The production of plastics has rapidly increased in past decades. Today, plastics exist in an infinite number of products and applications. About 380 million tons of plastics are produced around the world every year, of which about 67.5% are still processed by incineration and landfill [1,2]. This causes severe resource waste and environmental pollution [3]. In order to address the issues, various recycling methods have been proposed such as mechanical [4], thermal [5-9], biological [10,11], light [12] and chemical recovery [13,14]. However, the mechanical pulverization method has limited scope of application due to simple and inefficient recycling. The thermal recovery method releases a large amount of toxic gasses and seriously pollutes the environment; in addition, due to hidden energy in the waste plastics, direct incineration causes waste of a large amount of resources. The biological and light recovery are generally not a viable option due to their slow kinetics. To sum up, chemical recycling is generally preferable over thermal and mechanical recycling because useful chemicals can be obtained from the wastes in view of environmental protection and sustainable development. As a high-performance material with a wide range of applications, thermosets have an irreplaceable role in the industry. However, compared with the processability of thermoplastics, thermosets cannot be remelted and reformed after heating and molding. So, they have long been regarded as unrecyclable plastics [15].
Epoxy thermosets are among the most versatile thermosets and widely used as high-performance composite materials, electronic boards, adhesives, and coatings due to their excellent mechanical properties and chemical resistance imparted by chemical crosslinking [16,17]. With the increasing demand of epoxy thermosets, their recycling into useful chemicals has been paid more attention. In some early studies, corrosive acid [18,19] or alkali [20,21] catalyst system, strong oxidizing chemicals [22,23] was used to realize the rapid degradation of epoxy resin at lower degradation temperature. In that case, it is hard to utilize the degraded resins with complex components due to harsh reaction conditions. After decades of exploration, supercritical degradation is found to be a good method to achieve good degradation efficiency [24,25]. However, the process requires extremely high pressure (10–30 MPa) and temperatures (300–500 ℃) to bring the fluid to a supercritical state and is therefore energy intensive. Some catalytic degradation systems, including zinc acetylacetonate/2-ethyl-hexanol [26], TBD/ethylene glycol [27], ZnCl2/acetic acid [28], zinc acetylacetonate/ethylene glycol [29], etc. [30], are reported but a high temperature of more than 150 ℃ is still required. More importantly, the catalytic degradation systems need to add different catalysts and solvents to the system in order to degrade epoxy more efficiently, which complicates the composition of the degradation products and make them difficult to separate and recycle. And in some cases, even a post-treatment process, such as an additional hydrolysis process, is needed to realize the reuse of degradation products [14]. Very recently, Zhao [31] reported a fast and mild closed-loop recycling of anhydride-cured epoxy by diethylenetriamine (DETA), which solves the problems of harsh degradation conditions and complex separation of catalysts in the degradation system. However, some problems still remained, for example, energy-intensive microwave heating is needed to speed up the degradation, otherwise, the degradation efficiency will be relatively low.
Herein, we develop a mild, efficient and energy-saving process for degrading anhydride-cured epoxy resins with the aid of hydrazine hydrate. In this system, hydrazine hydrate is chosen as a multifunctional reagent to play the role of a solvent and a reactant during the degradation process. The final degradation product is composed of only two kinds of monomers due to the high degradation activity of hydrazine hydrate and can be directly mixed with epoxy precursor to prepare a new waterborne epoxy coating without the addition of new curing agents. Moreover, the synergistic effect of bulk erosion and surface erosion in the process of degradation is confirmed through study of the degradation mechanism and a kinetic model to predict the actual degradation behavior is established. In the work, a 99.6% degradation ratio is achieved at 120 ℃ within 60 min. The degradation efficiency is the highest compared with other degradation systems of epoxy resin with similar glass transition temperature (Tg) that had been summarized herein. This work not only demonstrates a facile and efficient strategy for recycling epoxy thermoset but also facilitates the concept of circular economy.
The whole degradation process of MeTHPA-cured epoxy resin (MER) in the hydrazine hydrate system is proposed in Scheme 1. According to previous reports [31], MER was pretreated with dichloromethane (DCM) before degradation as DCM had solubility parameters similar to MER. MER gradually broke into small pieces and only physical changes happened during the immersion process. The decrease of Tg (Fig. S1 in Supporting information) and the constant chemical structure (Fig. S2 in Supporting information) of MER after DCM pretreatment confirmed the above description. DCM pretreatment made it easier for hydrazine hydrate to enter the cross-linking network of MER, which is beneficial to improve the degradation efficiency.
|
Download:
|
| Scheme 1. Degradation process of MER in the hydrazine hydrate system. | |
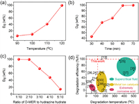
Hydrazine hydrate acted as a reactant and solvent in the degradation system for its high reaction activity and liquid state, which made the degradation process simple and efficient. In order to optimize the degradation conditions, the effects of the degradation temperature, degradation time and ratio of DCM-treated MER (D-MER) to hydrazine hydrate (w/w) were explored on the degradation reaction respectively. The degradation degree was increased rapidly from 4.5% to 99.6% as the temperature increased from 90 ℃ to 120 ℃ (Fig. 1a). The temperature of 120 ℃ was relatively lower than that in the case of the DETA catalytic system [31], even without using microwave-assisted heating. This suggested that our degradation system enables complete degradation of the resins under milder conditions. The degradation degree was increased with the extension of degradation time, and it could reach complete degradation within 60 min (Fig. 1b). It should be noted that the degradation degree was decreased sharply when the weight ratio of D-MER to hydrazine hydrate was more than 2:10 (Fig. 1c), which can be attributed to the incomplete immersion of the D-MER in hydrazine hydrate. Compared with other degradation systems of epoxy resin with similar Tg that had been reported (Fig. 1d) [13,14,18,19,23-25,28,32-38], hydrazine hydrate degradation system had highest degradation efficiency under relatively low degradation temperature condition. The merits can be mainly ascribed to DCM pretreatment and the high aminolysis activity of hydrazine hydrate.
|
Download:
|
| Fig. 1. Effects of (a) reaction temperature, (b) reaction time, (c) ratio of D-MER to hydrazine hydrate (w/w) against the degradation degree. (d) Comparison of degradation efficiency with previous reports. | |
In order to further study the degradation mechanism, the degradation products of MER-hydrazine hydrate system were identified by FTIR firstly (Fig. 2a). After degradation, the C–O–C peaks attributed to ether groups at 1236 cm−1 and 1177 cm−1 were still present, which indicated that the main chain skeleton of the MER was not broken. However, the C=O peak attributed to ester groups at 1733 cm−1 disappeared after degradation, indicating that the ester bonds of D-MER were all cleaved off during degradation process. In addition, the FT-IR spectrum of the degraded products (DEP) arose a strong and sharp amide peak at 1642 cm−1, and the amine (primary and secondary) peaks appeared at 3293 cm−1, 3182 cm−1, 1612 cm−1 and 1531 cm−1, indicating that the ester bond was aminated into hydrazide groups. Besides, the hydroxyl peaks at 1095 cm−1 and 1051 cm−1 were markedly enhanced, indicating that the degradation products containing hydroxyl groups were also formed after the ester bonds were cleaved off.
|
Download:
|
| Fig. 2. (a) FTIR spectra of D-MER and DEP. N 1s XPS spectra of (b) D-MER and (c) DEP. (d) Chemical structure and amination process of MER. | |
For the degradation system containing water, hydrolysis of ester bonds during the degradation is an inevitable problem. which complicates the composition of the degradation products and makes them difficult to recycle. However, for hydrazine hydrate degradation system, there were no carboxyl peaks observed in the spectrum of DEP, which suggested that only the amination reaction happened without hydrolysis in our reaction system. This is mainly ascribed to the higher reaction activity between hydrazine and ester bonds and the excessive amount of hydrazine added in the degradation system. The above results show that only the ester bonds are cleaved by the hydrazine hydrate catalytic system, and the new hydrazide and the hydroxyl groups in the products are ascribed to the amination of the ester bonds.
The above conclusions were further confirmed by XPS analysis (Figs. 2b and c). Compared to D-MER, the N 1s signal at 399.5 eV of DEP increased obviously and the nitrogen content increased from 4.4% to 23.6% (Figs. S3a and b in Supporting information), demonstrating that hydrazine hydrate degraded D-MER successfully and nitrogen element was introduced into the main chain structure. The specific types of nitrogen element were further analyzed as shown in Figs. 2b and c. There were two new peaks at the binding energy 400.5 eV and 399.2 eV appeared in Fig. 2c but absent in Fig. 2b, which were assigned to nitrogen of primary amine and amide of DEP [39,40], respectively. It suggested that degradation products containing hydrazide bonds were formed during the degradation, which was consistent with the results of FT-IR.
Moreover, the mass spectra of DEP indicated that the degradation products were only composed of two monomers rather than oligomers (Fig. S4 in Supporting information), which was benefit to the recycling of the products. The NMR spectra of separated DEP also proved the above conclusion (Fig. S5 in Supporting information).
According to the above analysis, the degradation mechanism of D-MER is proposed as shown in Fig. 2d, the ester bonds are cleaved into hydrazide and hydroxyl groups under the amination of hydrazine hydrate. The highlight of this degradation system is to greatly improve mass transfer, activity and selectivity of degradation reaction by DCM pretreatment and hydrazine hydrate, making it more efficient and energy-saving for the degradation of anhydride-cured epoxy.
In order to find out the reason for the efficient degradation of D-MER by hydrazine hydrate under mild conditions, we studied the degradation behavior of D-MER in hydrazine hydrate and established a kinetic model.
The degradation behavior of D-MER was characterized by placing the samples in hydrazine hydrate at 120 ℃ and monitoring their mass as a function of exposure time (Fig. S6 in Supporting information). Initially, D-MER exhibited a delay period during which mass loss did not commence after immersion in hydrazine hydrate. After this delay, mass loss occurred dramatically, then D-MER exhibited deceleration during the final stages of the degradation process. The degradation profile in hydrazine hydrate is thus consistent with a sigmoidal curve. This trend corresponds well with literature in which bulk erosion occurs [41]. During bulk erosion, aminolysis occurs throughout the entire specimen simultaneously and it takes some time for the solution to immerse into the polymer matrix, after which the polymer matrix degrades rapidly.
Few studies have examined models to predict the degradation behavior of cross-linked thermoset polymers. In our study, we evaluated solid-state kinetic models for predicting degradation behavior of D-MER in hydrazine hydrate. The mass remaining as a function of exposure time in hydrazine hydrate was consistent with a sigmoidal curve for D-MER (Fig. S6). We considered the use of various solid-state reaction models: reaction order models, diffusion-based models, nucleation-based models, and the contracting volume model, only the nucleation model was able to capture the sigmoidal behavior observed in Fig. S6, while other models provided a worse fit to the data (Fig. S7 and Table S2 in Supporting information). Therefore, we will focus our discussion on the application of the nucleation model to the degradation data (Supporting information).
The nucleation model captured the observed sigmoidal mass loss trend with three stages: (1) An initial time period of little mass loss as it takes time for hydrazine hydrate to penetrate into the matrix and prepare for forming nuclei of the new phase; (2) a time period of rapid mass loss (the nuclei of the new phase keep growing and consuming the old phase); (3) deceleration at the latest stages of degradation (only little remaining of the original phase) (Scheme 2). The above process is an appropriate description of the bulk erosion process of D-MER in hydrazine hydrate by the nucleation model.
|
Download:
|
| Scheme 2. Erosion mechanism of D-MER in the hydrazine hydrate system. | |
TEM was used to further confirm the bulk erosion mechanism of D-MER in hydrazine hydrate (Fig. 3). The neat D-MER had homogeneous and flat surface (Fig. 3a). As the degradation time increased, hydrazine hydrate eroded the outer surface of D-MER and gradually diffused into the interior of D-MER (Fig. 3b), with the progress of the degradation process, the interior of D-MER was eroded by hydrazine hydrate to form a pore structure (Fig. 3c), and hydrazine hydrate continued to erode outward taking the formed pores as the nuclei and broke down D-MER into smaller pieces (Fig. 3d), which was an indication of bulk erosion. Finally, D-MER was degraded from a solid into an oily substance (Figs. 3e and f). TEM analysis also confirmed that the degradation process completely followed the description of the nucleation model.
|
Download:
|
| Fig. 3. TEM images of solid epoxy resin residue (ERR) after soaking in hydrazine hydrate at 120 ℃ for (a) 0 min, (b) 10 min, (c) 20 min, (d) 30 min, (e) 40 min and (f) 50 min. | |
We noted that the mass loss rate was under-predicted at early times by the model in Fig. S6, which may be due to the presence of surface erosion, i.e., cleavage of ester groups at the surface when the epoxy resin was immersed into the solvent. SEM was used to further confirm that in addition to bulk erosion, surface erosion also played a role in the degradation of D-MER by hydrazine hydrate (Fig. 4). The neat D-MER had homogeneous and flat surfaces (Fig. 4a). As the degradation process progressed, the surface of D-MER became uneven due to the erosion of hydrazine hydrate (Fig. 4b). After 20 min in hydrazine hydrate, D-MER exhibited various-sized crevices in the surface (Fig. 4c). As the degradation time increased, the crevices on D-MER grew (Figs. 4d-f), an indication of surface erosion. The crevices on the surface of D-MER likely provided pathways for more regions of the sample to be exposed to hydrazine hydrate.
|
Download:
|
| Fig. 4. SEM images of ERR after soaking in hydrazine hydrate at 120 ℃ for (a) 0 min, (b) 10 min, (c) 20 min, (d) 30 min, (e) 40 min and (f) 50 min. | |
According to the above analysis, the synergistic effect of bulk erosion and surface erosion in the process of degradation realizes the efficient degradation of D-MER by hydrazine hydrate under mild conditions. The erosion mechanism provides a new way to realize the efficient degradation of other anhydride cured epoxy resins under mild conditions.
As DEP is soluble in water and contains many hydrazide and hydroxyl groups, it can be used as an epoxy curing agent in the field of waterborne epoxy coatings. In some recent reports, degradation products were reused as a reactive component to react with epoxy precursor along with additional curing agents [14]. In contrast, in our work, DEP can be directly mixed with epoxy precursor to obtain a new waterborne epoxy coating without the addition of other curing agents.
As shown in Fig. 5a, different amounts of DEP and waterborne epoxy precursor BS-2061 were mixed to prepare waterborne epoxy coatings (WEC). DSC and TGA were used to investigate the thermal stability of the resultant WEC. And the pencil hardness, adhesion and flexibility of WECs were tested. The relevant data are summarized in Table 1. With the increasing of the amount of DEP, the adhesion of WEC measured by cross hatch test kept at the same level, while the pencil hardness and flexibility decreased. However, the pencil hardness, adhesion and flexibility of WEC still maintained a high level (4H, level 1, 7.5 mm) in the sample of WEC (0.625/10) where the weight ratio of DEP to BS-2061 reached 6.25%. Good thermal stability was also observed since the initial decomposition temperature (Td5%) and Tg of WEC was above 280 ℃ and 110 ℃, respectively (Fig. 5 and Table 1). However, both Tg and Td5% of WEC can be declined with the increasing of the dosage of DEP. No epoxy group was residual in the sample of WEC (0.25/10) based on the FT-IR spectrum (Fig. S9 in Supporting information), which indicated that the curing active groups in DEP at the dosage of 0.25/10 was enough to make the epoxy group react completely. However, with the continuous increase of DEP dosage, excessive DEP reduced the crosslinking density of WEC, which causes the decrease of Tg and Td5% of the resultant coating. Anyway, the above comprehensive properties of waterborne epoxy coating can still meet the needs of some practical applications.
|
Download:
|
| Fig. 5. (a) Preparation process of waterborne epoxy coatings, (b) DSC curves and (c) TGA curves of the new waterborne epoxy coatings with different contents of DEP. | |
|
|
Table 1 Tg, pencil hardness, adhesion, flexibility and thermal stability of the WEC with different contents of DEP. |
In conclusion, we report a facile and efficient strategy for recycling anhydride-cured epoxy with hydrazine hydrate under mild conditions. The degradation mechanism of aminolysis of anhydride-cured epoxy with the aid of hydrazine hydrate is studied for the first time and a kinetic model is established to predict the actual degradation behavior of the system. As bulk erosion and surface erosion occur simultaneously in the process of degradation, the hydrazine hydrate degradation system has a high selectivity for cracking of ester bonds and can decompose the cured epoxy resin into monomers with reactive hydrazide groups and hydroxyl groups by the amination reaction under mild degradation conditions (120 ℃, 60 min). The final degradation products containing a large amount of hydrazide groups and hydroxyl groups can be directly used as curing agent for the preparation of new waterborne epoxy coatings, which show high pencil hardness, adhesion, flexibility and thermal stability. This work provides exciting new insight in the degradation and recycling of thermoset.
Declaration of competing interestThe authors declare no conflict of interest.
AcknowledgmentThis work is supported by the National Natural Science Foundation of China (Nos. 52073038 and 51873027), the Fundamental Research Funds for the Central Universities (Nos. DUT20TD114 and DUT22LAB605).
Supplementary materialsSupplementary material associated with this article can be found, in the online version, at doi:10.1016/j.cclet.2023.108465.
| [1] |
R. Geyer, J.R. Jambeck, K.L. Law, Sci. Adv. 3 (2017) e1700782. DOI:10.1126/sciadv.1700782 |
| [2] |
V. Tournier, C.M. Topham, A. Gilles, et al., Nature 580 (2020) 216-219. DOI:10.1038/s41586-020-2149-4 |
| [3] |
B.C. Gibb, Nat. Chem. 11 (2019) 394-395. DOI:10.1038/s41557-019-0260-7 |
| [4] |
P. Sahu, M.K. Gupta, Polym. Compos. 41 (2019) 668-681. DOI:10.1109/iccs45141.2019.9065857 |
| [5] |
X. Bao, F. Wu, J. Wang, Polymers 13 (2021) 1-16. |
| [6] |
C. Ma, D.S. Rodriguez, T. Kamo, J. Hazard. Mater. 412 (2021) 125329. DOI:10.1016/j.jhazmat.2021.125329 |
| [7] |
P. Espeel, F.E. Du Prez, Macromolecules 48 (2014) 2-14. |
| [8] |
Z. Miao, D. Yan, X. Wang, et al., Chin. Chem. Lett. 33 (2022) 4026-4032. DOI:10.1016/j.cclet.2021.12.003 |
| [9] |
X. Song, Z.P. Deng, C.B. Li, et al., Chin. Chem. Lett. 33 (2022) 4912-4917. DOI:10.1016/j.cclet.2021.12.067 |
| [10] |
K. Moeser, Adv. Mater. Res. 1018 (2014) 131-136. DOI:10.4028/www.scientific.net/AMR.1018.131 |
| [11] |
A. Saikia, N. Karak, Colloids Surf. A: Physicochem. Eng. Asp. 584 (2020) 124049. DOI:10.1016/j.colsurfa.2019.124049 |
| [12] |
N. Xu, B. Wang, Z. An, et al., Chem. Mater. 34 (2022) 4732-4740. DOI:10.1021/acs.chemmater.2c00728 |
| [13] |
Q. Zhao, L. An, C. Li, et al., Compos. Sci. Technol. 224 (2022) 109461. DOI:10.1016/j.compscitech.2022.109461 |
| [14] |
X. Zhao, X. Liu, K. Feng, et al., ChemSusChem 15 (2022) e202101607. DOI:10.1002/cssc.202101607 |
| [15] |
G. Oliveux, L.O. Dandy, G.A. Leeke, Prog. Mater. Sci. 72 (2015) 61-99. DOI:10.1016/j.pmatsci.2015.01.004 |
| [16] |
F.L. Jin, X. Li, S.J. Park, J. Ind. Eng. Chem. 29 (2015) 1-11. DOI:10.1016/j.jiec.2015.03.026 |
| [17] |
X.H. Shi, L. Chen, B.W. Liu, et al., Chin. J. Polym. Sci. 36 (2018) 1375-1384. DOI:10.1007/s10118-018-2164-1 |
| [18] |
T. Hanaoka, Y. Arao, Y. Kayaki, et al., ACS Sustain. Chem. Eng. 9 (2021) 12520-12529. DOI:10.1021/acssuschemeng.1c01737 |
| [19] |
V.D. Mai, S.R. Shin, D.S. Lee, et al., Polymers 11 (2019) 293. DOI:10.3390/polym11020293 |
| [20] |
Y. Liu, J. Liu, Z. Jiang, et al., Polym. Degrad. Stab. 97 (2012) 214-220. DOI:10.1016/j.polymdegradstab.2011.12.028 |
| [21] |
P. Yang, Q. Zhou, X.X. Yuan, et al., Polym. Degrad. Stab. 97 (2012) 1101-1106. DOI:10.1016/j.polymdegradstab.2012.04.007 |
| [22] |
M. Das, R. Chacko, S. Varughese, A.C.S. Sustain, Chem. Eng. 6 (2018) 1564-1571. DOI:10.1021/acssuschemeng.7b01456 |
| [23] |
D.H. Kim, M. Lee, M. Goh, A.C.S. Sustain, Chem. Eng. 8 (2019) 2433-2440. |
| [24] |
K. Li, L. Zhang, Z. Xu, J. Hazard. Mater. 374 (2019) 356-364. DOI:10.1016/j.jhazmat.2019.04.028 |
| [25] |
I. Okajima, T. Sako, Polym. Degrad. Stab. 163 (2019) 1-6. DOI:10.1016/j.polymdegradstab.2019.02.018 |
| [26] |
X. Kuang, E. Guo, K. Chen, et al., ACS Sustain. Chem. Eng. 7 (2019) 6880-6888. DOI:10.1021/acssuschemeng.8b06409 |
| [27] |
X. Kuang, Q. Shi, Y. Zhou, et al., RSC Adv. 8 (2018) 1493-1502. DOI:10.1039/C7RA12787A |
| [28] |
K. Huang, W. Yuan, Y. Yang, et al., Waste Manag. 123 (2021) 60-68. DOI:10.1016/j.wasman.2021.01.024 |
| [29] |
C.M. Hamel, X. Kuang, K. Chen, et al., Macromolecules 52 (2019) 3636-3645. DOI:10.1021/acs.macromol.9b00540 |
| [30] |
X. Shi, C. Luo, H. Lu, et al., Polym. Eng. Sci. 59 (2019) E111-E119. |
| [31] |
X. Zhao, X.L. Wang, F. Tian, et al., Green Chem. 21 (2019) 2487-2493. DOI:10.1039/c9gc00685k |
| [32] |
Y.N. Kim, Y.O. Kim, S.Y. Kim, et al., Compos. Sci. Technol. 173 (2019) 66-72. DOI:10.1016/j.compscitech.2019.01.026 |
| [33] |
H. Memon, H. Liu, M.A. Rashid, et al., Macromolecules 53 (2020) 621-630. DOI:10.1021/acs.macromol.9b02006 |
| [34] |
H. Memon, Y. Wei, L. Zhang, et al., Compos. Sci. Technol. 199 (2020) 108314. DOI:10.1016/j.compscitech.2020.108314 |
| [35] |
Q. Mu, L. An, Z. Hu, et al., Polym. Degrad. Stab. 199 (2022) 109895. DOI:10.1016/j.polymdegradstab.2022.109895 |
| [36] |
K.S.K. Reddy, W.J. Gao, C.H. Chen, et al., ACS Sustain. Chem. Eng. 9 (2021) 5304-5314. DOI:10.1021/acssuschemeng.0c08998 |
| [37] |
L. Zhang, J. Liu, W. Nie, et al., J. Mater. Cycles Waste Manag. 20 (2017) 568-577. DOI:10.1080/00222348.2017.1342971 |
| [38] |
W. Zhao, L. An, S. Wang, Polymers 13 (2021) 296. DOI:10.3390/polym13020296 |
| [39] |
A. Manakhov, J. Čechal, M. Michlíček, et al., Appl. Surf. Sci. 414 (2017) 390-397. DOI:10.1016/j.apsusc.2017.04.127 |
| [40] |
K. Pareek, Q. Zhang, R. Rohan, et al., Adv. Mater. Interfaces 1 (2014) 1400107. DOI:10.1002/admi.201400107 |
| [41] |
M. Shen, M.L. Robertson, ACS Sustain. Chem. Eng. 9 (2020) 438-447. |
2023, Vol. 34 

