b State Key Laboratory of Bioreactor Engineering, School of Pharmacy, East China University of Science and Technology, Shanghai 200237, China
Small-molecule fluorophores are indispensable tools in biological and translational research by the virtue of their capability of highly temporal and spatial resolution visualizing of cellular or subcellular events [1-5]. Classic organic small-molecule fluorescent scaffolds, including coumarin, fluorescein, rhodamines, BODIPY, 1, 8-naphthalimide, cyanine et al., have found ubiquitous applications among such fields as labeling [6], bio-sensing [7-9], super-resolution fluorescence imaging [10], disease diagnose [11], drug discovery [12] and photodynamic/photothermal cancer therapy [13-15]. In light of the flourishing breakthroughs of fluorescence techniques, fluorophores with unique structure and functions are urgently sought after.
Apart from the de novo development of novel fluorophore scaffolds, judicious modifications of the existing small-molecule fluorophores have also been proven to be an effective approach for novel fluorophores [16-18]. Among those modifications, replacing one or more heteroatoms with other atoms from the same group of the periodic table has been demonstrated as a straightforward and robust strategy of creating new fluorophores by tuning the pushpull capacity of the electron donor (D)/acceptor (A), hence modulating the HOMO-LUMO energy gap of a D-π-A scaffold [19-21] (Fig. 1). Notably, the O→S type perturbation has been the most sought-after modification and the pertinent efforts have resulted in novel scaffolds exhibiting facile spectral and photophysical properties. For example, replacing the oxygen bridge of an oxazine dye by a less electron-donating sulfur atom produces thioxazine dyes, a notable example of which class is methylene blue, whose absorption maximum red-shifted by ca. 90 nm (Fig. 1a) [22] and is an efficient photosensitizer. Tolmachev et al. reported a series of NIR absorbing thio-cyanine dyes containing sulfur atoms, whose maximal absorption/emission wavelengths are red-shifted by ca. 80 nm compared to their oxygen congeners (Fig. 1b) [23]. Replacing the carbonyl of a coumarin into a thiocarbonyl group yields a thio-coumarin of moderately red-shifted absorption and dramatically red-shifted fluorescence emission from blue to yellow (Fig. 1c) [24, 25]. Currently, thio-coumarin derivatives have been extensively explored as potential treatments [26, 27] against depressing, bacterial infection, and more. It was also a fluorescent sensor for ClO- [28, 29], mCPBA [30] or Hg2+ [31], etc. Besides effecting bathochromism, thionation promotes efficient population of triplet states via inter-system crossing [32]. Photoexcitation of sulfur-purturbed scaffolds initiated a series of effective photosensitized reactions yielding reactive oxygen species. The excellent photosensitizing properties bestow thio-containing fluorophores enormous potentials for cancer treatment, as demonstrated by sulfur-substituted nucleobases [33-35].
|
Download:
|
| Fig. 1. Chemical structural modification by replacing oxygen atoms with sulfur atoms yields multiple novel fluorophores. | |
1, 8-Naphthalimide has been one of the most widely exploited fluorescent scaffolds due to its unique photophysical properties, versatile synthesis, facile derivatization, and biological activities [36-39]. Functional 1, 8-naphthalimide derivatives have found extensive applications in biochemical and medical scenarios as fluorescent sensors, imaging probes, anticancer agents, DNA intercalators [40-43]. A variety of 1, 8-naphthalimides with a –SH or –SR substitution at 4-position (either non-ring fused or thio-heterocyclic fused derivatives) were synthesized since 1960s (Fig. 1d). They were found to blue-shifted spectra, more potent DNA photocleaving capability and antitumor activities compared to their oxygen analogues [44-47]. Yet, the thio-analogues of 1, 8-naphthalimides by a substitution of the carbonyl with thiocarbonyl were not explored until 1999 by Qian et al. (Fig. 1d) [48]. Thiocarbonyl is isoelectronic to carbonyl. Though sulfur atom is less electronegative than oxygen. Thiocarbonyl is actually a stronger electron withdrawing group presumably due to the presence of vacant d-orbitals. Their unique structural and photophysical properties, such as a distinct red-shifted absorption, diminished fluorescence quantum yield, and higher intersystem crossing efficiency, enable thioxo-naphthalimide tremendous potentials in fields like phototherapy and sensing. In this short review, we introduce the synthesis and photophysical properties of thioxo-naphthalimides, and cover their application as efficient DNA photocleaver, potent photosensitizer and Hg2+ sensor.
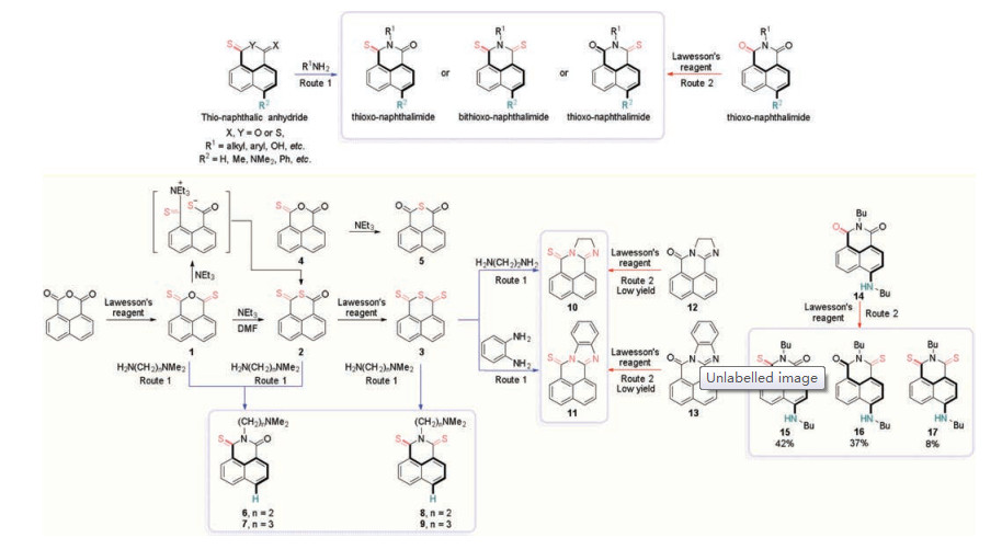
2. Synthesis of thioxo/dithioxo-1, 8-naphthalimidesTwo general synthetic pathways of thioxo-1, 8-naphthalimide (Fig. 2) were reported. Route 1 is condensation of various primary amines with thioxo/dithioxo/trithioxo-1, 8-naphthalic anhydride and it was via this route that Qian et al. prepared their first thioxo-1, 8-naphthalimide in 1999 [48]. Route 2 is the thionation of the carbonyl group in 1, 8-naphthalimide with commercial thiation regents such as the Lawesson's reagent (LR, 2, 4-bis(p-methox-yphenyl)-1, 3-dithia-2, 4-diphosphetane-2, 4-disulfide). Their use in synthesis should be subject to a judicious analysis of the functional group compatibility.
|
Download:
|
| Fig. 2. Two general synthetic routes of various substituted thioxo-1, 8-naphthalimide or dithioxo-1, 8-naphthalimides. | |
The first few thio-analogues of 1, 8-naphthalic anhydride (1-5) were reported by Cara et al. in 1984 [49] and synthetic details starting from 1, 8-naphthalic anhydride revealed in 1989 (Fig. 2) [50]. The thionoanhydrides (1, 4) underwent rapid rearrangements to isomeric thioanhydrides (2, 5) with tertiary amine as the catalyst, and the stable analogue trithioanhydride 3 was obtained by further thionation of 2 by the Lawesson's reagent. Compounds 1-3 were later employed as the imidation substrates in general synthetic route 1 for the preparation of the first representative thioxo-1, 8-naphthalimides (6-11) by Qian et al. with good yields ranging from 80%–98% [48]. It is noteworthy that the reactions of 1 and its isomeric 2 with the same amine substrate produced the identical thioxo-1, 8-naphthalimides product, which is obviously resulted from the rearrangement of thiocarbonyl to carbonyl after the nucleophilic attack of primary amine, similar to the triarylamine induced isomerization between thionoanhydrides 1 and 2. Special thioxo-1, 8-naphthalimides with an imine moiety (10, 11) could be synthesized by condensing trithioanhydride 3 and appropriate diamines such as ethylenediamine or o-phenylenediamine with relatively high yield of 79% and 76%, respectively. Sulfuration of the corresponding naphthalimides (12, 13) did not yield the intended products in a synthetically useful yield, though.
For naphthalimides with an amino group at the 4-position, the use of the route 2 is typically preferred, i.e., the direct thionation of the carbonyl group in a 1, 8-naphthalimides with the Lawesson's reagent. For example, thioxo-1, 8-naphthalimides (15, 16, 17, Fig. 2) could be selectively obtained from the reaction of the naphthalimide 14 with the Lawesso's reagent (Fig. 2), the equivalence of which has a large effect on the yield of three products [51]. Substrates with such functional groups as alcohols, esters, amides are not compatible with Lawesson's reagent. Nevertheless, routes 1 and 2 are powerful and together should suffice the routine need for preparation of thioxo/dithioxo-1, 8-naphthalimides.
3. Photophysical properties of substituted thioxo/dithioxo-1, 8-naphthalimidesIn general, replacing the oxygen atoms of the carbonyl groups of 1, 8-naphthalimide with sulfur atoms results in a bathochromic shift of the absorption spectra and a diminished fluorescence quantum yield due to the intersystem crossing (ISC) to a low-lying triplet state.
Thioxo/dithioxo-1, 8-naphthalimides had apparent red-shifted absorption spectra compared to their oxygen analogues (Table 1). Apparently, thiocarbonyl group is a stronger electron acceptor than carbonyl. This could be counterintuitive since sulfur atom is less electronegative than oxygen atom. Two factors may help account for this phenomenon. First, the p-bond between the sulfur and carbon is less strong than that between oxygen and carbon. This is because the 3p orbital of sulfur atom does not overlap with the 2p orbital of carbon as efficient as the 2p orbital of oxygen atom. So, there is a bigger partial positive charge on the carbon atom of thiocarbonyl than the carbonyl group. Second, sulfur atom has empty 3d orbital to acceptor electron density. 4-Amino-substituted 1, 8-naphthalimides, e.g., 14, had a maximum absorption at ca. 440 nm, with its monothionation derivatives (15 and 16) bathochromically shifted by ca. 60–80 nm, respectively [51]. And the dithionated product 17 red-shifted about nearly 140 nm with a maximum at 577 nm.
|
|
Table 1 Photophysical properties of thioxo-1, 8-naphthalimides. |
As in 1, 8-naphthalimides, the introduction of electron-donating groups at the 4-position also redshifts the maximal absorption wavelengths, due to the enhanced internal charge transfer (ICT) effect. This method is also applicable to thioxo/dithioxo-1, 8-naphthalimides. For example, with the 4-position substitution varied from hydrogen atom (NI-O) to methoxyl (MONI-O) to dimethylamino (MANI-O), the absorption spectra of naphthali-mides red-shifted for 20 nm and 60 nm, respectively (Table 1) [52]. In the case of dithioxo-1, 8-naphthalimide, the maximal absorption wavelength shifted from 442 nm (NI-S) to 468 nm (MONI-S) to 536 nm (MANI-S).
It is also noteworthy that the replacement of oxygen by sulfur was accompanied by a notable enhancement of the absorption coefficient. It has been empirically summarized from works with xanthene dyes that derivatization of a chromophores with high atomic-weight atoms increases their molar absorptivity. For example, the molar absorptivities of tetrahalogen-substituted fluoresceins are bigger than that of fluorescein [53]. So, the observation with thiocarbonyl is in line with this trend though there still lacks a theoretical explanation to this phenomenon.
1, 8-Naphthalimides with strong electron donating groups at 4-position typically emit strong fluorescence [54]. However, monothioxo-or dithioxo-1, 8-naphthalimides were essentially nonfluorescent, exemplified by 18 and NI-S with quantum yields < 0.001 and < 0.01, respectively. This fluorescence quenching phenomenon is because thionation promotes the intersystem crossing (ISC) from the singlet excited state to the triplet excited state. Actually, this phenomenon has also been observed in other chromophores containing thiocarbonyls groups such as thionated naphthalenediimide (S-NDI) [55] and thionated perylene diimides (S-PDI) derivatives (Fig. 3) [56].
|
Download:
|
| Fig. 3. Chemical structures of heavy-atom-free photosensitizer S-NDI and S-PDIs. | |
Thionation of carbonyl can enhance ISC through tuning the energy gaps between the Sn and Tm states and promoting their electronic coupling [57]. For example, S-NDI has S1/T3 states with similar energy while no such Sn/Tm states with similar energy were founded in its oxo-analogue, which explained an increased singlet oxygen yield of 56% from 7.0% after thionation. S-PDIs displayed rapid ISC to triplet states. Notably, S1-PDI exhibited the fastest ISC rate constant of 1.69×1012 s-1 among all the structures listed in Fig. 3. Interestingly, it seems that the rate of triplet formation does not have a strong correlation with the degree of thionation. These two series of thionated derivatives demonstrated that replacing oxygen atoms in fluorophores with sulfur atoms is a facile method to develop photosensitizers by promoting ISC. Based on the experimental and advanced computational studies by Patsenker et al., the presence of low-level triplet C=S-nπ*-states gave rise to the strong quenching of the S1* state of thioxo-naphthalimide derivatives [58], revealing that these thio-analogues could be the chemical space for discovery of novel functional dyes utilizing this fluorescence quenching and recovery strategy (Section 5). Also, dyes with high ISC efficiency find wide applications as DNA photocleavers or efficient photosensitizers (vide infra).
4. Thioxo-1, 8-naphthalimides as photosensitizers for DNA photocleavage or photodynamic therapyThe structural features of 1, 8-naphthalimide skeleton, i.e., rigidity, planarity and hydrophobicity, render it a promising scaffold as a DNA intercalator. Based on this hypothesis, abundant potent anticancer drugs have been developed. Over the past decades, our group have dedicated to exploring strategies of constructing effective naphthalimide antitumor derivatives, which were summarized in a lately published review [40]. Among those methods, simple substitution of carbonyl by thiocarbonyl was shown to be an efficient and interesting method.
DNA photocleavers refer to the molecules which can intercalate into the DNA duplex in the dark and then efficiently cleave DNA upon the irradiation of photochemical activation. In 2000, the next year after the Qian et al. first reported the series of thioxo-naphthalimide derivatives, their potential as DNA photocleavers were evaluated. The dithioxo-naphthalimide (8) and its oxo-analogue (8') were synthesized as the candidate photoactive compounds, and their DNA cleaving activities under photoirradiation were quantified by measuring the transformation of pUC 19 DNA (form Ⅰ) to the relaxed circular DNA (form Ⅱ) (Fig. 4) [59]. Upon irradiation with 366 nm for 2 h, 8 exhibited a much stronger DNA cleaving ability (132-fold) than its oxo-counterpart (Figs. 4a and b). The conversion did not involve singlet oxygen, superoxide, hydrogen peroxide or hydroxyl radicals, suggesting that DNA photocleavage by these two compounds involved the direct electron transfer from bases to the triplet state of the thioxo-1, 8-naphthalimide, i.e. a photodynamic type I reaction.
|
Download:
|
| Fig. 4. Thioxo-1, 8-naphthalimide derivatives as efficient DNA photocleavers. (a) Chemical structures of 8' and 8. (b) Effect of 366 nm irradiation on single-strand cleavage by 8' and 8. Electrophoresis of mixtures of pUC19 plasmid DNA (4 μmol/L) with 50 μmol/L 8' or 8. Reproduced with permission [59]. Copyright 2000, The Royal Society of Chemistry. (c) Chemical structures of C0–C11. (d) Photocleaving activities, spectra data and calculated parameters of C0–C11. (e) Time-dependant photocleavage of DNA using C6 (100 μmol/L). Lane 1: DNA alone (no hv); Lane 2: C6 and DNA (hv, 90 min); Lane 3: C6 and DNA (hv, 75 min); Lane 4: C6 and DNA (hv, 60 min); Lane 5: C6 and DNA (hv, 30 min); Lane 6: DNA alone (hv, 1.5 h). (f) Concentration dependant photocleavage of DNA using C6 (hv, 1 h). Lane 1: DNA alone (no hv); Lane 2–8: DNA and C6 at concentrations of 2, 5, 10, 20, 50, 100, and 200 μmol/L, respectively. Lane 9: DNA alone (hv). (d-f) Reproduced with permission [61]. Copyright 2003, Elsevier. | |
In 2001 [60] and 2004 [61], our group continued the thioxo-replacement strategy and synthesized and evaluated a family of N-benzoyloxythioxonaphthalimides (C0–C11, Fig. 4c) as novel highly efficient 'time-resolved' DNA photocleavers, by releasing aroyloxyl radicals. By integrating the structural feature of DNA photocleavers based on the release of hydroxy or aroyloxy radicals, the excellent DNA intercalative binding abilities of 1, 8-naphthalimide with a red-shifted absorption and the thionation promoted intersystem crossing efficiency, the structures of N-benzoyloxythioxonaphthalimides (C0–C11) were designed. The synthesis was realized by condensation of N-hydroxy–thionaphthalimide (obtained by the reaction of 4 and hydroxylamine) with substituted benzoyl chlorides. All thioxo-analogues (C1–C11) exhibited weak fluorescence and the excited deactivated via hemolysis of the N–O bond. With AM1 semi-empirical quantum calculation, it was found that their photocleaving activities were correlated with the densities of electron clouds on the N–O bonds bonds in the triplet state (Fig. 4d). The photocleaving activities were fine-tuned by substituents of the radicals. Among these candidates, C6 was particularly effective and as low as 2 μmol/L was sufficient to damage DNA. This presumably was attributed to its capability to generate a stream of aroyloxyl radicals at a relatively steady rate rather than a rapid burst (Figs. 4e and f). This could be useful in 'time-resolved' DNA cleavage related researches.
In summary, the upper two series of photocleavers based on the scaffolds of monothioxo- or dithioxo-naphthalimides revealed that replacing carbonyl with thiocarbonyl is a general and effective strategy for constructing novel photocleaving agents of DNA.
The enhanced intersystem crossing efficiency by simply thionation of naphthalimides rendered it a potential strategy of developing novel potent photosensitizers. Yoon et al. designed and synthesized three dithioxo-1, 8-naphthalimides, i.e., RNI-S, MONI-S and MANI-S (Table 1 and Fig. 5a), and evaluated their potentials as heavy-atom-free photosensitizers in solution and cells [52]. Replacing both carbonyl groups with thiocarbonyl groups resulted in nearly complete fluorescence quenching (ΦFL~0), an approximately 100 nm bathochromic shift in the absorption maximum and an increase of the molar absorption coefficients (Table 1). With the enhancement of electron-donating ability by substituting the 4-position of the skeleton of dithioxo-1, 8-naphthalimide with electron donating groups, the singlet oxygen quantum yield increased from 0.32 (RNI-S) to 0.74 (MONI-S) to nearly 1.00 (MANI-S) (Table 1). The mechanism was explained by theoretical calculations which revealed that small singlet-triplet energy gaps and large spin-orbit coupling constants could account for the efficient population of the triplet state of RNI-S. MANI-S self-assembled to H-aggregates with a quenched ROS generation efficiency and disassembled into monomers upon the reaction with protein (Fig. 5b), leading MANI-S to be a tunable "off-on" type photosensitizer. MANI-S could produce both O2·- and 1O2, indicating that it could be a photosensitizer via type-I and type-II mechanism. Later cellular experiments illustrated that MANI-S significantly inhibited HeLa cell proliferation both in normoxia (20% O2, 89% cell inhibition) and hypoxia (1% O2, 87% cell inhibition) (Fig. 5c).
|
Download:
|
| Fig. 5. (a) Chemical structures of RNI-S. (b) Schematic illustration of the assembly and partial disassembly processes of MANI-S. (c) Cell viability of HeLa cells after treatment with different concentrations of MANI-S and MB under normoxia (20% O2) and hypoxia (1% O2) along with irradiation. μM: μmol/L. (d) Fluorescence microscope images of HeLa cells after treatment with MANI-S (0.5 μmol/L) under hypoxia and loaded with calcein-AM (2 μmol/L, live cell marker), PI (4 μmol/L, dead cell marker), DCFH-DA (total ROS probe) or DHE (superoxide probe). Reproduced with permission [52]. Copyright 2019, American Chemical Society. | |
The photocytotoxicity and ROS producing ability of MANI-S were further demonstrated by confocal fluorescence imaging (Fig. 5d). Recently, a lysosome-localized thionaphthalimide photosensitizer (LSNI-S) was synthesized by the same group [62]. Dithioxo-1, 8-naphthalimide was proved to be a promising photosensitizer even under hypoxia, which would greatly promote its application in PDT. Thionation of 1, 8-naphthalmides was proven to be a general strategy of increasing ISC efficiency, which could be applied to any other scaffolds. Such a simple and efficient modification based on the current structures might find tremen-dous potential applications in the development of novel DNA intercalating and efficient photosensitizer.
5. Thioxo-1, 8-naphthalimides as fluorescent probes for mercaptophilic metal ions via desulfurizationNumerous 1, 8-naphthalimide derivatives have been developed as fluorescent probes or targeting imaging agents, due to their excellent photochemical and spectroscopic properties, ease of synthesis and versatile structural modifications. However, with the substitution of oxygen with sulfur atoms, the fluorescence of the thioxo-1, 8-naphthalimides is barely visible, which hampers their applications as bright fluorophores assisting in lighting up targeted molecules or cellular biological process. So, thioxo-1, 8-naphtha-limidesbased fluorescent sensing and imaging was limited in occasions where their fluorescence can be recovered upon reacting with the targeted substrates. Multiple sulfur-containing organic small-molecule probes were designed taking advantage of the strong thiophilic affinity of Hg2+ [63-65]. Mercury-promoted desulfurization of thiocarbonyl groups have been used in the construction of highly selective chemodosimeters for Hg2+, e.g., thioamide [66], thiocoumarin [31], thiosemicarbazide [67] and thione structures [68].
In 2013, Chang et al. designed and synthesized a series of new thioxo-1, 8-naphthalimides (15–17, Fig. 6a) for the purpose of selective sensing of Hg2+ through desulfurization of the thioimide to imide (Fig. 6b) [51]. Among these three thioimide-based probes, an anti-type monothioxo-naphthalimide (15, Figs. 6b–e) exhibited relatively optimized Hg2+ chromogenic signaling behavior both in selectivity and signaling time. In 30% aqueous acetonitrile solution, it showed a "naked-eye" solution color change from red to yellow with a long-wavelength absorption band at 507 nm diminished and a new band at 439 nm emerged (Fig. 6c). The absorption ratio of the two distinct wavelengths (A439/A507) of 15 increased by 155-fold within 5 min in the presence of 30 equiv. of Hg2+. Concomitantly, the fluorescence at 537 nm exhibited a prominent over 300-fold turn-on (Fig. 6d). The detection limit of mercury ions in 30% aqueous acetonitrile was estimated to be 2.7 μmol/L (Fig. 6e). The sensing mechanism of desulfurization of the thioimide induced by Hg2+ was confirmed by NMR, UV–vis, and fluorescence spectra measurements. The other isomeric mono-thio-analogue 16 easily formed a complex with Hg2+ in a short time and its desulfuration required 2 days. And the dithio-derivative 17 was rapidly desulfurized to the monothiol-derivative 16. Further desulfurization to 14 was rather slow. So, neither 16 nor 17 was a good Hg2+ sensor, yet. Probe 15 exhibited considerable signal change upon other thiophilic gold ions, such as Au+ and Au3+. This was also the situation for thiocoumarin-based Hg2+ probes, which is a limitation of this kind of Hg2+ probes relying on the desulfuration of thiocarbonyl group.
|
Download:
|
| Fig. 6. Thioxo-1, 8-naphthalimides developed for the selectively sensing of Hg2+. (a) Chemical structures of 15–17. (b) The sensing mechanism of desulfurization of the thioimide to imide induced by Hg2+. (c) Absorbance ratio A439/A507 of 15 (10 μmol/L) in the presence of various metal ions (300 μmol/L). Inset: UV–vis absorption spectra of 15 in the presence of various metal ions. (d) Fluorescence intensity ratio I/I0 of 15 (5 μmol/L) at 537 nm in the presence of various metal ions (150 μmol/L). λex = 460 nm. Inset: fluorescence spectra of 15 in the presence of various metal ions. (e) Hg2+ concentration dependent fluorescence changes of 15 (5 μmol/L). λex = 460 nm. Inset shows the changes in fluorescence intensity at 537 nm. All tests were operated in a mixture of CH3CN and acetate buffer solution (7:3, v/v, pH 4.8, 10 mmol/L). Reproduced with permission [51]. Copyright 2013, Elsevier. | |
Substitution of the oxygen atoms of carbonyl groups in 1, 8-naphthalimides with sulfur atoms yields monothioxo- or dithioxo-1, 8-naphthalimides, which were first developed by Qian et al. in 1999. The synthesis could be easily realized by a one-pot thionation with Lawesson's reagent on the current skeleton of naphthalimides. Compare to their oxo-analogues, thioxo-1, 8-naphthalimides have unique photochemical and photophysical characteristics including a progressively bathochromic absorption shift, increased molar absorption coefficients, dramatically enhanced intersystem crossing efficiency, which could be utilizing in the design of novel fluorescent probes based on the reaction of thiocarbonyl, highly potent DNA photocleavers and promising photosensitizers in cancer therapy.
Currently, the researches on thioxo-1, 8-naphthalimides are still limited on exploring their preliminary photophysical properties and the limited structural diversity hindered their scope of application. Versatile hidden features of this novel scaffold are still awaiting much further exploration. For instance, thionation of carbonyl group might reshape the surface charge distribution of the original naphthalimides and create a new chemical skeleton endowing them with new pharmaceutical properties. The construction of a diversity-oriented thioxo-1, 8-naphthalimides library could provide potential platform for screening novel molecular drugs. As excellent photosensitizers with high ISC efficiency, thioxo-1, 8-naphthalimides can easily produce various ROS. The thiocarbonyl group could be oxidized by ROS (such as hydroxyl radical or singlet oxygen) followed by further hydrolysis [69], resulting in the formation of their oxo-naphthalimide analogues accompanied by recovered fluorescence, which might render them potential in super-resolution imaging as photoactivatable fluorophores.
In conclusion, thionation of carbonyl into thiocarbonyl is a general effective strategy of manipulation the photochemical and photophysical properties of the existing fluorophores. We hope that this short review about the rarely explored thioxo-1, 8-naphthalimides could stimulate renewed interest in the scaffold and provide some insight for the related researchers to promote their biological, pharmaceutical applications.
Declaration of competing interestThe authors declare no competing financial interest.
AcknowledgmentsThe work is supported by the National Natural Science Foundation of China (Nos. 21822805 and 21908065), Shanghai Municipal Science and Technology Commission (No. 18DZ1112703) and China Postdoctoral Science Foundation (No. 2019M651427).
| [1] |
A.P. de Silva, H.Q.N. Gunaratne, T. Gunnlaugsson, et al., Chem. Rev. 97 (1997) 1515-1566. DOI:10.1021/cr960386p |
| [2] |
L.D. Lavis, R.T. Raines, ACS Chem. Biol. 3 (2008) 142-155. DOI:10.1021/cb700248m |
| [3] |
M.Y. Berezin, S. Achilefu, Chem. Rev. 110 (2010) 2641-2684. DOI:10.1021/cr900343z |
| [4] |
D.M. Jameson, J.A. Ross, Chem. Rev. 110 (2010) 2685-2708. DOI:10.1021/cr900267p |
| [5] |
K.P. Carter, A.M. Young, A.E. Palmer, Chem. Rev. 114 (2014) 4564-4601. DOI:10.1021/cr400546e |
| [6] |
K.M. Dean, A.E. Palmer, Nat. Chem. Bio. 10 (2014) 512-523. DOI:10.1038/nchembio.1556 |
| [7] |
D. Cao, Z. Liu, P. Verwilst, et al., Chem. Rev. 119 (2019) 10403-10519. DOI:10.1021/acs.chemrev.9b00145 |
| [8] |
L. Yuan, W.Y. Lin, K.B. Zheng, L.W. He, W.M. Huang, Chem. Soc. Rev. 42 (2013) 622-661. DOI:10.1039/C2CS35313J |
| [9] |
M. Vendrell, D. Zhai, J.C. Er, Y.T. Chang, Chem. Rev. 112 (2012) 4391-4420. DOI:10.1021/cr200355j |
| [10] |
B. Huang, M. Bates, X. Zhuang, Annu. Rev. Biochem. 78 (2009) 993-1016. DOI:10.1146/annurev.biochem.77.061906.092014 |
| [11] |
H. Kobayashi, M. Ogawa, R. Alford, P.L. Choyke, Y. Urano, Chem. Rev. 110 (2010) 2620-2640. DOI:10.1021/cr900263j |
| [12] |
M. Rudin, R. Weissleder, Nat. Rev. Drug Disc. 2 (2003) 123-131. DOI:10.1038/nrd1007 |
| [13] |
C. Yan, L. Shi, Z. Guo, W. Zhu, Chin. Chem. Lett. 30 (2019) 1849-1855. DOI:10.1016/j.cclet.2019.08.038 |
| [14] |
M. Ethirajan, Y. Chen, P. Joshi, R.K. Pandey, Chem. Soc. Rev. 40 (2011) 340-362. DOI:10.1039/B915149B |
| [15] |
H.S. Jung, P. Verwilst, A. Sharma, et al., Chem. Soc. Rev. 47 (2018) 2280-2297. DOI:10.1039/C7CS00522A |
| [16] |
L.D. Lavis, Annu. Chem. Biochem. 86 (2017) 825-843. DOI:10.1146/annurev-biochem-061516-044839 |
| [17] |
X. Luo, J. Li, J. Zhao, et al., Chin. Chem. Lett. 30 (2019) 839-846. DOI:10.1016/j.cclet.2019.03.012 |
| [18] |
F. Deng, Z. Xu, Chin. Chem. Lett. 30 (2019) 1667-1681. DOI:10.1016/j.cclet.2018.12.012 |
| [19] |
M. Fu, Y. Xiao, X. Qian, Chem. Commun. 15 (2008) 1780-1782. |
| [20] |
Y. Koide, Y. Urano, K. Hanaoka, T. Terai, T. Nagano, ACS Chem. Biol. 6 (2011) 600-608. DOI:10.1021/cb1002416 |
| [21] |
A. Fukazawa, S. Suda, M. Taki, et al., Chem. Commun. 52 (2016) 1120-1123. DOI:10.1039/C5CC09345G |
| [22] |
M. Rafatullah, O. Sulaiman, R. Hashim, A. Ahmad, J. Hazard. Mater. 177 (2010) 70-80. DOI:10.1016/j.jhazmat.2009.12.047 |
| [23] |
J. Fabian, Chem. Rev. 92 (1992) 1197-1226. DOI:10.1021/cr00014a003 |
| [24] |
S. Devanathan, V. Ramamurthy, J. Org. Chem. 53 (1988) 741-744. DOI:10.1021/jo00239a007 |
| [25] |
G.C. Nandi, S. Samai, M.S. Singh, J. Org. Chem. 75 (2010) 7785-7795. DOI:10.1021/jo101572c |
| [26] |
O. Meth-Cohn, B. Tarnowski, Adv. Heterocycl. Chem. 26 (1980) 115-133. |
| [27] |
A. Maresca, C. Temperini, L. Pochet, et al., J. Med. Chem. 53 (2010) 335-344. DOI:10.1021/jm901287j |
| [28] |
Q. Fang, H. Tian, L. Yang, Sens. Actuators B 260 (2018) 146-155. DOI:10.1016/j.snb.2017.12.142 |
| [29] |
J.O. Moon, J.W. Lee, M.G. Choi, S. Ahn, S.K. Chang, Tetrahedron Lett. 53 (2012) 6594-6597. DOI:10.1016/j.tetlet.2012.09.110 |
| [30] |
S. Cha, J. Hwang, M.G. Choi, S.K. Chang, Tetrahedron Lett. 51 (2010) 6663-6665. DOI:10.1016/j.tetlet.2010.10.066 |
| [31] |
M.G. Choi, Y.H. Kim, J.E. Namgoong, S.K. Chang, Chem. Commun. (2009) 3560-3562. |
| [32] |
M. Pollum, S. Jockusch, C.E. Crespo-Hernandez, Phys. Chem. Chem. Phys. 41 (2015) 27851-27861. |
| [33] |
P. Karran, N. Attard, Nat. Rev. Cancer 8 (2008) 24-36. DOI:10.1038/nrc2292 |
| [34] |
M. Pollum, S. Jockusch, C.E. Crespo-Hernandez, J. Am. Chem. Soc. 136 (2014) 17930-17933. DOI:10.1021/ja510611j |
| [35] |
S. Mai, M. Pollum, L. Martinez-Fernandez, et al., Nat. Commun. 7 (2016) 13077. DOI:10.1038/ncomms13077 |
| [36] |
X. Qian, S. Ren, J. Chem. Eng. Data 33 (1988) 528-529. DOI:10.1021/je00054a038 |
| [37] |
X. Qian, Z. Zhu, K. Chen, Dyes Pigm. 11 (1989) 12-20. |
| [38] |
R.M. Duke, E.B. Veale, F.M. Pfeffer, et al., Chem. Soc. Rev. 10 (2010) 3936-3953. |
| [39] |
S. Banerjee, E.B. Veale, C.M. Phelan, et al., Chem. Soc. Rev. 42 (2013) 1601-1618. DOI:10.1039/c2cs35467e |
| [40] |
Z. Chen, Y. Xu, X. Qian, Chin. Chem. Lett. 29 (2018) 1741-1756. DOI:10.1016/j.cclet.2018.09.020 |
| [41] |
Y.G. Gao, F.L. Liu, S. Patil, et al., Front. Chem. 7 (2019) 616. DOI:10.3389/fchem.2019.00616 |
| [42] |
P. Gopikrishna, N. Meher, P.K. Iyer, ACS Appl. Mater. Interfaces 10 (2018) 12081-12111. DOI:10.1021/acsami.7b14473 |
| [43] |
M.D. Tomczyk, K.Z. Walczak, Eur. J. Med. Chem. 159 (2018) 393-422. DOI:10.1016/j.ejmech.2018.09.055 |
| [44] |
I. Ott, Y.F. Xu, J.W. Liu, et al., Biorg. Med. Chem. 16 (2008) 7107-7116. DOI:10.1016/j.bmc.2008.06.052 |
| [45] |
Y.G. Li, Y.F. Xu, X.H. Qian, B. Qu, Tetrahedron Lett. 45 (2004) 1247-1251. DOI:10.1016/j.tetlet.2003.11.145 |
| [46] |
X.H. Qian, Y.G. Li, Y.F. Xu, et al., Bioorg. Med. Chem. Lett. 14 (2004) 2665-2668. DOI:10.1016/j.bmcl.2004.02.059 |
| [47] |
Y.F. Xu, B.Y. Qu, X.H. Qian, Y.G. Li, Bioorg. Med. Chem. Lett. 15 (2005) 1139-1142. DOI:10.1016/j.bmcl.2004.12.011 |
| [48] |
T.B. Huang, J. Zhang, D. Zhu, W. Yao, X. Qian, Synthesis 7 (1999) 1109-1111. |
| [49] |
M.V. Lakshmikantham, P. Carroll, G. Furst, M.I. Levinson, M.P. Cara, J. Am. Chem. Soc. 106 (1984) 6084-6085. DOI:10.1021/ja00332a058 |
| [50] |
M.V. Lakshmikantham, W. Chen, M.P. Cara, J. Org. Chem. 54 (1989) 4746-4750. DOI:10.1021/jo00281a011 |
| [51] |
J.O. Moon, M.G. Choi, T. Sun, J.I. Choe, S.K. Chang, Dyes Pigm. 96 (2013) 170-175. DOI:10.1016/j.dyepig.2012.08.007 |
| [52] |
V.N. Nguyen, S. Qi, S. Kim, et al., J. Am. Chem. Soc. 141 (2019) 16243-16248. DOI:10.1021/jacs.9b09220 |
| [53] |
D.C. Neckers, J. Photochem, Photobiol. A:Chem. 47 (1989) 1-29. DOI:10.1016/1010-6030(89)85002-6 |
| [54] |
L. Zhou, L. Xie, C. Liu, Y. Xiao, Chin. Chem. Lett. 30 (2019) 1799-1808. DOI:10.1016/j.cclet.2019.07.051 |
| [55] |
M. Hussain, J. Zhao, W. Yang, et al., J. Lumin. 192 (2017) 211-217. DOI:10.1016/j.jlumin.2017.06.050 |
| [56] |
A.J. Tilley, R.D. Pensack, T.S. Lee, et al., J. Phys. Chem. C 118 (2014) 9996-10004. DOI:10.1021/jp503708d |
| [57] |
J. Zhao, K. Chen, Y. Hou, et al., Org. Biomol. Chem. 16 (2018) 3692-3701. DOI:10.1039/C8OB00421H |
| [58] |
L.D. Patsenker, Y.Y. Artyukhova, J. Mol. Struct. 655 (2003) 311-320. DOI:10.1016/S0022-2860(03)00318-1 |
| [59] |
X. Qian, T.B. Huang, D.Z. Wei, et al., J. Chem. Soc. Perkin Trans. I 2 (2000) 715-718. |
| [60] |
X. Qian, W. Yao, G. Chen, X. Huang, P. Mao, Tetrahedron Lett. 42 (2001) 6175-6178. DOI:10.1016/S0040-4039(01)01214-X |
| [61] |
Y. Xu, X. Huang, X. Qian, W. Yao, Bioorg. Med. Chem. 12 (2004) 2335-2341. DOI:10.1016/j.bmc.2004.02.013 |
| [62] |
V.N. Nguyen, G. Baek, S. Qi, et al., Dyes Pigm. 177 (2020) 209265. |
| [63] |
Y.K. Yang, K.J. Yook, J.A. Tae, J. Am. Chem. Soc. 127 (2005) 16760-16761. DOI:10.1021/ja054855t |
| [64] |
W. Shi, H. Ma, Chem. Commun. (2008) 1856-1858. |
| [65] |
M. Li, X.J. Li, H.Y. Lu, C.F. Chen, Sens. Actuators B 202 (2014) 583-587. DOI:10.1016/j.snb.2014.06.001 |
| [66] |
M.Y. Chae, A.W. Czarnik, J. Am. Chem. Soc. 114 (1992) 9704-9705. DOI:10.1021/ja00050a085 |
| [67] |
W. Ma, Q. Xu, J. Du, et al., Spectrochim. Acta Part A 76 (2010) 248-252. DOI:10.1016/j.saa.2010.03.028 |
| [68] |
G. Zhang, D. Zhang, S. Yin, et al., Chem. Commun. (2005) 2161-2163. |
| [69] |
R.G. Shinde, A.A. Khan, A. Barik, Free Radical Res. 53 (2019) 629-640. DOI:10.1080/10715762.2019.1617417 |
2020, Vol. 31 

