b Shaanxi Institute of Flexible Electronics(SIFE), Northwestern Polytechnical University(NPU), Xi'an 710072, China
Flexible/wearable electronic devices are hot topics in today's society due to the many advantages such as being flexible, thin and lightweight [1-5]. As the fundamental powering building blocks for electronic devices, efficient energy storage devices play an important role in the development of flexible/wearable electronics [6-9]. However, conventional energy storage devices, such as batteries [10, 11] and electrolytic capacitors [12] are not suitable for use in flexible/wearable electronic devices because they fail to be lightweight, ultra-thin, and flexible [13, 14]. In this regard, it is imperative to fabricate new energy storage devices with not only sufficient power and energy density but also good flexibility to meet the demands of the development of flexible electronics. Thinfilm supercapacitors represent a new type of energy storage devices which bridge the gap between conventional electrolytic capacitors and batteries because of their larger energy density as compared with that of electrolytic capacitors and superior power density relative to that of batteries. Moreover, supercapacitors usually possess fast charging-discharging speed, long cyclic life time and comparatively excellent flexibility [15, 16]. In this context, thin-film supercapacitors have been regarded as one of the most promising powering building blocks to facilitate the improvement of flexible/wearable electronics. Thin-film supercapacitors with sandwiched structure are currently the most commonly used flexible supercapacitors due to their simple fabrication process, low cost and ease of mass production. However, their large interface resistances and long ion diffusion paths lead to their relatively low energy densities, partly restricting their practical applications. Recently, flexible micro-supercapacitors (MSCs) with interdigitated configurations have attracted more and more attentions from both the academia and the industry because of their high energy density and excellent rate capability as a consequence of the short ion diffusion path, etc. [17-24].
Fabricating flexible MSCs is thus very significant but still challenging in flexible/wearable electronics. The key challenges in fabricating all-solid-state flexible MSCs not only lie in exploring excellent active electrode materials with high electrochemical performance and suitable substrate materials with low cost and high flexibility but also in developing simple methods for fabricating interdigitated patterns. Currently used active electrode materials are mainly classified into two kinds according to their working mechanism. Carbon based materials, also known as electric double-layer capacitors (EDLC), store energy by rapid ion adsorption/desorption at the interface between the electrode material and the electrolyte, showing long life time but with relatively low specific capacitance. By contrast, pseudocapacitive materials, such as conductive polymers and metal oxides, store energy by completely reversible faraday oxidation-reduction reaction, showing higher specific capacitance but lower cyclic stability. Combining the two kinds of electrodes can make full use of their advantages but overcome their weaknesses, providing a novel path to achieving high-performance supercapacitors [25]. As for substrate materials, paper provides a new paradigm for them due to its unique structural features (highly porous and hydrophilic) [13], which is quite different from conventional flexible substrates (e.g., polyethylene terephthalate (PET) [26], polydimethylsiloxane (PDMS) [27]). Meanwhile, paper is cheap, low-cost, and environmentally friendly. Therefore, paper has been demonstrated as a promising substrate for the fabrication of light and flexible energy storage devices [28, 29]. Of the many methods to fabricate interdigitated MSCs, pencil drawing is a promising approach which is simpler and cheaper than conventional photolithography, magnetron sputtering and vacuum vapor deposition [28]. The main composition of the pencil is graphite and clay (mainly SiO2) and can be easily drawn on flexible paper substrates. The as-drawn pencil traces are mainly composed of percolated graphite particle networks with relatively high electrical conductivity ranging from 109Ω/sq to 556Ω/sq and moderate electrochemical energy storage capability, which manifests great promise in flexible paper-based storage devices [30]. M.P. Down et al. studied different types of pencil drawing interdigitated electrodes. They demonstrated that the pencil traces could be used as EDLC electrode materials but with a relatively low specific capacitance because of a certain amount of clay in them [30]. Thus, it is necessary to further improve the electrochemical performance to meet the demands of the practical applications. To this end, as mentioned above, asymmetric device configuration combining the two energy storage mechanism can be adopted by adding a different pseudocapacitive electrode material into the graphite. As a typical pseudocapacitive electrode material, manganese dioxide (MnO2) is widely studied as electrode material for supercapacitors because of its abundance, high theoretical capacity, and environmental compatibility [31-33].
In this context, we present herein our successful development of a simple methodology to construct interdigitated all-solid-state asymmetric flexible MSCs based on paper substrates by using pencil drawing traces and electrodeposited MnO2/pencil traces as the electrodes. The as-fabricated all-solid-state flexible MSCs could make full use of the two mechanism and thus exhibited comparatively high specific capacitance of 220μF/cm2 at 2.5μA/cm2, which is much higher than that of some excellent previously reported supercapacitors [30, 34, 35]. Besides excellent electrochemical performance, MSCs also showed superior flexibility. The resultant high-performance paper-based MSCs fabricated by the simple pencil drawing methodology pave the way to developing low-cost and efficient energy storage devices for flexible electronic devices.
The all-solid-state flexible MSCs were fabricated as follows: To begin with, electrodes with interdigitated patterns were drawn on a piece of filter paper using a 12B pencil until a layer of thin graphite sheet was evenly deposited on the paper. Then, MnO2 was selectively electrochemically deposited on one finger electrode in 0.3 mol/L Mn(CH3COO)2 solution. Three-electrode system was used in the electrodeposition process using Hg/HgCl2 as the reference electrode, platinum wire as the counter electrode and the pencil trace as the working electrode. MnO2 was electrodeposited by cyclic voltammetry (CV) in which the potential window from 2.0 V to 2.4 V, scanning rate of 10 mV/s and sweep segments of 2 were set, respectively. Then the sample was washed with deionized water and dried at room temperature. Then, 1 g polyvinyl alcohol (PVA), 10 mL deionized water and 1 g H3PO4 were mixed and stirred at 90 ℃ until the solution became a clear gel. After the PVA gel was cooled down to room temperature, the gel electrolyte was coated on the electrode surface to assemble the asymmetric all-solid-state flexible MSCs. Wherein, common experimental filter paper (medium-speed qualitative) was used as the substrate without extra pretreatment. PVA (Mw ≈ 150000) was purchased from Aladdin reagent Co., Ltd. Manganese acetate (Mn(CH3COO)2, A.R.) and acetic acid (CH3COOH, A.R.) purchased from Aladdin Industrial Corporation (Shanghai, China) were used without further purification. Commercial 12B pencil (CHUNG HWA, China) was used to draw the interdigitated traces.
Materials characterization were conducted by scanning electron microscopy (SEM) (Hitachi S-4800), optical microscopy, X-ray diffraction (XRD, D8 ADVANCE), X-ray photoelectron spectroscopy (XPS, Axis Supra) and electrochemical workstation (CHI 660E).
The fabrication processes of the paper-based all-solid-state flexible MSCs are schematically illustrated in Fig. 1a. Firstly, the interdigitated fingers with silver-grey color were drawn on the paper. Afterward, MnO2 was electrodeposited on one of the fingers, showing a black color, which demonstrated the successful deposition of MnO2 on the conductive pencil trace (Fig. 1b). Finally, the electrolyte was coated onto the electrodes to accomplish the fabrication of MSCs.
|
Download:
|
| Fig. 1. (a) Schematic illustrations of the fabrication process of paper-based all-solidstate flexible MSCs. (b) Optical image of paper-based all-solid state flexible MSC. SEM images of (c) pencil trace and (d) pencil trace/MnO2. | |
The SEM image of the pencil trace (Fig. 1c) reveals flake-like morphology of the resultant pencil trace. In sharp contrast, the morphology obviously changed after the electrodeposition of MnO2, as shown in Fig. 1d. It was observed that porous structure composed of nanoplates was formed after electrodepositing MnO2. The porous structure was beneficial to accommodating more ions/charges and reducing the ion diffusion length, favorable for improving the electrochemical performance of MSCs. As illustrated in Fig. 2, no obvious changes were observed for the micromorphologies of the electrode materials before and after being bent, demonstrating their comparatively strong adhesive force to the paper substrate and thus the superior mechanical flexibility. The mechanical adhesion between the electrode material and the paper substrate was tested by bending several times. Under the optical microscope, no significant damage to the electrode material film was observed, indicating that the electrode material was strongly bonded to the paper substrate. The excellent mechanical properties and strong adhesion make the electrodes suitable for flexible binder-free all-solid-state MSCs.
|
Download:
|
| Fig. 2. SEM images of pencil traces before (a) and after (b) being bent. SEM images of pencil traces/MnO2 before (c) and after (d) being bent. | |
The MnO2/pencil traces composite films were surveyed by XPS. Fig. 3a shows the survey spectrum of the sample, which clearly manifests the presence of Mn, C and O in the compound. As shown in Fig. 3b, the XPS spectrum of Mn 2p exhibits two major peaks at binding energies of 641 eV and 652.6 eV with a spin-energy separation of 11.6 eV, which are characteristics of MnO2 phase and in good accordance with other reports on MnO2 phases [36]. Figs. 3c and d show the high-resolution XPS spectra of C 1s and O 1s. These results indicated the formation of MnO2 layer on pencil trace film. Fig. 3e shows the XRD spectrum of the as-prepared pencil traces/MnO2. It could be deduced that the electrodeposited MnO2 was α-MnO2 according to the typical diffraction peaks, as compared with the standard diffraction results from JCPDS (Joint Committee on Powder Diffraction Standards).
|
Download:
|
| Fig. 3. (a) XPS survey spectra of the MnO2/pencil traces. XPS spectra of Mn 2p (b), C 1s (c) and O 1s (d), respectively. (e) XRD spectrum of the MnO2/pencil drawing traces. | |
To explore the electrochemical performance of the flexible allsolid-state MSCs, their Cyclic Voltammetry (CV) and Galvanostatic charge/discharge (GCD) curves were tested in two-electrode system. In the two-electrode system, the areal specific capacitance (Cs), energy density (Ec) and the power density (Pc) can be calculated using the following equations:
|
I is the discharge current (A), Δt is the discharge time (s), ΔV is the potential window for discharging (V), S is the effective surface area of the electrode material (cm2).
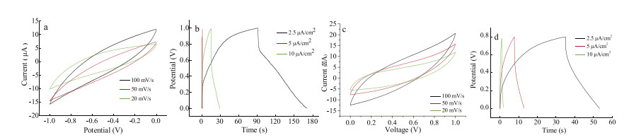
The CV curves of the asymmetric supercapacitors at different scan rates from 20 mV/s to 100 mV/s and GCD curves at various current densities from 0.1 μA/cm2 to 5 μA/cm2 are shown in Figs. 4a and b, respectively. Figs. 4c and d are the CV and GCD curves of the symmetrical supercapacitors using only the pencil traces as the two electrodes. As shown in Fig. 4a, the CV curves kept in nearly rectangular shapes at different scan rates indicated that the device showed good capacitive performance. The resultant supercapacitors demonstrated a high areal specific capacitance of 220 μF/cm2 at 2.5 μA/cm2 calculated from the GCD curves (Fig. 4b), which is much higher than that of some excellent previously reported supercapacitors (Table 1) [30, 34, 35]. The energy density and the power density of the flexible asymmetric micro-supercapacitors were up to 110 μWh/cm2 and 1.2 μW/cm2, respectively. Moreover, the asymmetrical supercapacitors could work well at a voltage window from 0 to 1 V. The comparatively operating voltage manifested their promise in practical applications. By the sharp contrast, the symmetrical supercapacitors based on two pencil-traces had an areal specific capacitance of only 56 μF/cm2 at 2.5 μA/cm2 and the voltage window was only 0–0.8 V (Figs. 4c and d). To explore the practicability of the as-fabricated devices for flexible electronics, it is essential to assess the electrochemical performance of the devices under bending conditions. The CV curves at original and bent state were compared as shown in Fig. 5a. It could be observed that the CV curves almost overlapped without obvious distortion, which validated the excellent flexibility and electrochemical stability of the all-solidstate MSCs. Intriguingly, the specific capacitance of the supercapacitors retained 91% of its initial value (Fig. 5b) after 500 cycles of mechanical folding, proving their great mechanical robustness. The inset in Fig. 5b showed the photographs of the all-solid-state MSCs before and after being bent. Their excellent bendability demonstrated that the resultant all-solid-state MSCs could be readily used as power sources for flexible and wearable electronic devices. To further evaluate the electrochemical stability of the allsolid-state MSCs, the long-term cycling stability was tested through a repetitive galvanostatic charge/discharge process at a constant current density of 5 μA/cm2 for 1000 cycles (Fig. 5c). The results showed that the resulting MSCs exhibited excellent cycling performance with over 91% retention of capacity after 1000 cycles.
|
Download:
|
| Fig. 4. (a) Cyclic voltammogram of the asymmetric supercapacitors based on paper substrates at various scan rates. (b) Galvanostatic charge/discharge curves of the paperbased asymmetric supercapacitors at various constant current densities. (c) Cyclic voltammogram of the symmetrical supercapacitor based on pencil traces at various scan rates. (d) Galvanostatic charge/discharge curves of the symmetry supercapacitors based on paper at various constant current densities. | |
|
Download:
|
| Fig. 5. (a) Cyclic voltammogram of the asymmetric paper based supercapacitors with and without bending at a scan rate of 100 mV/s. (b) Capacitance retention of the supercapacitors after mechanical bending cycles. The inset is the photograph of the flexible all-solid-state supercapacitors under bending. (c) Cycle stability test of the supercapacitors. | |
|
|
Table 1 Capacitive performance of the resultant MSCs based on pencil traces/MnO2 in comparison with some of the previously reported MSCs. |
In summary, high-performance interdigitated asymmetric allsolid-state flexible MSCs based on low-cost and common filter papers were successfully fabricated by a simple pencil drawing process followed by electrodepositing MnO2 on one of the asdrawn graphite electrode as anode and the other as cathode. The resultant MSCs not only showed excellent electrochemical performance but also superior mechanical flexibility. The highperformance paper-based flexible MSCs fabricated by pencil drawing provide a novel paradigm for simple, low-cost and environment-friendly manufacturing flexible energy storage devices applicable for flexible/wearable electronics.
AcknowledgmentsThe authors acknowledge financial support from the National Key Basic Research Program of China (Nos. 2014CB648300, 2017YFB0404501), the National Natural Science Foundation of China (Nos. 21422402, 21674050), the Natural Science Foundation of Jiangsu Province (Nos. BK20140060, BK20140865, BM2012010), Program for Jiangsu Specially-Appointed Professors (No. RK030STP15001), the NUPT "1311 Project" and Scientific Foundation (Nos. NY213119, NY213169), the Leading Talent of Technological Innovation of National Ten-Thousands Talents Program of China, the Excellent Scientific and Technological Innovative Teams of Jiangsu Higher Education Institutions (No. TJ217038), the Synergetic Innovation Center for Organic Electronics and Information Displays, the Priority Academic Program Development of Jiangsu Higher Education Institutions (PAPD), and the 333 Project of Jiangsu Province (Nos. BRA2017402, BRA2015374).
| [1] |
T. Cheng, Y. Zhang, W.Y. Lai, et al., Adv. Mater. 27 (2015) 3349-3376. DOI:10.1002/adma.v27.22 |
| [2] |
D. Li, W. Y. Lai, Y. Zhang, et al., Adv. Mater. (2017), doi: http://dx.doi.org/10.1002/adma.201704738.
|
| [3] |
T. Cheng, Y. Zhang, J. Zhang, et al., J. Mater. Chem. A 4 (2016) 10493-10499. DOI:10.1039/C6TA03537J |
| [4] |
F. Liu, S. Song, D. Xue, et al., Adv. Mater. 24 (2012) 1089-1094. DOI:10.1002/adma.201104691 |
| [5] |
H. Gwon, H.S. Kim, K.U. Lee, et al., Energy Environ. Sci. 4 (2011) 1277-1283. DOI:10.1039/c0ee00640h |
| [6] |
Y. Zhang, J. Zhao, J. Xia, et al., Sci. Rep. 5 (2015) 8536. DOI:10.1038/srep08536 |
| [7] |
W. Zeng, L. Shu, Q. Li, et al., Adv. Mater. 26 (2014) 5310-5336. DOI:10.1002/adma.201400633 |
| [8] |
H. Pang, X. Li, Q. Zhao, et al., Nano Energy 35 (2017) 138-145. DOI:10.1016/j.nanoen.2017.02.044 |
| [9] |
J.A. Rogers, T. Someya, Y. Huang, Science 327 (2010) 1603-1607. DOI:10.1126/science.1182383 |
| [10] |
R.E. Sousa, C.M. Costa, S. Lanceros-Mendez, ChemSusChem 8 (2015) 3539-3555. DOI:10.1002/cssc.201500657 |
| [11] |
Y. Wang, H. Zhou, Energy Environ. Sci. 4 (2011) 1704-1707. DOI:10.1039/c0ee00759e |
| [12] |
Z. Su, C. Yang, B. Xie, et al., Energy Environ. Sci. 7 (2014) 2652-2659. DOI:10.1039/C4EE01195C |
| [13] |
T. Cheng, Y.Z. Zhang, J.D. Zhang, et al., J. Mater. Chem. A 4 (2016) 10493-10499. DOI:10.1039/C6TA03537J |
| [14] |
J. Zhao, C. Li, Q. Zhang, et al., J. Mater. Chem. A 5 (2017) 6928-6936. DOI:10.1039/C7TA01348E |
| [15] |
J.J. Cai, L.B. Kong, J. Zhang, et al., Chin. Chem. Lett. 21 (2010) 1509-1512. DOI:10.1016/j.cclet.2010.07.003 |
| [16] |
B.S. Shen, H. Wang, L.J. Wu, et al., Chin. Chem. Lett. 27 (2016) 1586-1591. DOI:10.1016/j.cclet.2016.04.012 |
| [17] |
H. Pang, Y. Zhang, W.Y. Lai, et al., Nano Energy 15 (2015) 303-312. DOI:10.1016/j.nanoen.2015.04.034 |
| [18] |
Z. Li, Y. Li, L. Wang, et al., Electrochim. Acta 235 (2017) 561-569. DOI:10.1016/j.electacta.2017.03.147 |
| [19] |
B. Li, G.X. Zhang, K.S. Huang, et al., Rare Met. 36 (2017) 457-464. DOI:10.1007/s12598-017-0890-0 |
| [20] |
Z.S. Wu, X. Feng, H.M. Cheng, Natl. Sci. Rev. 1 (2014) 277-292. DOI:10.1093/nsr/nwt003 |
| [21] |
Y. Dong, Z.S. Wu, W. Ren, et al., Sci. Bull. 62 (2017) 724-740. DOI:10.1016/j.scib.2017.04.010 |
| [22] |
S. Zheng, Z.S. Wu, S. Wang, et al., Energy Storage Mater. 6 (2017) 70-97. DOI:10.1016/j.ensm.2016.10.003 |
| [23] |
H. Xiao, Z.S. Wu, L. Chen, et al., ACS Nano 11 (2017) 7284-7292. DOI:10.1021/acsnano.7b03288 |
| [24] |
X. Shi, Z.S. Wu, J. Qin, et al., Adv. Mater. 29 (2017) 1703034. DOI:10.1002/adma.201703034 |
| [25] |
Y.Z. Zhang, T. Cheng, Y. Wang, et al., Adv. Mater. 28 (2016) 5242-21423. DOI:10.1002/adma.201600319 |
| [26] |
K. Zhang, H. Hu, W. Yao, et al., J. Mater. Chem. A 3 (2014) 617-623. |
| [27] |
T. Chen, H. Peng, M. Durstock, et al., Sci. Rep. 4 (2014) 3612. |
| [28] |
Y.Z. Zhang, Y. Wang, T. Cheng, et al., Chem. Soc. Rev. 44 (2015) 5181-5199. DOI:10.1039/C5CS00174A |
| [29] |
S. Li, D. Huang, J. Yang, et al., Nano Energy 9 (2014) 309-317. DOI:10.1016/j.nanoen.2014.08.004 |
| [30] |
M.P. Down, C.W. Foster, X. Ji, et al., RSC Adv. 6 (2016) 81130-81141. DOI:10.1039/C6RA18499E |
| [31] |
P. Yang, Y. Li, Z. Lin, et al., J. Mater. Chem. A 2 (2014) 595-599. DOI:10.1039/C3TA14275B |
| [32] |
M. Huang, F. Li, F. Dong, et al., J. Mater. Chem. A 3 (2015) 21380-21423. DOI:10.1039/C5TA05523G |
| [33] |
J. Qin, Z.S. Wu, F. Zhou, et al., Chin. Chem. Lett. 29 (2018) 582-586. DOI:10.1016/j.cclet.2017.08.007 |
| [34] |
Z. Wu, K. Parvez, X. Feng, et al., Nat. Commun. 4 (2013) 2487. |
| [35] |
B. Yao, L. Yuan, X. Xiao, et al., Nano Energy 2 (2013) 1071-1078. DOI:10.1016/j.nanoen.2013.09.002 |
| [36] |
X. F. Lu, A. L. Wang, H. Xu, et al., J. Mater. Chem. A 3 (2015) 16560. DOI:10.1039/C5TA04526F |
2018, Vol. 29 

