The changes of cellular redox status are closely connected with physiological and pathological processes. The reactive oxygen and nitrogen species (ROS and RNS) are essential in a healthy cell for protection against pathogens and biological signal transmission [1, 2]. However, long existence of excess ROS or RNS in a healthy cell or tissue can cause serious damage to functional cellular macromolecules, such as protein and DNA, which is related with various diseases [3-7]. Similarly, a plethora of reductants are also abnormal probably caused by cancer and other diseases. Although numerous excellent fluorescent probes for ROS, RNS and reductants, it is very meaningful for real-time detection of the balance between oxidants and reductants. Therefore, in this review, we summarized the recent development of reversible fluorescent probes for redox process (RFPR) expecting to promote the development of reversible probe. For now, most of reported reversible probes are based on reversible organic reaction using different active centers including quinones, chalcogen atoms (S, Se, Te), 2, 2, 6, 6-tetramethyl-1-piperidinyloxy (TEMPO), C=N and C=C bonds, and so on.
2. Quinone-based probesThe transformation between hydroquinone and quinone is a classical organic reaction, which was widely used to study redox status for almost hundred years [8]. Therefore, it is an effective approach for designing probes to study the redox status.
Utilizing this transformation, Han and coworkers [9] developed a fluorescent probe for imaging of H2O2 oxidative stress. Then, the quinone could react with GSH. These two steps caused on-off-on fluorescent switch. However, this work did not study the reversible process. Later, Tang's group [10] developed a reversible fluorescent probe, RFPR-1, for superoxide anion (


|
Download:
|
Scheme 1. Structure of RFPR-1 and its response mechanism to ![]() |
|
|
Download:
|
Fig. 1. The reversibility of RFPR-1. RFPR-1 was added with 20 μmol/L ![]() ![]() |
|
Krämer and coworkers synthesized a fluorescent redox sensor (RFPR-2) by attachment of hydroquinone to the fluorophore rhodamine B (Fig. 2) [11]. This probe could be oxidized by [Cu (phen)2]2+ (phen = 1, 10-phenanthroline) resulting fluorescence quenching. The fluorescence regenerated with the addition of cysteine, which could reduce quinone to hydroquinone. Recently, Krämer, Herten and collogues immobilized above fluorescent probe onto a glass cover slide for single molecule fluorescence spectroscopy [12]. This heterogeneous fluorescent probe displayed almost the same fluorescent property with its counterpart for Cu (Ⅱ) and cysteine.
|
Download:
|
| Fig. 2. Structure of RFPR-2 and its fluorescence response to [Cu (phen)2]2+ (1 mmol/L) and cysteine (100 mmol/L) in MOPS buffer (10 mmol/L, pH 7.0). Reprinted with permission [11]. Copyright 2009, Elsevier Ltd. | |
Combining 2, 3-dimethoxy-1, 4-benzoquinone, the redox-sensitive receptor, with BODIPY fluorophore, Cosa group developed a fluorogenic ubiquinone analogue for sensing chemical and biological redox processes [13]. RFPR-3 (Scheme 2 [13]) showed very weak fluorescence because of the efficient quenching by photo-induced electron transfer (PET) from BODIPY to the quinone moiety. After the reduction by NaBH4, the fluorescence of the product significantly enhanced. Then the fluorescence would decrease if the TEMPO was added to the system. And the off/on reversible couple was used as a tool to monitor chemical redox processes in real-time.
|
Download:
|
| Scheme 2. Structure of RFPR-3 and proposed off/on sensing mechanism. Reprinted with permission [13]. Copyright 2016, American Chemical Society. | |
Very recently, in order to minimize background fluorescence and penetrate deeper into tissues, Zhang, Tan and coworkers designed and synthesized a naphthalene-BODIPY through-bond energy transfer (TBET) cassette giving a longer emission wavelength two-photon fluorescent probe (RFPR-4, Fig. 3) for dynamic imaging of redox balance [14]. This probe displayed excellent fluorescent properties, such as high sensitivity and selectivity, photostability, large two-photon active cross-section value, and it showed reversibility and rapid response for detection of 



|
Download:
|
Fig. 3. Structure of RFPR-4 and fluorescence images of ![]() |
|
3. Chalcogen-based probes 3.1. S-based probes
For now, there are still rare reversible fluorescent probes based on sulfur for redox process. Recently, Sun group developed reversible and selective luminescent probe RFPR-5 for determination of ClO-/H2S redox cycle based on a ruthenium trisbipyridine (Fig. 4) [15]. The luminescence intensity of the probe remarkably increased with the addition of ClO- and maintained after the ClO- concentration reached 100 μmol/L in 0.1 mol/L PBS (pH 7.4). Then, the luminescence intensity almost returned to the original level upon addition of H2S. Furthermore, the redox cycle can be repeated many times with good reproducibility and stability.
|
Download:
|
| Fig. 4. Structure of RFPR-5 and its luminescence response to HClO/H2S redox cycles. Reprinted with permission [15]. Copyright 2014, Royal Society of Chemistry. | |
3.2. Se-based probes
Similar with sulfur, selenium has several valent states, which have different electronic properties. Based on this character, many selenium-containing fluorescent probes are developed. The fluorescence intensity of these free probes is quenched, and Se oxidation prevents the PET process, causing the fluorescence emission to be "witched on".
Selenium plays an important role as the active site of the antioxidant enzyme glutathione peroxidase (GPx) to catalyze the reduction of ONOO- by glutathione (GSH) via a unique ping-pong mechanism [16, 17]. Utilizing this property, Han group [18] designed a NIR reversible fluorescent probe (RFPR-6, Fig. 5) to monitor ONOO- and GSH event in aqueous solution. The free probe showed weak fluorescence because of the PET process from 4-(phenylselenyl)aniline moiety to the cyanine fluorophore. After oxidization by ONOO-, the PET process was blocked resulting fluorescence emission switching on. The oxidative product can be reduced using GSH, and the fluorescence intensity decreased to original level. This cycle can be also repeated several times without fluorescent property change. In addition, the probe could be used for tracking ONOO-/GSH redox cycle in RAW264.7 cells (Fig. 6).
|
Download:
|
| Fig. 5. Structure of RFPR-6 and its reversible response to ONOO- and GSH. Reprinted with permission [18]. Copyright 2011, American Chemical Society. | |
|
Download:
|
| Fig. 6. Fluorescence images of reversible redox cycles in living RAW264.7 cells. (a) RAW264.7 cells loaded with 10.0 μmol/L RFPR-6 for 5 min. (b) Dye-loaded cells treated with 10.0 μmol/L SIN-1 for 10 min. (c) Dye-loaded, SIN-1-treated cells incubated with GST (125 units/mL) for 10 min. (d) Cells exposed to a second dose of SIN-1 for an additional 10 min. (e) Merged images of red (b) and bright-field (f) channels. (f) Bright-field image of (a). Reprinted with permission [18]. Copyright 2011, American Chemical Society. | |
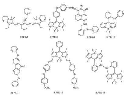
At almost the same time, Tang and colleagues [19] reported a very similar fluorescent probe (RFPR-7, Fig. 7) based on Se and cyanine, which can respond reversibly to ONOO-/ascorbate redox cycle in PBS (pH 7.4) and living cells. Later, utilizing this mechanism, several reversible fluorescent probes for HClO/H2S (RFPR-8, RFPR-9) [20, 21], HClO/GSH (RFPR-10, RFPR-11) [22, 23], HBrO/H2S (RFPR-12) [24] and KO2/bio-thiols (RFPR-13) [25] redox cycle. Different with oxidization of Se, Tang group [26] found another mechanism of Se-containing fluorescent probe (RFPR-14) for redox cycle, in which they utilized selenium-nitrogencontaining heterocycle as the responding moiety for GSH/H2O2 (Scheme 3).
|
Download:
|
| Scheme 3. Structure of RFPR-14 and proposed sensing mechanism. | |
|
Download:
|
| Fig. 7. Structures of RFPR-7 to RFPR-13. | |
3.3. Te-based probes
As a congener with S and Se, tellurium has similar chemical properties. Detty and colleagues [27, 28] synthesized a series of rhodamines by replacing the O atom with S, Se and Te atoms at the 9-position of the xanthene moiety. Later, Nagano group [29] found that this kind Te-containging rhodamine (RFPR-15) could be as a reversible NIR fluorescent probe for ROS/GSH redox cycle, and this cycle could be repeated several times (Fig. 8).
|
Download:
|
| Fig. 8. Structure of RFPR-15 and its reversible fluorescence response to ClO- and GSH. Reprinted with permission [29]. Copyright 2012, Royal Society of Chemistry. | |
Later, in order to study the redox homeostasis regulation in living cells, Han and coworkers [30] synthesized a small organic molecule fluorescent probe RFPR-16 (Fig. 9). Similar with Nagano's probe [29], Te would be oxidized in the presence of ONOO-, resulting to the fluorescence enhancement. Then, the fluorescence of the system would decrease to original level, if GSH was added. As other probes, RFPR-16 can repeat sensing this cycle several times. Moreover, it can be used to monitor states of the ONOO-/GSH redox couple in vivo. As shown in Fig. 10, comparing to the control animals (Fig. 10b), the fluorescent signal significantly increased (Fig. 10c) when the mice were injected with lipopolysaccharide (LPS), interferon-gamma (IFN-γ) and phorbol 12-myristate 13-acetate (PMA) providing an overproduction of superoxide. After that, the mice were treated with aminoguanidine (AG), glutathione S-transferase (GST) and L-cysteine, resulting to a large fluorescence decrement. At last, the fluorescence increased again, when the mice as Fig. 10d described were then injected with 3-morpholinosydnonimine (SIN-1, a common peroxynitrite donor).
|
Download:
|
| Fig. 9. Structure of RFPR-16 and its reversible fluorescence response to ONOO- and GSH. Reprinted with permission [30]. Copyright 2013, American Chemical Society. | |
|
Download:
|
| Fig. 10. Imaging of redox cycles between peroxynitrite and GSH in peritoneal cavity of the mice BALB/c. (a) RFPR-16 (1 μmol/L, 50 μL in DMSO/saline (1:9, v/v)) and L-cysteine (1 μmol/L, 100 μL in saline) were injected in the cavity. (b) Mice injected with RFPR-16 (1 μmol/L, 50 μL in DMSO/saline (1:9, v/v)). (c) Mice injected with LPS (10 μg/mL) and IFN-γ (200 ng/mL) for 4 h and then with PMA (100 nmol/L) for 0.5 h, then loaded with 1 μmol/L RFPR-16 for 30 min. (d) Mice treated as (c) described, then injected with AG (1 mmol/L, 100 μL in DMSO/saline (1:9, v/v)), GST (250 units/mL, 300 μL in saline), and L-cysteine (1 mmol/L, 200 μL in saline). (e) Mice treated as d) described, then injected with SIN-1 (1 mmol/L, 1 mL in saline) for 20 min. (f) Quantification of total photon flux from each mouse (a-e). The total number of photons from the entire peritoneal cavity of the mice (a-e) was integrated. Images constructed from 790 nm to 860 nm fluorescence collection window, λex = 735 nm. Reprinted with permission [30]. Copyright 2013, American Chemical Society. | |
4. Other active center based probes
TEMPO is usually used for tracking free radicals, and its electronic property changes a lot before and after receiving electron. Based on this, fluorescent probes were designed and their fluorescence would enhance upon the reaction of nitroxide radicals with free radical species [31, 32]. Takeoka and the coworkers designed mitochondrial targeted redox probe (RFPR-17, Scheme 4) with TEMPO moiety basing on coumarin 343 to monitoring the redox reaction in mitochondrial respiration [33]. Later, Han group developed two NIR reversible fluorescent probes, RFPR-18 and RFPR-19 (Fig. 11) to monitor HOBr oxidation/ascorbic acid reduction events [34]. In the meanwhile, both probes are also able to monitor the change of intracellular HOBr level. C=N [35-37] and C=C [38-40] bonds are also used as active centers of reversible fluorescent probe for redox process. As shown in Scheme 5, utilizing the redox property of flavins, Aoki group and new group developed reversible probes, RFPR-20 [37] and RFPR-21 [36], which were both used for cell imaging. Chang group developed a redox-sensitive fluorescent probe RFPR-22 for sensing reversible oxidation and reduction event in living cells based on fluorescein [40]. Later, Hanaoka and coworkers employing Förster resonance energy transfer (FRET) mechanism developed RFPR-23 for monitoring repeated hypoxia-normoxia cycles in living cells [39] (Scheme 6).
|
Download:
|
| Scheme 4. Structure of RFPR-17 and proposed response mechanism. | |
|
Download:
|
| Scheme 5. Redox of flavins and structures of RFPR-20 and RFPR-21. | |
|
Download:
|
| Scheme 6. Structures of RFPR-22 and RFPR-23, and proposed response mechanism. | |
|
Download:
|
| Fig. 11. Structures of RFPR-18 and RFPR-19. | |
5. Summary and prospects
In this review, we summarized different response mechanisms to monitor the redox states by different active center, including quinones, chalcogen atoms (S, Se, Te), TEMPO, C=N and C=C bonds. These probes can show real-time and dynamic fluorescence imaging analysis towards reversible systems for continuous redox processes. These sensing processes give the chemists and biologists the experimental basis to study the generation, metastasis, physiological functions, and pathogenic mechanisms of intracellular ROS and antioxidants. Thus, it is very meaningful to develop reversible fluorescent probe for redox process. According to the literatures, quinones based probes have more opportunity for practical application, because it is easy to modify quinone for changing its electronic properties. Te-based probes displayed bad recycle property. For further application, the toxicity of chalcogen atoms based probes should be tested. Realtime tracking is one of the most important issues that should be concerned during designing the probes. Ratiometric fluorescent probes are a good way to achieve real-time imaging. Moreover, fluorescent properties including emission wavelength and photostability are another important issue. For now, most NIR fluorescent probes are based on cyanine dyes possessing poor stability and low fluorescence quantum yield. So, it is also very important to develop excellent NIR fluorescent dyes for the exploitation of good reversible fluorescent probe for redox process.
AcknowledgmentsWe are grateful to the National Nature Science Foundation of China (No. 21402120), the Shanghai Municipal Education Commission (No. 13CG48), and the Ministry of Education of China (No. PCSIRT_IRT_16R49).
| [1] |
B. D'Autreaux, M.B. Toledano, Nat. Rev. Mol. Cell. Biol. 8(2007) 813-824. |
| [2] |
T. Finkel, J. Cell Biol. 194(2011) 7-15. DOI:10.1083/jcb.201102095 |
| [3] |
D. Jay, H. Hitomi, K.K. Griendling, Free Radical Biol. Med. 40(2006) 183-192. DOI:10.1016/j.freeradbiomed.2005.06.018 |
| [4] |
K. Jomova, D. Vondrakova, M. Lawson, M. Valko, Mol. Cell Biochem. 345(2010) 91-104. DOI:10.1007/s11010-010-0563-x |
| [5] |
N.R. Madamanchi, M.S. Runge, Free Radical Biol. Med. 61(2013) 473-501. DOI:10.1016/j.freeradbiomed.2013.04.001 |
| [6] |
D. Trachootham, J. Alexandre, P. Huang, Nat. Rev. Drug. Discov. 8(2009) 579-591. DOI:10.1038/nrd2803 |
| [7] |
T. Finkel, M. Serrano, M.A. Blasco, Nature 448(2007) 767-774. DOI:10.1038/nature05985 |
| [8] |
L.F. Fieser, J. Am. Chem. Soc. 50(1928) 439-465. DOI:10.1021/ja01389a033 |
| [9] |
F. Yu, P. Li, P. Song, B. Wang, J. Zhao, K. Han, Chem. Commun. 48(2012) 4980-4982. DOI:10.1039/c2cc30985h |
| [10] |
W. Zhang, P. Li, F. Yang, et al., J. Am. Chem. Soc. 135(2013) 14956-14959. DOI:10.1021/ja408524j |
| [11] |
R.M. Kierat, B.M. Thaler, R. Kramer, Bioorg. Med. Chem. Lett. 20(2010) 1457-1459. DOI:10.1016/j.bmcl.2009.03.171 |
| [12] |
A. Rybina, B. Thaler, R. Kramer, D.P. Herten, Phys. Chem. Chem. Phys. 16(2014) 19550-19555. DOI:10.1039/C4CP02640C |
| [13] |
L.E. Greene, R. Godin, G. Cosa, J. Am, Chem. Soc. 138(2016) 11327-11334. DOI:10.1021/jacs.6b06899 |
| [14] |
H.W. Liu, X. Zhu, J. Zhang, X.B. Zhang, W. Tan, Analyst 141(2016) 5893-5899. DOI:10.1039/C6AN01178K |
| [15] |
F. Liu, Y. Gao, J. Wang, S. Sun, Analyst 139(2014) 3324-3329. DOI:10.1039/C4AN00331D |
| [16] |
A. Wendel, W. Pilz, R. Ladenstein, G. Sawatzki, U. Weser, Biochim. Biophys. Acta 377(1975) 211-215. DOI:10.1016/0005-2744(75)90303-4 |
| [17] |
M. Hiroshi, R. Kissner, W.H. Koppenol, H. Sies, FEBS Lett. 398(1996) 179-182. DOI:10.1016/S0014-5793(96)01237-9 |
| [18] |
F. Yu, P. Li, G. Li, et al., J. Am. Chem. Soc. 133(2011) 11030-11033. DOI:10.1021/ja202582x |
| [19] |
K. Xu, H. Chen, J. Tian, et al., Chem. Commun. 47(2011) 9468-9470. DOI:10.1039/c1cc12994e |
| [20] |
B. Wang, P. Li, F. Yu, et al., Chem. Commun. 49(2013) 1014-1016. DOI:10.1039/C2CC37803E |
| [21] |
Z. Lou, P. Li, Q. Pan, K. Han, Chem. Commun. 49(2013) 2445-2447. DOI:10.1039/c3cc39269d |
| [22] |
W. Zhang, W. Liu, P. Li, et al., Chem. Commun. 51(2015) 10150-10153. DOI:10.1039/C5CC02537K |
| [23] |
S.R. Liu, S.P. Wu, Org. Lett. 15(2013) 878-881. DOI:10.1021/ol400011u |
| [24] |
B. Wang, P. Li, F. Yu, et al., Chem. Commun. 49(2013) 5790-5792. DOI:10.1039/c3cc42313a |
| [25] |
S.T. Manjare, S. Kim, W.D. Heo, D.G. Churchill, Org. Lett. 16(2014) 410-412. DOI:10.1021/ol4033013 |
| [26] |
K. Xu, M. Qiang, W. Gao, et al., Chem. Sci. 4(2013) 1079-1086. DOI:10.1039/c2sc22076h |
| [27] |
D.J. Del Valle, D.J. Donnelly, J.J. Holt, M.R. Detty, Organometallics 24(2005) 3807-3810. DOI:10.1021/om050225o |
| [28] |
B. Calitree, D.J. Donnelly, J.J. Holt, et al., Organometallics 26(2007) 6248-6257. DOI:10.1021/om700846m |
| [29] |
Y. Koide, M. Kawaguchi, Y. Urano, et al., Chem. Commun. 48(2012) 3091-3093. DOI:10.1039/c2cc18011a |
| [30] |
F. Yu, P. Li, B. Wang, K. Han, J. Am. Chem. Soc. 135(2013) 7674-7680. DOI:10.1021/ja401360a |
| [31] |
J. Wang, Y. Ni, S. Shao, Talanta 147(2016) 468-472. DOI:10.1016/j.talanta.2015.10.026 |
| [32] |
B.J. Morrow, D.J. Keddie, N. Gueven, M.F. Lavin, S.E. Bottle, Free Radical Biol. Med. 49(2010) 67-76. DOI:10.1016/j.freeradbiomed.2010.03.019 |
| [33] |
S. Hirosawa, S. Arai, S. Takeoka, Chem. Commun. 48(2012) 4845-4847. DOI:10.1039/c2cc30603d |
| [34] |
F. Yu, P. Song, P. Li, B. Wang, K. Han, Chem. Commun. 48(2012) 7735-7737. DOI:10.1039/c2cc33264g |
| [35] |
T. Ma, H. Ding, H. Xu, et al., Analyst 140(2015) 322-329. DOI:10.1039/C4AN01441C |
| [36] |
A. Kaur, M.A. Haghighatbin, C.F. Hogan, E.J. New, Chem. Commun. 51(2015) 10510-10513. DOI:10.1039/C5CC03394B |
| [37] |
Y. Yamada, Y. Tomiyama, A. Morita, M. Ikekita, S. Aoki, Chembiochem 9(2008) 853-856. DOI:10.1002/(ISSN)1439-7633 |
| [38] |
H. Nie, J. Jing, Y. Tian, et al., ACS Appl. Mater. Interfaces 8(2016) 8991-8997. DOI:10.1021/acsami.6b01348 |
| [39] |
S. Takahashi, W. Piao, Y. Matsumura, et al., J. Am. Chem. Soc. 134(2012) 19588-19591. DOI:10.1021/ja310049d |
| [40] |
E.W. Miller, S.X. Bian, C.J. Chang, J. Am. Chem. Soc. 129(2007) 3458-3459. DOI:10.1021/ja0668973 |
2017, Vol. 28 





