b Asymchem Life Science (Tianjin) Co., Ltd., Tianjin 300457, China
Iminyl radical is one of the main types of nitrogen radicals, due to the existence of C(sp2)–N bonds and it belongs to the σ−type free radical, both electrophilicity and nucleophilicity existed in its molecule [1, 2]. Because the weak N−O bond (BDE ≈ 50 kcal/mol) are easily cleavage, oxime derivatives become one of the excellent precursors for the production of iminyl radicals. Iminyl radical derived from oxime derivatives could mediated various reactions. At present, these iminyl radical induced reactions can be divided to four main reaction modes: (1) addition reaction to aromatics; (2) intramolecular hydrogen atom transfer (HAT) and subsequent reactions; (3) addition reactions to olefins; (4) norrish−I type cleavage (C−C bond cleavage at α position) and subsequent reactions. The bond−dissociation energy (BDE) of iminyl N−H (93 kcal/mol) is lower than most of the aliphatic C(sp3)−H (96−105 kcal/mol), rendering the 1, 5−HAT of iminyl radical to carbon radical thermodynamically unfavourable. Therefore 1, 5−HAT of the iminyl radical is challenged and far less developed compared with other iminyl radical induced reactions. In this review, recent advances in C(sp3)−H bond functionalization of oximes derivatives via iminyl radical induced 1, 5−hydrogen atom transfer (HAT) will be summarized (Fig 1). According to the different type of products, this review was divided into three parts: (1) C(sp3)−H bond functionalization for C−C bond formation. (2) C(sp3)−H bond functionalization for C−N bond formation. (3) C(sp3)−H bond functionalization for C−S, C−F bond formation.
|
Download:
|
| Fig. 1. Reactions induced by iminyl radicals. | |
As early as 1979, the transformation of the phenylalkylideneamino−oxyacetic acids into tetralones under strong oxidative conditions had been realized by Forrester group (Scheme 1) [3], proving the feasibility of this type of domino process. It is important to note that performing the reaction under acidic conditions facilitated the 1, 5−HAT. But it did not receive enough attention for a long time afterwards, and its development was relatively slow.
|
Download:
|
| Scheme 1. Synthesis of tetralone via intramolecular hydrogen abstraction by iminyls. | |
In recent years, visible light induced reactions [4-19] have received much attention and become a powerful strategy in organic chemistry. In 2017, visible light induced C(sp3)-H bonds functionalization of oximes via iminyl radicals induced 1, 5-HAT is presented by Nevado group (Scheme 2) [20]. Iminyl radical was generated from the reduction of acyl oxime substrate with excited IrⅢ* catalyst. A rate determining step 1, 5-HAT followed by the functionalization of C(sp2)-H bond was involved in this transformation. Notably, the reaction course could be modulated to harvest different products upon a careful choice of the reaction additives. A variety of ketones were isolated when the reaction was conducted under aqueous media. In contrast, dihydro-2H-pyrroles were formed if the reaction was carried out in the absence of water and in the presence of a strong base DABCO.
|
Download:
|
| Scheme 2. Diverse reactivity of iminyl radicals. | |
In 2019, Wu group found that iron [21] was also good catalyst for the synthesis of dihydronaphthalenones from aromatic oxime esters via 1, 5-hydrogen atom transfer (Scheme 3). The corresponding products dihydronaphthalenones with moderate to good yields and high chemoselectivities were achieved. However, oxime esters with secondary γ-C(sp3)-H and primary γ-C(sp3)-H bond were not effective for this strategy. The result of control experiment implied that radical intermediate was involved in this reaction. Reductive generation of iminyl radical from oxime ester by iron(n), 1, 5-hydrogen atom transfer and intramolecular radical cyclization were proposed in the reaction mechanism to deliver the desired products.
|
Download:
|
| Scheme 3. Intramolecular arylation via radical mediated 1, 5−hydrogen transfer process. | |
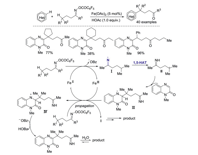
The iron-catalyzed reaction of oximes and heteroaryls for the synthesis of alkyl ketones was reported by Guo group (Scheme 4) [22]. Various alkyl ketones and heteroaryls were suitable for this transformation. HOAc was needed for this reaction, it might increase the electrophilic nature of heteroarenes to enable easier trapping by the nucleophilic alkyl radical. Oxime esters with secondary or tertiary C−H were well compatible with this reaction. Unfortunately, oxime esters with primary C−H bonds, even benzylic C−H bonds did not deliver the desired products. A radical pathway was possible for this reaction. Formation of iminyl radical via single−electron reduction of oxime ester by FeⅡ, carbon radical formation trigged by 1, 5−HAT, radical addition, oxidization of carbon radical, deprotonation and hydrolysis were proposed for the mechanism. Notably, a radical chain propagation mechanism cannot be ruled out completely.
|
Download:
|
| Scheme 4. Iron−catalyzed intermolecular remote C(sp3)−H heteroarylation of alkyl ketones. | |
By integration of 1, 5-hydrogen atom transfer trigged by iminyl radical and [5 + 2] or [5 + 1] annulation processes [23], a series of structurally novel and interesting azepine and spirotetrahydropyridine derivatives with moderate to high yields were successfully prepared in the presence of FeCl2 as catalyst (Scheme 5). Note that, when an oxime bears two potentially reactive sites for 1, 5-HAT, the reaction preferred to occur at the methyl group, probably due to the relatively high stability of the benzylic carbon radical. Various electron-deficient alkenes were well applied to this reaction, but alkenes such as styrene and methyl cinnamate did not give the desired products. When maleimides were applied to this transformation, the [5 + 1] annulation products, spiro-succinimide-tetrahydropyridine derivatives were isolated. N-Aryl maleimides, N−Me maleimide and NH−maleimide are all well tolerated in this reaction. Mechanism investigation supported the involvement of a γ−carbon radical in the annulation reaction. Firstly, reductive generation of iminyl radical via SET between FeⅡ and oxime occured. The iminyl radical undergoes 1, 5−HAT to form an alkyl carbon radical B, which followed by the addition of the γ−carbon radical to the alkene to give a new carbon radical C. Then intermediate D which was form from the intramolecular addition of carbon radical to the imine group, was oxidized by the FeⅢ to afford an iminium ion E with the release of the FeⅡ catalyst. Finally, the desired product azeping derivative would be generated via deprotonation.
|
Download:
|
| Scheme 5. 1, 5-Hydrogen atom transfer/[5 + 2] or [5 + 1] annulation of oxime. | |
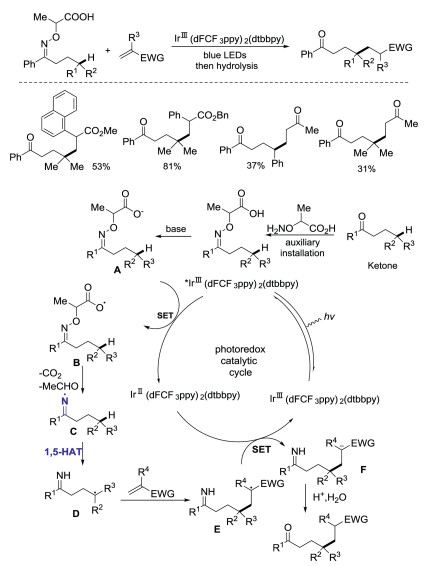
The visible light induced oxidatively generation of iminyl radical from oxime esters was revealed by Studer group (Scheme 6) [24]. Then iminyl radical was followed by formation of tertiary or secondary alkyl radicals via 1, 5-hydrogen atom transfer (HAT), Michael additions of alkyl radical to various acceptors, reduction and imine hydrolysis to give γ-functionalized ketones. Using aminoxy propionic acid as auxiliary and [IrⅢ] as photoredoxcatalysis, this redox neutral transformation could proceed under mild conditions and various functional groups are tolerated. Additionally, the imine functionality in the crude products can be conserved by in situ benzoyl protection and Bz-imine can be obtained in moderate yield, demonstrating the synthetic value of the method.
|
Download:
|
| Scheme 6. C(sp3)−H functionalization of ketones. | |
In 2018, Duan group realized [25] the visible light mediated three-component γ-hydroxyalkylation of ketones under redox neutral conditions (Scheme 7). Water and simple alcohols were effective nucleophiles, providng the desired γ-carboetherification of ketones in good yields. But the sterically hindered alcohols, amines or indoles were not suitable for this system. Radical trapping experiments implied that C-centered radical generated through 1, 5-HAT should be involved in this transformation. In the mechanism, tandem iminyl radical−triggered 1, 5-HAT followed by oxyalkylation of unactivated alkenes were proposed to give the controlled γ-C(sp3)-H bonds functionalization of ketones. Oxime esters with secondary or tertiary γ-C(sp3)-H bonds all reacted smoothly. However, oxime ester having primary C−H bond did not gave the desired product.
|
Download:
|
| Scheme 7. Hydroxyalkylation of remote C(sp3)−H bond via tandem 1, 5−HAT. | |
The visible light induced intermolecular remote C(sp3)−H vinylation of O−acyl oximes with vinyl boronic acids was described by Yu group (Scheme 8) [26]. A wide range of γ−vinylated ketones can be efficient prepared. Iminyl radicals reductive generated from O−acyl oximes under irradiation by visible light was described in the reaction mechanism. Then 1, 5−hydrogen atom transfer (HAT) induced by iminyl radical occurred to deliver translocated carbon−centered radicals. Finally, the desired products were obtained via vinylation of carbon−centered radicals with vinyl boronic acids. Additionally, γ−vinylated nitriles were isolated when cyclic O−acyl oximes were subjected to this reaction system. Chemoselectivity investigation showed that intramolecular HAS is faster than intermolecular vinylation, and C−C bond cleavage is more favorable than 1, 5−HAT under the reaction conditions.
|
Download:
|
| Scheme 8. Visible light induced intermolecular remote C(sp3)−H vinylation. | |
Duan group found [27] that γ−vinylated ketones could also be synthesized via the reaction of oximes with alkenes (Scheme 9). A wide range of available alkenes were well applied to this reaction and forming the desired products γ-alkenyl ketones with moderate to high yields. This protocol could also be used to modify the complex molecules such as estronederived olefins. Unfortunately, the primary C(sp3)-H bonds were not compatible in this reaction. The substrate with benzylic C(sp3)-H bonds could produce the expected products, albeit in somewhat low yields. Mechanism examination implied that carbon center radical was involved in this transformation. Firstly, formation of iminyl radical formed from single-electron reduction of oximes by excited species IrⅢ*. Then, 1, 5-HAT induced by iminyl radical take place to give the C−centered radical, which followed by radical addition with alkenes, oxidation by IrⅣ to carbocation intermediate, deprotonation and hydrolysis to provide the final product. Alternatively, capture of the carbocation by water to form alcohol, which followed by dehydration to afford the desired product was also possible.
|
Download:
|
| Scheme 9. Iminyl radical−triggered 1, 5−hydrogen-atom transfer/heck−type coupling. | |
Because of its steric hindrance and easily to be oxidized, carbonylation of tertiary carbon radicals are challeging. Wu group found that CO was good substrate to react with oxime esters for the synthesis of cyclic compounds via carbonylation of tertiary carbon radicals (Scheme 10) [28]. Various six−membered lactams were obtained in high yields and excellent chemo−selectivities in the presence of Fe(acac)3 as catalyst. Oximes with secondary C(sp3)-H bond also suitable for this reaction, but product with a slight lower yield was obtained. A SET reduction of oxime esters by Fen species to give the iminyl radical A, 1, 5−hydrogen atom transfer induced by iminyl radical to give tertiary carbon radical B, capture of CO gas to form the intermediate C, single-electron oxidation of radical C to form acyl carbocation intermediate D by Fen+1 species, were described in the potential mechanism.
|
Download:
|
| Scheme 10. Carbonylation of tertiary carbon radicals: synthesis of lactams. | |
Pyridines as the core structure structural skeletal framework of many natural products and pharmaceuticals, have received considerable interest [29-33]. In 2020, iron−catalyzed radical relay reactions for the synthesis of fused pyridines from alkyne−tethered oximes and alkenes was developed by Wei group (Scheme 11) [34]. The fused pyridines with various groups were prepared efficiently in this reaction, which can be transformed to others valuable compounds via cyclization, C−H alkylation and click reaction. Notably, some biologically active compounds such as estrone− and d-galactose−derived substrates were all well tolerated in this system. DFT calculation studies was performed, and indicated that formation of iminyl radical via reduction of oximes by Fe, cascade 1, 5-hydrogen atom transfer, 5-exo-dig radical addition, and cyclization processes was involved in the mechanism.
|
Download:
|
| Scheme 11. Iron-catalyzed radical relay reactions of alkyne-tethered oximes and alkenes. | |
Visible−light−induced dearomatization reaction for the synthesis of highly strained polycyclic molecules has gained much attention in recent years [35-39]. Transient, high−energy diradical species as key intermediates are typically involved in this type of reaction. In 2020, You group described the visible-light-induced divergent dearomatization of indole-tethered O-methyl oximes for the synthesis of indoline-fused azetidines [40], in which the reactions of the open-shelled singlet diradical intermediates toward 1, 5-hydrogen atom transfer was involved when alkyl substituent was available at the C3 position of the indole ring (Scheme 12). A series of experimental and computational investigations were conducted to explain the mechanism. It was interesting to note that when substrates bearing none substituent at the C3 position of the indole ring, the [2 + 2] cycloadditions occurred to form related polycyclic molecules.
|
Download:
|
| Scheme 12. Dearomatization via [2 + 2] cycloaddition or 1, 5−hydrogen atom transfer. | |
3. C(sp3)−H bond functionalization for C−N bond formation
In 2014, Chiba group described the CuI−catalyzed redox neutral C(sp3)–H amination reactions of readily available N-alkylamidoximes (Scheme 13) [41]. Dihydroimidazoles with moderate yields could be isolated. The reaction is initiated by reduction of the oxime N–O bond with Cu(Ⅰ) species, providing iminyl radicals A and Cu(Ⅱ) species. After the 1, 5−H shift, the carbocation C was formed via oxidation of C−radicals B by the Cu(Ⅱ). Finally, dihydroimidazole products were generated via amination and deprotonation reaction. In addition, the reactions of N-benzoylamidoximes resulted in C(sp2)–H amination to form quinazolinones was also possible.
|
Download:
|
| Scheme 13. Redox-neutral C–H amination with amidoximes. | |
Fu group found that intramolecular C(sp3)−H imination of O-aryl oximes derivatives can be conducted in the presence of visible light as a sole requirement [42]. The reaction can be conducted well at room temperature and the obtained products imidazole derivatives with various functional groups were obtained smoothly. It is interesting to note that no catalyst, oxidant, additive, acid, and base were required for this transformation (Scheme 14). Investigation of the reaction mechanism revealed that the formation of iminyl radical and 1, 5-HAT were involved in the reaction process. The products containing pyrrolidinyl were more stable than those containing six-membered cycles and acyclic tertiary amines, since oxidation products were not formed when substituted 1-phenyl-2(pyrrolidin-1-yl)ethanone O-(2, 4-dinitrophenyl)oximes was subjected to this reaction (Scheme 15).
|
Download:
|
| Scheme 14. Visible light induced intramolecular C(sp3)−H imination. | |
|
Download:
|
| Scheme 15. Visible-light-mediated intramolecular α-C(sp3)-H imination of substituted 1-phenyl-2-(pyrrolidin-1yl)ethanone O-(2, 4-dinitrophenyl)oximes. | |
In 2019, iron−catalysed remote C(sp3)-H azidation of O-Acyl oximes for the synthesis of γ-azido ketones was realized by Zhu group (Scheme 16) [43]. A wide range of γ-azido ketones with good to excellent yields were obtained. TMSN3 served not only as a nitrogen source to functionalize the unactivated C(sp3)-H, but also as a reductant to generate the catalytically active FeⅡ in situ. Acid (HOAc) palyed an important role in both 1, 5-HAT process and the hydrolysis of imines to ketones, which could accelerate the reaction via speeding up the 1, 5-HAT process. Control experiments supported the involvement of C-centred radical in this azidation reaction. A sequence of reductive generation of an iminyl radical by FeⅡ, 1, 5-hydrogen atom transfer (1, 5-HAT) and iron-mediated redox azido transfer to the translocated carbon radical were proposed for the reaction mechanism. Additionally, nacyloxy imidates were also good substrates for this reaction, providing various β-azido alcohols.
|
Download:
|
| Scheme 16. Iron-catalysed remote C(sp3)-H azidation of O-acyl oximes and N-acyloxy imidates. | |
4. C(sp3)-H bond functionalization for C-S, C-F bond formation
1, 4-Diazabicyclo[2.2.2]octane-1, 4-diium-1, 4-disulfinate (DABSO) as a substitute for sulfur dioxide has gained much achievement in construction of sulfonyl compounds [44-47]. In 2017, N−radical initiated aminosulfonylation of C(sp3)−H bond through insertion of sulfur dioxide mediated by visible light was reported by Wu group (Scheme 17) [48]. In the absence of metals or photoredox catalysts, the reaction of O-aryl oximes with DABSO proceeded smoothly at room temperature under blue LED irradiation. Substrates containing a six-membered, five-membered carbocycle or benzylic carbon all react well in this system. In the reaction mechanism, iminyl radical was generated form the reaction of O-aryl oximes with DABSO under visible-light irradiation. Then 1, 5-hydrogen atom transfer, insertion of sulfur dioxide occurred in sequence to give 1, 2-thiazine 1, 1-dioxide derivatives.
|
Download:
|
| Scheme 17. Photoinduced aminosulfonylation of an unactivated C(sp3)−H bond with sulfur dioxide. | |
In 2018, the visible light induced formation of functionalised ketones from oximes derivatives was developed by Leonori group (Scheme 18) [49]. Different from the previous methods for generating iminyl radical via reduction of oximes, oxidative generation of iminyl radicals from simple oximes was realized in this reaction. Selectfluor as the F source and Ag2CO3 as aco-catalyst, γ-F ketones can be prepared in good yields. The structurally complex lithocolic acid derivative could also undergo γ-fluorination for furhter modification. Control experiments showed that photocatalyst, AgI, and continuous blue LED irradiation were necessary for this transformation. Interestingly, γ-Cl, N-Cl imines were isolated when NCS was used to react with oximes. Cyclic oximes also reacted smoothly with slectfluor, N-chlorosuccinimide (NCS) or triisopropylsulfonyl azide to provide the corresponding products via ring opening/fluorination, chlorination, and azidation cascade reactions. Calculation was performed to explain this reaction, which showed there is a very small gain in BDEs between iminyl species and carbon radical.
|
Download:
|
| Scheme 18. Photoinduced γ-fluorination reactions via iminyl radicals. | |
5. Conclusions and outlook
Despite significant progress has been achieved in this rapidly developing research field, some challenges and also opportunities remain. Because bond-dissociation energy (BDE) of iminyl NH is lower than most of the aliphatic C(sp3)-H, which render the 1, 5-HAT from iminyl radical to carbon radical thermodynamically unfavourable. Therefore we need to develop more effective methods to promote this 1, 5-HAT reaction; How to suppress the hydrogen elimination from carbon radicals to yield alkenes deserve further study; More radical partners such as sulfonyl radical, SCN, oxygen radical and so on are deserved to be further explored; Multicomponent reaction for C(sp3)-H bond functionalization of oximes derivatives via iminyl radical induced 1, 5-HAT deserved more attention; The asymmetric C(sp3)-H bond functionalization of oximes derivatives via iminyl radical induced 1, 5-hydrogen atom transfer has not been disclosed, which is expected to be developed in the near future.
Declaration of competing interestThe authors declare that they have no known competing financial interests or personal relationships that could have appeared to influence the work reported in this paper.
AcknowledgmentsThis work was supported by the National Natural Science Foundation of China (Nos. 21772107, 21901010), Shandong Province Key Research and Development Plan (No. 2019GSF108017) are gratefully acknowledged. We also thank Yan-Li Wang, Hong-Di Yang and Cai-Zhen Ding for their useful help.
| [1] |
J.C. Walton, Acc. Chem. Res. 47 (2014) 1406-1416. DOI:10.1021/ar500017f |
| [2] |
I.B. Krylov, O.O. Segida, A.S. Budnikov, A.O. Terent'Ev, Adv. Synth. Catal. 363 (2021) 2502-2528. DOI:10.1002/adsc.202100058 |
| [3] |
A.R. Forrester, M. Gill, R.J. Napier, R.H. Thomson, J. Chem. Soc. Perkin Trans. 1 (1979) (1979) 632-636.
|
| [4] |
W. Zhou, Y. Jiang, L. Chen, K. Liu, D. Yu, Chin. J. Org. Chem. 40 (2020) 3697. DOI:10.6023/cjoc202004045 |
| [5] |
Z. Li, J. Jin, S. Huang, Chin. J. Org. Chem. 40 (2020) 563-574. DOI:10.6023/cjoc201910031 |
| [6] |
A.K. Bagdi, A. Hajra, Org. Biomol. Chem. 18 (2020) 2611-2631. DOI:10.1039/D0OB00246A |
| [7] |
G.H. Li, Q.Q. Han, Y.Y. Sun, et al., Chin. Chem. Lett. 31 (2020) 3255-3258. DOI:10.1016/j.cclet.2020.03.007 |
| [8] |
A. Lemos, C. Lemaire, A. Luxen, Adv. Synth. Catal. 361 (2019) 1500-1537. |
| [9] |
L.Y. Xie, Y.S. Liu, H.R. Ding, et al., Chin. J. Catal. 41 (2020) 1168-1173. DOI:10.1016/S1872-2067(19)63526-6 |
| [10] |
X. Ren, Z. Lu, Chin. J. Catal. 40 (2019) 1003-1019. DOI:10.1016/S1872-2067(19)63278-X |
| [11] |
D.Q. Dong, H. Yang, J.L. Shi, et al., Org. Chem. Front. 7 (2020) 2538-2575. DOI:10.1039/D0QO00567C |
| [12] |
G. Ding, Q. Wang, F. Liu, Y. Dan, L. Jiang, Chin. J. Catal. 42 (2021) 141-151. DOI:10.1016/S1872-2067(20)63610-5 |
| [13] |
D.Q. Dong, L.X. Li, G.H. Li, et al., Chin. J. Catal. 40 (2019) 1494-1498. DOI:10.1016/S1872-2067(19)63420-0 |
| [14] |
X.P. Ma, C.M. Nong, Y.F. Liang, et al., Green Chem. 22 (2020) 3827-3834. DOI:10.1039/D0GC00929F |
| [15] |
Z.Y. Gan, G.Q. Li, X.B. Yang, et al., Sci. China Chem. 63 (2020) 1652-1658. DOI:10.1007/s11426-020-9811-6 |
| [16] |
L.Y. Xie, T.G. Fang, J.X. Tan, et al., Green Chem. 21 (2019) 3858-3863. DOI:10.1039/C9GC01175G |
| [17] |
K. Sun, Q.Y. Lv, Y.W. Lin, B. Yu, W.M. He, Org. Chem. Front. 8 (2021) 445-465. DOI:10.1039/D0QO01058H |
| [18] |
D. Chen, Y. Sun, D. Dong, Q. Han, Z. Wang, Chin. J. Org. Chem. 40 (2020) 4267. DOI:10.6023/cjoc202006025 |
| [19] |
W.C. Yang, C.Y. Chen, J.F. Li, Z.L. Wang, Chin. J. Catal. 42 (2021) 1865-1875. DOI:10.1016/S1872-2067(21)63814-7 |
| [20] |
W. Shu, C. Nevado, Angew. Chem. Int. Ed. 56 (2017) 1881-1884. DOI:10.1002/anie.201609885 |
| [21] |
Y. Zhang, Z. Yin, X.F. Wu, Adv. Synth. Catal. 361 (2019) 3223-3227. DOI:10.1002/adsc.201900283 |
| [22] |
Y.R. Gu, X.H. Duan, L. Chen, et al., Org. Lett. 21 (2019) 917-920. DOI:10.1021/acs.orglett.8b03865 |
| [23] |
W. Liang, K. Jiang, F. Du, et al., Angew. Chem. Int. Ed. 59 (2020) 19222-19228. DOI:10.1002/anie.202007825 |
| [24] |
H. Jiang, A. Studer, Angew. Chem. Int. Ed. 57 (2018) 1692-1696. DOI:10.1002/anie.201712066 |
| [25] |
Z.Y. Ma, L.N. Guo, Y.R. Gu, L. Chen, X.H. Duan, Adv. Synth. Catal. 360 (2018) 4341-4347. DOI:10.1002/adsc.201801198 |
| [26] |
X. Shen, J.J. Zhao, S. Yu, Org. Lett. 20 (2018) 5523-5527. DOI:10.1021/acs.orglett.8b02540 |
| [27] |
L. Chen, L.N. Guo, Z.Y. Ma, et al., J. Org. Chem. 84 (2019) 6475-6482. DOI:10.1021/acs.joc.9b00525 |
| [28] |
Z. Yin, Z. Zhang, Y. Zhang, P.H. Dixneuf, X.F. Wu, Chem. Commun. 55 (2019) 4655-4658. DOI:10.1039/C9CC02112D |
| [29] |
D. Wang, L. Désaubry, G. Li, M. Huang, S. Zheng, Adv. Synth. Catal. 363 (2020) 2-39. |
| [30] |
L.Y. Xie, S. Peng, F. Liu, et al., ACS Sustain. Chem. Eng. 7 (2019) 7193-7199. DOI:10.1021/acssuschemeng.9b00200 |
| [31] |
Y. Yuan, M. Jiang, T. Wang, et al., Chem. Commun. 55 (2019) 11091-11094. DOI:10.1039/C9CC05841A |
| [32] |
Z. Zhang, C. Pi, H. Tong, X. Cui, Y. Wu, Org. Lett. 19 (2017) 440-443. DOI:10.1021/acs.orglett.6b03399 |
| [33] |
D. Dong, Y. Sun, G. Li, et al., Chin. J. Org. Chem. 40 (2020) 4071-4086. DOI:10.6023/cjoc202004047 |
| [34] |
F. Du, S.J. Li, K. Jiang, et al., Angew. Chem. Int. Ed. 59 (2020) 23755-23762. DOI:10.1002/anie.202010752 |
| [35] |
Y. Wang, W.Y. Zhang, J.H. Xie, et al., J. Am. Chem. Soc. 142 (2020) 19354-19359. DOI:10.1021/jacs.0c09638 |
| [36] |
X.W. Liang, X. Chen, Z. Zhang, S.L. You, Chin. Chem. Lett. 29 (2018) 1212-1214. DOI:10.1016/j.cclet.2018.01.039 |
| [37] |
H. Li, X. Cui, Chin. J. Org. Chem. 40 (2020) 543-544. DOI:10.6023/cjoc202000007 |
| [38] |
M. Zhu, C. Zheng, X. Zhang, S.L. You, J. Am. Chem. Soc. 141 (2019) 2636-2644. DOI:10.1021/jacs.8b12965 |
| [39] |
W. Wang, C. Li, H. Zhang, et al., Chin. J. Catal. 42 (2021) 1216-1226. DOI:10.1016/S1872-2067(20)63746-9 |
| [40] |
M. Zhu, X. Zhang, C. Zheng, S.L. You, ACS Catal. 10 (2020) 12618-12626. |
| [41] |
H. Chen, S. Chiba, Org. Biomol. Chem. 12 (2014) 42-46. DOI:10.1039/C3OB41871E |
| [42] |
J. Li, P. Zhang, M. Jiang, et al., Org. Lett. 19 (2017) 1994-1997. DOI:10.1021/acs.orglett.7b00533 |
| [43] |
R.O. Torres-Ochoa, A. Leclair, Q. Wang, J. Zhu, Chem. Eur. J. 25 (2019) 9477-9484. DOI:10.1002/chem.201901079 |
| [44] |
G. Qiu, L. Lai, J. Cheng, J. Wu, Chem. Commun. 54 (2018) 10405-10414. DOI:10.1039/C8CC05847D |
| [45] |
Y. Liu, D. Yu, Y. Guo, et al., Org. Lett. 22 (2020) 2281-2286. DOI:10.1021/acs.orglett.0c00484 |
| [46] |
J. Zhang, K. Zhou, G. Qiu, J. Wu, Org. Chem. Front. 6 (2019) 36-40. DOI:10.1039/C8QO01048J |
| [47] |
G.H. Li, D.Q. Dong, Q. Deng, S.Q. Yan, Z.L. Wang, Synthesis 51 (2019) 3313-3319. DOI:10.1055/s-0037-1611787 |
| [48] |
Y. Li, R. Mao, J. Wu, Org. Lett. 19 (2017) 4472-4475. DOI:10.1021/acs.orglett.7b02010 |
| [49] |
E.M. Dauncey, S.P. Morcillo, J.J. Douglas, N.S. Sheikh, D. Leonori, Angew. Chem. Int. Ed. 57 (2018) 744-748. DOI:10.1002/anie.201710790 |
2022, Vol. 33 

