b College of Physics, Jilin University, Changchun 130012, China;
c Institute of Theoretical Chemistry, College of Chemistry, Jilin University, Changchun 130023, China
The cooperative effect, as one of the most remarkable features of hydrogen bonds (H-bonds, referring to D-H···A), has always been the focus of researches [1-3]. However, how to obtain the mechanism of this effect is still a formidable challenge. Early, it was qualitatively postulated that in multiple H-bonded systems, one H-bond would be strengthened, following by the formation of neighboring H-bonds, which was further beneficial for accumulating larger clusters [4, 5]. Subsequently, the inter-enhancement of the multiple H-bonds in this effect was described in terms of frequency shift of infrared spectrum [6] and energy [7]. According to the positive (negative) difference in free energy change and the number of isolated molecules (monomers) in the studied systems, anti-cooperative, positive (negative) cooperative and non-cooperative effects were also proposed [8-10]. It was not until 1990s that the description of the cooperative effect gradually transferred to the structural changes, that is, as the cluster size increases, a systematic contraction of the intermolecular distance (D~A distance) is accompanied by the lengthening of D-H bond, and the shortening of H···A distance [11, 12]. Indeed, the important reason for noticing the structural changes underlying the cooperative effect is that it is related to many basic physical properties, such as site-specific reaction rates for chemical processes like acid dissociation [13], and vibrational spectrum of stretched D-H bond [6, 14]. Regardless, it is clear that associating cooperative effect with structural changes can lead to subsequent progress. With the development of studies at the atomic level, the understanding of H-bonding interactions has gradually transferred from molecules as basic structural unit to coupled D-H···A region [15-17]. Given that coupled D-H···A region can facilitate a deeper insight into many detectable properties, especially thermodynamic effects such as Debye temperatures [18], phase transition dynamics [19, 20], and thermal stability [21, 22], this brings the promise of a unified physical model for many phenomena and effects.
Coupled H-bonds have inspired more researches to focus on the properties of the D-H···A region [15-17, 23, 24]. In particular, the calculations using first-principles density functional theory (DFT) method exhibited that with contraction of the intermolecular D~A distance, the D-H bond length first elongates and then shortens, while H···A distance decreases [17], which is consistent with the results of early cooperative effect in the multiple H-bonded systems [11, 12]. It can be seen that controlling D~A distance has become an optional practical manipulation in underscoring the properties of coupled H-bonds. This raises a prospect of relying only on the intermolecular compression of coupled H-bonds in intermolecular H-bonded systems, rather than mutual enhancement of multiple H-bonds, to describe the cooperative effect [15, 17]. However, when this prospect is highlighted, the fundamental understanding for H-bonding interactions still lacks the comprehensive consideration on electron correlations. This is due to the fact that most studies of H-bonding interactions are based on the popular functionals of DFT method, but these functionals may cause potential problems in the practical calculations for describing electron correlations [25], especially in the study of intermolecular interactions. It was not until 2021, when the high-precision ab initio method was employed as the benchmark to test whether the cooperative effect could be characterized by intermolecular compression, the different conclusions were drawn in the study of water intermolecular interaction [26]. As the D~A (i.e., O~O) distance decreases, the O-H bond length always decreases without cooperative increasing [11, 12, 17], and the H···O distance decreases. The phenomenon is referred to as the uncooperative effect. Notably, experiments show that water dimer in vapor phase have a more durable lifetime without forming more large-size water clusters [27-29], which cannot be explained by the cooperative effect, but it seems to be in line with the uncooperative effect. Considering that both cooperative and uncooperative effects involve the essential understanding of H-bonding and even intermolecular interactions, it is urgent to form a clear grasp.
In this work, we use the well-accepted high-precision ab initio benchmark method, that is CCSD(T), to explore abundant ubiquitous H-bonded systems. The calculations show that in the intermolecular H-bonded systems with different D and A atoms (D ≠ A), the structural changes predicted by the cooperative effect are reproduced through intermolecular compression. On the contrary, in those systems with the same D and A (D = A), there is a failure to characterize the cooperative effect in terms of intermolecular compression. Meanwhile, if the viewpoint of intermolecular compression is still considered, it will reflect the uncooperative effect. Interestingly, through the statistics of these studied H-bonded systems, we found that the failure has boundaries, which can be determined by the core-valence bifurcation (CVB) index and binding energy of the equilibrium intermolecular H-bonded systems. And the discovery of the boundaries is also applicable to the non-H-bonded intermolecular systems. Our work not only reveals the limitations of characterizing cooperative effect in intermolecular H-bonded systems by intermolecular compression, but also provides an important perspective for understanding intermolecular interactions and its calculation methods in the future.
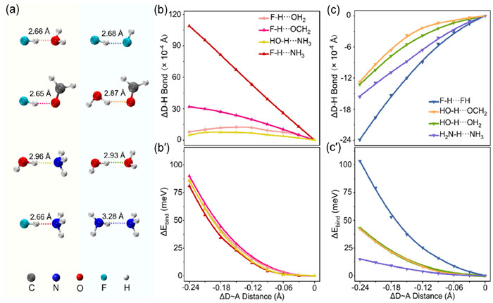
We first optimized a series of intermolecular H-bonded systems (Fig. 1). Those structures with different D and A atoms (D ≠ A) include F-H···OH2, F-H···OCH2, HO-H···NH3, and F-H···NH3, and others with the same D and A (D = A) include F-H···FH, HO-H···OCH2, HO-H···OH2 and H2N-H···NH3 in Parts 1 and 2 in Supporting information. The different D~A distances at the equilibrium position are taken as the zero point to further study the structures (Figs. 1b and c) and energies (Figs. 1bʹ and cʹ) during compression. Here, to make the results explicit, we focus mainly on the key representative variation of D~A distances ranging between 0 and −0.24 Å, whose more comprehensive contraction process (from 0 to −0.51 Å) is given in Part 3 of Supporting information. The calculations indicate that for the intermolecular H-bonded systems of D ≠ A, as the intermolecular distance is compressed, the D-H bond length initially lengthens and subsequently shortens, which reproduces the structural changes predicted by the common cooperative effect [17]. And when the D-H···A angle is enforced to remain unchanged, this initial lengthening and subsequent shortening predicted by the cooperative effect is also observed (Table S33 in Supporting information). However, in those systems of D = A, the D-H bond length decreases without increasing. This implies a failure to characterize the cooperative effect by intermolecular compression. Meanwhile, if still considering the viewpoint of intermolecular compression, it will manifest the uncooperative effect [26]. At this point, as the D~A distance gradually decreases by 0.24 Å, the D-H bond length elongates by a magnitude of 10−4 Å for the cooperative effect and shortens by a magnitude of 10−4 Å for the uncooperative effect. This subtle D-H bond length changes are consistent with longstanding cooperative effect in the multiple H-bonded systems [11, 12], which remains a necessity for investigating intermolecular H-bonded systems. Additionally, the binding energies of the two effects increase monotonically (see Part 4 in Supporting information for detail). Of particular note, the results imply that there it is failure to characterize the cooperative effect by intermolecular compression in intermolecular H-bonded systems. In the following, we will analyze their properties and look for reference laws to determine the failure essence. There are two non-negligible questions have attracted our attention: Why is the failure related to whether D and A are the same? Can we predict the properties of other intermolecular interaction systems?
|
Download:
|
| Fig. 1. The structures and contraction properties of intermolecular H-bonded systems. (a) The structures of H-bonded systems. Corresponding D~A distances are displayed. (b, bʹ) Changes in D-H bond lengths and binding energies as the D~A distance decreases in H-bonded systems with D ≠ A. With the contraction of the D~A distance, the D-H bond length first increases and then decreases, as shown in Part 3 in Supporting information. Here, the D~A distances ranging between 0 and −0.24 Å are highlighted. (c, cʹ) Changes in D-H bond lengths and binding energies as the D~A distance decreases in H-bonded systems with D = A. | |
To explore these questions, the CVB index and binding energy of equilibrium structures were analysed. As is clear in Fig. 2a and Part 5 (Supporting information), compared to the D = A systems, D ≠ A systems have a more negative CVB index and higher released binding energies. Taking F-H···NH3 as an example, it has the most negative CVB index and highest released binding energy, thereby giving rise to the strongest H-bond within the studied structures. Specifically, the failure boundary can be determined, i.e., the cooperative H-bonded systems release stronger binding energies (> 0.25 eV) and have a smaller CVB index (< 0.022). By incorporating all data points into the same figure, the horizontal coordinate axis x denotes the binding energy, and the vertical coordinate axis y represents the CVB index. We found that these points can be fitted linearly as y = ax + b (Fig. 2c), where a = −0.19 and b = 0.07, manifesting the inverse relationship between the CVB index and binding energy. It has been pointed out that the linearity is by no accident. The reason is that the CVB index also directly contains information on the H-bond strength [30, 31]. A smaller CVB index corresponds to more released binding energies, which also stands for a stronger H-bond [32]. The above results suggest that H-bonded systems (D ≠ A) that reproduce the structural changes predicted by the cooperative effect perform stronger H-bonds, while uncooperative systems (D = A) that exhibit the failure have weaker H-bonds.
|
Download:
|
| Fig. 2. The core-valence bifurcation (CVB) index and binding energies of equilibrium structures. (a) The CVB index and binding energies of H-bonded systems. (b) The CVB index and binding energies of non-H-bonded systems. Between them, the CVB index, corresponding to the bar, is marked on the left vertical axis, and the binding energy, corresponding to the scatter, is marked on the right vertical axis. The blue dotted line indicates that the binding energy of HO-H···OCH2 is 0.25 eV, and the green dotted line denotes that the CVB index of H2N-H···NH3 is 0.022. (c) Relationship between binding energy and CVB index and corresponding linear fitting formula. The coefficient a, constant b and goodness R2 of fit are −0.19, 0.07 and 0.92 for our simulations, respectively. The values 0.25 eV and 0.022 denote the boundary of cooperative and uncooperative effects. The light yellow and blue areas in the figure represent cooperative and uncooperative effects, respectively. | |
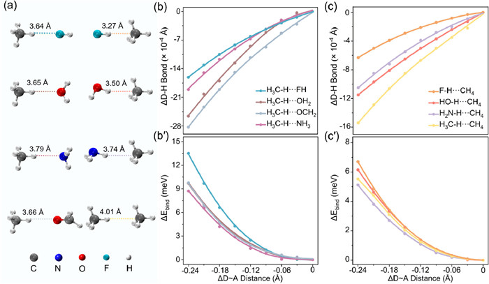
Generally speaking, intermolecular non-H-bonding interactions release lower binding energies. The intermolecular interactions can be regarded as different levels of electron correlations [33, 34]. Based on above discovery of failure boundary, it can be reasonably speculated that the inter-molecular non-H-bonded systems here would exhibit the uncooperative effect. As a result, equilibrium intermolecular non-H-bonded systems were also investigated. In comparison with intermolecular H-bonded systems, these typical intermolecular non-H-bonded systems, including H3C-H···FH, H3C-H···OH2, H3C-H···OCH2, H3C-H···NH3, F-H···CH4, HO-H···CH4, H2N-H···CH4 and H3C-H···CH4, have significantly a higher CVB index and release lower binding energy (Fig. 2b), which indeed means weaker intermolecular interactions.
Next, the intermolecular non-H-bonded systems are compressed to confirm whether they have the uncooperative effect and whether they conform to our general judgement. Hence, the structures and energies of all these intermolecular non-H-bonded systems during compression were studied. In Fig. 3, the calculations clearly demonstrate that these intermolecular non-H-bonded systems conform to the uncooperative effect. Specifically, as the D~A distance gradually decreases by 0.24 Å, the D-H bond length decreases by a magnitude of 10−4 Å. In addition, prior studies on the intermolecular non-H-bonded systems exhibited the contraction of D-H bond and blue-shifted stretching frequency relative to those in a free D-H molecule, which was referred to as "improper, blue-shifting" H-bonds by Hobza and Havlas [35]. Recently, the intermolecular compression has also used to explore several representative F3CH···Y (Y = H2O, NH3, Cl−) [36], in agreement with here the uncooperative effect [26] using CCSD(T) method, thus further testifying the reliability of our conclusions. Comparing the D-H bond lengths in the systems that exhibit cooperative and uncooperative effects, the former increases by 10−4 Å magnitude, and the latter decreases by a magnitude of 10−4 Å. These results further show that the two effects are related to the H-bond strength. Their intermolecular interaction properties can be predicted simply by analysing the corresponding equilibrium structures.
|
Download:
|
| Fig. 3. The structures and contraction properties of typical non-H-bonded systems. (a) The structures of non-H-bonded systems. Corresponding D~A distances are shown. (b, bʹ) Changes in the D-H bond lengths and the binding energies in the non-H-bonded systems with C as the donor. (c, cʹ) Changes in the D-H bond lengths and binding energies in the non-H-bonded systems with C as the acceptor. | |
Based on the above, as a direct characterization of the intermolecular interaction strength, the energy is the key to exploiting the failure mechanism to characterize the cooperative effect by intermolecular compression. Therefore, as a supplement, using the energy decomposition analysis (EDA) method, we further analysed the components of interaction energy in all intermolecular interaction systems of this work. In EDA, the total interaction Eint can be explicitly decomposed into four parts, namely, the exchange repulsion Eex, electrostatic Eelec, induced Eind and dispersion Edisp interactions, and the details are shown in Part 6 in Supporting informatinon. The latter three terms and their percentage contributions to the total attractive interaction Eattr are displayed in Figs. 4a-c and aʹ-cʹ, respectively. For uncooperative systems, the four components all exhibit slightly smaller interaction energies than those for cooperative systems. The weaker interaction stands for a weaker H-bond. In other words, the uncooperative systems can form and maintain durably intermolecular H-bonded systems, which is in reasonable accordance with the aforementioned reference laws and past experimental observations on stable existence water dimer in the vapor phase [27-29]. The interaction energy values of two effects have apparent boundaries. However, the boundary disappears regarding the percentage of the Eelec. Meanwhile, the Eex of cooperative systems is greater, which violates cooperative attractive character [37]. Therefore, Eelec and Eex are perhaps not the real reason for the two effects. The Eind and Edisp need to be further discussed.
|
Download:
|
| Fig. 4. Energy decomposition analysis during the contraction of different systems. (a-c) Changes in the electrostatic Eelec, induced Eind and dispersion Edisp interaction energy as the D~A distance decreases, respectively. (aʹ-cʹ) Changes in the percentage contributions of Eelec, Eind and Edisp to attractive interaction Eattr as the D~A distance decreases, respectively. The black solid lines represent H-bonded systems with D ≠ A. The red dashed and solid lines represent H-bonded systems with D = A and non-H-bonded systems, respectively. | |
The Eind and Edisp interaction terms were further analysed, as epitomized in Figs. 4bʹ and cʹ. The cooperative systems show a greater Eind percentage than uncooperative systems. The general phenomena of Eind ensure that cooperative systems display more attractive interaction [37]. As a matter of fact, Eind accounts for charge transfer and polarization [38], and takes advantage in the stability of systems [39]. And due to the fact that the intermolecular H-bonded systems with D ≠ A also exhibit stronger charge transfer than those of D = A in other studies [40], i.e., Eind, thereby perhaps providing a possible explanation from the perspective of interaction mechanism. That is, those systems with D ≠ A exhibit structural changes predicted by the cooperative effect, while the uncooperative effect is found in those H-bonded systems with D = A. Again, the SAPT method corrects high-order Eind and coupling between Eind and Edisp to further ensure the reliability of our conclusions. Further, we also study HO-H···OH2 and F-H···OH2 when D~A distance is constrained at a specific decreased value and simultaneously D-H bond length relative to the equilibrium position is stepwise stretched and contracted reversely (see Part 7 in Supporting information for detail). The results show that the induced interaction still plays a unique role. Considering that recent experimental observations have demonstrated that the unexpected strong charge-transfer interactions arose from interfacial H-bonds of C-H···O type [41], where the charge-transfer interactions are included in the Eind, thus complex interaction systems such as interfacial systems perhaps present the uncooperative effect. These findings lead us to conclude that the Eind has significant implications for the failure of the prospect.
In addition, we also want to point out again that, as described in the development process introduced in the introduction, this work has a clear significance because intermolecular compression has been used to characterize the cooperative effect of H-bonds. The purpose of this paper is not to deny the cooperative effect, but to find the failure boundary of cooperative effect characterized by intermolecular compression in H-bonds. In other words, the cooperative effect should be characterized by the mutual enhancement of multiple H-bonds. Therefore, it will have important reference value for the future related research.
In summary, our work provides a failure boundary for characterizing cooperative effect of hydrogen bonds by intermolecular compression. The high-precision ab initio calculations show that the intermolecular H-bonded systems with different D and A atoms (D ≠ A) reproduce the structural changes predicted by well-known cooperative effect through intermolecular compression. By comparison, there is a failure to characterize the cooperative effect by intermolecular compression when D and A are the same (D = A). And if the intermolecular compression is still considered, the uncooperative effect should be proposed. Further analysis suggests that the boundary of the failure can be quantitatively distinguished by the binding energy and CVB index. Accordingly, considering that the intermolecular interaction in the general non-H-bonded interaction systems is weaker, we predict that these systems reflect uncooperative characteristics, and confirm this conclusion by high-precision ab initio calculations. Despite our work focused on intermolecular H-bonding interactions, it will once again draw attention to the cooperative effect in complex multiple H-bonded systems. These findings will provide an essential reference for the future study of more complex intermolecular interactions and its calculation methods.
Declaration of competing interestThe authors declare that they have no known competing financial interests or personal relationships that could have appeared to influence the work reported in this paper.
AcknowledgmentsThis work was supported by the 2020-JCJQ Project (No. GFJQ2126–007) and National Natural Science Foundation of China (No. 11974136). Z. Wang also acknowledges the assistance of the High-Performance Computing Center of Jilin University and National Supercomputing Center in Shanghai.
Supplementary materialsSupplementary material associated with this article can be found, in the online version, at doi:10.1016/j.cclet.2022.107857.
| [1] |
J. Cruzan, L. Braly, K. Liu, et al., Science 271 (1996) 59-62. DOI:10.1126/science.271.5245.59 |
| [2] |
P. Barnes, J. Finney, J. Nicholas, J. Quinn, Nature 282 (1979) 459-464. DOI:10.1038/282459a0 |
| [3] |
J.G. Davis, B.M. Rankin, K.P. Gierszal, D. Ben-Amotz, Nat. Chem. 5 (2013) 796-802. DOI:10.1038/nchem.1716 |
| [4] |
H.S. Frank, W.Y. Wen, Discuss. Faraday Soc. 24 (1957) 133-140. DOI:10.1039/df9572400133 |
| [5] |
H. Frank, Proc. Roy. Soc. Lond. A Mat. 247 (1958) 481-492. DOI:10.1098/rspa.1958.0206 |
| [6] |
B.F. King, F. Weinhold, J. Chem. Phys. 103 (1995) 333-347. DOI:10.1063/1.469645 |
| [7] |
L. Curtiss, M. Blander, Chem. Rev. 88 (1988) 827-841. DOI:10.1021/cr00088a002 |
| [8] |
J.M. Stubbs, J.I. Siepmann, J. Am. Chem. Soc. 127 (2005) 4722-4729. DOI:10.1021/ja044380q |
| [9] |
J. Oktawiec, H.Z. Jiang, J.G. Vitillo, et al., Nat. Commun. 11 (2020) 1-11. DOI:10.1038/s41467-019-13993-7 |
| [10] |
M. Huš, T. Urbic, J. Chem. Phys. 136 (2012) 271-286. |
| [11] |
S.S. Xantheas, T.H. Dunning Jr, J. Chem. Phys. 99 (1993) 8774-8792. DOI:10.1063/1.465599 |
| [12] |
M. Benoit, D. Marx, M. Parrinello, Nature 392 (1998) 258-261. DOI:10.1038/32609 |
| [13] |
J.L. Kuo, M.L. Klein, J. Chem. Phys. 120 (2004) 4690-4695. DOI:10.1063/1.1644793 |
| [14] |
B. Auer, R. Kumar, J. Schmidt, J. Skinner, Proc. Nat. Acad. Sci. U. S. A. 104 (2007) 14215-14220. DOI:10.1073/pnas.0701482104 |
| [15] |
Y. Huang, X. Zhang, Z. Ma, et al., Coord. Chem. Rev. 285 (2015) 109-165. DOI:10.1016/j.ccr.2014.10.003 |
| [16] |
F. Li, Y. Liu, L. Wang, J. Zhao, Z. Chen, Theor. Chem. Acc. 131 (2012) 1-7. DOI:10.1007/s00214-012-1163-5 |
| [17] |
C.Q. Sun, Y. Sun, Springer Series Chem. Phys. 13 (2016) 365-368. DOI:10.5954/icarob.2016.os5-3 |
| [18] |
G. Johari, O. Kalinovskaya, J. Vij, J. Chem. Phys. 114 (2001) 4634-4642. DOI:10.1063/1.1346635 |
| [19] |
J. Peng, D. Cao, Z. He, et al., Nature 557 (2018) 701-705. DOI:10.1038/s41586-018-0122-2 |
| [20] |
B.D. Liang, T. Jin, L.P. Miao, et al., Chin. Chem. Lett. 33 (2022) 1422-1424. DOI:10.1016/j.cclet.2021.08.032 |
| [21] |
S. Liu, T. Yan, Q. Wu, Z. Xu, J. Han, Chin. Chem. Lett. 33 (2022) 239-242. DOI:10.3390/land11020239 |
| [22] |
X.W. Liu, X.Y. Cui, X.M. Yu, et al., Chin. Chem. Lett. 28 (2017) 1447-1452. DOI:10.1016/j.cclet.2017.03.021 |
| [23] |
B. Dereka, Q. Yu, N.H. Lewis, et al., Science 371 (2021) 160-164. DOI:10.1126/science.abe1951 |
| [24] |
Z. Zhang, D. Li, W. Jiang, Z. Wang, Adv. Phys. X 3 (2018) 1428915. DOI:10.1080/23746149.2018.1428915 |
| [25] |
S. Grimme, Org. Lett. 12 (2010) 4670-4673. DOI:10.1021/ol1016417 |
| [26] |
D. Li, Z. Zhang, W. Jiang, et al., Chin. Phys. Lett. 38 (2021) 013101. DOI:10.1088/0256-307x/38/1/013101 |
| [27] |
J. Harries, W. Burroughs, H. Gebbie, J. Quan. Spectrosc. Ra. 9 (1969) 799-807. DOI:10.1016/0022-4073(69)90076-4 |
| [28] |
A. Luzar, D. Chandler, Nature 379 (1996) 55-57. DOI:10.1038/379055a0 |
| [29] |
W. Chao, J.T. Hsieh, C.H. Chang, J.J.M. Lin, Science 347 (2015) 751-754. DOI:10.1126/science.1261549 |
| [30] |
S. Emamian, T. Lu, H. Kruse, H. Emamian, J. Comput. Chem. 40 (2019) 2868-2881. DOI:10.1002/jcc.26068 |
| [31] |
X.Z. Li, B. Walker, A. Michaelides, Proc. Nat. Acad. Sci. U. S. A. 108 (2011) 6369-6373. DOI:10.1073/pnas.1016653108 |
| [32] |
S.J. Grabowski, Chem. Rev. 111 (2011) 2597-2625. DOI:10.1021/cr800346f |
| [33] |
A. Altun, F. Neese, G. Bistoni, J. Chem. Theory Comput. 15 (2018) 215-228. |
| [34] |
L. Zhao, M. Hermann, W. Schwarz, G. Frenking, Nat. Rev. Chem. 3 (2019) 48-63. DOI:10.1038/s41570-018-0060-4 |
| [35] |
P. Hobza, Z. Havlas, Chem. Rev. 100 (2000) 4253-4264. DOI:10.1021/cr990050q |
| [36] |
Y. Mao, M. Head-Gordon, J. Phys. Chem. Lett. 10 (2019) 3899-3905. DOI:10.1021/acs.jpclett.9b01203 |
| [37] |
J.M. Guevara-Vela, R. Chávez-Calvillo, M. García-Revilla, et al., Chem. Eur. J. 19 (2013) 14304-14315. DOI:10.1002/chem.201300656 |
| [38] |
M.P. Mitoraj, A. Michalak, T. Ziegler, J. Chem. Theory Comput. 5 (2009) 962-975. DOI:10.1021/ct800503d |
| [39] |
C.A. Morgado, P. Jurecka, D. Svozil, P. Hobza, J. Sponer, J. Chem. Theory Comput. 5 (2009) 1524-1544. DOI:10.1021/ct9000125 |
| [40] |
R.L. Zhong, H.L. Xu, Z.R. Li, J. Chem. Phys. 145 (2016) 054304. DOI:10.1063/1.4960340 |
| [41] |
S. Pullanchery, S. Kulik, B. Rehl, A. Hassanali, S. Roke, Science 374 (2021) 1366-1370. DOI:10.1126/science.abj3007 |
2023, Vol. 34 

