chen, T. Wang, L. Ma, et al., Chemistry 9 (2022) 1-14. |
| [15] |
Z. Chen, F. Mo, T. Wang, et al., Energy Environ. Sci. 14 (2021) 2441-2450. DOI:10.1039/d0ee02999h |
| [16] |
R. He, G. Tian, S. Li, et al., Nano Lett. 22 (2022) 2429-2436. DOI:10.1021/acs.nanolett.2c00123 |
| [17] |
Z. Chen, H. Cui, Y. Hou, et al., Chemistry 8 (2022) 2204-2216. DOI:10.1016/j.chempr.2022.05.001 |
| [18] |
G. Liang, J. Zhu, B. Yan, et al., Energy Environ. Sci. 15 (2022) 1086-1096. DOI:10.1039/d1ee03749h |
| [19] |
Z. Huo, T. Zhang, X. Liu, et al., Sci. Adv. 8 (2022) eabp8960. DOI:10.1126/sciadv.abp8960 |
| [20] |
H. Li, C. Guo, T. Zhang, et al., Nano Lett. 22 (2022) 4223-4231. DOI:10.1021/acs.nanolett.2c01235 |
| [21] |
Y. Zhang, X. Zheng, K. Wu, et al., Nano Lett. 22 (2022) 8574-8583. DOI:10.1021/acs.nanolett.2c03114 |
| [22] |
Y. Zhao, R. Zhou, X. Zhang, et al., Angew. Chem. Int. Ed. 61 (2022) 202212231. DOI:10.1002/anie.202212231 |
| [23] |
W.Y. Kim, H.I. Kim, K.M. Lee, et al., Energy Environ. Sci. 15 (2022) 5217-5228. DOI:10.1039/d2ee03077b |
| [24] |
H. Yan, S. Li, H. Xu, et al., Adv. Energy Mater. 12 (2022) 2201599. DOI:10.1002/aenm.202201599 |
| [25] |
Y.G. Cho, C. Hwang, D.S. Cheong, et al., Adv. Mater. 31 (2019) 1804909. DOI:10.1002/adma.201804909 |
| [26] |
R. Fang, B. Xu, N.S. Grundish, et al., Angew. Chem. Int. Ed. 60 (2021) 17701-17706. DOI:10.1002/anie.202106039 |
| [27] |
C. Wang, H. Liu, Y. Liang, et al., Adv. Funct. Mater. 33 (2023) 2209828. DOI:10.1002/adfm.202209828 |
| [28] |
H. Luo, B. Liu, Z. Yang, Y. Wan, C. Zhong, Energy Rev. 5 (2022) 187-210. DOI:10.1007/s41918-021-00107-5 |
| [29] |
B. He, Q. Zhang, L. Li, et al., J. Mater. Chem. A 6 (2018) 14594-14601. DOI:10.1039/c8ta05862h |
| [30] |
Y. Huang, W. Shan, Y.Y. Lau, et al., ACS Nano 11 (2017) 8953-8961. DOI:10.1021/acsnano.7b03322 |
| [31] |
Z. Zhao, C. Wang, H. Wang, et al., Nano Energy 97 (2022) 107162-107172. DOI:10.1016/j.nanoen.2022.107162 |
| [32] |
H. Yang, W. Cui, Y. Han, B. Wang, Chin. Chem. Lett. 29 (2018) 842-844. DOI:10.1016/j.cclet.2017.09.024 |
| [33] |
H. Li, J. Guo, Y. Mao, et al., Small 19 (2023) 2206814. DOI:10.1002/smll.202206814 |
| [34] |
K. Wu, J. Huang, J. Yi, et al., Adv. Energy Mater. 10 (2020) 1903977. DOI:10.1002/aenm.201903977 |
| [35] |
Y. Lv, Y. Xiao, L. Ma, et al., Adv. Mater. 34 (2022) 2106409. DOI:10.1002/adma.202106409 |
| [36] |
G. Cui, Matter 2 (2020) 805-815. DOI:10.1016/j.matt.2020.02.003 |
| [37] |
N. Meng, F. Lian, G. Cui, Small 17 (2021) 2005762. DOI:10.1002/smll.202005762 |
| [38] |
Z. Zhao, J. Wang, Z. Lv, et al., Chem. Eng. J. 417 (2021) 128096-128101. DOI:10.1016/j.cej.2020.128096 |
| [39] |
H. Wu, B. Tang, X. Du, et al., Adv. Sci. 7 (2020) 2003370. DOI:10.1002/advs.202003370 |
| [40] |
K.K. Sonigara, J. Zhao, H.K. Machhi, et al., Adv. Energy Mater. 10 (2020) 2001997. DOI:10.1002/aenm.202001997 |
| [41] |
A. Du, H. Zhang, Z. Zhang, et al., Adv. Mater. 31 (2019) 1805930. DOI:10.1002/adma.201805930 |
| [42] |
S. Huang, Z. Cui, L. Qiao, et al., Electrochim. Acta 299 (2019) 820-827. DOI:10.1016/j.electacta.2019.01.039 |
| [43] |
J. Liang, X. Zhang, L. Huang, et al., J. Am. Chem. Soc. 143 (2021) 16768-16776. DOI:10.1021/jacs.1c08425 |
| [44] |
S.J. Tan, J. Yue, Y.F. Tian, et al., Energy Storage Mater. 39 (2021) 186-193. DOI:10.1016/j.ensm.2021.04.020 |
| [45] |
S. Jin, F. Duan, X. Wu, et al., Small 18 (2022) 2205462. DOI:10.1002/smll.202205462 |
| [46] |
P. Chen, X. Yuan, Y. Xia, et al., Adv. Sci. 8 (2021) 2100309. DOI:10.1002/advs.202100309 |
| [47] |
L. Cao, D. Li, F.A. Soto, et al., Angew. Chem. Int. Ed. 60 (2021) 18845-18851. DOI:10.1002/anie.202107378 |
| [48] |
C.W. Bunn, Nature 161 (1948) 929-930. DOI:10.1038/161929a0 |
| [49] |
H. Wu, W. Chi, Z. Chen, et al., Adv. Funct. Mater. 29 (2019) 1807243. DOI:10.1002/adfm.201807243 |
| [50] |
S. Wu, M. Hua, Y. Alsaid, et al., Adv. Mater. 33 (2021) 2007829. DOI:10.1002/adma.202007829 |
| [51] |
H. Tu, M. Zhu, B. Duan, et al., Adv. Mater. 33 (2021) 2000682. DOI:10.1002/adma.202000682 |
| [52] |
O.M. Vanderfleet, E.D. Cranston, Nat. Rev. Mater. 6 (2021) 124-144. |
| [53] |
T. Li, C. Chen, A.H. Brozana, et al., Nature 590 (2021) 47-56. DOI:10.1038/s41586-020-03167-7 |
| [54] |
D.F. Vieira, C.O. Avellaneda, A. Pawlicka, Electrochim. Acta 53 (2007) 1404-1408. DOI:10.1016/j.electacta.2007.04.034 |
| [55] |
X. Liu, P.X. Ma, Biomaterial 30 (2009) 4094-4103. DOI:10.1016/j.biomaterials.2009.04.024 |
| [56] |
N.A. Choudhury, S. Sampath, A.K. Shukla, J. Electrochem. Soc. 155 (2008) A74-A81. DOI:10.1149/1.2803501 |
| [57] |
B. Jeong, S.W. Kim, Y.H. Bae, Adv. Drug Deliv. Rev. 64 (2012) 154-162. DOI:10.1016/j.addr.2012.09.012 |
| [58] |
J. Yang, P. Li, F. Zhong, et al., Adv. Energy Mater. 10 (2020) 1904264. DOI:10.1002/aenm.201904264 |
| [59] |
S. Wang, Q. Duan, J. Lei, D.Y.W. Yu, J. Power Sources 468 (2020) 228365-228373. DOI:10.1016/j.jpowsour.2020.228365 |
| [60] |
J. Liu, C. Guan, C. Zhou, J. Wang, et al., Adv. Mater. 28 (2016) 8732-8739. DOI:10.1002/adma.201603038 |
| [61] |
Q. Zhang, W. Xu, J. Sun, et al., Nano Lett. 17 (2017) 7552-7560. DOI:10.1021/acs.nanolett.7b03507 |
| [62] |
H. Cao, F. Wan, L. Zhang, et al., J. Mater. Chem. A 7 (2019) 11734-11741. DOI:10.1039/c9ta02990g |
| [63] |
B. He, Z. Zhou, P. Man, et al., J. Mater. Chem. A 7 (2019) 12979-12986. DOI:10.1039/c9ta01164a |
| [64] |
Y. Xu, Y. Zhang, Z. Guo, et al., Angew. Chem. Int. Ed. 54 (2015) 15390-15394. DOI:10.1002/anie.201508848 |
| [65] |
H. Liu, Q. Liu, Y. Wang, et al., Chin. Chem. Lett. 33 (2022) 683-692. DOI:10.1016/j.cclet.2021.07.038 |
| [66] |
J.M. Lee, C. Choi, J.H. Kim, et al., Sci. Rep. 8 (2018) 11150-11158. DOI:10.1038/s41598-018-29266-0 |
| [67] |
X. Li, H. Li, X. Fan, X. Shi, J. Liang, Adv. Energy Mater. 10 (2020) 1903794. DOI:10.1002/aenm.201903794 |
| [68] |
C. Wu, B. Unnikrishnan, I.W.P. Chen, et al., Energy Storage Mater. 25 (2020) 563-571. DOI:10.1016/j.ensm.2019.09.026 |
| [69] |
Y. Zeng, X. Zhang, Y. Meng, et al., Adv. Mater. 29 (2017) 1700274. DOI:10.1002/adma.201700274 |
| [70] |
W. Qiu, Y. Li, A. You, et al., J. Mater. Chem. A 5 (2017) 14838-14846. DOI:10.1039/C7TA03274A |
| [71] |
K. Wang, X. Zhang, J. Han, et al., ACS Appl. Mater. Interfaces 10 (2018) 24573-24582. DOI:10.1021/acsami.8b07756 |
| [72] |
G. Zhang, X. Zhang, Solid State Ion. 160 (2003) 155-159. DOI:10.1016/S0167-2738(03)00152-8 |
| [73] |
M. Chen, W. Zhou, A. Wang, et al., J. Mater. Chem. A 8 (2020) 6828-6841. DOI:10.1039/d0ta01553a |
| [74] |
C. Li, Q. Zhang, J. Sun, et al., ACS Energy Lett. 3 (2018) 2761-2768. DOI:10.1021/acsenergylett.8b01675 |
| [75] |
C. Li, Q. Zhang, E. S, et al., J. Mater. Chem. A 7 (2019) 2034-2040. DOI:10.1039/C8TA10807B |
| [76] |
X. Yan, Z. Chen, Y. Wang, H. Li, J. Zhang, J. Power Sources 407 (2018) 137-146. DOI:10.1016/j.jpowsour.2018.10.071 |
| [77] |
P. Li, Z. Jin, D. Xiao, Energy Storage Mater. 12 (2018) 232-240. DOI:10.1016/j.ensm.2017.11.017 |
| [78] |
X. Li, Y. Tang, J. Zhu, et al., Small 16 (2020) 2001935. DOI:10.1002/smll.202001935 |
| [79] |
R. Wang, Y. Han, Z. Wang, et al., Adv. Funct. Mater. 28 (2018) 1802157. DOI:10.1002/adfm.201802157 |
| [80] |
Y. Zeng, Y. Meng, Z. Lai, et al., Adv. Mater. 29 (2017) 1702698. DOI:10.1002/adma.201702698 |
| [81] |
M. Gong, Y. Li, H. Zhang, et al., Energy Environ. Sci. 7 (2014) 2025-2032. DOI:10.1039/c4ee00317a |
| [82] |
P. Hu, T. Wang, J. Zhao, et al., ACS Appl. Mater. Interfaces 7 (2015) 26396-26399. DOI:10.1021/acsami.5b09728 |
| [83] |
D.U. Lee, J. Fu, M.G. Park, et al., Nano Lett. 16 (2016) 1794-1802. DOI:10.1021/acs.nanolett.5b04788 |
| [84] |
Z. Hao, L. Xu, Q. Liu, et al., Adv. Funct. Mater. 29 (2019) 1808470. DOI:10.1002/adfm.201808470 |
| [85] |
M.S. Javed, H. Lei, Z. Wang, et al., Nano Energy 70 (2020) 104573-104582. DOI:10.1016/j.nanoen.2020.104573 |
| [86] |
S. Li, Y. Liu, X. Zhao, et al., Adv. Mater. 33 (2021) 2007480. DOI:10.1002/adma.202007480 |
| [87] |
X. He, H. Zhang, X. Zhao, et al., Adv. Sci. 6 (2019) 1900151. DOI:10.1002/advs.201900151 |
| [88] |
X. Li, H. Cheng, H. Hu, et al., Chin. Chem. Lett. 32 (2021) 3753-3761. DOI:10.1016/j.cclet.2021.04.045 |
| [89] |
F. Hu, Y. Gu, F. Cui, G. Song, K. Zhu, Chin. Chem. Lett. 32 (2021) 3793-3798. DOI:10.1016/j.cclet.2021.04.032 |
| [90] |
J. Wang, J. Liu, M. Hu, et al., J. Mater. Chem. A 6 (2018) 11113-11118. DOI:10.1039/c8ta03143f |
| [91] |
F. Wan, L. Zhang, X. Wang, et al., Adv. Funct. Mater. 28 (2018) 1804975. DOI:10.1002/adfm.201804975 |
| [92] |
G. Shim, M.X. Tran, G. Liu, D. Byun, J.K. Lee, Energy Storage Mater. 35 (2021) 739-749. DOI:10.1016/j.ensm.2020.12.009 |
| [93] |
C. Lai, M. Li, Y. Shen, et al., Energy Environ. Mater. 7 (2024) e12541. DOI:10.1002/eem2.12541 |
| [94] |
C. Lai, H. Li, Y. Sheng, et al., Adv. Sci. 9 (2022) 2105925. DOI:10.1002/advs.202105925 |
| [95] |
K. Wu, L. Zhang, Y. Yuan, et al., Adv. Mater. 32 (2020) 2002292. DOI:10.1002/adma.202002292 |
| [96] |
L. Zhong, C. Jiang, M. Zheng, et al., ACS Energy Lett. 6 (2021) 3624-3633. DOI:10.1021/acsenergylett.1c01678 |
| [97] |
T. Zhou, N. Zhang, C. Wu, Y. Xie, Energy Environ. Sci. 13 (2020) 1132-1153. DOI:10.1039/c9ee03634b |
| [98] |
N.K. Wagh, S.S. Shide, C.H. Lee, et al., Nano Micro Lett. 14 (2022) 190-210. DOI:10.1007/s40820-022-00927-0 |
| [99] |
L. An, X. Zhao, T. Zhao, D. Wang, Energy Environ. Sci. 14 (2021) 2620-2638. DOI:10.1039/d0ee03609a |
| [100] |
M. Gong, D. Xiao, Z. Deng, et al., Appl. Catal. B: Environ. 282 (2021) 119617-119625. DOI:10.1016/j.apcatb.2020.119617 |
| [101] |
X. Liu, L. Wang, P. Yu, et al., Angew. Chem. Int. Ed. 57 (2018) 16166-16170. DOI:10.1002/anie.201809009 |
| [102] |
X. Xiao, X. Xiao, Y. Zhou, et al., Sci. Adv. 7 (2021) l3742-13753. DOI:10.1126/sciadv.abl3742 |
| [103] |
A.A. Mohamad, N.S. Mohamed, M.Z.A. Yahya, et al., Solid State Ion. 156 (2003) 171-177. DOI:10.1016/S0167-2738(02)00617-3 |
| [104] |
Q. Zhang, C. Li, Q. Li, et al., Nano Lett. 19 (2019) 4035-4042. DOI:10.1021/acs.nanolett.9b01403 |
| [105] |
Z. Pan, J. Yang, J. Yang, et al., ACS Nano 14 (2020) 842-853. DOI:10.1021/acsnano.9b07956 |
| [106] |
B. Long, Q. Zhang, T. Duan, et al., Adv. Sci. 9 (2022) 2204087. DOI:10.1002/advs.202204087 |
| [107] |
N. Zhang, M. Jia, Y. Dong, et al., Adv. Funct. Mater. 29 (2019) 1807331. DOI:10.1002/adfm.201807331 |
| [108] |
J. Park, M. Park, G. Nam, J.S. Lee, J. Cho, Adv. Mater. 27 (2015) 1396-1401. DOI:10.1002/adma.201404639 |
| [109] |
Z. Wang, Z. Ruan, Z. Liu, et al., J. Mater. Chem. A 6 (2018) 8549-8557. DOI:10.1039/c8ta01172a |
| [110] |
Q. Han, X. Chi, S. Zhang, et al., J. Mater. Chem. A 6 (2018) 23046-23054. DOI:10.1039/c8ta08314b |
| [111] |
S. Zhang, N. Yu, S. Zeng, et al., J. Mater. Chem. A 6 (2018) 12237-12243. DOI:10.1039/c8ta04298e |
| [112] |
T. Sun, Z. Li, Y. Zhi, et al., Adv. Funct. Mater. 31 (2021) 2010049. DOI:10.1002/adfm.202010049 |
| [113] |
A.M. Gaikwad, A.M. Zamarayeva, J. Rousseau, et al., Adv. Mater. 24 (2012) 5071-5076. DOI:10.1002/adma.201201329 |
| [114] |
A.M. Gaikwad, G.L. Whiting, D.A. Steingart, A.C. Arias, Adv. Mater. 23 (2011) 3251-3255. DOI:10.1002/adma.201100894 |
| [115] |
Md.S. Rahman, Md.S. Hasan, A.S. Nitai, et al., Polymers 13 (2021) 1345-1393. DOI:10.3390/polym13081345 |
| [116] |
M.H. Abu Elella, E.S. Goda, M.A. Gab-Allah, et al., J. Environ. Chem. Eng. 9 (2021) 104702-104733. DOI:10.1016/j.jece.2020.104702 |
| [117] |
H. Mittal, A.Al Alili, P.P. Morajkar, S.M. Alhassan, J. Mol. Liq. 323 (2021) 115034. DOI:10.1016/j.molliq.2020.115034 |
| [118] |
I. Osada, H.de Vries, B. Scrosati, S. Passerini, Angew. Chem. Int. Ed. 55 (2016) 500-513. DOI:10.1002/anie.201504971 |
| [119] |
X. Zhang, Y. Sun, C. Ma, et al., J. Power Sources 542 (2022) 231797. DOI:10.1016/j.jpowsour.2022.231797 |
| [120] |
Z. Cui, Y. Xu, L. Zhu, et al., J. Membr. Sci. 325 (2008) 957-963. DOI:10.1016/j.memsci.2008.09.022 |
| [121] |
R. Zana, C. Marques, A. Johner, Adv. Colloid Interface Sci. 123-126 (2006) 345-351. DOI:10.1016/j.cis.2006.05.011 |
| [122] |
J. Zhao, K.K. Sonigara, J. Li, et al., Angew. Chem. Int. Ed. 56 (2017) 7871-7875. DOI:10.1002/anie.201704373 |
| [123] |
L. Ma, S. Chen, C. Long, et al., Adv. Energy Mater. 9 (2019) 1902446. DOI:10.1002/aenm.201902446 |
| [124] |
F. Wang, O. Borodin, T. Gao, et al., Nat. Mater. 17 (2018) 543-549. DOI:10.1038/s41563-018-0063-z |
| [125] |
C. Zhang, J. Holoubek, X. Wu, et al., Chem. Commun. 54 (2018) 14097-14099. DOI:10.1039/c8cc07730d |
| [126] |
T. Nomoto, Y. Inoue, Y. Yao, et al., Sci. Adv. 6 (2020) 1722-1733. DOI:10.1126/sciadv.aaz1722 |
| [127] |
Y. Huang, M. Zhong, Y. Huang, et al., Nat. Commun. 6 (2015) 10310. DOI:10.1038/ncomms10310 |
| [128] |
Y. Huang, M. Zhong, F. Shi, et al., Angew Chem. Int. Ed. 56 (2017) 9141-9145. DOI:10.1002/anie.201705212 |
| [129] |
X. Wang, F. Wang, L. Wang, et al., Adv. Mater. 28 (2016) 4904-4911. DOI:10.1002/adma.201505370 |
| [130] |
M. Chen, J. Chen, W. Zhou, et al., Adv. Mater. 33 (2021) 2007559. DOI:10.1002/adma.202007559 |
| [131] |
F. Mo, G. Liang, D. Wang, et al., EcoMat 1 (2019) 12008-12020. DOI:10.1002/eom2.12008 |
| [132] |
L. Ma, Y. Zhao, X. Ji, et al., Adv. Energy Mater. 9 (2019) 1900509. DOI:10.1002/aenm.201900509 |
| [133] |
X. Zhu, H. Yang, Y. Cao, X. Ai, Electrochim. Acta 49 (2004) 2533-2539. DOI:10.1016/j.electacta.2004.02.008 |
| [134] |
W. Laoatiman, T. Julaphatachote, P. Boonmongkolras, S. Kheawhom, J. Electrochem. Soc. 164 (2017) A859-A865. DOI:10.1149/2.1511704jes |
| [135] |
L. Sartore, S. Pandini, F. Baldi, F. Bignotti, L.Di Landro, J. Appl. Polymer Sci. 134 (2017) 45655-45664. DOI:10.1002/app.45655 |
| [136] |
M. Liu, T. Guo, J. Appl. Polymer Sci. 82 (2001) 1515-1520. DOI:10.1002/app.1990 |
| [137] |
H. Wang, J. Liu, J. Wang, et al., ACS Appl. Mater. Interfaces 11 (2019) 49-55. DOI:10.1021/acsami.8b18003 |
| [138] |
Y. Huang, Z. Li, Z. Pei, et al., Adv. Energy Mater. 8 (2018) 1802288. DOI:10.1002/aenm.201802288 |
| [139] |
L. Ma, S. Chen, D. Wang, et al., Adv. Energy Mater. 9 (2019) 1803046. DOI:10.1002/aenm.201803046 |
| [140] |
C. Guan, A. Sumboja, H. Wu, et al., Adv. Mater. 29 (2017) 1704117. DOI:10.1002/adma.201704117 |
| [141] |
W. Zang, A. Sumboja, Y. Ma, et al., ACS Catal. 8 (2018) 8961-8969. DOI:10.1021/acscatal.8b02556 |
| [142] |
K. Braam, V. Subramanian, Adv. Mater. 27 (2015) 689-694. DOI:10.1002/adma.201404149 |
| [143] |
Z. Pei, Z. Yuan, C. Wang, et al., Angew. Chem. Int. Ed. 59 (2020) 4793-4799. DOI:10.1002/anie.201915836 |
| [144] |
A. Narita, W. Shibayama, K. Sakamoto, et al., Chem. Commun. (2006) 1926-1928. |
| [145] |
M. Yoshizawa, M. Hirao, K. Ito-Akita, H. Ohno, J. Mater. Chem. 11 (2001) 1057-1062. DOI:10.1039/b101079o |
| [146] |
C. Yuan, X. Zhong, P. Tian, et al., ACS Appl. Energy Mater. 5 (2022) 7530-7537. DOI:10.1021/acsaem.2c01008 |
| [147] |
F. Mo, Z. Chen, G. Liang, et al., Adv. Energy Mater. 10 (2020) 2000035. DOI:10.1002/aenm.202000035 |
| [148] |
T. Zhao, G. Zhang, F. Zhou, S. Zhang, C. Deng, Small 14 (2018) 1802320. DOI:10.1002/smll.201802320 |
| [149] |
L. Ma, S. Chen, H. Li, et al., Energy Environ. Sci. 11 (2018) 2521-2530. DOI:10.1039/c8ee01415a |
| [150] |
H. Li, Q. Yang, F. Mo, et al., Energy Storage Mater. 19 (2019) 94-101. DOI:10.1016/j.ensm.2018.10.005 |
| [151] |
L. Ma, S. Chen, Z. Pei, et al., ACS Nano 12 (2018) 8597-8605. DOI:10.1021/acsnano.8b04317 |
| [152] |
Q. Tan, X. Li, B. Zhang, et al., Adv. Energy Mater. 10 (2020) 2001050. DOI:10.1002/aenm.202001050 |
| [153] |
H. Li, C. Han, Y. Huang, et al., Energy Environ. Sci. 11 (2018) 941-951. DOI:10.1039/c7ee03232c |
| [154] |
Z. Liu, D. Wang, Z. Tang, et al., Energy Storage Mater. 23 (2019) 636-645. DOI:10.1016/j.ensm.2019.03.007 |
| [155] |
D. Wang, L. Wang, G. Liang, et al., ACS Nano 13 (2019) 10643-10652. DOI:10.1021/acsnano.9b04916 |
| [156] |
F. Mo, G. Liang, Q. Meng, et al., Energy Environ. Sci. 12 (2019) 706-715. DOI:10.1039/c8ee02892c |
| [157] |
M. Zhu, X. Wang, H. Tang, et al., Adv. Funct. Mater. 30 (2020) 1907218. DOI:10.1002/adfm.201907218 |
| [158] |
Y. Zhao, L. Ma, Y. Zhu, et al., ACS Nano 13 (2019) 7270-7280. DOI:10.1021/acsnano.9b02986 |
| [159] |
Y. Qin, H. Li, C. Han, F. Mo, X. Wang, Adv. Mater. 34 (2022) 2207118. DOI:10.1002/adma.202207118 |
| [160] |
Z. Yang, B. Wang, Y. Chen, et al., Natl. Sci. Rev. 10 (2022) nwac268. |
| [161] |
B. Wu, Y. Mu, Z. Li, et al., Chin. Chem. Lett. 34 (2023) 107629-107641. DOI:10.1016/j.cclet.2022.06.052 |
| [162] |
G.G. Kumar, S. Sampath, Solid State Ionics 160 (2003) 289-300. DOI:10.1016/S0167-2738(03)00209-1 |
| [163] |
H. Ye, J. Xu, J. Power Sources 165 (2007) 500-508. DOI:10.1016/j.jpowsour.2006.10.042 |
| [164] |
J.P. Hoffknecht, A. Wettstein, J. Atik, et al., Adv. Energy Mater. 13 (2022) 2202789. |
| [165] |
J.F. Fauvarque, S. Guinot, N. Bouzir, E. Salmon, J.F. Penneau, Electrochim. Acta 40 (1995) 2449-2453. DOI:10.1016/0013-4686(95)00212-W |
| [166] |
S. Karan, T.B. Sahu, M. Sahu, Y.K. Mahipal, R.C. Agrawal, Ionics 23 (2017) 2721-2726. DOI:10.1007/s11581-017-2036-7 |
| [167] |
P. Hiralal, S. Imaizumi, H.E. Unalan, et al., ACS Nano 4 (2010) 2730-2734. DOI:10.1021/nn901391q |
| [168] |
M. Wang, A. Emree, S. Tung, et al., ACS Nano 13 (2019) 1107-1115. |
| [169] |
J. Xu, H. Ye, J. Huang, Electrochem. Commun. 7 (2005) 1309-1317. DOI:10.1016/j.elecom.2005.09.011 |
| [170] |
J.P. Tafur, J. Abad, E. Román, A.J.F. Romero, Electrochem. Commun. 60 (2015) 190-194. DOI:10.1016/j.elecom.2015.09.011 |
| [171] |
L. Ma, S. Chen, N. Li, et al., Adv. Mater. 32 (2020) 1908121. DOI:10.1002/adma.201908121 |
| [172] |
J. Feng, D. Ma, K. Ouyang, et al., Adv. Funct. Mater. 32 (2022) 2207909. DOI:10.1002/adfm.202207909 |
| [173] |
M. Sun, Z. Zeng, W. Zhong, et al., Batteries & Supercaps 5 (2022) e202200338. |
| [174] |
F. Mo, H. Li, Z. Pei, et al., Sci. Bull. 63 (2018) 1077-1086. DOI:10.1016/j.scib.2018.06.019 |
| [175] |
G. Lu, H. Qiu, X. Du, et al., Chem. Mater. 34 (2022) 8975-8986. DOI:10.1021/acs.chemmater.2c02417 |
| [176] |
Z. Han, S. Li, R. Xiong, et al., Adv. Funct. Mater. 32 (2022) 2108669. DOI:10.1002/adfm.202108669 |
| [177] |
W. Zhang, F. Ma, Q. Wu, et al., Energy Environ. Mater. (2022) 1-8. |
| [178] |
Z. Jiang, L. Liu, Z. Han, et al., Angew. Chem. Int. Ed. 58 (2019) 11374-11378. DOI:10.1002/anie.201905712 |
| [179] |
H. Zhang, Z. Zeng, F. Ma, et al., Adv. Funct. Mater. 33 (2023) 2212000. DOI:10.1002/adfm.202212000 |
| [180] |
F. Liu, W. Wang, Y. Yin, et al., Sci. Adv. 4 (2018) 5383-5392. DOI:10.1109/bigdata.2018.8622198 |
| [181] |
Q. Zhao, X. Liu, S. Stalin, K. Khan, L.A. Archer, Nat. Energy 4 (2019) 365-373. DOI:10.1038/s41560-019-0349-7 |
| [182] |
L. Ma, S. Chen, X. Li, et al., Angew. Chem. Int. Ed. 132 (2020) 24044-24052. DOI:10.1002/ange.202011788 |
2024, Vol. 35 

