b Collaborative Innovation Center of Electric Vehicles in Beijing, Beijing 100081, China
For the purpose of meeting the growing energy requirement of mobile electronic devices and electric vehicles, the exploration of advanced energy storage systems is becoming more and more important [1-3]. Lithium–sulfur (Li–S) battery is one of the most potential alternatives, taking advantage of its high theoretical energy density of 2600 Wh/kg (or 2800 Wh/L), low cost and environmentally friendly [4-7]. However, there are still some insurmountable difficulties hiding in the practical application of Li−S cells. Firstly, severe polysulfide shuttle phenomenon results in short cycle life and low Coulombic efficiency. Secondly, the electron transfer and the utilization of sulfur species in the cathode are restricted, due to the insulation of sulfur and Li2S/Li2S2. Finally, the volume change of sulfur expands violently (about 80%) during charge-discharge process, which gives a rise to the powdering of sulfur cathode, and results in a fast capacity decay [8-10].
In the past few decades, great efforts have been committed to carbonaceous hosts in order to ensure the smooth transmission of electrons between the electrical conductor and the active material, like porous carbon [11-14], carbon nanotubes/nanofibers [15-18], graphene [19-21] and hollow carbon nanosphere [22-24]. However, simple physical limitations are not enough to inhibit the shuttle effect of polysulfides in long-term cycling, and the rapid capacity decay is unavoidable because of the weak van der Waals force interacted between non-polar carbon and polar polysulfide species [25, 26]. In order to improve the limitations of polysulfide intermediates, polar materials, such as metal oxides [27, 28], chalcogenides [29, 30], nitrides [31-33], MXene [34-36], MOFs [37-40] have attracted great concerns for the strong chemical interaction with active sulfur species. For example, Zheng et al. [41] found that Ni-based MOF (Ni6(BTB)4(BP)3) as a sulfur host could effectively improve the battery's cycling stability. Unfortunately, the inorganic polar hosts are still not the ideal materials due to their poor electrical conductivity, which causes a relatively low specific capacity. Recently, transition single metal sulfides such as NiS2 [42], CoS2 [29, 43], Co3S4 [44] and Co9S8 [45, 46], have attracted more attention due to its unique metallic conductivity. For instance, the hollow nanoparticle Co3S4 internal linked with nanotubes as sulfur host. The cathode exhibited an initial capacity of 1535 mAh/g at 0.2 C, and still retained at 1254 mAh/g after 100 cycles. In addition, the S/NiS2-C electrode exhibited a discharge capacity 780 mAh/g after 200 cycles at 0.5 C [42]. It has been reported that these cobalt sulfides not only adsorb the soluble polysulfides, but also facilitate the redox kinetics of polysulfides due to the superior conductivity [47, 48]. Binary metal sulfides such as NiCo2S4, have been widely used in the field of electrocatalytic and super-capacitive, owing to the better electric conductivity and more active sites than those of single metal sulfides [49-51].
In this work, spinel-type NiCo2S4 nanocubes are synthesized through a facile route Prussian blue analogue derived as the sulfur host to improve the electrochemical performance of Li-S battery. This sulfur host with unique structure, good electric conductivity(1.25 × 106 S/m) [52-54] and abundant active reaction sites, can hold the polysulfides, weaken the shuttle effect and accelerate the redox reactions of polysulfides. Consequently, both high Coulombic efficiency (about 98%) and low capacity decay are achieved. Notably, the cell with NiCo2S4 cathode can retain a capacity of 667 mAh/g at 0.5 C after 300 cycles, and 399 mAh/g at 1 C after 300 cycles. This work highlights that bimetal sulfides can be promising cathode materials for high-performance Li-S batteries.
The Ni5/3Co4/3[Co(CN)6]2 polyhedrons is synthesized by simple ion exchange method. In this method, Ni(CH3COO)2·4H2O (0.25 mmol) and CoCl2·6H2O (0.2 mmol) were dissolved in 200 mL of methanol, and then sodium citrate (2.25 mmol) was followed. Another solution was prepared by dissolving K3[Co(CN)6] (0.3 mmol) in 100 mL of MeOH. The later solution was poured into the former one under magnetic stirring. Stirring was stopped once the two solutions were completely combined. After keeping static for 24 h at room temperature, the precipitate was collected by centrifugation, washed with ethanol and then dried at 60 ℃ overnights.
The obtained solid Ni5/3Co4/3[Co(CN)6]2 Prussian blue analogue (PBA) nanoparticles (20.0 mg) and Polyvinylpyrrolidone K30 (100 mg) were added into hydrochloric acid solution (20.0 mL) in a Teflon vessel under magnetic stirring. The container was transferred into a stainless autoclave and then heated at 150 ℃ for 3 h in an electric oven. After aging, the precipitate was collected by centrifugation, washed with ethanol several times and then dried at 60 ℃ overnights.
The carbonization of the Ni5/3Co4/3[Co(CN)6]2 nanopolyhedrons was carried out in H2S flow (5%). The Prussian blue analogue sample was heated up to 350 ℃ (heating rate: 2 ℃/min) and kept for 3 h.
25 mg of NiCo2S4 was dissolved in 100 mL deionized water. Another solution was prepared by dissolving 100 mg S8 in Na2S solution. The later solution was poured into the former one under magnetic stirring. Stirring was kept about 3 h, then adding the concentration of 10% HNO3 solution until the pH attach 6~7. After stirring for 8 h at room temperature, the precipitate was collected by centrifugation, washed with ethanol and then dried at 60 ℃ overnights.
XRD was used to measure a crystalline structure on the XRD Rigaku Ultima IV instrument operated at 40 kV using Cu-Kα radiation at a scan rate of 5 °/min. Scanning electron microscopy (SEM, FEI-Quanta FEG 250) and transmission electronic microscope (TEM, FEI-Tacna G2 F20) were used to characterize the surface morphology of samples. The surface area was calculated by the Brunauer–Emmett–Teller (BET) method. X-ray photoelectron spectroscopy (XPS, AXIS Ultra, England) is a surface sensitive quantitative spectroscopic technique to measure the composition of elements under micrometers, as well as the empirical formulas, chemical and electronic states of elements in materials. All of the spectrums were fitted by the functions of Gaussian-Lorentzian and background of Shirley-type, calibrated with the peak value of C 1s 284.8 eV. The component ratio of the composite was determined by Thermogravimetric analysis (TGA, TG209, German) in the range of 25~500 ℃, with the heating rate of 10 ℃/min.
The NiCo2S4-S composites were synthesized as previously reported. For sulfur electrodes, the NiCo2S4-S composites, super P and polyvinylidene fluoride (PVDF) were dissolved in N-methyl-2-pyrrolidone (NMP) to form a slurry at a mass ratio of 8:1:1. The above-slurry was cast on carbon paper current collector (thickness of 0.2 mm, diameter of 12 mm and the porosity of 78%) to obtain the NiCo2S4-S composites cathode, and then dried in vacuum oven at 50 ℃ for 24 h prior to cut (diameter of 12 mm) after rolling press. 2032-type coin cells were assembled in an Ar (99.99%) filled glove box. Lithium foil with the thickness of 1.6 mm, was used as the anode. The NiCo2S4-S composites electrodes after the cutting was used as cathode, and a Celgard 2400 (diameter of 18 mm) as separator. The areal loading of NiCo2S4, activated carbon and sulfur in each electrode are about 1.2 mg/cm2, 2.0 mg/cm2 and 3.0 mg/cm2, respectively. The electrolyte was 1.0 mol/L lithium bis(trifluoromethanesulfonyl)imide (LiTFSI) and 0.2 mol/L LiNO3 in a mixed solvent of dimethoxymethane (DME) and 1, 3-dioxolane (DOL) (1:1, v/v), obtained from Fosai New Material Co., Ltd. (Suzhou, China). The amount of electrolyte is about 0.2 mL in battery. The galvanostatic charging/discharging measurements were performed within a voltage window of 1.6–2.8 V using a NEWARE battery tester (Shenzhen, China). The cyclic voltammogram (CV) measurements were adopted on a CHI650B Electrochemical workstation in the range of 1.6–2.8 V with the scanning rate of 0.1 mV/s.
The preparation of hollow porous spinel NiCo2S4-S composite was obtained by using Prussian blue analogues (PBA, Ni5/3Co4/3[Co(CN)6]2) as precursor via a ion exchange approach, as the simple flow diagram descripted in Fig. 1a. Briefly, as shown in Fig. S1 (Supporting information), uniformed Ni5/3Co4/3[Co(CN)6]2 nanocubes, according to JCPDS No. 89-3738, were in-situ nucleation agglomeration, and hollowed by a certain concentration of hydrochloric acid via hydrothermal method. Afterward, the PBA was chemically transformed to NiCo2S4 composite structure via H2S and subsequent thermal annealing. Finally, sulfur particles were immersed into NiCo2S4 composite structure via a chemical immersion method to get NiCo2S4-S composites. Detail synthesis principle was illustrated in Fig. S2 (Supporting information). This method can effectively inject sulfur into the cavity through small pores as other literature reports [55]. Sulfur particles can be dissolved in Na2S aqueous and precipitated as the degradation of Na2S when the pH is 6~7. The pH was adjusted by 10% HNO3 solution which has strong acidic and less volatile. XRD patterns in Fig. 1b confirms that the precursor Ni5/3Co4/3[Co(CN)6]2 is transformed into NiCo2S4, because of the sharp and dense diffraction peaks at 26.8°, 31.3°, 38.1°, 50.4°, 55.2° accurately match with the (220), (311), (440), (511), (440) level surfaces of the NiCo2S4 (JCPDS No. 20-0782).
|
Download:
|
| Fig. 1. (a) Schematic diagram of the synthesis process of NiCo2S4-S nanopolyhedra. (b) XRD images of NiCo2S4-S nanopolyhedra. | |
The morphological features of synthesized Ni5/3Co4/3[Co(CN)6]2 and hollowed Ni5/3Co4/3[Co(CN)6]2 precursor were characterized by SEM and TEM. As shown in Figs. 2a and b, the Ni5/3Co4/3[Co(CN)6]2 nanocubes were distributed uniformly with an average size of 300 nm. Fig. 2c clearly exhibits that the Ni5/3Co4/3[Co(CN)6]2 precursor had been successfully hollowed. The outer shells of hollow Ni5/3Co4/3[Co(CN)6]2 consists of intensive nanocrystals, with the similar thickness of 20 nm. Fig. 2d exhibits the SEM of hollow porous spinel NiCo2S4 nanocubes structure obtained from Ni5/3Co4/3[Co(CN)6]2 as precursor via H2S. Clearly, the size and the external shape of bimetallic sulfides have little changed compared with original precursor, due to the suitable temperature at 350 ℃. Fig. 2e shows the TEM of hollow porous spinel NiCo2S4 nanocubes. It can be observed that the surfaces of metal sulfides become rough and porous after several hours annealing. After filling with sulfur, the original size and morphology of the NiCo2S4 nanocubes are well preserved obviously, and little particles can be detected on the external surface, as shown in Fig. 2f. TEM image shows that most of the interior cavity of the NiCo2S4-S nanopolyhedra is successfully filled with sulfur (Fig. 2g).
|
Download:
|
| Fig. 2. SEM and TEM images of (a, b) Ni5/3Co4/3[Co(CN)6]2 precursor nanopolyhedra. TEM images of (c) hollow Ni5/3Co4/3[Co(CN)6]2 precursor nanopolyhedra. SEM and TEM images of (d, e) NiCo2S4 nanocube. SEM and TEM images of (f, g) NiCo2S4-S nanopolyhedra. (h) TEM image of the shell of NiCo2S4. (i) HRTEM images of NiCo2S4-S nanopolyhedra. | |
High-resolution TEM images (Figs. 2h and i) reveal the mini spinel NiCo2S4 nanopolyhedra uniformly distributed on the entire shell of NiCo2S4-S nanopolyhedra. It can be clearly seen the lattice spacing of 0.28 nm, corresponding to the dominant exposed (311) plane of the cubic structure as indicated in X-ray diffraction (XRD) pattern. Besides, the diffraction peak at 31.3° confirmed the spinel structure of NiCo2S4 nanoparticles, homogeneously distributed all over the shell of NiCo2S4 -S nanopolyhedra.
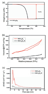
The specific sulfur content is about 70 wt% in the NiCo2S4-S composite, measured by thermogravimetric (TG). As shown in Fig. 3a, one step of weight loss is observed at 200 ℃. To further explore the porosity of NiCo2S4 and NiCo2S4-S samples, nitrogen adsorption desorption were used. The NiCo2S4 hollow nanopolyhedras (Fig. 3b) exhibit a type III isotherm with a hysteresis loop, revealing a BET surface area of 82.71 m2/g and a large specific pore volume of 0.24 m3/g. According to the Barrett−Joyner−Halenda (BJH) method, the NiCo2S4 hollow nanopolyhedras retain much mesopores centered at average pore size of 3.4 nm (Fig. 3c). After the impregnation of sulfur particles, both the surface area and pore volume of NiCo2S4-S nanopolyhedras sharply decreased to 16.78 m2/g and 0.02 m3/g, suggesting that sulfur was smoothly immersed into the internal cavities of NiCo2S4 hollow nanopolyhedra.
|
Download:
|
| Fig. 3. (a) TGA analysis of the NiCo2S4-S nanopolyhedra. (b) N2 adsorption−desorption isotherm curves of NiCo2S4 and NiCo2S4-S isotherms were measured. (c) Pore size distributions of NiCo2S4 and NiCo2S4-S. | |
Further information of the elemental composition and chemical state of the composite are measured by XPS analysis. As shown in Fig. 4a, the presences of S, C, O, N, Co and Ni are confirmed by the measurement spectra on the surface of the NiCo2S4. As shown in Figs. 4b and c, the Gaussian fitting method was used to fit the Co 2p and Ni 2p spectra with two spin orbit doublets. The energy difference between Ni 2p3/2 (854.3 eV) and Ni 2p1/2 (872 eV) is 17.7 eV, indicating that the coexistence of Ni3+ and Ni2+. The strong peaks at 780.2 eV for Co 2p3/2 and at 794.6 eV for Co 2p1/2 indicate the coexistence of Co3+ and Co2+ in the NiCo2S4 sample. Fig. 4d shows the S 2p spectrum, and the three peaks at 161.4, 162.2 and 167.8 eV can be attributed to the S 2p1/2, S 2p3/2 and the oscillating satellite respectively. According to the XPS analysis, the near surface of the NiCo2S4 nanoarrays contains Co2+, Co3+, Ni2+, Ni3+ and S2−, in keeping with the literature results for NiCo2S4.
|
Download:
|
| Fig. 4. (a) Full range XPS survey spectrum. (b) Ni 2p spectrum. (c) Co 2p spectrum. (d) S 2p spectrum of NiCo2S4. | |
To evaluate the performances of NiCo2S4-S composites for Li−S cells, coin batteries with NiCo2S4-S cathodes were prepared. The sulfur content in NiCo2S4-S composites were operated to be 56 wt%, and the sulfur loading mass was 1.2 mg/cm2. As comparison samples, Li-S batteries with active carbon brimed with sulfur composite (AC-S) cathodes, binary metal sulfides MnCo2S4-S, CuCo2S4-S were also get ready at same sulfur content and loading mass.
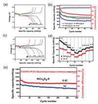
Fig. S3 (Supporting information) shows the cyclic voltammetry (CV) profiles of the battery with NiCo2S4-S composite cathode during the first three cycles at 0.1 mV/s. In the 1st cycle, the cathodic peak at 2.31 V is in correspondence to the degradation of S8 ring molecules to long-chain polysulfides (Li2Sx, 4 ≤ x ≤ 8), while the cathodic peak at 2.02 V is assigned to the degradation of long-chain Li2Sx to short-chain Li2S2/Li2S. The wide anodic peak at 2.45 V is ascribed to the reverse reaction of short-chain Li2S2/Li2S to S8. After first cycle, the subsequently CV cycles curves show sharper anodic/cathodic peaks with almost complete overlapping of first curve, indicating a high reversibility of NiCo2S4-S cathode. And the peak position has little change, indicating that there is no significant increase in electrode polarization during the reaction. It suggests that NiCo2S4-S materials of sulfur and sulfide adsorption is beneficial to keep the electrode capacity and help the battery more reversibility. Fig. 5a exhibits different discharge/charge cycles at 0.2 C. There are two distinct platforms at 2.3 V and 2.12 V in the typical discharge profiles, which is consistent with the two cathodic peaks at 2.31 V and at 2.02 V in the CV curves. Meanwhile, the tiny polarization overpotential between the two platforms reveals relatively swift electrochemical reactions, due to good conductivity and rapid electron transport of NiCo2S4. Compared with the discharge curves of AC-S cathodes shown in Fig. S4 (Supporting information), NiCo2S4 cathodes has smaller voltage hysteresis, and longer discharge plateau, as the direct evidence of electrocatalysis of NiCo2S4 to react with the sulfur. While, there is still a short discharging platform when the voltage is nearly 1.8 V. This is related to the carbon material used to conduct exiting a little self-discharging, which also can be seen in Fig. S4 and other literatures [56, 57]. Meanwhile, the capacity of the cycling performances and corresponding Coulombic efficiencies of NiCo2S4-S and AC-S cathodes at a current density of 0.2 C are shown in Fig. 5b. The NiCo2S4 cathode shows a high initial discharge capacity of 1283 mAh/g and remains at 787 mAh/g after 100 cycles. As a comparison, the initial discharge capacity of AC-S cathode presents 960 mAh/g, but fades to the capacity of only 447 mAh/g after 100 cycles, which is much lower than that of NiCo2S4-S composite cathode. These results imply the structural advantages of imprisoning sulfur nanoparticle and capturing polysulfides for the NiCo2S4 composite. Furthermore, different spinel-type binary sulfides MnCo2S4 and CuCo2S4 as sulfur hosts are investigated. The initial specific capacities of MnCo2S4-S and CuCo2S4-S composite cathode are 1002 mAh/g and 959 mAh/g, and the decay rates are 0.27% and 0.33%. It shows even the binary metal sulfides MnCo2S4-S and CuCo2S4-S composite cathode are still inferior to NiCo2S4-S composite cathode. Besides, the Coulombic efficiency of NiCo2S4-S electrode are maintained above 95%, revealing that the significant cyclic stability. These results demonstrate that the bimetallic sulfides can effectively provide both strong physical restraint and polar adsorption with polysulfides, and establish a smooth channel for Li+ and electron transfer, thus facilitating the utilization of sulfur species and the suppression of shuttle effect. Fig. 5c exhibits the charge/discharge curves at stepwise rates between 0.1 C and 2 C. It can be clearly seen, despite at the high rate of 2 C, there are still two discharge platforms in the profiles, due to the outstanding electron conductivity and the rapid-redox reactions of polysulfides of this novel material. The rate capability comparison of NiCo2S4-S and AC-S is shown in Fig. 5d. Owing to the excellent electrical conductivity and electrochemical activity of NiCo2S4, the NiCo2S4-S composites supply reversible specific capacities of 1455, 1283, 1039, 765 and 680 mAh/g at a gradually increasing rate of 0.1 C, 0.2 C, 0.5 C, 1 C and 2 C respectively. Furthermore, the capacity restores when each discharge rate is switched from 2 C to 0.1 C after five cycles. Therefore, compared with the cathode material of AC-S, NiCo2S4-S composites have higher discharge capacity and lower capacity decay rate. However, the capacity at 0.1 C fades faster in the next five cycles, for the irremediable deposition of sulfur nanoparticles out of the hollow cubic NiCo2S4, which abates the confinement of polysulfides. Compared with AC-S cathode, NiCo2S4-S composite cathode shows the lower overpotential and longer discharge platform, attributed to the excellent catalytic performance fasting kinetics of redox reaction of polysulfides (Fig. S5 in Supporting information). Fig. 5e shows the long-term cycle test at rate of 0.5 C and 1 C after 300 cycles. The NiCo2S4-S cathode exhibits an initial discharge capacity of 929 mAh/g and maintains a discharge capacity of 667 mAh/g after 300 cycles at 0.5 C. The capacity decay is as low as 0.094% per cycle. And the Coulombic efficiency is all above 98%. Notably, at a high rate of 1 C, the NiCo2S4-S composite cathode shows an initial discharge capacity of 655 mAh/g and a high discharge capacity of 399 mAh/g after 300 cycles with a capacity decay of only 0.130% per cycle, benefited from the effective limitation of polysulfides within the polar and hollow NiCo2S4 host. At the same time, electrochemical impedance tests were performed on the cells (Fig. S6 in Supporting information). Before the battery is measured, the Nyquist diagram obtained contains a semicircle corresponding to the charge transfer resistance of the battery.After battery cycling, the impedances of this cell has two semi-circular arcs, corresponding to the resistance of the battery and the resistance caused by the Li2S2/Li2S solid insulation layer formed on the cathode electrode surface.
|
Download:
|
| Fig. 5. (a) Galvanostatic charge and discharge voltage profiles of NiCo2S4-S at different cycles. (b) Cycling performances and corresponding Coulombic efficiencies of NiCo2S4-S and AC-S at 0.2 C (c) Galvanostatic charge and discharge voltage profiles of NiCo2S4-S at different rates. (d) Rate capabilities of NiCo2S4-S and AC-S electrodes. (e) Cycling performances and corresponding Coulombic efficiencies of NiCo2S4-S at 0.5 C and 1 C. | |
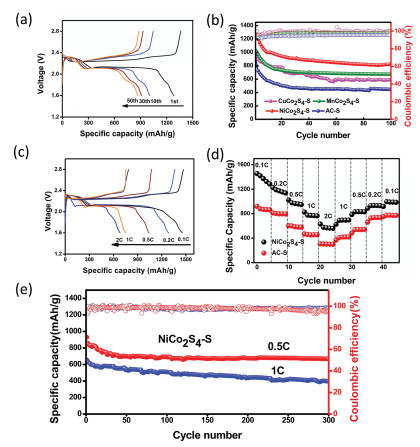
Achieving high-area sulfur loading is important to meeting the needs of real-world applications. Thus, the area loading mass of sulfur at 1.2 mg/cm2 (sulfur content is about 45 wt% in whole cathode), 2 mg/cm2 (sulfur content is about 45 wt% in whole cathode) and 3 mg/cm2 (sulfur content is about 45 wt% in whole cathode) was investigated. As shown in Figs. 6a and b, the initial discharge capacities of NiCo2S4-S cathodes with different sulfur-loading, about 1.2 mg/cm2, 2 mg/cm2 and 3 mg/cm2 at 0.5 C, are around 973, 735 and 573 mAh/g, and fade to 753, 606 and 470 mAh/g. The high sulfur-loading 3 mg/cm2 NiCo2S4-S cathode shows outstanding cycling stability at a high current density of 0.5 C, and the discharge capacity reaches 336 mAh/g after 300 cycles (Fig. 6c). The capacity decay rate is just 0.138% per cycle, and the Coulombic efficiency is above 95% through the whole process. In addition, the capacity decay rate is just 0.026% per cycle at 1 C after 1000 cycles (Fig. 6d). Moreover, the electrochemical performance of NiCo2S4-S cathode shows more advantages than other sulfur hosts, including carbon materials, single metal sulfides, and other binary metal sulfides, as summarize in Table 1 [42, 48, 58-64]. The superior reversible capability at high rate and better cycling stability mainly are ascribed to the better electrical conductivity and stronger chemical adsorption with polysulfides.
|
Download:
|
| Fig. 6. (a) Cycling performances and corresponding Coulombic efficiencies of NiCo2S4-S with different sulfur loading at 0.5 C. (b) Galvanostatic charge and discharge voltage profiles of NiCo2S4-S at different mass density. (c) Cycling performances and corresponding Coulombic efficiencies of NiCo2S4-S with the sulfur loading at 3 mg/cm2 at 0.5 C. (d) Cycling performances and corresponding Coulombic efficiencies of NiCo2S4-S with the sulfur loading at 3 mg/cm2 at 1 C. | |
|
|
Table 1 Comparison of the electrochemical performances of previous reports with this work. |
In Fig. 7, the total discharge capacity of different cells is divided into the capacity contribution of high voltage platforms and low voltage platforms. It can be clearly seen that the high voltage platforms contribution capacity of the NiCo2S4-S cathode at different cycles is much larger than that of AC-S cathode. It means that the cathode of NiCo2S4-S can effectively limits the diffusion of polysulfides, and improves the utilization rate of the sulfur. And the low voltage platform capacity is large and stable, confirmed the excellent catalysis of NiCo2S4.
|
Download:
|
| Fig. 7. (a) High-plateau and (b) Low-plateau discharge capacities for the NiCo2S4-S and AC/S electrodes. | |
To monitor the kinetics of Li2S nucleation on various surfaces, including AC and NiCo2S4 loaded on carbon papers, the cell was discharged at 0.17 mA to 2.06 V and kept potentiostatically at 2.05 V until the current is low to 10−5 A (Fig. 8). The whole process of Li2S growth lasted for nearly 13, 000 s. After about 2500 s, the potentiostatic currents reached their peaks. Besides, the maximum currents of NiCo2S4 is much higher than that of AC, reflecting different electrochemical activities of Li2S formation. The capacities of Li2S precipitation on AC and NiCo2S4 were 74 and 168 mAh/g, calculated from the integral of current respectively, based on the weight of sulfur in the catholyte.
|
Download:
|
| Fig. 8. Fitting of current vs. time curve for potentiostatic discharge on (a) NiCo2S4 or (b) AC at 2.05 V. | |
To further verify the adsorption effect of NiCo2S4 to the polysulfides, same amount of AC and NiCo2S4-AC composites were added into 30 mL 2.5 mmol Li2S6. Besides, the ratio of NiCo2S4 and AC is 12:5 that is same as the ratio of NiCo2S4 and AC in cathode. The photos after resting for 1 h are shown in Fig. S7 (Supporting information). The Li2S6 solution with NiCo2S4 becomes completely transparent. However, the Li2S6 solution containing active carbon remains bright yellow color. This difference confirms the strong chemisorption between NiCo2S4 and Li2S6.
In conclusion, spinel-type bimetal sulfides NiCo2S4 derived from Prussian blue analogues were successfully synthesized, and the designed unique structure is favorable to host sulfur. The polar NiCo2S4 host with good electron conduct provides effective confinement of polysulfides and fasts the redox reactions of polysulfides. The remarkable performance of NiCo2S4-S cathode has been determined in terms of high reversible capacity, good rate capability, long cycling stability and high areal capacity. This work may open up an effective route to construct advanced novel sulfur host materials for achieving high performance Li−S batteries.
Declaration of competing interestThe authors declare that they have no known competing financial interests or personal relationships that could have appeared to influence the work reported in this paper.
AcknowledgmentsThis work was financially supported by the National Natural Science Foundation of China (Nos. 21376001, 21576028 and 21506012). We also thank Analysis & Testing Center, Beijing Institute of Technology for providing XRD and TEM equipment.
Appendix A. Supplementary dataSupplementary material related to this article can be found, in the online version, at doi:https://doi.org/10.1016/j.cclet.2020.03.048.
| [1] |
J.B. Goodenough, Acc. Chem. Res. 46 (2013) 1053-1061. DOI:10.1021/ar2002705 |
| [2] |
J.W. Choi, D. Aurbach, Nat. Rev. Mater. 1 (2016) 16013. DOI:10.1038/natrevmats.2016.13 |
| [3] |
Y. Tang, Y. Zhang, W. Li, B. Ma, X. Chen, Chem. Soc. Rev. 44 (2015) 5926-5940. DOI:10.1039/C4CS00442F |
| [4] |
H. Li, L. Sun, Y.G. Zhang, et al., J. Energy Chem. 26 (2017) 1276-1281. DOI:10.1016/j.jechem.2017.09.009 |
| [5] |
Y.T. ]Liu, D.D. Han, L. Wang, et al., Adv. Energy Mater. 9 (2019) 1-10. |
| [6] |
A. Manthiram, S.-H. Chung, C. Zu, Adv. Mater. 27 (2006) 1980. |
| [7] |
C. Lin, C.J. Niu, X. Xu, et al., J. Chem. Soc. Faraday Trans. 18 (2016) 22146-22153. |
| [8] |
F. Li, G.M. Zhou, S.F. Pei, et al., Adv. Mater. 26 (2014) 625-631. DOI:10.12785/amis/080220 |
| [9] |
X. Tang, Z. Sun, H. Yang, et al., J. Energy Chem. 31 (2019) 119-124. DOI:10.1016/j.jechem.2018.06.001 |
| [10] |
Z. Liang, G.Y. Zheng, W.Y. Li, et al., ACS Nano 8 (2014) 5249-5256. DOI:10.1021/nn501308m |
| [11] |
J. Song, M. Gordin, T. Xu, et al., Angew. Chem. Int. Ed. 54 (2015) 4325-4329. DOI:10.1002/anie.201411109 |
| [12] |
S. Rehman, X. Gu, K. Khan, et al., Adv. Energy Mater. 6 (2016) 1502518. DOI:10.1002/aenm.201502518 |
| [13] |
X. Zhou, F. Chen, J. Yang, J. Energy Chem. 24 (2015) 448-455. DOI:10.1016/j.jechem.2015.06.011 |
| [14] |
X. Zhuang, Y. Liu, J. Chen, H. Chen, B. Yi, J. Energy Chem. 23 (2014) 391-396. DOI:10.1016/S2095-4956(14)60162-5 |
| [15] |
D. Wang, K. Wang, H. Wu, et al., Carbon 132 (2018) 370-379. DOI:10.1016/j.carbon.2018.02.048 |
| [16] |
Z. Yuan, H. Peng, J. Huang, et al., Adv. Funct. Mater.. |
| [17] |
Q. Sun, X. Fang, W. Weng, et al., Angew. Chem. 127 (2015) 10685-10690. DOI:10.1002/ange.201504514 |
| [18] |
Z. Li, Y. Zou, J. Duan, B. Long, Y. Du, Ionics 25 (2019) 1659-1668. DOI:10.1007/s11581-019-02897-7 |
| [19] |
F. Li, Y. Su, J. Zhao, J. Chem. Soc. Faraday Trans. 18 (2016) 25241-25248. DOI:10.1039/C6CP04071C |
| [20] |
H. Zhang, Q. Gao, W. Qian, et al., ACS Appl. Mater. Interfaces 10 (2018) 18726-18733. DOI:10.1021/acsami.8b03806 |
| [21] |
Y. Qiu, W. Li, G. Li, et al., Nano Res. 7 (2014) 1355-1363. DOI:10.1007/s12274-014-0500-5 |
| [22] |
W. Zhou, C. Wang, Q. Zhang, et al., Adv. Energy Mater. 5 (2015) 1401752. DOI:10.1002/aenm.201401752 |
| [23] |
H. Nersisyan, S. Joo, B. Yoo, et al., Carbon 103 (2016) 255-262. DOI:10.1016/j.carbon.2016.03.022 |
| [24] |
M. Chen, Z. Su, K. Jiang, et al., J. Mater. Chem. A 7 (2019) 6250-6258. DOI:10.1039/c8ta12349g |
| [25] |
Q. Zhang, Y. Wang, Z. Seh, et al., Nano Lett. 15 (2015) 3780-3786. DOI:10.1021/acs.nanolett.5b00367 |
| [26] |
S.Y. Li, W.P. Wang, H. Duan, Y.G. Guo, J. Energy Chem. 27 (2018) 1555-1565. DOI:10.1016/j.jechem.2018.04.014 |
| [27] |
Z.W. Seh, W. Li, Z. Cha, et al., Nat. Commun. 4 (2013) 1331. DOI:10.1038/ncomms2327 |
| [28] |
Z. Xiao, Z. Yang, L. Wang, et al., Adv. Mater. 27 (2015) 2891-2898. DOI:10.1002/adma.201405637 |
| [29] |
Z. Yuan, H. Pemg, T. Hou, et al., P[J]. Nano Lett. 16 (2016) 519-527. DOI:10.1021/acs.nanolett.5b04166 |
| [30] |
Z.W. Seh, J. Yu, W. Li, et al., Nat. Commun. 5 (2014) 5017. DOI:10.1038/ncomms6017 |
| [31] |
Z. Cui, C. Zu, W. Zhou, A. Manthiram, J.B. Goodenough, Adv. Mater. 28 (2016) 6926-6931. DOI:10.1002/adma.201601382 |
| [32] |
L. Ma, H. Yuan, W. Zhang, et al., Nano Lett. 17 (2017) 7839-7846. DOI:10.1021/acs.nanolett.7b04084 |
| [33] |
Z. Sun, J. Zhang, L. Yin, et al., Nat. Commun. 8 (2017) 1-8. DOI:10.1038/s41467-016-0009-6 |
| [34] |
X. Liang, Y. Rangom, C.Y. Kwok, Q. Pang, L.F. Nazar, Adv. Mater. 29 (2017) 1603040. DOI:10.1002/adma.201603040 |
| [35] |
X. Liang, A. Garsuch, L.F. Nazar, Angew. Chem. 127 (2015) 3979-3983. DOI:10.1002/ange.201410174 |
| [36] |
Q. Pang, D. Kundu, L.F. Nazar, Mater. Horiz. 3 (2016) 130-136. DOI:10.1039/C5MH00246J |
| [37] |
R. Demir-Cakan, M. Morcrette, F. Nouar, et al., J. Am. Chem. Soc. 133 (2011) 16154-16160. DOI:10.1021/ja2062659 |
| [38] |
Z. Zhao, H. Liang, J. Chen, et al., J. Mater. Chem. A 2 (2014) 13509-13512. DOI:10.1039/C4TA01241K |
| [39] |
J. Zhou, R. Li, X. Fan, et al., Energy Environ. Sci. 7 (2014) 2715. DOI:10.1039/C4EE01382D |
| [40] |
Z. Wang, Z. Dou, Y. Cui, et al., Microporous Mesoporous Mater. 185 (2014) 92-96. DOI:10.1016/j.micromeso.2013.11.011 |
| [41] |
J. Zheng, J. Tian, D. Wu, et al., Nano Lett. 14 (2014) 2345-2352. DOI:10.1021/nl404721h |
| [42] |
Y. Lu, X. Li, J. Liang, et al., Nanoscale 8 (2016) 17616-17622. DOI:10.1039/C6NR05626A |
| [43] |
X. Hong, S. Li, X. Tang, Z. Sun, F. Li, J. Alloys. Compd. 749 (2018) 586-593. DOI:10.1016/j.jallcom.2018.03.331 |
| [44] |
T. Chen, Z. Zhang, B. Cheng, et al., J. Am. Chem. Soc. 139 (2017) 12710-12715. DOI:10.1021/jacs.7b06973 |
| [45] |
C. Dai, J. Lin, W. Wang, et al., Adv. Funct. Mater. 28 (2018) 1704443. DOI:10.1002/adfm.201704443 |
| [46] |
T. Chen, L. Ma, B. Cheng, et al., Nano Energy 38 (2017) 239-248. DOI:10.1016/j.nanoen.2017.05.064 |
| [47] |
X. Cong, C. Cheng, Y. Liao, et al., J. Phys. Chem. C 119 (2015) 20864-20870. DOI:10.1021/acs.jpcc.5b07004 |
| [48] |
L. Wu, S. Tang, R. Qu, J. Mater. Sci. Mater. Electron. 30 (2019) 189-199. DOI:10.1007/s10854-018-0281-9 |
| [49] |
Y. Yang, D. Cheng, S. Chen, Y. Guan, J. Xiong, Electrochim. Acta 193 (2016) 116-127. DOI:10.1016/j.electacta.2016.02.053 |
| [50] |
H. Chen, J. Jiang, L. Zhang, et al., J. Power Sources 254 (2014) 249-257. DOI:10.1360/132013-185 |
| [51] |
Y. Zhu, X. Ji, Z. Wu, Y. Liu, Electrochim. Acta 186 (2015) 562-571. DOI:10.1016/j.electacta.2015.10.176 |
| [52] |
M.Y. Zhao, L. Zhu, B. Fu, et al., Acta Phys. Sin. 35 (2019) 193-199. DOI:10.3866/pku.whxb201801241 |
| [53] |
H. Chen, X. Ma, P.K. Shen, et al., Chem. Eng. J. 364 (2019) 167-176. DOI:10.1016/j.cej.2019.01.119 |
| [54] |
X. Chuan, L. Peng, N.G. Appala, et al., Chem. Mater. 27 (2015) 6482-6485. DOI:10.1021/acs.chemmater.5b01843 |
| [55] |
Q. Fan, W. Liu, Zh Weng, et al., J. Am. Chem. Soc. 137 (2015) 12946-12953. DOI:10.1021/jacs.5b07071 |
| [56] |
B. Liu, S. Huang, D. Kong, J. Hu, H.Y. Yang, J. Mater. Chem. A 7 (2019) 7604-7613. DOI:10.1039/c9ta00701f |
| [57] |
P. Chiochan, N. Phattharasupakun, J. Wutthiprom, et al., Electrochim. Acta 237 (2017) 78-86. DOI:10.1016/j.electacta.2017.03.199 |
| [58] |
W. Yang, W. Yang, J. Feng, X. Qin, J. Energy Chem. 27 (2018) 813-819. DOI:10.1016/j.jechem.2017.05.007 |
| [59] |
W. Tong, Y. Huang, W. Jia, et al., J. Alloys. Compd. 731 (2017) 964-970. |
| [60] |
J. Shen, J. Liu, Z. Liu, et al., Chem. Eur. J. 24 (2018) 4573-4582. DOI:10.1002/chem.201704590 |
| [61] |
X. Tan, X. Wang, X. Wang, et al., Ionics 25 (2019) 4047. DOI:10.1007/s11581-019-02969-8 |
| [62] |
X. Lu, Q. Zhang, J. Wang, et al., Chem. Eng. J. 358 (2019) 955-961. DOI:10.1016/j.cej.2018.10.104 |
| [63] |
Z.Z. Liu, L. Zhou, Q. Ge, et al., ACS Appl. Mater. Interfaces 10 (2018) 19311-19317. DOI:10.1021/acsami.8b03830 |
| [64] |
L. Kong, X. Chen, B.Q. Li, et al., Adv. Mater 30 (2018) 1705219. DOI:10.1002/adma.201705219 |
2021, Vol. 32 

