b College of Chemical Engineering, Zhejiang University of Technology, Hangzhou 310014, China
Enantioseparation plays a significant role in chiral pesticides [1], pharmaceuticals [2] and food additives [3, 4], due to its different biological interactions, pharmacology and toxicity [5]. High performance liquid chromatography (HPLC) with chiral stationary phases (CSPs) has proved to be the most effective enantioseparation method [6, 7]. Therefore, development of new CSPs with high enantioselectivity has always been an important topic in the field of chiral research [8, 9]. Macrocyclic structure particularly β-cyclodextrin (β-CD) and its derivatives, have been widely used in the field of chiral separation [10, 11].
Chiral enantiomers, especially chiral pesticide enantiomers, often show significant differences and even opposite effects in pharmacological activity, metabolism and toxicity. Among numerous enantiomers, aryl alcohol is known as an essential block for enantiopure compounds, pharmaceuticals and bioactive compounds [12-16]. Efficient preparation of chiral aryl alcohols with high optical purity as precursors has become an important subject for drug researchers. 1-phenylethanol and 1-phenyl-2-propanol were well separated on β-CD-silica [17]. 3–Chloro-4-methylphenylcarbamate-β-CD bonded silica showed excellent separation for aryl alcohols [18]. Decomposition mechanisms of chiral pesticide are also different, at least 40% of pesticides have chiral structure, while only 7% are sold as a single enantiomer [19, 20]. Among chiral pesticides, flavanone is an important antitoxin, which showed bioactivities like anti-inflammatory, antioxidant and antibacterial [21-29]. Triazoles with stereogenic centers are widely used in agricultural field [30-34]. These enantiomers can lead to important consequences regarding their bioactivity [35, 36]. Usually only one enantiomer has highly fungicidally active and another possesses very low, even no activity [37-41]. Therefore, it is essential to promote efficient separation of chiral pesticides [42-46].
Hence, a novel strategy was proposed to construct a series of chiral phenethylamine synergistic tricarboxylic acid modified β-CD bonded CSPs including Sil-(S)-ACCD, Sil-(S)-PCCD, Sil-(S)-ATCD and Sil-(S)-PTCD, enantioseparation properties of CSPs were systematically evaluated by separating chiral aryl alcohols and other chiral pesticides (Fig. S1 in Supporting information). The influences of solvent concentration in the mobile phase and polarity on the resolution (Rs) values of these solutes were also investigated.
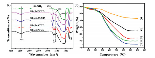
The preparation of these chiral CSPs was shown in Scheme 1. The CSPs were characterized by FT-IR, elemental analysis, BET and thermogravimetric analysis. FT-IR spectroscopy showed that the enhanced peak at 1712 cm−1 (C=O in O–C=O) of Sil-(S)-PCCD and Sil-(S)-ACCD (Fig. 1a), demonstrated β-CDs were derived with citric acid successfully. The signal at 3435 cm−1 was the stretching vibration absorption peak of -OH, the peak at 1650 cm−1 and 1562 cm−1 corresponded to -NH bending vibration and -NH absorption peak, respectively, the absorption peak at 1413 cm−1 was C–N stretching vibration on amide bond, and the absorption peak at 715 cm−1 was phenyl hydrogen bending vibration. The above analysis indicated that β-CD derivatives were successfully bonded to the surface of Sil-NH2 and connected with chiral ligands.
|
Download:
|
| Scheme 1. Preparation of chiral phenethylamine synergistic tricarboxylic acid modified β-CD CSPs. | |
|
Download:
|
| Fig. 1. (a) FT-IR spectra of CSPs. (b) Thermogravimetric weight loss curves of Sil-NH2 (1), Sil-(S)-ATCD (2), Sil-(S)-PCCD (3), Sil-(S)-PTCD (4), and Sil-(S)ACCD (5). | |
Thermogravimetric results showed that the mass decrease of the samples was only about 3% from room temperature to 200 ℃ (Fig. 1b), maybe due to the escape of the evaporation of water on CSPs. The CSPs began to decompose over 240 ℃, which indicated they had excellent thermal and chemical stability. The thermogravimetric weight loss rate of amino group in Sil-NH2 was about 8.6%, the organic weight fractions of β-CD and chiral groups in Sil-(S)-ATCD, Sil-(R)-PCCD, Sil-(S)-PTCD and Sil-(S)-ACCD were 8.9%, 14.9%, 16.3% and 18.8%, respectively.
Elemental analysis exhibited that the content of C increased sharply after β-CD and its derivatives were bonded on Sil-NH2 (Table 1). The corresponding N and H contents were also increased in comparison with Sil-NH2. These results indicated successful formation of chemical linkages between the Sil-NH2 and chiral nitrogen source. The surface coverage was calculated to be 0.10 µmol/m2 for Sil-(S)-PCCD, 0.13 µmol/m2 for Sil-(S)-ACCD, 0.08 µmol/m2 for Sil-(S)-PTCD and 0.09 µmol/m2 for Sil-(S)-ATCD. According to literature [47]: [C%/(12 × Nc × S-silica)] × 106, where C% is the percentage of carbon, Nc is the carbon atom number of per β-CD molecule, and S-silica (329 m2/g) is the surface area of amino silica.
|
|
Table 1 Elemental analysis data. |
Nitrogen adsorption/desorption isotherms was performed to explore porous properties of CSPs at 77 K (Fig. S2 in Supporting information). When ratio of pressure to saturated vapor pressure (P/P0) < 0.05, nitrogen molecules were adsorbed rapidly (the adsorption capacity is about 50 cm3/g), indicated that there were lots of micropores in CSPs. When 0.1 < P/P0 < 0.5, the nitrogen adsorptions increased slowly, which were attributed to the mesoporous structure in the CSPs. When P/P0 > 0.5, the adsorption capacity increased sharply, which were probably caused by the hollow structure of the β-CD. The pore sizes of two CSPs were mainly distributed in the 5–9 nm of the mesoporous area, with average pore diameter of 8.6 and 7.6 nm (the insets in Fig. S2), the pore volume was 0.48, 0.53, 0.52 and 0.60 cm3/g, and had larger specific surface area (252, 263, 234 and 276 m2/g, respectively). All these information implied that we have successfully fabricated chiral phenethylamine synergistic tricarboxylic acid modified β-cyclodextrin bonded stationary phase.
Enantioseparation of four CSPs for chiral aryl alcohols and chiral pesticides (flavanones, benzoin, triazole, etc.) was firstly investigated in reversed mode. Retention factors (k), separation factors (a) and resolutions (Rs) were listed in Table S1 (Supporting information), and some representative chromatograms were summarized in Fig. S3 (Supporting information). It was obviously seen that most aryl alcohols were baseline separated on Sil-(S)-PCCD and Sil-(S)-ACCD, and the resolution was better on Sil-(S)-PCCD with relatively high Rs (1.67–5.36), which indicated the modification ability of (S)-α-PEA ligand CSP was exactly superior than (S)-(+)-2-amino-1-propanol ligand. On the contrary, the CSP of Sil-(S)-ACCD showed much better enantioseparation for flavanones and triazoles enantiomers. In addition, 6–methoxy/hydroxyflavanone could not be separated on the Sil-(S)-PCCD, whereas could be easily separated on the Sil-(S)-ACCD. It was possibly due to the presence of hydroxyl group or methoxy group in benzopyran moiety.
Most aryl alcohols were baseline separation on Sil-(S)-PTCD and Sil-(S)-ATCD CSPs (Fig. S3, and Table S1), and the retention of Sil-(S)-PTCD was significantly stronger than Sil-(S)-ATCD, which indicated that (S)-α-PEA ligand CSP was superior to (S)-(+)-2-amino-1-propanol ligand, and Sil-(S)-PTCD with the synergistic inclusion capability and π-π conjugation could provide more interactions with enantiomers. The influences of acetonitrile concentration in the mobile phase could also significantly affect the resolution, enantioselectivity of Sil-(S)-PCCD was studied by evaluated the resolution of benzoin in CH3CN/H2O. Rs of benzoin decreased gradually with the increase of CH3CN volume fraction from 20% to 35%, as illustrated in Fig. S4 (Supporting information). The reason maybe that as the concentration of acetonitrile increased, the polarity decreased but the elution ability of mobile phase was enhanced. When acetonitrile content reached 20%, the Rs value was the maximum, due to the fact that CH3CN could compete with benzoin for chiral selector on the stationary phase and could destroy the hydrogen bonding in the chiral selector molecule, which affected the conformation of chiral selectors on the stationary phase [42].
Chromatographic parameters of enantiomers on the four CSPs were listed in Table S2 (Supporting information), and 14 enantiomers were well separated in normal mode (Fig. 2). Impressively, these four CSPs achieved wonderful enantioseparation on aryl alcohols, especially 1-phenyl ethanol, 1-phenyl-1-propanol, 1-phenyl-2-propanol, 2-phenyl-1-propanol and 1-(4-methyl-phenyl)-ethanol (Rs = 9.68, 11.58, 7.75, 9.25 and 13.80, respectively), the resolution was even well above that obtained in reversed mode, may due to that the CD cavity was occupied by nonpolar n-hexane, the intermolecular interactions between CD functional groups and enantiomers were the dominant driving forces which promoted enantioseparation in normal mode. Nine enantiomers were separated on Sil-(S)-PCCD, and the resolution (Rs) was almost between 2.16 and 8.62. These Rs values indicated that Sil-(S)-PCCD was an excellent CSP for the enantioseparation that can be largely benefited from the multiple intermolecular interactions between tricarboxylic acid modified β-CD with (S)-α-PEA and enantiomers such as π-π conjugation, dipole-dipole and hydrogen bonding. The resolution of racemate with different functional groups on this type of CSP was explored. Compared with flavanone (Rs = 0.49), 6-hydroxyflavanone exhibited much lower Rs due to the presence of hydroxyl group on benzopyran moiety. On the contrary, 6-methoxyflavanone exhibited higher Rs than flavanone. That may be due to difference in intermolecular interactions outside β-CD rims, since the cavity completely occupied by organic solvent in Hexane/IPA mobile phase [48].
|
Download:
|
| Fig. 2. Enantioseparation in normal mode. Mobile phase (2, 5, 8, 9, 11) hexane/IPA (97/3, v/v), (1, 3, 4, 6, 10, 14) hexane/IPA (95/5, v/v) and (12) hexane/IPA (92/8, v/v). The enantiomers are (a) 1-phenylethanol, (b) 1-Phenyl-1-propanol, (c) 1-phenyl-2-propanol, (d) 2-phenyl-1-propanol, (e) 1-(4-methylphenyl)-ethanol, (f) benzoin, (g) mandelonitrile, (h) flavanone, (i) 6-methoxyflavanone, (j) 6-hydroxyflavanone, (k) triadimenol, and (l) propiconazole. | |
The effect of the alcohol contents of chiral separation was investigated using different ratios of n-hexane/isopropanol in normal mode, and the resolution of 1-phenyl ethanol on Sil-(S)-PCCD (Fig. 3a) and Sil-(S)-PTCD (Fig. 3b) under different isopropanol concentrations clearly showed that the retention of 1-phenyl ethanol was decreased significantly when the contents of isopropanol increased. When isopropanol content reached 3%, the Rs value was the maximum, and with the increase of isopropanol contents from 3% to 10%, the Rs values were decreased gradually. In addition, different alcohol contents resulted in differences in the polarity of the mobile phase, resulting in a different hydrogen bonding interaction between the chiral CSPs and the chiral sites (Figs. 3c and d).
|
Download:
|
| Fig. 3. Enantioseparation of 1-phenyl ethanol for different concentrations of IPA on Sil-(S)-PCCD (a) and Sil-(S)-PTCD (b). The influence of IPA content on retention and selectivity of 1-phenyl ethanol on Sil-(S)-PCCD (c) and Sil-(S)-PTCD (d). | |
Column efficiency is an important factor in investigating column performance. Chiral enantiomers (1–17) were used as probes to calculate the column efficiency of these CSPs. The column efficiency of Sil-(S)-ACCD, Sil-(S)-PCCD, Sil-(S)-ATCD and Sil-(S)-PTCD CSPs maximum reached 1653, 8250, 7608 and 8496 plates/m, respectively. We found that (S)-α-PEA derivation significantly enhanced the column efficiency of β-CD chiral columns. In order to evaluate the repeatability of these CSPs (Sil-(S)-ACCD, Sil-(S)-PCCD, Sil-(S)-ATCD and Sil-(S)-PTCD), ten consecutive separations of the 1-phenyl ethanol were performed and it was found that the variation of Rs (the relative standard deviation (RSD) value of the Rs) was less than 1.28%. The run-to-run overlapped chromatograms of Sil-(S)-PSCD column were shown in Fig. S5 (Supporting information). All above results demonstrated the repeatability of the Sil-(S)-ACCD and Sil-(S)-PTCD CSPs were satisfactory. Meanwhile, 1-phenyl ethanol was separated on different batches of CSPs, collected chromatograms were presented in Fig. S6 (Supporting information). We found 1-phenyl ethanol on CSPs of different batches showed good reproducibility with RSDs less than 3.05%, which indicated these CSPs could be prepared repeatedly.
In conclusion, we have demonstrated a simple and efficient strategy to construction series of tricarboxylic acid modified β-cyclodextrin CSPs by a one-pot reaction. Enantioseparation of these CSPs were systematically evaluated by separating various enantiomers, which showed high selectivity and separation both in reversed and normal modes. The Rs value of 1-phenyl-1-propanol, 1-(4-methylphenyl)ethanol and benzoin were up to 11.58, 12.94 and 14.11, respectively. We found the selective modification of β-CD by chiral ligands might be an efficient approach to promote the chiral resolution of β-CD-based CSPs, and the existence of benzene ring in (S)-α-PEA can provide π-π and hydrogen bond interaction with enantiomers, which is helpful to the separation of enantiomers. This work not only provides a reference for the development of a new CSP but also shows great potential in the separation of enantiomers.
Declaration of competing interestThe authors declare that they have no known competing financial interests or personal relationships that could have appeared to influence the work reported in this paper.
AcknowledgmentsThis work was supported by the National Natural Science Foundation of China (Nos. 22074154 and 22174129), Nature Science Foundation of Zhejiang Province (No. LZY21E030001), Foundation for Science and Tech Research Project of Gansu Province (Nos. 20JR10RA052 and 20JR10RA292) and LICP Cooperation Foundation for Young Scholars (No. HZJJ20-08).
Supplementary materialsSupplementary material associated with this article can be found, in the online version, at doi:10.1016/j.cclet.2022.06.029.
| [1] |
Y. Shuang, T. Zhang, L. Li, J. Chromatogr. A 1614 (2020) 460702. DOI:10.1016/j.chroma.2019.460702 |
| [2] |
J. Znaleziona, I. Fejos, J. Ševcík, et al., J. Pharm. Biomed. Anal. 105 (2015) 10-16. DOI:10.1016/j.jpba.2014.11.027 |
| [3] |
X. Wang, H. Li, K. Quan, et al., J. Chromatogr. A 1651 (2021) 462338. DOI:10.1016/j.chroma.2021.462338 |
| [4] |
X. Lu, M. Chen, J. Yang, et al., J. Chromatogr. A 1664 (2022) 462786. DOI:10.1016/j.chroma.2021.462786 |
| [5] |
L. Li, X. Xue, H. Zhang, et al., Chin. Chem. Lett. 32 (2021) 2139-2142. DOI:10.1016/j.cclet.2020.11.022 |
| [6] |
Z. Liu, K. Quan, H. Li, et al., J. Anal. Test. 5 (2021) 242-257. DOI:10.1007/s41664-021-00155-2 |
| [7] |
P. Zuvela, M. Skoczylas, J.J. Liu, et al., Chem. Rev. 119 (2019) 3674-3729. DOI:10.1021/acs.chemrev.8b00246 |
| [8] |
Y. Zhang, X. Jin, X. Ma, et al., Anal. Methods 13 (2021) 8-33. DOI:10.1039/D0AY01831G |
| [9] |
J. Gao, G. Luo, Z. Li, et al., J. Chromatogr. A 1618 (2020) 460885. DOI:10.1016/j.chroma.2020.460885 |
| [10] |
J. Sun, S. Ma, B. Liu, et al., Talanta 204 (2019) 817-825. DOI:10.1016/j.talanta.2019.06.071 |
| [11] |
Y. Yan, Y. Zhang, Y. Chen, et al., ACS Appl. Polym. Mater. 2 (2020) 5641-5645. DOI:10.1021/acsapm.0c00958 |
| [12] |
X. Wang, H. Li, K. Quan, et al., Talanta 225 (2021) 121987. DOI:10.1016/j.talanta.2020.121987 |
| [13] |
H. Li, K. Quan, X. Yang, et al., TrAC Trends Anal. Chem. 131 (2020) 116026. DOI:10.1016/j.trac.2020.116026 |
| [14] |
C. Shi, H. Li, X. Shi, et al., Chin. Chem. Lett. 33 (2022) 3613-3622. DOI:10.1016/j.cclet.2021.12.010 |
| [15] |
X.L. Lu, M. Chen, J.T. Yang, et al., J. Chromatogr. A 1664 (2022) 462786. DOI:10.1016/j.chroma.2021.462786 |
| [16] |
X.B. Yao, H. Zheng, Y. Zhang, et al., Anal. Chem. 88 (2016) 4955-4964. DOI:10.1021/acs.analchem.6b00897 |
| [17] |
L. Wang, S. Dong, F. Han, et al., J. Chromatogr. A 1383 (2015) 70-78. DOI:10.1016/j.chroma.2015.01.023 |
| [18] |
M. Meng, M. Ma, J. Yi, et al., Sep. Sci. Plus 2 (2019) 4-11. DOI:10.1002/sscp.201800132 |
| [19] |
C.M. Wu, T.Y. Li, D.J. Li, et al., Chin. Chem. Lett. 32 (2021) 2174-2178. DOI:10.1016/j.cclet.2020.11.060 |
| [20] |
K. Lin, W.P. Liu, L. Li, et al., J. Agric. Food Chem. 56 (2008) 4273-4277. DOI:10.1021/jf073535l |
| [21] |
M. Fu, Y. Xu, Y. Chen, et al., Food Chem. 230 (2017) 649-656. DOI:10.1016/j.foodchem.2017.03.098 |
| [22] |
W. Shimizu, N. Uemura, Y. Yoshida, et al., Cryst. Growth Des. 20 (2020) 5676-5681. DOI:10.1021/acs.cgd.0c00955 |
| [23] |
B.A. Graf, P.E. Milbury, J.B. Blumberg, J. Med. Food 8 (2005) 281-290. DOI:10.1089/jmf.2005.8.281 |
| [24] |
S. Akbar, F. Subhan, M. Shahid, et al., Eur. J. Pharmacol. 872 (2020) 172972. DOI:10.1016/j.ejphar.2020.172972 |
| [25] |
N.M. Hegazi, A.N. Hashim, Pharmazie 71 (2016) 544-547. |
| [26] |
P. Srivarangkul, W. Yuttithamnon, A. Suroengrit, et al., Antivir. Res. 151 (2018) 27-38. DOI:10.1016/j.antiviral.2018.01.010 |
| [27] |
D.D. Cao, T.Q. Do, H.D.T. Mai, et al., Nat. Prod. Lett. 34 (2020) 413-420. DOI:10.1080/14786419.2018.1538219 |
| [28] |
T. Ishikawa, Heterocycles 53 (2000) 453-474. DOI:10.3987/REV-99-526 |
| [29] |
H.I.C. Lowe, N.J. Toyang, C.T. Watson, et al., Cancer Cell Int. 17 (2017) 38-49. DOI:10.1186/s12935-017-0404-z |
| [30] |
J. Zhang, S. Zhuang, C. Tong, et al., J. Agric. Food Chem. 61 (2013) 7203-7211. DOI:10.1021/jf401095n |
| [31] |
D.J. Sheehan, C.A. Hitchcock, C.M. Sibley, Clin. Microbiol. Rev. 12 (1999) 40-79. DOI:10.1128/CMR.12.1.40 |
| [32] |
A.K. Goetz, H.Z. Ren, J.E. Schmid, et al., Toxicol. Sci. 95 (2007) 227-239. DOI:10.1093/toxsci/kfl124 |
| [33] |
J.J. Manclús, M.J. Moreno, E. Plana, et al., Food Chem. 56 (2008) 8793-8800. DOI:10.1021/jf801187b |
| [34] |
J. Li, C. Dong, W. An, et al., J. Agric. Food Chem. 68 (2020) 5969-5979. DOI:10.1021/acs.jafc.0c01385 |
| [35] |
Y. Li, F. Dong, X. Liu, et al., Environ. Sci. Technol. 46 (2012) 2675-2683. DOI:10.1021/es203320x |
| [36] |
F. Dong, J. Li, B. Chankvetadze, et al., Environ. Sci. Technol. 47 (2013) 3386-3394. DOI:10.1021/es304982m |
| [37] |
R. He, B. Mai, J. Fan, et al., J. Agric. Food Chem. 67 (2019) 10782-10790. DOI:10.1021/acs.jafc.9b03632 |
| [38] |
X.L. Pan, Y.P. Cheng, F.S. Dong, et al., J. Hazard. Mater. 359 (2018) 194-202. DOI:10.1016/j.jhazmat.2018.07.061 |
| [39] |
Q. Zhang, Z.X. Zhang, B.W. Tang, et al., J. Agric. Food Chem. 66 (2018) 7286-7293. DOI:10.1021/acs.jafc.8b01771 |
| [40] |
B. Tang, W. Wang, H. Hou, et al., Chin. Chem. Lett. 33 (2022) 898-902. DOI:10.1016/j.cclet.2021.06.089 |
| [41] |
J. Chen, N. Yuan, D. Jiang, et al., Chin. Chem. Lett. 32 (2021) 3398-3401. DOI:10.1016/j.cclet.2021.04.052 |
| [42] |
J. Gao, L.X. Chen, Q. Wu, et al., Chirality 31 (2019) 669-681. DOI:10.1002/chir.23082 |
| [43] |
Y. Shuang, Y. Liao, H. Wang, et al., Chirality 32 (2020) 168-184. DOI:10.1002/chir.23147 |
| [44] |
X.X. Li, X. Jin, X.B. Yao, et al., J. Chromatogr. A 1467 (2016) 279-287. DOI:10.1016/j.chroma.2016.06.074 |
| [45] |
J.J. Zhang, S.Y. Wang, P. Zhang, et al., Chin. Chem. Lett. 33 (2022) 3873-3878. DOI:10.1016/j.cclet.2021.11.081 |
| [46] |
Y.F. Wu, Y. Xiao, X.P. Wang, et al., ACS Sens. 4 (2019) 2009-2017. DOI:10.1021/acssensors.9b00270 |
| [47] |
J. Zhou, B. Yang, J. Tang, et al., J. Chromatogr. A 1467 (2016) 169-177. DOI:10.1016/j.chroma.2016.06.030 |
| [48] |
Y. Lin, J. Zhou, J. Tang, et al., J. Chromatogr. A 1406 (2015) 342-346. DOI:10.1016/j.chroma.2015.06.051 |
2023, Vol. 34 

