Natural polymers with great advantages of eco-friendliness, low cost, abundance, and biocompatibility have attracted more and more attention in recent years [1]. Lignin is one of the major natural biopolymers commonly found in cell walls of wood and annual plants, and is also the second most abundant bioresource after cellulose on earth, which represents up to 40% of the dry biomass weight [2-4]. Large quantities of industrial lignin are produced annually as a by-product in pulping industries and biorefineries [5, 6]. The adequate reactive groups existed in lignin such as phenolic hydroxyl, aliphatic hydroxyl and carbonyl groups can be functionalized with the installment of desirable properties. Despite the huge possibilities, lignin technologies are still in the stage of initial development. Lignin-based materials are not often utilized as high value products or even to be discarded as waste. How to selectively convert the lignin into useful chemicals is a burning question due to its practically insoluble and highly complex three-dimensional structure. Additionally, the brittle nature of lignin and its incompatibility with some nonpolar polymeric systems have confined its progress in developing new lignin-based materials with high performance [7, 8]. Up to date, great efforts have been devoted to obtain valuable lignin-based materials [9-16]. Chemical grafting by using free radical polymerization, condensation polymerization and even a chemo-enzymatic approach has been applied to adjust the hydrophilic-hydrophobic balance, which will further improve the compatibility with other polymer systems especially the synthetic materials [17-20]. Poly(ethylene glycol) (PEG) with the advantage of low toxicity, good biocompatibility and biodegradability also has been used to functionalize lignin in order to improve the water solubility of lignin [21-23]. However, the functionalized lignin-PEG copolymers were obtained in organic solvents or complicated procedure, which is not environment-friendly.
Azo coupling reaction was an efficiently reaction to prepare organic azobenzene molecules or side chain azo polymers with high degree of functionalization [24-27]. Recently, we reported that well-defined block copolymers can be easily prepared by azo coupling reaction between macromolecular diazonium salt and polymeric block with terminal anilino functionality in organic solvent such as DMF [28-30]. The prepared polymers also showed many interesting properties [31-34]. Besides the anilines, aromatic diazonium salts can also react with phenols to give the azobenzene products. Anyway, up to date, the efficient azo coupling reaction between macromolecular diazonium salts and polymers with phenol groups have not been reported yet. In this paper, we prepared the well-defined lignin based polymers (AL-azo-PEG) with different grafting ratio through macromolecular azo coupling reaction between the diazonium salts and the phenol group just using alkaline water as the reaction solvent. The structure of the prepared AL-azo-PEG polymers was characterized by using various methods including UV–vis spectra, FTIR, 1H NMR, and GPC. Experimental results showed that the obtained polymers had good solubility in water over a wide pH range and could dissolve in the majority of organic solvents. The prepared polymers also showed photo-responsive properties. Self-assembly colloidal particles and nanofibers could be easily fabricated by vapor diffusion method and electrospinning method, respectively.
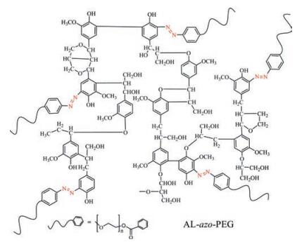
A vast amount of hydroxyl especially phenolic hydroxyl groups (Ph-OH) exist in natural lignin which have supplied many possible ways to be functionalized [35, 36]. Anyway, the ortho- position of phenolic hydroxyl groups were easily ignored in common synthesis route due to the specificity of the reaction. Actually, the high electron cloud density in this position tends to be attacked in electrophilic reaction, which is usually rapid and high efficient. Thus, the lignin was modified through macromolecular azo coupling reaction only one simple modification process using water as solvent. The possible structure of the modified lignin polymers (AL-azo-PEG) is shown in Scheme 1. The synthesis details of PEGylated lignin-based polymers were showed in the Supporting information.
|
Download:
|
| Scheme 1. Possible structural formula of AL-azo-PEG. | |
The successful preparation of the polymer was confirmed by the UV–vis absorption spectra in THF (Fig. 1). After the macromolecular azo coupling reaction, azobenzene linkages will naturally generate between the lignin and PEG parts. This will brought photo-responsive properties to the polymer. The THF solution of the polymer was irradiated with 365 nm UV light for different time intervals. Fig. 1 gives the UV–vis spectra of the polymer solution varying with the irradiation time. Upon the UV light irradiation, the absorbance of the π-π* transition band of the azobenzene group at 355 nm decreased gradually. The spectral variations evidenced the trans-to-cis isomerization of the azobenzene groups. Kept in darkness, the absorbance band at 355 nm will increase due to the cis-to-trans isomerization, which was showed in Fig. S1 (Supporting information).
|
Download:
|
| Fig. 1. Variation of UV–vis spectra of AL-azo-PEG in THF solution (0.1 mg/mL) irradiated by UV light. | |
The FTIR spectra of lignin based polymers before and after modification are presented in Fig. S2(a) (Supporting information). It is clearly revealed the differences in the frequency range and fingerprint region which was the result of the introduction of polyethylene glycols (PEG) to AL. The broad and strong peak located at 3452 cm−1 was attributed to O-H stretching of hydroxyl groups in lignin part. The intensity of peak located at 2944 cm−1 attributed to C-H stretching was increased significantly after the macromolecular azo coupling reaction. The characteristic bands for the aromatic skeletal vibration were located at around 1605, 1517 and 1464 cm−1, respectively [37, 38]. Furthermore, the strong absorption peaks emerging at 1346 and 850 cm−1 corresponding to the C-H bending vibration and 1272 cm−1 corresponding to the C-C stretching vibration were observed due to the graft reaction of the PEG onto lignin macromolecules. In addition, another two new peaks appeared in the fingerprint region, at 1115 and 949 cm−1, which were attributed to the C-O-C stretching vibration. From the FTIR spectra of the functionalized samples, the intensity correlates well with the amount of PEG-NH2 used for the modification. The peak near 1505 cm−1 are usually used as reference peak for quantifying determine the lignin content in wood in FTIR spectroscopy [39]. Hence, for quantifying the degree of functionalization of AL, the 1517 cm−1 peak in Fig. S2(b) (Supporting information) was regarded as the reference peak. The intensity of the characteristic peaks and reference peak were calculated to analyze the structural changes of modified AL (Table S1 in Supporting information). With the increase in weight ratio of PEG to AL, A1115/A1517, A1272/A1517, A1346/A1517, and A2883/A1517 increased as well, indicating more PEG chains had been introduced into AL. The successful preparation of the polymer was also confirmed by the 1H NMR spectra (Fig. S3 in Supporting information), the dramatic increase of aliphatic proton signals at about 3.07–3.95 ppm is related to the protons from PEG part.
Meanwhile, the UV spectrophotometric method has been used to verify the grafting ratio (GR) of the AL (Fig. S4 in Supporting information). Due to the PEG aqueous solution itself showed no absorbance near 280 nm, the absorbance at 284 nm of the AL-azo-PEG polymer solution could be contributed by AL. The AL calibration curve was Y = 0.0161X + 0.0031, R2 = 0.999, (Y = absorbance, X = concentration, mg/L) that was calculated from the absorbance at 284 nm of a series of AL solutions with pH 11 from 0 mg/L to 100 mg/L. Correspondingly, different concentrations of the functionalized samples solution in the same determination condition were performed through the same method. Additionally, the physical blend AL + PEG (wt/wt = 50/50) was also used to aid in determining the PEG content. Therefore, according to the Eq. (1) in Fig. S5 (Supporting information), the GR was respectively calculated to be about 8.6% (AL-azo-PEG-1), 21.1% (AL-azo-PEG-2) and 31.3% (AL-azo-PEG-3).
The molecular weights (Mw, Mn) and molecular weight distributions PDIs (Mw/Mn) of AL and PEGylated AL presented in Table S2 (Supporting information) are calculated from the GPC with DMF as the eluent. After the azo coupling reaction, it can be found that the GPC traces of all the modified copolymers showed a significant shift towards a higher molecular weight. By adjusting the feed ratio, lignin based azo polymer with different molecular weights could be obtained. The GPC traces of the prepared AL copolymers are showed in Fig. S6 (Supporting information).
The poor solubility of AL prevents its development and hindering its further application in industry. The problem has aroused extensive concern in recent years and some efforts also have been taken to overcome these difficulties [40]. The absorbance at 284 nm as a function of pH for AL, AL + PEG mixture, and AL-azo-PEG polymers aqueous solutions were investigated (Fig. S7 in Supporting information). The solubility in aqueous solution could be determined by the absorbance at 284 nm. Experimental results showed that all the samples have good solubility above pH 11 including the unmodified alkali lignin. Interestingly, at pH 10, the solubility of AL dropped dramatically that behaved similarly to AL + PEG mixture solutions. In contrast, the functionalized samples with different grafting rates showed high water solubility within the pH range of 2 to 12. Meanwhile, with the decreasing of PEG content, the solubility was more susceptible to pH (pH ≤ 4.0). Even so, their solubility is still higher than that of unmodified alkali lignin.
The photographs of aqueous solution of AL and AL-azo-PEG-3 at different pH were presented in Fig. 2a. The color of the AL solution has changed from orange to colorless and some flocculent sediment appeared with the pH decreasing. However, the color of AL-azo-PEG solution has slightly changed and the solution itself remained clear at a wide pH range. Therefore, the introduction of hydrophilic PEG part has greatly improved the solubility property in water. Additionally, the functionalized AL can be well dissolved in many common organic solvent, such as DMF, THF, CH2Cl2 and so on (Fig. 2b). It can be seen that the AL can only dissolved in DMF. On the contrary, after functionalized with PEG, the modified samples showed good solubility in all selected solvents.
|
Download:
|
| Fig. 2. a) Aqueous solutions (1.0 mg/mL) of AL (up) and AL-azo-PEG-3 (down) at different pH, b) The solubility of AL (up) and the prepared AL-azo-PEG-3 copolymer (down) in different solvent. | |
Colloid particles based on lignin materials with diverse advanced functionalities, such as eco-friendliness, low cost, abundance, and biocompatibility, were often used as biosorbents, surfactants, controllable drug carriers and so on [41, 42]. The AL-azo-PEG-1 with lower grafting radio and moderate solubility in some solvent was selected and assembled by a vapor diffusion method. As EtOH vapor gradually diffused into the CH2Cl2 solution of the polymers, the solubility of AL-azo-PEG-1 in the mixed solvents gradually declined, which caused the aggregation of the molecular chains to form colloidal spheres. The corresponding assemble results were showed in Fig. 3a. As can be seen that the self-assembly of polymers produced well-defined spherical microstructures and the average diameters was about 2 ~ 3 μm.
|
Download:
|
| Fig. 3. a) TEM image of the prepared AL-azo-PEG-1 aggregates and b) SEM image of electrospun nanofibers from lignin based polymer AL-azo-PEG-3. | |
The lignin with high carbon content and stable chemical structure shows the great potential in producing carbonized materials specially carbonized lignin fibers [43, 44]. Meanwhile, it is also the promising bio-based substitute for current carbon fiber precursors (such as polyacrylonitrile (PAN), coals, petroleum, phenolic resins, etc.) due to their complex manufacturing processes and toxic by-products limiting their large-scale applications. However, the pure lignin solution usually does not suitable for spinning as the result of the low viscoelasticity. Generally, it is blended with another polymer such as poly(ethylene oxide) (PEO), poly(vinyl alcohol) (PVA), and poly acrylonitrile (PAN) for electrospinning [45, 46]. In this work, after the introduction of PEG to the lignin, it became very easy to prepare nanofibers by electrospinning method. The nanofibers with the average diameters of 600 nm were produced by electrospinning of AL-azo-PEG aqueous solution and the SEM images of electrospun nanofibers were showed in Fig. 3b.
In summary, using alkaline water as the reaction solvent, PEGylated lignin polymers were efficiently synthesized by macromolecular azo coupling reaction between alkali lignin and PEG based macromolecular diazonium salts. This simple one-step PEGylation method showed many advantages such as high efficiency, controllable grafting ratio, extremely mild conditions and without organic solvents. The synthesized polymers showed good solubility both in water over a wide pH range (pH 2–12) and in the majority of organic solvents. The prepared polymers showed photo-responsive properties due to the azobenzene linkages generated by the macromolecular azo coupling reaction. Self-assembly colloidal particles and nanofibers could be easily fabricated by vapor diffusion method and electrospinning method, respectively.
AcknowledgmentsThe authors gratefully acknowledge financial support from the National Natural Science Foundation of China (Nos. 21474056, 21674058) and Fund of Key Laboratory of Advanced Materials of Ministry of Education (No. 2017AML03).
Appendix A. Supplementary dataSupplementary data associated with this article can be found, in the online version, at http://dx.doi.org/10.1016/j.cclet.2017.07.008.
| [1] |
V.K. Thakur, M.K. Thakur, Int. J. Biol. Macromol. 72(2015) 834-847. DOI:10.1016/j.ijbiomac.2014.09.044 |
| [2] |
A. Gani, I. Naruse, Renewable Energy 32(2007) 649-661. DOI:10.1016/j.renene.2006.02.017 |
| [3] |
I. Klein, C. Marcum, H. Kenttämaa, et al., Green Chem. 18(2016) 2399-2405. DOI:10.1039/C5GC01325A |
| [4] |
B. Bozsódi, V. Romhányi, P. Pataki, et al., Mater. Des. 103(2016) 32-39. DOI:10.1016/j.matdes.2016.04.061 |
| [5] |
K. Kaewtatip, J. Thongmee, Mater. Des. 49(2013) 701-704. DOI:10.1016/j.matdes.2013.02.010 |
| [6] |
A. Agrawal, N. Kaushik, S. Biswas, SciTech J. 1(2014) 30-36. |
| [7] |
S. Laurichesse, L. Avérous, Prog. Polym. Sci. 39(2014) 1266-1290. DOI:10.1016/j.progpolymsci.2013.11.004 |
| [8] |
V.K. Thakur, M.K. Thakur, P. Raghavan, et al., ACS Sustainable Chem. Eng. 2(2014) 1072-1092. DOI:10.1021/sc500087z |
| [9] |
B.M. Upton, A.M. Kasko, Chem. Rev. 116(2015) 2275-2306. |
| [10] |
T.D. Bugg, R. Rahmanpour, Curr. Opin. Chem. Biol. 29(2015) 10-17. DOI:10.1016/j.cbpa.2015.06.009 |
| [11] |
Y.H. Deng, Y.F. Liu, Y. Qian, et al., ACS Sustainable Chem. Eng. 3(2015) 1111-1116. DOI:10.1021/acssuschemeng.5b00261 |
| [12] |
S. Chatterjee, T. Saito, ChemSusChem 8(2015) 3941-3958. DOI:10.1002/cssc.201500692 |
| [13] |
M. Pouzet, M. Dubois, K. Charlet, et al., Mater. Des. 120(2017) 66-74. DOI:10.1016/j.matdes.2017.01.086 |
| [14] |
J.L. Wang, B. Wu, S. Li, et al., ACS Sustainable Chem. Eng. 4(2016) 4036-4042. DOI:10.1021/acssuschemeng.6b00975 |
| [15] |
A. Duval, M. Lawoko, React. Funct. Polym. 85(2014) 78-96. DOI:10.1016/j.reactfunctpolym.2014.09.017 |
| [16] |
Z.Y. Wei, Y.H. Deng, H.F. Yu, et al., Acta Polym. Sin. 6(2016) 742-749. |
| [17] |
J.H. Lora, W.G. Glasser, J. Polym. Environ. 10(2002) 39-48. DOI:10.1023/A:1021070006895 |
| [18] |
C. Mai, A. Majcherczyk, A. Hüttermann, Enzyme Microb. Technol. 27(2000) 167-175. DOI:10.1016/S0141-0229(00)00214-3 |
| [19] |
T. Saito, R.H. Brown, M.A. Hunt, et al., Green Chem. 14(2012) 3295-3303. DOI:10.1039/c2gc35933b |
| [20] |
Y.F. Huang, B.A. Zhao, G.Z. Zheng, et al., J. Appl. Polym. Sci. 45(1992) 71-77. DOI:10.1002/app.1992.070450108 |
| [21] |
B.J. Cole, S.P. Huth, P.S. Runnels, J. Wood Chem. Technol. 13(1993) 59-72. DOI:10.1080/02773819308020507 |
| [22] |
Y. Uraki, N. Ishikawa, M. Nishida, et al., J. Wood Sci. 47(2001) 301-307. DOI:10.1007/BF00766717 |
| [23] |
H. Homma, S. Kubo, T. Yamada, et al., J. Wood Chem. Technol. 30(2010) 164-174. DOI:10.1080/02773810903349713 |
| [24] |
H.F. Yu, Prog. Polym. Sci. 39(2014) 781-815. DOI:10.1016/j.progpolymsci.2013.08.005 |
| [25] |
Y.N. He, Y. Zhu, Z. Chen, et al., Chem. Commun. 49(2013) 5556-5558. DOI:10.1039/c3cc41538d |
| [26] |
S.W. Li, Y.Y. Feng, P. Long, et al., J. Mater. Chem. C 5(2017) 5068-5075. DOI:10.1039/C7TC00142H |
| [27] |
J.L. Wang, S.H. Wang, Y.Q. Zhou, et al., ACS Appl. Mater. Interfaces 7(2015) 16889-16895. DOI:10.1021/acsami.5b05651 |
| [28] |
Y.N. He, W. He, R.B. Wei, et al., Chem. Commun. 48(2012) 1036-1038. DOI:10.1039/C1CC16362K |
| [29] |
J.L. Wang, Y.Q. Zhou, X.G. Wang, et al., RSC Adv. 5(2015) 9476-9481. DOI:10.1039/C4RA14926B |
| [30] |
Y.N. He, W. He, D. Liu, et al., Polym. Chem. 4(2013) 402-406. DOI:10.1039/C2PY20653F |
| [31] |
J.L. Wang, S. Li, B. Wu, et al., Eur. Polym. J. 84(2016) 236-244. DOI:10.1016/j.eurpolymj.2016.09.030 |
| [32] |
J.L. Wang, Y.Y. Ouyang, S. Li, et al., RSC Adv. 6(2016) 57227-57231. DOI:10.1039/C6RA12129B |
| [33] |
R.B. Wei, X.G. Wang, Y.N. He, J. Eur Polym 69(2015) 584-591. DOI:10.1016/j.eurpolymj.2015.01.022 |
| [34] |
R.B. Wei, X.G. Wang, Y.N. He, Chin. Chem. Lett. 26(2015) 857-861. DOI:10.1016/j.cclet.2015.04.019 |
| [35] |
D. Kai, Z.W. Low, S.S. Liow, et al., ACS Sustainable Chem. Eng. 3(2015) 2160-2169. DOI:10.1021/acssuschemeng.5b00405 |
| [36] |
A. Duval, H. Lange, M. Lawoko, et al., Green Chem. 17(2015) 4991-5000. DOI:10.1039/C5GC01319D |
| [37] |
F. Xu, J.X. Sun, R. Sun, et al., Ind. Crops Prod. 23(2006) 180-193. DOI:10.1016/j.indcrop.2005.05.008 |
| [38] |
Y. Sun, X.Q. Qiu, Y.Q. Liu, Biomass Bioenergy 55(2013) 198-204. DOI:10.1016/j.biombioe.2013.02.006 |
| [39] |
J. Rodrigues, O. Faix, H. Pereira, Holzforschung 52(1998) 46-50. DOI:10.1515/hfsg.1998.52.1.46 |
| [40] |
R.C. Morais, J.V. Pinto, D. Nunes, et al., ACS Sustainable Chem. Eng. 4(2016) 1643-1652. DOI:10.1021/acssuschemeng.5b01600 |
| [41] |
M. Ago, S. Huan, M. Borghei, et al., ACS Appl. Mater. Interfaces 8(2016) 23302-23310. DOI:10.1021/acsami.6b07900 |
| [42] |
Y.L. Li, M. Wu, B. Wang, et al., ACS Sustainable Chem. Eng. 4(2016) 5523-5532. DOI:10.1021/acssuschemeng.6b01244 |
| [43] |
S.X. Wang, L. Yang, L.P. Stubbs, et al., ACS Appl. Mater. Interfaces 5(2013) 12275-12282. DOI:10.1021/am4043867 |
| [44] |
C.L. Lai, Z.P. Zhou, L.F. Zhang, et al., J. Power Sources 247(2014) 134-141. DOI:10.1016/j.jpowsour.2013.08.082 |
| [45] |
V. Poursorkhabi, A.K. Mohanty, M. Misra, J. Appl. Polym. Sci. 132(2015) 41260. |
| [46] |
R. Ding, H.C. Wu, M. Thunga, et al., Carbon 100(2016) 126-136. DOI:10.1016/j.carbon.2015.12.078 |
2018, Vol. 29 

