Gas-liquid multiphase reactions have gained a great deal of application in the field of micro reactors, mainly due to the significant advantages of micro reactors in gas-liquid multiphase reactions, such as enhanced heat and mass transfer, improved chemical properties, easy scale-up and increased safety [1-4]. Due to the small flux diameter inside the micro reactor, the forced mixing of the two phases greatly increases the phase contact area, improves the mass transfer efficiency and thus improves the reaction efficiency [5].
At present, the main methods of measuring gas-liquid volumetric mass transfer coefficient are physical absorption method and chemical absorption method. The absorption of oxygen or nitrogen in aqueous solution is usually used as a physical absorption model system in the traditional reactor. However, it requires complicated equipment and produces large errors in micro reactors, owing to the poor solubility of these gasses [6], low liquid holding capacity and short residence time of the micro-reactor. Instead, the physical absorption measurement of the volumetric mass transfer coefficient of the micro reactor is generally realized with the carbon dioxide-water system [7-9]. There are many other systems for measuring volumetric mass transfer coefficient by chemical absorption method, such as EDA-CO2, MEDA-CO2, Na2CO3—NaHCO3—CO2 system [10-13]. In the past, the key parameters in the measurement process of mass transfer coefficient were usually measured using titration [8,10,12] or chromatography [6]. The mass transfer effect of microreactors usually requires measuring multiple flow states. Therefore, the measurement of mass transfer coefficient in microreactors may be slow and labor-intensive. In addition, the volumetric mass transfer coefficient is also calculated by directly monitoring the gas-liquid dispersion process through high-speed camera [14]. However, this method requires measurement and calculation of the average diameter of bubbles in the entire micro-reactor, inevitably producing large errors, and the micro-reactor must be transparent, adding more limitations.
In order to measure the gas-liquid volumetric mass transfer coefficient of the micro reactor more quickly, simply and inexpensively, an automatic experimental device was developed. A CO2—H2O physical absorption system and a Na2CO3—CO2 chemical absorption system were used to measure the gas-liquid volumetric mass transfer coefficient of the micro reactor under various conditions.
The physical absorption method established in the present study used CO2—H2O system to measure the volumetric mass transfer coefficient (kLa) of microchannel. To ensure the applicability of the method, the following assumptions and preconditions shall be met:
In the gas phase used in the experiment, carbon dioxide can be regarded as an ideal gas, meeting the gas equation of state.
The mass transfer equation described in the continuous flow process is:
|
(1) |
By integrating the time from the inlet to the outlet of the micro reactor, the liquid volumetric mass transfer coefficient can be expressed as:
|
(2) |
In the above formula, CCO2* (CCO2* = HPP, in which HP is Henry's constant, 0.0336 mol/(L bar) [14], P is average pressure of the reactor) is the concentration of carbon dioxide at the gas-liquid interface. CCO2,0 and CCO2,1 are the concentration of carbon dioxide in the solution at the inlet and outlet of the reactor, respectively; QL is the liquid flow rate; Vm is the capacity of the micro-reactor.
The water is expelled by ultrasound, so CCO2,0 is zero. Therefore, only CCO2,1, i.e., the concentration of carbon dioxide in the solution at the outlet, needs to be measured. Then volumetric mass transfer coefficient can be obtained by calculation.
High concentration (0.5 mol/L) NaOH solution was added, and its pH value (x1) was measured by the pH meter. Since it was an excessive NaOH solution, we could assume that CO2 in the solution was almost completely transformed into CO32−, and the whole reaction can be expressed as:
|
The consumption-absorption ratio of CO2 and NaOH was 1:2, and the pH value of the mixture (mixture of sodium hydroxide solution and solution at reactor outlet) is measured as x2. C(OH−) in solution has the following relation:
|
(3) |
The carbon dioxide concentration at the outlet of the micro-reactor can be expressed as:
|
(4) |
It should be noted when x2 is less than 13, it cannot be calculated by the above method, because there is a large amount of CO32− hydrolyzed into HCO3− at this moment. In this case, we need to increase the concentration of sodium hydroxide solution, measure and calculate according to the above ideas.
From Eqs. 2-4, volumetric mass transfer coefficient can be described as:
|
(5) |
P is the average pressure at inlet and outlet.
0.01 mol/L Na2CO3—CO2 system was used to measure volumetric mass transfer coefficient by chemical absorption method. To ensure the applicability of the method, the following assumptions and preconditions shall be met:
The temperature has no obvious change in the whole absorption process.
The secondary hydrolysis of carbonate is not considered.
Wylock et al. [15], Vas Bhat et al. [16] and Hikita et al. [17] found that the absorption of CO2 in Na2CO3 solution was essentially the reaction between CO2 and OH−, and the main reaction involved two steps:
|
Both of which can be regarded as a first-order reaction. According to Danckwerts transfer model, the CO2 mass-transfer rate NCO2 in the presence of a first-order reaction can be described as [18]:
|
(6) |
CCO2, ∞ is the concentration of carbon dioxide in the liquid phase. Ha is defined as:
|
(7) |
DCO2 is the maximum value of CO2 in the liquid 3.9 × 10−9 m2/s [19] at 300 K. Mass transfer coefficient (kl) of the micro reactor could range from 20 to 3000 (10−5 m/s). Besides, according to the calculation method for the reaction rate constant (k') of carbon dioxide absorption by sodium carbonate solution given in literature [7], the value of the maximum reaction rate constant (k') is less than 0.86 s−1. Maximum value of Ha was 0.289. As the reaction occurs, the diffusion coefficient, reaction rate, and Ha all continuously decrease. In the subsequent absorption process, the chemical absorption of CO2 is expected to be slow in the film and fast in the liquid bulk [18]. Therefore, CCO2, ∞ can be ignored, and thus Eq. 6 can be simplified as:
|
(8) |
CO2 absorbed into the main body of the solution can be regarded as in forms of carbonate or bicarbonate ions converted via reactions, hence the equation shown as below:
|
(9) |
For the reaction represented by (step 2), the chemical equilibrium constant K was calculated by Hikita [17] with below equations:
|
(10) |
|
(11) |
Obviously, the concentration of sodium carbonate solution in this method is 0.01 mol/L. The reaction equilibrium constant K is only affected by the ambient temperature, so the chemical absorption party actually also takes the measured temperature into account the influence factor of the mass transfer coefficient.
The equilibrium constant of reaction (step 2) is defined as:
|
(12) |
|
(13) |
The concentration of OH− can be calculated by Eq. 4 after measuring the pH value of the solution and recorded as C(OH−). The concentrations of CO32− and HCO3− at the inlet are designated as C(CO3,02−) and C(HCO3,0−), and calculated with Eqs. 12 and 13 respectively.
When the solution absorbed CO2, it reached the equilibrium again. For a unit volume of solution (V), assume in (step 1) that, y1 mol of CO2 is absorbed, so that the change of OH− in this process is also y1 mol, while the change of OH− in (step 2) is y2 mol. Then the below equations can be obtained.
|
(14) |
The equation of the hydrolytic equilibrium is as follows at the reactor outlet.
|
(15) |
It can be obtained from Eqs. 13-15 that:
|
(16) |
The pH value of the solution at the outlet of the reactor is x3 and the mass transfer coefficient of chemical absorption measurement is described as:
|
(17) |
At this point, it is obviously seen that the calculated result of Eq. 17 is only correlated with K and the concentration of OH− at the inlet and outlet, which indicates that the volumetric mass transfer coefficient can be calculated with pH directly measured by a pH meter. HC is 0.04 mol/(L bar) at 298 K [20].
The feasibility of this method was demonstrated by testing the same microchannel structure as the literature [12]. The microchannel is shown in Fig. 1.
|
Download:
|
| Fig. 1. Experimental microchannel structure 1 mm deep and 0.5 mm wide (a) micro reaction channel shown in literature [12]. (b) Micro reaction channel used in the present study. | |
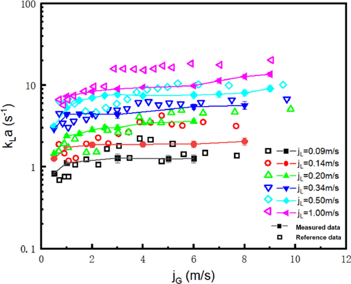
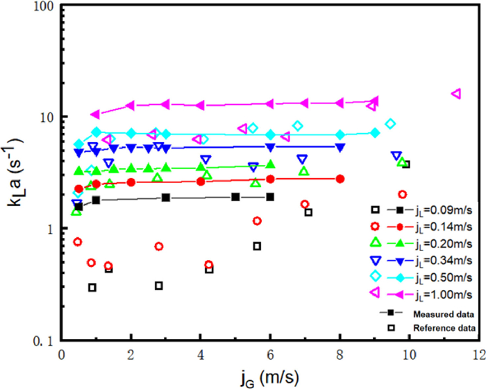
The measurement results of physical absorption and chemical absorption are shown in Figs. 2 and 3, respectively. Under measurement conditions, the mass transfer coefficient range is 0.8–13 s−1, corresponding to that, the reference [12] measured the mass transfer coefficient in the range of 0.7–16 s−1 for physical absorption and the result range of chemical absorption is 1.3–13 s−1, corresponding to the reference 0.3–14 s−1. Compared with the reference data, the measured data has a smaller data fluctuation and more obvious data trend, which shows the advantages of the measurement method.
|
Download:
|
| Fig. 2. Effect of superficial gas and liquid velocities on liquid side volumetric mass transfer coefficient in the microchannel measured by physical absorption method. | |
|
Download:
|
| Fig. 3. Effect of superficial gas and liquid velocities on liquid side volumetric mass transfer coefficient in the microchannel measured by chemical absorption method. | |
Among the physical and chemical absorption methods established in this article for measuring mass transfer coefficients, the chemical absorption method for measuring gas-liquid volume mass transfer coefficients is much simpler than the physical absorption measurement process. The chemical absorption method is easy to achieve absorption saturation, while the physical absorption method is much more difficult. Therefore, physical absorption can be a beneficial supplement to chemical absorption. The detailed measurement process of gas-liquid total mass transfer coefficient is shown in Fig. 4. The first step is to set the measurement conditions, namely the gas-liquid flow rate. The chemical absorption process measures the pH value of the outlet solution. When it is greater than or equal to 7.5, the total mass transfer coefficient can be calculated using the chemical absorption method. If the pH value is less than 7.5, physical methods are used for measurement. You can also increase the liquid flow rate, measure the pH value of the outlet solution again until it is greater than or equal to 7.5, and use chemical absorption method to measure and calculate the mass transfer coefficient. Under certain conditions, the established measurement method can reduce the collection time of individual k data to less than 5 min.
|
Download:
|
| Fig. 4. Measurement process of gas-liquid total mass transfer coefficient. | |
In this paper, the physical absorption method with CO2 absorbed by aqueous solution and the chemical absorption method with CO2 absorbed by sodium carbonate solution were established to quickly measure the volumetric mass transfer coefficient of micro reactors. On the same microchannel chip, the results produced by the two methods are in the same range as those reported in the previous literature and data volatility is less. Utilizing the established methods in the present study to measure the volumetric mass transfer coefficient of microchannel reactors, the equipment cost is low, the measurement speed is high with simple steps and it is more suitable for measurement environments with large temperature differences. Both methods can be widely used in the design and evaluation of micro-reactors.
Declaration of competing interestThe authors declare that they have no known competing financial interests or personal relationships that could have appeared to influence the work reported in this paper.
Supplementary materialsSupplementary material associated with this article can be found, in the online version, at doi:10.1016/j.cclet.2023.108833.
| [1] |
J. Yue, Catal. Today 308 (2018) 3-19. DOI:10.1016/j.cattod.2017.09.041 |
| [2] |
K. Jahnisch, M. Baerns, V. Hessel, et al., J. Fluorine Chem. 105 (2000) 117-128. DOI:10.1016/S0022-1139(00)00300-6 |
| [3] |
K. Jahnisch, V. Hessel, H. Lowe, M. Baerns, Angew. Chem. Inter. Ed. 43 (2004) 406-446. DOI:10.1002/anie.200300577 |
| [4] |
J.J. Brandner, W. Benzinger, U. Schygulla, K. Schubert, Microgra. Sci. Tech. 19 (2007) 41-43. DOI:10.1007/BF02915746 |
| [5] |
L. Shui, J.C.T. Eijkel, A. van den Berg, Sens. Actuat. B: Chem. 121 (2007) 263-276. DOI:10.1016/j.snb.2006.09.040 |
| [6] |
J.S. Zhang, A.R. Teixeira, K.F. Jensen, AIChE J. 64 (2018) 564-570. DOI:10.1002/aic.15941 |
| [7] |
E. Dluska, S. Wronski, T. Ryszczuk, Exper. Thermal Fluid Sci. 28 (2004) 467-472. DOI:10.1016/j.expthermflusci.2003.06.003 |
| [8] |
M. Akbari, M. Rahimi, M. Faryadi, Chin. J. Chem. Eng. 25 (2017) 1143-1152. DOI:10.1016/j.cjche.2017.03.010 |
| [9] |
N. Aoki, S. Tanigawa, K. Mae, Chem. Eng. Sci. 66 (2011) 6536-6543. DOI:10.1016/j.ces.2011.09.025 |
| [10] |
C. Li, C. Zhu, Y. Ma, D. Liu, X. Gao, Inter. J. Heat Mass Trans. 78 (2014) 1055-1059. DOI:10.1016/j.ijheatmasstransfer.2014.07.071 |
| [11] |
W. Li, K. Liu, R. Simms, et al., J. Am. Chem. Soc. 134 (2012) 3127-3132. DOI:10.1021/ja2101278 |
| [12] |
J. Yue, G. Chen, Q. Yuan, L. Luo, Y. Gonthier, Chem. Eng. Sci. 62 (2007) 2096-2108. DOI:10.1016/j.ces.2006.12.057 |
| [13] |
I. Iliuta, F. Larachi, B.P.A. Grandjean, G. Wild, Chem. Eng. Sci. 54 (1999) 5633-5645. DOI:10.1016/S0009-2509(99)00129-3 |
| [14] |
M.J. Nieves-Remacha, A.A. Kulkarni, K.F. Jensen, Indust. Eng. Chem. Res. 52 (2013) 8996-9010. DOI:10.1021/ie4011707 |
| [15] |
C.E. Wylock, P. Colinet, T. Cartage, B. Haut, Inter. J. Chem. Reactor Eng. 6 (2008). DOI:10.2202/1542-6580.1502 |
| [16] |
R.D.V. Bhat, J.A.M. Kuipers, G.F. Versteeg, Chem. Eng. J. 76 (2000) 127-152. DOI:10.1016/S1385-8947(99)00104-7 |
| [17] |
H. Hikita, S. Asai, T. Takatsuka, Chem. Eng. J. 11 (1976) 131-141. DOI:10.1016/S0300-9467(76)80035-4 |
| [18] |
M.M. Sharma, P.V. Danckwerts, Brit. Chem. Eng. 15 (1970) 522-526. |
| [19] |
S. Rajan, M. Kumar, M.J. Ansari, D.P. Rao, N. Kaistha, Ind. Eng. Chem. Res. 50 (2011) 986-997. DOI:10.1021/ie100899r |
| [20] |
W.R. Zhao, H.X. Shi, D.H. Wang, J. Zhejiang Uni. Sci. A 5 (2004) 714-720. DOI:10.1631/BF02840986 |
2024, Vol. 35 

