b Department of Chemistry and Material Science, Engineering Technology Development Center of Advanced Materials & Energy Saving and Emission Reduction in Guangdong Colleges and Universities, Guangdong University of Education, Guangzhou 510303, China;
c State Key Laboratory of Chemical Oncogenomics and Key Laboratory of Chemical Genomics, Shenzhen Engineering Laboratory of Nano Drug Slow-Release, Shenzhen Graduate School of Peking University, Shenzhen 518055, China;
d Shenzhen Bay Laboratory, Shenzhen 518055, China;
e Collaborative Innovation Center of Chemical Science and Engineering (Tianjin), Tianjin 300071, China
Carbon-carbon (C−C) bonds are ubiquitous and usually inert in most organic building blocks, activation of which is of fundamental interest and industrial applications [1]. Transition-metals are often employed to activate C−C bond to form new C−C bond or C−X (X = heteroatom) bond through coupling reactions. Nevertheless, it is challenging to achieve such transformations because transition-metal catalyst interacts preferentially with C−H bond [2-5]. To address the issues, tremendous efforts have been devoted to developing viable substrates and competent catalytic systems [6-14]. As for the substrates, tertiary cyclopropanols, first synthesized by Cottle and coworks [15, 16], exhibit unique reactivity towards C−C bond cleavage driven by the inherent ring strain [17, 18], and are widely used as the C3 synthons. Over the past a few decades, various ring-opening transformations of cyclopropanols have been developed for the synthesis of β-functionalized ketones or cyclic compounds bearing a larger ring [19-25]. In general, these processes involve a metal homoenolate or a β-keto alkyl radical intermediate, which could be further engaged in reactions with various coupling partners [26-55]. Based on above reaction pathway, cyclopropanols could serve as good precursors to generate cyclic compounds like pyridines [56-59], cycloheptanones [60], γ-butyrolactones [61], and cyclopentanols [62] via a ring-opening/cyclization process. Besides cyclic compounds, a series of β-halo- [25-34], amino- [35-37], azide- [34], thio- [34, 38, 39], CF3- [40-42], alkyl- [43-49], aryl- [50-52], alkenyl- [53, 54], alkynyl-substituted [55] ketones have been obtained in the presence of different transition metals or one-electron oxidants (Scheme 1a). Despite the progress made to forge C−C, C−N, C−halide and C−S bonds, synthetic methods for the formation of C−O bond from cyclopropanols are relatively undeveloped [63-68].
|
Download:
|
| Scheme 1. Overview of the relevant works. | |
Ambient air is widely applied in the C-O bond construction in organic synthesis due to the abundant reserves, simple acquisition, and mild reaction conditions, ideally satisfying the requirements for green chemistry compared with metal oxidants or pure oxygen [69-71]. In addition, β-hydroxy ketones have been deemed as versatile building blocks for the synthesis of natural products and pharmaceuticals [72-76]. Therefore, it is of great significance to develop an efficient synthetic access to β-hydroxy ketones under an open-air atmosphere. In addition, cobalt has emerged as a cost-effective and environmentally friendly catalyst for organic transformations [77]. As our ongoing interest in developing novel synthetic methods involving cobalt catalysis [78-84], we herein present the first example of cobalt-catalyzed ring-opening/hydroxylation cascade of cyclopropanols using air as both the sole oxidant and the oxygen source, regioselectively affording a range of β-hydroxy ketones (Scheme 1b).
Our studies commenced with the reaction of 1-(4-methoxyphenyl)cyclopropan-1-ol (1a) with Co(OAc)2·4H2O (20 mol%) in MeOH under an air atmosphere at room temperature for 20 h, which, to our delight, led to the desired β-hydroxyl ketone 2a in 45% yield (Table 1, entry 1). Other cobalt catalysts such as Co(acac)2, Co(acac)3, CoCl2, CoBr2, and CoF2 were found to be less effective for this reaction (entries 2-6). Co(OAc)2·4H2O was thus employed for further investigations. When Et3N (2.0 equiv.) was added as the base, the yield of 2a was improved to 56% (entry 7). Subseqently, solvent effect was examined, revealing that CH3CN was the best among the solvents screened (entries 8-15). Then, the loading of the Co(OAc)2·4H2O was screened. When the loading of the catalyst was decreased to 10 mol%, the yield of 2a declined to 70%; when the reaction was performed with 25 mol% of the catalyst loading, a comparable yield of the product was formed (entries 16 and 17). With CH3CN as the solvent, other metal catalysts such as AgNO3, Mn(OAc)2·4H2O, and Fe(acac)2 (entries 18-20) were examined, but all of them were obviously inferior to Co(OAc)2·4H2O. Furthermore, for this reaction, Et3N proved to be better than other bases, such as Na2CO3, NaHCO3, K2CO3, DBU, iPr2NEt, iPr2NH, and NaHSO3 (entries 21-27). Note that a comparable yield of 83% was obtained when the reaction was conducted under an atmosphere of O2 instead of air (entry 28). Finally, no hydroxylation product was detected in the absence of any metal salts, which indicated the necessity of an appropriate metal catalyst (entry 29).
|
|
Table 1 Screening of reaction conditions.a |
With the optimized conditions secured (Table 1, entry 15), we examined the generality of this ring-opening/hydroxylation cascade reaction. The investigations started with tertiary cyclopropanols containing no substituents at C2 or C3 (Scheme 2). In general, a variety of 1-aryl-substituted cyclopropanols bearing an electron-neutral group (e.g., H), an electron-donating group (e.g., Me, OMe, Ph, tBu, OTs), or an electron-withdrawing group (e.g., F, Cl, Br, I, CF3, CO2Me) at the para position of the aromatic ring proceeded smoothly to afford the desired β-hydroxy ketones 2a-2l in 57%-89% yields. o-Substitution (2m), m-substitution (2n, 2o), and disubstitution (2p, 2q) on the aryl moiety were well tolerated, giving the corresponding products in good yields. Likewise, naphthyl-substituted cyclopropanols were also found to be suitable for the reaction and produced 2r and 2s in 62% and 72% yields, respectively. Cyclopropanols with a heteroaryl substituent (2t-2v) such as indolyl, furyl, and thienyl, were also competent substrates. Furthermore, 1-alkyl-substituted cyclopropanols reacted smoothly to furnish 2w-2z in 51%-71% yields.
|
Download:
|
| Scheme 2. Scope of the 1-substituted tertiary cyclopropanols. Reaction conditions: 1 (0.4 mmol), Co(OAc)2·4H2O (20 mol%), Et3N (2.0 equiv.), CH3CN (4.0 mL), air, r.t., 20 h. a Na2CO3 (2.0 equiv.), dioxane (4.0 mL), air, r.t., 20 h. | |
Next, we explored the reaction of tertiary cyclopropanols with substitution at both C1 and C2 (Scheme 3). 1-Phenyl-substituted cyclopropanols carrying either an alkyl (2aa, 2bb) or a chloroalkyl (2cc) group at the C2 showed good tolerance and delivered the corresponding products as a single regioisomer, implying that the reaction would involve exclusively disconnection of the more-substituted carbon-carbon bond. Also, the structure of 2cc was confirmed by an X-ray diffraction analysis (CCDC: 2142632). 1-Aryl-2-methyl-substituted substrates with a methyl, bromo, or fluoro group locating on the benzene ring could also be successfully transformed into the β-hydroxy ketones 2dd-2ff in 69%-82% yields in a highly regioselective manner.
|
Download:
|
| Scheme 3. Scope of the disubstituted tertiary cyclopropanols. Reaction conditions: 1 (0.4 mmol), Co(OAc)2·4H2O (20 mol%), Et3N (2.0 equiv.), CH3CN (4.0 mL), air, r.t., 20 h. | |
In addition, to demonstrate the utility of this cobalt-catalyzed ring-opening/hydroxylation cascade reaction in the synthesis, the following large-scale experiments were performed. When 1i (4 mmol) and 1ee (5 mmol) were selected as the substrates, satisfactory yields were achieved for the generation of β-hydroxyl ketones 2i (80%) and 2ee (74%), respectively (Scheme 4a). To display the applications of the β-hydroxyl ketone products accessible through the current synthetic method, two types of derivatizations were conducted (Scheme 4b). For example, the carbonyl group was smoothly reduced by NaBH4 to afford the corresponding diol 3i in 76% yield. Furthermore, 1, 2-addition of vinylmagnesium bromide to β-hydroxyl ketone 2i produced diol 4i in a moderate yield.
|
Download:
|
| Scheme4. Scalability experiments and representative derivatizations of 2i. | |
To confirm whether the reaction proceeded via a radical pathway, the relevant radical quenching experiment was conducted (Scheme 5). Radical scavenger such as 2, 2, 6, 6-tetramethyl-1-piperidinyl-oxy (TEMPO, 3.0 equiv.) was added to the reaction system under the standard conditions, the cascade reaction was completely inhibited in this case.
|
Download:
|
| Scheme5. Radical quenching experiment. | |
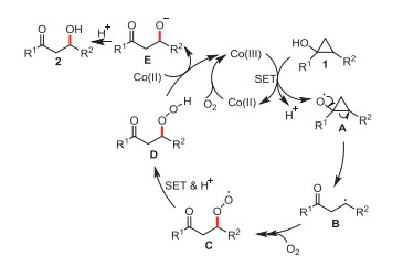
Based on our own findings as well as the literature reports [80, 85, 86], a plausible mechanism of the Co-catalyzed ring-opening/hydroxylation cascade reaction of cyclopropanols is proposed in Scheme 6. The reaction begins with oxidation of Co(Ⅱ) to Co(Ⅲ) by O2 present in air. Single electron transfer (SET) from cyclopropanol 1 to Co(Ⅲ) occurs to generate oxy radical intermediate A as well as a proton (H+). Subsequently, a radical β-scission takes place at the more-substituted carbon-carbon bond in order to form a more stablized β-keto alkyl radical intermediate B. Radical B is reacted with O2 to deliver peroxyradical C, which is converted into hydroperoxide D through an SET/protonation sequence. Co(Ⅱ)-mediated SET reduction of D furnishes anion intermediate E with simultaneous release of Co(Ⅲ) species, which enters into the next catalytic cycle. Finally, protonation of anion E gives β-hydroxy ketone 2.
|
Download:
|
| Scheme6. Proposed mechanism. | |
In summary, utilizing air as both the sole oxidant and the oxygen source, we have realized an efficient cobalt-catalyzed radical ring-opening/hydroxylation cascade reaction of cyclopropanols to afford the β-hydroxy ketones with yields up to 89%. The transformation presumably involves a β-keto alkyl radical intermediate generated by the β-scission of cycloalkoxy radical. The advantages of the present new protocol include use of green oxidant (air) and earch-abundant cobalt salt, mild reaction conditions (room temperature), high regioselectivity, and broad substrate scope. Moreover, this method provides an efficient access to β-hydroxy ketones, which are not only useful chemicals but also valuable building blocks for further derivatizations. Further studies on air-assisted cobalt-catalyzed reactions and the ring-opening reaction of cyclopropanols are currently ongoing in our laboratory.
Declaration of competing interestThe authors declare that they have no known competing financial interests or personal relationships that could have appeared to influence the work reported in this paper.
AcknowledgmentsWe thank the State Key Basic Research Program of the People's Republic of China (No. 2018YFC0310900), National Natural Science Foundation of China (Nos. 21871018, 21732001), Shenzhen Science and Technology Innovation Committee (Nos. KQTD20190929174023858, JCYJ20180504165454447), Industry and Information Technology Bureau of Shenzhen Municipality (No. 201806151622209330), Guangdong Science and Technology Program (No. 2017B030314002), Shenzhen-Hong Kong Institute of Brain Science-Shenzhen Fundamental Research Institutions (No. 2019SHIBS0004), and the National Ten Thousand Talent Program (the Leading Talent Tier) for the financial support. In addition, Shengxian Zhai thanks the Science and Technology Project of Henan Province (No. 202102310328), the PhD Start-up Program of Anyang Institute of Technology (No. BSJ 2021042), Guangzhou Basic and Applied Basic Research Project in China (Nos. 202102020134, 202102020690), Youth Innovation Talents Project of Guangdong Universities (natural science) in China (No. 2019KQNCX098), the Henan Postdoctoral Foundation and the Postdoctoral Innovation Base of Anyang Institute of Technology for financial support.
Supplementary materialsSupplementary material associated with this article can be found, in the online version, at doi:10.1016/j.cclet.2022.06.080.
| [1] |
Y.J. Park, J.W. Park, C.H. Jun, Acc. Chem. Res. 41 (2008) 222-234. DOI:10.1021/ar700133y |
| [2] |
L. Kang, Y. Lin, Z. Gao, et al., CCS Chem. 2 (2020) 1678-1689. |
| [3] |
P. Shao, T. Yu, H. Lu, P.F. Xu, H. Wei, CCS Chem. 2 (2020) 1862-1871. |
| [4] |
M. Gozin, A. Weisman, Y. Ben-David, D. Milstein, Nature 364 (1993) 699-701. DOI:10.1038/364699a0 |
| [5] |
Y. Wang, J. He, Y. Zhang, CCS Chem. 2 (2020) 107-117. DOI:10.31635/ccschem.020.201900076 |
| [6] |
F. Chen, T. Wang, N. Jiao, Chem. Rev. 114 (2014) 8613-8661. DOI:10.1021/cr400628s |
| [7] |
L. Souillart, N. Cramer, Chem. Rev. 115 (2015) 9410-9464. DOI:10.1021/acs.chemrev.5b00138 |
| [8] |
D.S. Kim, W.J. Park, C.H. Jun, Chem. Rev. 117 (2017) 8977-9015. DOI:10.1021/acs.chemrev.6b00554 |
| [9] |
S.P. Morcillo, Angew. Chem., Int. Ed. 58 (2019) 14044-14054. DOI:10.1002/anie.201905218 |
| [10] |
L. Deng, G. Dong, Trends Chem. 2 (2020) 183-198. DOI:10.1016/j.trechm.2019.12.002 |
| [11] |
S. Tong, K. Li, X. Ouyang, R. Song, J. Li, Green Synth. Catal. 2 (2021) 145-155. DOI:10.1016/j.gresc.2021.04.003 |
| [12] |
W. Xiao, J. Wu, Chin. Chem. Lett. 31 (2020) 3083-3094. DOI:10.1016/j.cclet.2020.07.035 |
| [13] |
H. Chen, D. Hong, K. Wan, et al., Chin. Chem. Lett. 33 (2022) 4357-4362. DOI:10.1016/j.cclet.2021.11.084 |
| [14] |
J. Chen, D. Bai, X. Guo, Y. Wang, X. Li, Chin. Chem. Lett. 33 (2022) 5056-5060. DOI:10.1016/j.cclet.2022.02.079 |
| [15] |
J.K. Magrane, D.L. Cottle, J. Am. Chem. Soc. 64 (1942) 484-487. DOI:10.1021/ja01255a004 |
| [16] |
G.W. Stahl, D.L. Cottle, J. Am. Chem. Soc. 65 (1943) 1782-1783. DOI:10.1021/ja01249a507 |
| [17] |
G. Fumagalli, S. Stanton, J.F. Bower, Chem. Rev. 117 (2017) 9404-9432. DOI:10.1021/acs.chemrev.6b00599 |
| [18] |
L. Souillart, E. Parker, N. Cramer, Top. Curr. Chem. 346 (2014) 163-194. |
| [19] |
C.H. DePuy, Acc. Chem. Res. 1 (1968) 33-41. DOI:10.1021/ar50002a001 |
| [20] |
D.H. Gibson, C.H. DePuy, Chem. Rev. 74 (1974) 605-623. DOI:10.1021/cr60292a001 |
| [21] |
O.G. Kulinkovich, Chem. Rev. 103 (2003) 2597-2632. DOI:10.1021/cr010012i |
| [22] |
A. Nikolaev, A. Orellana, Synthesis 48 (2016) 1741-1768. DOI:10.1055/s-0035-1560442 |
| [23] |
Y. Liu, Q.L. Wang, Z. Chen, et al., Beilstein J. Org. Chem. 15 (2019) 256-278. DOI:10.3762/bjoc.15.23 |
| [24] |
T.R. McDonald, L.R. Mills, M.S. West, S.A.L. Rousseaux, Chem. Rev. 121 (2020) 3-79. |
| [25] |
H.M. Chen, G. Liao, C.K. Xu, Q.J. Yao, S. Zhang, B.F. Shi, CCS Chem. 3 (2021) 455-465. DOI:10.31635/ccschem.021.202000695 |
| [26] |
H.J. Zhao, X.F. Fan, J.J. Yu, C. Zhu, J. Am. Chem. Soc. 137 (2015) 3490-3493. DOI:10.1021/jacs.5b00939 |
| [27] |
N. Ishida, S. Okumura, Y. Nakanishi, M. Murakami, Chem. Lett. 44 (2015) 821-823. DOI:10.1246/cl.150138 |
| [28] |
S. Ren, C. Feng, T.P. Loh, Org. Biomol. Chem. 13 (2022) 5105-5109. |
| [29] |
S. Bloom, D.D. Bume, C.R. Pitts, T. Lectka, Chem. Eur. J. 21 (2015) 8060-8063. DOI:10.1002/chem.201501081 |
| [30] |
Y.L. Deng, N.I. Kauser, S.M. Islam, J.T. Mohr, Eur. J. Org. Chem. 39 (2017) 5872-5879. DOI:10.1002/ejoc.201700899 |
| [31] |
Y.C. Lu, J.G. West, ACS Catal. 11 (2021) 12721-12728. DOI:10.1021/acscatal.1c03052 |
| [32] |
X.F. Fan, H.J. Zhao, J.J. Yu, X. Bao, C. Zhu, Org. Chem. Front. 3 (2016) 227-232. DOI:10.1039/C5QO00368G |
| [33] |
F.Q. Huang, J. Xie, J.-G. Sun, et al., Org. Lett. 18 (2016) 684-687. DOI:10.1021/acs.orglett.5b03649 |
| [34] |
J. Jiao, L.X. Nguyen, D.R. Patterson, R.A. Flowers, Org. Lett. 9 (2007) 1323-1326. DOI:10.1021/ol070159h |
| [35] |
M.H. Shen, X.L. Lu, H.D. Xu, RSC Adv. 5 (2015) 98757-98761. DOI:10.1039/C5RA20729K |
| [36] |
Z. Ye, M. Dai, Org. Lett. 17 (2015) 2190-2193. DOI:10.1021/acs.orglett.5b00828 |
| [37] |
Z. Liang, Q. Chong, F. Meng, Sci. China Chem. 64 (2021) 1750-1755. DOI:10.1007/s11426-021-1062-y |
| [38] |
Y.A. Konik, G.Z. Elek, S. Kaabel, et al., Org. Biomol. Chem. 15 (2017) 8334-8340. DOI:10.1039/C7OB01605K |
| [39] |
B. Xu, D. Wang, Y. Hu, Q. Shen, Org. Chem. Front. 5 (2018) 1462-1465. DOI:10.1039/C8QO00115D |
| [40] |
D.G. Kananovich, Y.A. Konik, D.M. Zubrytski, I. Järving, M. Lopp, Chem. Commun. 51 (2015) 8349-8352. DOI:10.1039/C5CC02386F |
| [41] |
Y. Li, Z. Ye, T.M. Bellman, T. Chi, M. Dai, Org. Lett. 17 (2015) 2186-2189. DOI:10.1021/acs.orglett.5b00782 |
| [42] |
C. Jiang, L. Wang, H. Zhang, et al., Chem 6 (2020) 2407-2419. DOI:10.1016/j.chempr.2020.07.003 |
| [43] |
P.P. Das, K. Belmore, J.K. Cha, Angew. Chem. Int. Ed. 51 (2012) 9517-9520. DOI:10.1002/anie.201205190 |
| [44] |
N. Nithiy, A. Orellana, Org. Lett. 16 (2014) 5854-5857. DOI:10.1021/ol5027188 |
| [45] |
Z. Ye, K.E. Gettys, X. Shen, M. Dai, Org. Lett. 17 (2015) 6074-6077. DOI:10.1021/acs.orglett.5b03096 |
| [46] |
H. Zhang, G. Wu, H. Yi, et al., Angew. Chem. Int. Ed. 56 (2017) 3945-3950. DOI:10.1002/anie.201612138 |
| [47] |
J. Yang, Y. Sekiguchi, N. Yoshikai, ACS Catal. 9 (2019) 5638-5644. DOI:10.1021/acscatal.9b00655 |
| [48] |
W. Huang, F. Meng, Angew. Chem. Int. Ed. 60 (2021) 2694-2698. DOI:10.1002/anie.202012122 |
| [49] |
W. Zhou, T. Zhou, M. Tian, et al., J. Am. Chem. Soc. 143 (2021) 19975-19982. DOI:10.1021/jacs.1c10279 |
| [50] |
X. Zhou, S. Yu, L. Kong, X. Li, ACS Catal. 6 (2016) 647-651. DOI:10.1021/acscatal.5b02414 |
| [51] |
M. Lee, J. Heo, D. Kim, S. Chang, J. Am. Chem. Soc. 144 (2022) 3667-3675. DOI:10.1021/jacs.1c12934 |
| [52] |
S.C. Lu, H.S. Li, S. Xu, G.Y. Duan, Org. Biomol. Chem. 15 (2017) 324-327. DOI:10.1039/C6OB02330D |
| [53] |
A. Ilangovan, S. Saravanakumar, S. Malayappasamy, Org. Lett. 15 (2013) 4968-4971. DOI:10.1021/ol402229m |
| [54] |
J. Yang, Y. Shen, Y.J. Lim, N. Yoshikai, Chem. Sci. 9 (2018) 6928-6934. DOI:10.1039/c8sc02074d |
| [55] |
K. Jia, F. Zhang, H. Huang, Y. Chen, J. Am. Chem. Soc. 138 (2016) 1514-1517. DOI:10.1021/jacs.5b13066 |
| [56] |
Y.-F. Wang, S. Chiba, J. Am. Chem. Soc. 131 (2009) 12570-12572. DOI:10.1021/ja905110c |
| [57] |
Y.-F. Wang, K.K. Toh, E.P.J. Ng, S. Chiba, J. Am. Chem. Soc. 133 (2011) 6411-6421. DOI:10.1021/ja200879w |
| [58] |
X. Zhou, Z. Qi, S. Yu, et al., Adv. Synth. Catal. 359 (2017) 1620-1625. DOI:10.1002/adsc.201601278 |
| [59] |
J.L. Zhan, M.W. Wu, D. Wei, et al., ACS Catal. 9 (2019) 4179-4188. DOI:10.1021/acscatal.9b00832 |
| [60] |
S. Ydhyam, J.K. Cha, Org. Lett. 17 (2015) 5820-5823. DOI:10.1021/acs.orglett.5b02978 |
| [61] |
Z. Ye, X. Cai, J. Li, M. Dai, ACS Catal. 8 (2018) 5907-5914. DOI:10.1021/acscatal.8b00711 |
| [62] |
J. Yang, Q. Sun, N. Yoshikai, ACS Catal. 9 (2019) 1973-1978. DOI:10.1021/acscatal.8b05114 |
| [63] |
D.H. Gibson, C.H. DePuy, Tetrahedron Lett. 10 (1969) 2203-2206. DOI:10.1016/S0040-4039(01)88122-3 |
| [64] |
M. Kirihara, S. Takizawa, T. Momose, Chem. Commun. 16 (1998) 1691-1692. |
| [65] |
A.M. Martinez, G.E. Cushmac, J. Rocek, J. Am. Chem. Soc. 97 (2002) 6502-6510. |
| [66] |
O. Kulinkovich, D. Astashko, V. Tyvorskii, N. Ilyina, Synthesis 10 (2001) 1453-1455. |
| [67] |
M. Kirihara, H. Kakuda, M. Ichinose, et al., Tetrahedron 61 (2005) 4831-4839. DOI:10.1016/j.tet.2005.03.033 |
| [68] |
W.B. Han, S.G. Li, X.W. Lu, Y. Wu, Eur. J. Org. Chem. 2014 (2014) 3841-3846. DOI:10.1002/ejoc.201402175 |
| [69] |
G.Z. Elek, V. Borovkov, M. Lopp, D.G. Kananovich, Org. Lett. 19 (2017) 3544-3547. DOI:10.1021/acs.orglett.7b01519 |
| [70] |
R.A. Sheldon, Chem. Soc. Rev. 41 (2012) 1437-1451. DOI:10.1039/C1CS15219J |
| [71] |
B. Liu, F. Jin, T. Wang, X. Yuan, W. Han, Angew. Chem. Int. Ed. 56 (2017) 12712-12717. DOI:10.1002/anie.201707006 |
| [72] |
G.J. McGarvey, J.A. Mathys, K.J. Wilson, J. Org. Chem. 61 (1996) 5704-5705. DOI:10.1021/jo9609337 |
| [73] |
S.C. Sinha, C.F. Barbas, R.A. Lerner, Proc. Natl. Acad. Sci. U. S. A. 95 (1998) 14603-14608. DOI:10.1073/pnas.95.25.14603 |
| [74] |
I. Paterson, G.J. Florence, K. Gerlach, J.P. Scott, N. Sereinig, J. Am. Chem. Soc. 123 (2001) 9535-9544. DOI:10.1021/ja011211m |
| [75] |
S. Colle, C. Taillefumier, Y. Chapleur, R. Liebl, A. Schmidt, Bioorg. Med. Chem. 7 (1999) 1049-1057. DOI:10.1016/S0968-0896(99)00020-6 |
| [76] |
D. Muri, N. Lohse-Fraefel, E.M. Carreira, Angew. Chem. Int. Ed. 44 (2005) 4036-4038. DOI:10.1002/anie.200500172 |
| [77] |
A. Baccalini, S. Vergura, P. Dolui, G. Zanoni, D. Maiti, Org. Biomol. Chem. 17 (2019) 10119-10141. DOI:10.1039/c9ob01994d |
| [78] |
S. Zhai, S. Qiu, X. Chen, et al., Chem. Commun. 54 (2018) 98-101. DOI:10.1039/C7CC08533H |
| [79] |
H. Zhao, X. Shao, T. Wang, et al., Chem. Commun. 54 (2018) 4927-4930. DOI:10.1039/C8CC01774C |
| [80] |
S. Zhai, S. Qiu, X. Chen, et al., ACS Catal. 8 (2018) 6645-6649. DOI:10.1021/acscatal.8b01720 |
| [81] |
S. Qiu, S. Zhai, H. Wang, et al., Adv. Synth. Catal. 360 (2018) 3271-3276. DOI:10.1002/adsc.201800388 |
| [82] |
H. Zhao, X. Shao, Z. Qing, et al., Adv. Synth. Catal. 361 (2019) 1678-1682. DOI:10.1002/adsc.201801459 |
| [83] |
S. Qiu, S. Zhai, H. Wang, X. Chen, H. Zhai, Chem. Commun. 55 (2019) 4206-4209. DOI:10.1039/c9cc00948e |
| [84] |
H. Zhao, T. Wang, Z. Qing, H. Zhai, Chem. Commun. 56 (2020) 5524-5527. DOI:10.1039/d0cc01582b |
| [85] |
C. Zhang, P. Feng, N. Jiao, J. Am. Chem. Soc. 135 (2013) 15257-15262. DOI:10.1021/ja4085463 |
| [86] |
C. Tang, X. Qiu, Z. Cheng, N. Jiao, Chem. Soc. Rev. 50 (2021) 8067-8101. DOI:10.1039/d1cs00242b |
2023, Vol. 34 

