b School of Chemistry and Chemical Engineering, Shandong University, Ji'nan 250100, China
Bicyclic γ-butyrolactone compounds with multiple chiral centres are key structural motifs of a variety of biologically active terpenoids and drug molecules, as well as important intermediates in the synthesis of complex natural products [1-5]. Representative examples such as Podophyllotoxin [6-11], Vorapaxar [12-15], Sempervivum lactone [16] and Gracilin A (Fig. 1) [17-19]. Podophyllotoxin, a naturally occurring aryltetralin cyclolignan, belongs to a family of important products that exhibit various biological properties (e.g., cytotoxic, insecticidal, antifungal, antiviral, anti-inflammatory, neurotoxic, immunosuppressive, antirheumatic, antioxidative, antispasmogenic, and hypolipidemic activities) [20]. Podophyllotoxin tinctureis commonly used as a first-line agent for the treatment of condyloma acuminatum [21,22]. The two main semi-synthesized podophyllotoxin-derivatives, namely, etoposide [23-26], teniposide [27-29], were used in frontline cancer therapy against various cancer as topoisomerase Ⅱ inhibitors [30-32]. Vorapaxar is a first-in-class, potent and orally-active protease-activated receptor 1 (PAR-1) antagonist that used for patients with heart attack or arterial blockage to reduce the risk of death such as cardiovascular disease and stroke [33,34]. Originally isolated and characterized from the Mediterranean sponge Spongionella gracilis1e, Gracilin A, was shown to have antioxidant [35] or neuroprotective [36] properties. There are many natural products of bicyclic γ-butyrolactone showing diverse structural features and interesting biological activities [37,38].
|
Download:
|
| Fig. 1. Representative bicyclic γ-butyrolactones. | |
Currently, multiple strategies of merging five-membered rings with six-membered rings have been developed for the synthesis of chiral bicyclic γ-butyrolactones, including enzymes catalysts [39,40], oxidation catalysis by chiral metal complexes [41-47], organocatalyzed electrooxidation [48,49], etc. [3,50-56]. The enzymatic catalysis of the stereotactic transformations of meso-compounds into chiral synthons has long been reported, with horse liver alcohol dehydrogenase (HLADH) and pig liver esterase (PLE) proving particularly valuable in this regard (Scheme 1a) [39,40]. Metal oxidation systems involve the use of a metal mediator, especially for the noble metal catalyst, such as the Rh, Ru, Ir and Pt complex (Scheme 1b) [41-47]. A water-soluble artificial xanthine organocatalyst with an oxidation cofactor regeneration system was reported for the synthesis of target compounds in high yields with high er values (Scheme 1c) [48,49]. Despite formidable advances have been achieved for the synthesis of chiral bicyclic γ-butyrolactones, all of them used pre-assembled chiral substrates to construct the skeleton of this class of compounds, which has the disadvantages of high cost and numerous steps, and cannot be used to rapidly construct chiral bicyclic γ-butyrolactones in a single step reaction. Inspired by recently reported organocatalyst promoted asymmetric synthesis [57-75], we envisioned that a suitable organocatalyst could be employed successfully in the asymmetric cascade Michael reaction and cyclization of α, β-unsaturated ketones with furanones, but it remains to be disclosed. Herein, we report the establishment of an organo-catalyzed asymmetric reaction of furanones with α, β-unsaturated ketones (Scheme 1d). Notable features of our study include: (1) the first example of organo-catalyzed asymmetric Michael addition/cyclization reaction of furanone with α, β-unsaturated ketones; (2) the protocol provides an efficient method to approach diverse chiral bicyclic γ-butyrolactones in good yields, enantioselectivities and diastereoselectivities.
|
Download:
|
| Scheme 1. Synthesis of chiral bicyclic γ-butyrolactones. | |
Initially, model reaction by condensation of γ-bis-methyl-α-ethylfuranone 1a and benzal acetone 2a was used to optimize the reaction condition. The corresponding results are shown in Table 1. We firstly investigated the activity of catalysts Ⅰ-Ⅸ, a range of chiral primary amine catalysts. We envisaged that a catalyst with neighboring bulky substituents of the primary amine group could improve the enantioselectivity. Therefore, the (1S, 2S)-cyclohexane-1,2-diamine Ⅰ was chosen as the catalytic backbone, which is readily available from cheap amino acids, and the tert‑butyl group was introduced into the catalyst backbone to investigate the effect of secondary and tertiary amines on enantioselectivity and product yield (Table 1, entries 1–9). Unfortunately, changing the substituent groups at the R1 and R2 positions of catalyst Ⅱ and Ⅲ, which with a tert‑butyl group at the R3 position, did not improve the enantioselectivity (Table 1, entries 2 and 3). Moreover, the catalysts Ⅳ, Ⅴ, Ⅵ and Ⅶ with different substituents also failed to increase the efficiency (Table 1, entries 4–7). To our delight, the use of (1R, 2R)−1,2-diphenylethane-1,2-diamine Ⅷ as catalyst resulting in good yield, enantioselectivity and diastereoselectivity (Table 1, entry 8). Next, the tridentate N3-catalyst Ⅸ provided ineffective (Table 1, entry 9). Subsequently, we optimized the reaction by using various additives in the presence of catalyst Ⅷ and found that both weak acid additives AcOH and PhCO2H and stronger acid CF3CO2H and p-TsOH gave lower enantioselectivity and yields than N-Boc-L-Phg (Table 1, entries 10–13). Further screening of the solvent indicated that iPrOH is better than DMSO, PhMe, MeOH, EtOH, and THF (Table 1, entries 14–18). Finally, control experiments demonstrated that the organo-catalyst and acid additive are both essential for the success of this transformation (Table 1, entries 19 and 20).
|
|
Table 1 Optimization of reaction conditions.a |
With the optimal conditions in hand, structural diversity of α, β-unsaturated ketones were then examined. As demonstrated in Scheme 2, a wide range of aryl α, β-unsaturated ketones substituted with either electron-withdrawing and electron-donating group on the aromatic ring and heteroaromatic α, β-unsaturated ketones were found to be well tolerated in this transformation. For example, the α, β-unsaturated ketones holding electron-releasing substituents, such as alkyl, amine and ether, smoothly reacted with furanone 1a, affording 3ab-3af in excellent yields with good to excellent diastereo- and enantioselectivity. Electron-deficient α, β-unsaturated ketones containing halide, nitro, cyano, trifluoromethyl and ester functional groups were all successfully applied in this approach (3ag-3ar). With the variation of the steric effect at the phenyl ring, the stereoselectivities remained excellent (3as-3aw). The dr values of products 3aj and 3ar were 4.6:1 and 3:1 when the aryl possessed the 4-nitro and 3-nitro groups substituent, respectively. Noteworthy, the heterocyclic unsaturated ketones also proceeded smoothly with good to excellent enantioselectivities (3ax-3ab'). Alkyl substituted α, β-unsaturated ketones were not suitable in this transformation resulting in low yields. Furthermore, the α-methyl ester substituted furanone was applicable to this asymmetric synthesis, affording the corresponding product 3bd. The cyclohexyl substituted at the γ-position of furanone also worked well to yield the product 3cd. In addition, the optimized conditions were applied in a scale up process (10 mmol) in which the chemical and optical yields were sustained well. It should be noted that the ee value could be easily improved to 99% after recrystallization (Eq. 1).
|
(1) |
|
Download:
|
| Scheme 2. Scope of various α, β-unsaturated ketones and γ-butenolides. | |
The absolute configuration was unambiguously confirmed by the X-ray structures of 3ae and 3ay. The lactone and six-ring were syn-ring fused bicylic butrolactone (Fig. 2). In order to investigate the further transformation of obtained chiral bicyclic γ-butyrolactones, 3aa was decarboxylated under certain conditions to obtain 4aa. Moreover, product 3aa was reduced to alcohol 5aa by NaBH4 in methanol (Scheme 3).
|
Download:
|
| Fig. 2. X-ray structures of 3ae (left, CCDC: 2111451) and 3ay (right, CCDC: 2111452). | |
|
Download:
|
| Scheme 3. Further transformation. | |
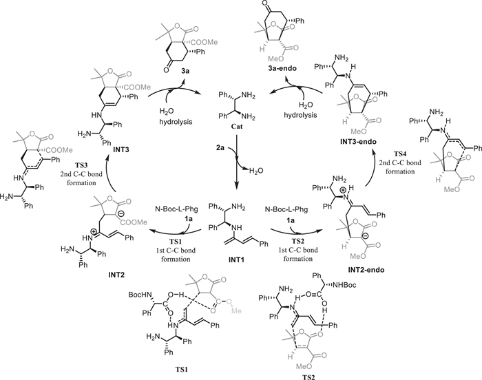
As shown in Scheme 4, a mechanism including two Michael addition reactions catalyzed by Cat was proposed using 1a and 2a. Cat can react with 2a leading to the active enamine intermediate INT1 catalyzed by weak acid [76]. Subsequently, INT1 attacks 1a from the Re-face through TS1 or TS2 under the concerted catalysis of N-Boc-L-Phg to form the first C–C bond leading to the zwitterionic intermediate INT2 or INT2-endo, which determines the stereoselectivity of this reaction. The π-π stacking interaction between N-Boc-L-Phg and Cat or substrate is important to get good stereoselectivity in this reaction, which should be further specified in future. The second C–C bond formation was limited by the first C–C bond. The second C–C bond was formed through TS3 or TS4 to yield INT3 or INT3-endo. Hydrolysis of INT3 or INT3-endo leads to 3aa or 3aa-endo and Cat was regenerated.
|
Download:
|
| Scheme 4. Proposed reaction mechanism. | |
In conclusion, we demonstrated the asymmetric construction of bicyclic γ-butyrolactones from the one-step reaction of furanone with α, β-unsaturated ketones in the catalytic system of chiral 1,2-diphenylethylenediamine and N-Boc-L-Phg. This is the first asymmetric cascade Michael addition/cyclization reaction of furanone with α, β-unsaturated ketones, providing bicyclic γ-butyrolactones in good yields, as well as high enantioselectivities and diastereoselectivities (up to 98% ee and > 20:1 dr).
Declaration of competing interestThe authors declare that they have no known competing financial interests or personal relationships that could have appeared to influence the work reported in this paper.
AcknowledgmentsWe thank National Natural Science Foundation of China (Nos. 21877005, 21907059, 22001147), Taishan Scholars Project of Shandong Province (No. tsqn202103027), Distinguished Young Scholars of Shandong Province (Overseas) (No. 2022HWYQ-001), Academic Promotion Programme of Shandong First Medical University (No. 2019LJ003), and Natural Science Foundation of Shandong Province (No. ZR2021MB102) for financial support.
Supplementary materialsSupplementary material associated with this article can be found, in the online version, at doi:10.1016/j.cclet.2022.108121.
| [1] |
M.E. Abbasov, R. Alvarino, C.M. Chaheine, et al., Nat. Chem. 11 (2019) 342-350. DOI:10.1038/s41557-019-0230-0 |
| [2] |
K.S. McClymont, F.Y. Wang, A. Minakar, et al., J. Am. Chem. Soc. 142 (2020) 8608-8613. DOI:10.1021/jacs.0c03202 |
| [3] |
Y. Nassar, O. Piva, Org. Biomol. Chem. 18 (2020) 5811-5815. DOI:10.1039/d0ob01169j |
| [4] |
J. Tong, T. Xia, B. Wang, Org. Lett. 22 (2020) 2730-2734. DOI:10.1021/acs.orglett.0c00689 |
| [5] |
M.E. Rateb, W.E. Houssen, M. Schumacher, et al., J. Nat. Prod. 72 (2009) 1471-1476. DOI:10.1021/np900233c |
| [6] |
J.Q. Xiao, M.X. Gao, Z. Sun, et al., Eur. J. Med. Chem. 208 (2020) 112830. DOI:10.1016/j.ejmech.2020.112830 |
| [7] |
X. Yu, Z.P. Che, H. Xu, Chem. Eur. J. 23 (2017) 4467-4526. DOI:10.1002/chem.201602472 |
| [8] |
H.Y. Fan, Z.L. Zhu, H.C. Xian, et al., Front. Cell. Dev. Biol. 9 (2021) 709075. DOI:10.3389/fcell.2021.709075 |
| [9] |
A. Kamal, S.M. Hussaini, A. Rahim, et al., Expert Opin. Ther. Pat. 25 (2015) 1025-1034. DOI:10.1517/13543776.2015.1051727 |
| [10] |
Y.Q. Liu, J. Tian, K. Qian, et al., Med. Res. Rev. 35 (2015) 1-62. DOI:10.1002/med.21319 |
| [11] |
A. Kumari, D. Singh, S. Kumar, Crit. Rev. Biotechnol. 37 (2017) 739-753. DOI:10.1080/07388551.2016.1228597 |
| [12] |
M.V. Chelliah, S. Chackalamannil, Y. Xia, et al., J. Med. Chem. 50 (2007) 5147-5160. DOI:10.1021/jm070704k |
| [13] |
V.L. Serebruany, M.H. Kim, S.D. Fortmann, et al., Expert. Rev. Neurother. 15 (2015) 1377-1382. DOI:10.1586/14737175.2015.1111761 |
| [14] |
P. Tricoci, Z. Huang, C. Held, et al., N. Engl. J. Med. 366 (2012) 20-33. DOI:10.1056/NEJMoa1109719 |
| [15] |
D.A. Morrow, E. Braunwald, M.P. Bonaca, et al., N. Engl. J. Med. 15 (2012) 1404-1413. DOI:10.1056/NEJMoa1200933 |
| [16] |
L. Yang, L.R. Qiao, C.X. Ji, et al., J. Nat. Prod. 76 (2013) 216-222. DOI:10.1021/np3006925 |
| [17] |
L. Mayola, V. Piccialli, D. Sica, Tetrahedron Lett. 26 (1985) 1357-1360. DOI:10.1016/S0040-4039(00)94893-7 |
| [18] |
M. Leiros, E. Alonso, M.E. Rateb, et al., Neuropharmacology 93 (2015) 285-293. DOI:10.1016/j.neuropharm.2015.02.015 |
| [19] |
S. Gegunde, A. Alfonso, E. Alonso, et al., Cell. Mol. Neurobiol. 40 (2020) 603-615. DOI:10.1007/s10571-019-00758-5 |
| [20] |
R.J. Shi, H.Y. Fan, X.H. Yu, et al., Biochem. Pharmacol. 200 (2022) 115039. DOI:10.1016/j.bcp.2022.115039 |
| [21] |
Y. Gao, K. Han, Q. Wang, et al., Mol. Med. Rep. 17 (2018) 6506-6514. |
| [22] |
M. Gordaliza, P.A. Garcia, J.M. del Corral, et al., Toxicon 44 (2004) 441-459. DOI:10.1016/j.toxicon.2004.05.008 |
| [23] |
I.A. Najar, R.K. Johri, J. Biosci. 39 (2014) 139-144. DOI:10.1007/s12038-013-9399-3 |
| [24] |
S. Ezoe, Int. J. Environ. Res. Public. Health. 9 (2012) 2444-2453. DOI:10.3390/ijerph9072444 |
| [25] |
C.C. Wu, T.K. Li, L. Farh, et al., Science 333 (2011) 459-462. DOI:10.1126/science.1204117 |
| [26] |
W. Lau, E.S. Sattely, Science 349 (2015) 1224-1228. DOI:10.1126/science.aac7202 |
| [27] |
M. Yusenko, A. Jakobs, K.H. Klempnauer, Sci. Rep. 8 (2018) 13159. DOI:10.1038/s41598-018-31620-1 |
| [28] |
J.J. Yan, J.X. Sun, Z.Y. Zeng, Inflammopharmacology 26 (2018) 395-402. DOI:10.1007/s10787-017-0388-2 |
| [29] |
F. Mack, N. Schafer, S. Kebir, et al., Oncology 86 (2014) 369-372. DOI:10.1159/000360295 |
| [30] |
W. Zhao, Y. Cong, H.M. Li, et al., Nat. Prod. Rep. 38 (2021) 470-488. DOI:10.1039/d0np00041h |
| [31] |
M. Kluska, K. Wozniak, Int. J. Mol. Sci. 22 (2021) 6602. DOI:10.3390/ijms22126602 |
| [32] |
S.Y. Shen, Y.R. Tong, Y.F. Luo, et al., Nat. Prod. Rep. 39 (2022) 1856-1875. DOI:10.1039/d2np00028h |
| [33] |
J.E. Frampton, Drugs 75 (2015) 797-808. DOI:10.1007/s40265-015-0387-9 |
| [34] |
W. Liu, X. Fu, Y.F. Liu, et al., Mater. Sci. Eng. C 118 (2021) 111508. DOI:10.1016/j.msec.2020.111508 |
| [35] |
R. Alvarino, E. Alonso, M.E. Abbasov, et al., ACS Chem. Neurosci. 10 (2019) 4102-4111. DOI:10.1021/acschemneuro.9b00329 |
| [36] |
M. Alghazwi, Y.Q. Kan, W. Zhang, et al., J. Appl. Phycol. 28 (2016) 3599-3616. DOI:10.1007/s10811-016-0908-2 |
| [37] |
E.M. Addo, H.B. Chai, A. Hymete, et al., J. Nat. Prod. 78 (2015) 827-835. DOI:10.1021/np501062f |
| [38] |
S. Hammami, Z. Li, M. Huang, et al., Nat. Prod. Res. 30 (2016) 2142-2148. DOI:10.1080/14786419.2016.1143828 |
| [39] |
W. Kasel, P.G. Hultin, J.B. Jones, J. Chem. Soc., Chem. Commun. 17 (1986) 1563-1564. |
| [40] |
L. Huang, E. Romero, A.K. Ressmann, et al., Adv. Synth. Catal. 359 (2017) 2142-2148. DOI:10.1002/adsc.201700401 |
| [41] |
Y.D. Tang, R.I.L. Meador, C.T. Malinchak, et al., J. Org. Chem. 85 (2020) 1823-1834. DOI:10.1021/acs.joc.9b01884 |
| [42] |
E. Wada, A. Tyagi, A. Yamamoto, et al., Photochem. Photobiol. Sci. 16 (2017) 1744-1748. DOI:10.1039/c7pp00258k |
| [43] |
J. Moritani, Y. Hasegawa, Y. Kayaki, et al., Tetrahedron Lett. 55 (2014) 1188-1191. DOI:10.1016/j.tetlet.2013.12.103 |
| [44] |
M.J. Schultz, S.S. Hamilton, D.R. Jensen, et al., J. Org. Chem. 70 (2005) 3343-3352. DOI:10.1021/jo0482211 |
| [45] |
N. Kakiuchi, Y. Maeda, T. Nishimura, et al., J. Org. Chem. 66 (2001) 6620-6625. DOI:10.1021/jo010338r |
| [46] |
H. Shimizu, K. Nakata, T. Katsuki, Chem. Lett. 2002 (2002) 1080-1081. |
| [47] |
H. Shimizu, S. Onitsuka, H. Egami, et al., J. Am. Chem. Soc. 127 (2005) 5396-5413. DOI:10.1021/ja047608i |
| [48] |
T. OSAa, Y. Kashiwagi, T. ONO, et al., Int. J. Mater. Eng, Resour. 20 (2014) 49-53. DOI:10.5188/ijsmer.20.49 |
| [49] |
H. Tanaka, Y. Kawakami, K. Goto, et al., Tetrahedron Lett. 42 (2001) 445-448. DOI:10.1016/S0040-4039(00)01979-1 |
| [50] |
S.M. Xu, Z. Wang, X.M. Zhang, et al., Eur. J. Org. Chem. 2011 (2011) 110-116. DOI:10.1002/ejoc.201001130 |
| [51] |
M.D. Mihovilovic, P. Kapitán, Tetrahedron Lett. 45 (2004) 2751-2754. DOI:10.1016/j.tetlet.2004.02.036 |
| [52] |
M.D. Mihovilovic, P. Kapitan, P. Kapitanova, ChemSusChem 1 (2008) 143-148. DOI:10.1002/cssc.200700069 |
| [53] |
F. Rudroff, M.J. Fink, R. Pydi, et al., Monatsh. Chem. 148 (2017) 157-165. DOI:10.1007/s00706-016-1873-9 |
| [54] |
T.G. Chen, L.M. Barton, Y.T. Lin, et al., Nature 560 (2018) 350-354. DOI:10.1038/s41586-018-0391-9 |
| [55] |
P. Cao, X.M. Zhang, J. Am. Chem. Soc. 121 (1999) 7708-7709. DOI:10.1021/ja991547k |
| [56] |
C. Schur, H. Kelm, T. Gottwald, et al., Org. Biomol. Chem. 12 (2014) 8288-8307. DOI:10.1039/C4OB01266F |
| [57] |
Y. Xu, T.Y. Zhai, Z. Xu, et al., Trends Chem. 4 (2022) 191-205. DOI:10.1016/j.trechm.2021.12.010 |
| [58] |
F. Vetica, P. Chauhan, S. Dochain, et al., Chem. Soc. Rev. 46 (2017) 1661-1674. DOI:10.1039/C6CS00757K |
| [59] |
F. Giacalone, M. Gruttadauria, P. Agrigento, et al., Chem. Soc. Rev. 41 (2012) 2406-2447. DOI:10.1039/C1CS15206H |
| [60] |
B. Han, X.H. He, Y.Q. Liu, et al., Chem. Soc. Rev. 50 (2021) 1522-1586. DOI:10.1039/d0cs00196a |
| [61] |
Y.B. Wang, B. Tan, Acc. Chem. Res. 51 (2018) 534-547. DOI:10.1021/acs.accounts.7b00602 |
| [62] |
W.N. Ottou, H. Sardon, D. Mecerreyes, et al., Science 56 (2016) 64-115. |
| [63] |
Y. Qin, L. Zhu, S. Luo, Chem. Rev. 117 (2016) 9433-9520. |
| [64] |
K. Zhao, Y. Zhi, T. Shu, et al., Angew. Chem. Int. Ed. 55 (2016) 12104-12108. DOI:10.1002/anie.201606947 |
| [65] |
W. Wu, X. Yuan, J. Hu, et al., Org. Lett. 15 (2013) 4524-4527. DOI:10.1021/ol4020865 |
| [66] |
S. Huang, H. Wen, Y. Tian, et al., Angew. Chem. Int. Ed. 60 (2021) 21486-21493. DOI:10.1002/anie.202108040 |
| [67] |
H. Hu, C. Meng, Y. Dong, et al., ACS Catal. 5 (2015) 3700-3703. DOI:10.1021/acscatal.5b00680 |
| [68] |
X. Gu, T. Guo, Y. Dai, et al., Angew. Chem. Int. Ed. 54 (2015) 10249-10253. DOI:10.1002/anie.201504276 |
| [69] |
W. Wang, J. Wang, S. Zhou, et al., Chem. Commun. 49 (2013) 1333-1335. DOI:10.1039/c2cc35488h |
| [70] |
L.D. Guo, X.Z. Huang, S.P. Luo, et al., Angew. Chem. Int. Ed. 55 (2016) 4064-4068. DOI:10.1002/anie.201512005 |
| [71] |
X. Li, M. Lu, Y. Dong, et al., Nat. Commun. 5 (2014) 4479. DOI:10.1038/ncomms5479 |
| [72] |
W. Wu, H. Huang, X. Yuan, et al., Chem. Commun. 48 (2012) 9180-9182. DOI:10.1039/c2cc34321e |
| [73] |
Y. Wei, S. Wen, Z. Liu, et al., Org. Lett. 17 (2015) 2732-2735. DOI:10.1021/acs.orglett.5b01149 |
| [74] |
M. Shi, Q. Zhang, J. Gao, et al., Angew. Chem. Int. Ed. (2022) e202209044. |
| [75] |
C. Portolani, G. Centonze, S. Luciani, et al., Angew. Chem. Int. Ed. 61 (2022) e202209895. |
| [76] |
T.L. Liu, C.J. Wang, X. Zhang, Angew. Chem. Int. Ed. 52 (2013) 8416-84199. DOI:10.1002/anie.201302943 |
2023, Vol. 34 

