b Laboratory of Marine Drugs and Biological Products, National Laboratory for Marine Science and Technology, Qingdao 266235, China;
c College of Chemistry and Chemical Engineering, Ocean University of China, Qingdao 266100, China dNational Museum of Natural History, 2300 RA Leiden, The Netherlands;
d National Museum of Natural History, 2300 RA Leiden, The Netherlands
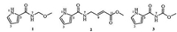
Marine sponges of the genus Agelas (class Demospongiae, order Agelasida, family Agelasidae) are important source of bioactive natural products with major representatives such as pyrrole alkaloids [1-4], diterpene alkaloids [5-7], glycolipids [8-10] and so on. The natural pyrrole alkaloids are a unique family structurally featured by a bromopyrrole-2-carboxamide core and diverse linear side chains [2, 3], fused rings [4], and dimmer structure patterns [1]. Since 1971 [11], more than 130 pyrrole alkaloids have been isolated from Agelas sponges. Many of these pyrrole alkaloids showed promising biological activities represented by the matrix metalloproteinase inhibitor ageladine A [12], antihistaminic taurodispacamide A [13], and antimicrobial nagelamide J [14]. In our continuing search for novel secondary metabolites with potential bioactivity from Agelas sponges collected off Xisha Islands (Paracel Islands) [15], an investigation on another species of A. nakamurai afforded three new non-brominated pyrrole alkaloids, nakamurines A-C (1-3) (Fig. 1). We herein describe the isolation, structure elucidation and biological activities of compounds 1-3.
|
Download:
|
| Fig. 1. Structures of compounds 1–3. | |
2. Results and discussion
Nakamurine A (1) was obtained as a white amorphous solid having a molecular formula of C7H10O2N2 deduced from the positive HR-ESIMS (m/z 177.0632 [M + Na]+, calcd. 177.0634) and 13C NMR data (Table 1). The UV absorption band at λmax 267 nm was attributed to a substituted pyrrole chromophore [16, 17], and IR absorption bands at 3286, 1643, 1558 cm-1 indicated the occurrence of NH and amide carbonyl groups [18, 19]. A pyrrole-2-carboxamide moiety was readily verified by the amino group at δH 11.53 (br s, 1H, H-1), and the aromatic proton resonances at δH 6.89 (br s, 1H, H-2), 6.86 (br s, 1H, H-4), and 6.09 (m, 1H, H-3) in the 1H NMR spectrum, which was consistent with the carbon resonances at δC 161.1 (C-6), 125.7 (C-5), 122.1 (C-2), 110.8 (C-4), and 108.7 (C-3) [20]. The speculation for the pyrrole-2-carboxamide moiety was further confirmed by consecutive 1H-1H COSY correlations of H-1/ H-2/H-3/H-4 and HMBC correlations from H-2 and H-3 to C-5, and from H-7 (δH 8.75, br t, 1H, J = 6.15 Hz) to C-6 (Fig. 2). Additionally, a methoxylated methylene group showing notable deshielded resonances at δH 4.62 (d, 2H, J = 6.15 Hz, H2-8) and δC 70.5 (C-8) was connected to N-7 by 1H-1H COSY correlation of H-7/H2-8 and HMBC correlations of H2-8 with C-6 and C-OMe (δC 54.9), and of H3-OMe [δH 3.21(s, 3H)] with C-8 (Fig. 2). Thus, nakamurine A (1) was determined as a debromo-analogue of 5-bromopyrrole-2-(N-methoxymethyl)carboxamide which was isolated from the Papua New Guinean sponge A. nakamurai [21].
|
|
Table 1 1H (500 MHz) and 13C (125 MHz) NMR data for compounds 1–3 in DMSO-d6. |
|
Download:
|
| Fig. 2. Key 1H-1H COSY and HMBC correlations for compounds 1–3. | |
Nakamurine B (2), a colorless oil, was determined to have the molecular formula of C10H12O3N2 on the basis of positive HR-ESIMS (m/z 209.0918[M + H]+, calcd. 209.0921) and 13C NMR data(Table 1). 1D NMR and HSQC data of 2 revealed the presence of a pyrrole-2-carboxamidemoiety.Besides, thesignalsofonemethoxy[δH 3.64(s, 3H)/δC 51.5], one methylene [δH 4.01(t, 2H, J = 4.30 Hz, H2-8)/δC 39.4 (C-8)], two methines [δH 5.87(d, 1H, J = 15.75 Hz, H-10)/δC 119.9 (C-10), δH 6.91(dt, 1H, J = 15.75, 4.65 Hz, H-9)/δC 146.8 (C-9)], and one carboxyl group [δC 166.1 (C-11)] were observed, which strongly suggested that compound 2 could be an analogue of acanthamide A isolated from the sponge Acanthostylotella sp. [22]. The spin-spin coupling system of H-7/H2-8/H-9/H-10 deduced from 1H-1H COSY spectrum and HMBC correlations from H-9 and H3-OMe to C-11 (Fig. 2) further indicated that the methyl crotonate moiety was connected to N-7. In addition, a large coupling constant of JH-9/H-10 = 15.75 Hz indicated the 9E-geometry. Accordingly, the structure of nakamurine B (2) was concluded as shown in Fig. 1.
Nakamurine C (3) was isolated as a colorless oil. The molecular formula of 3 was determined to be C7H8O3N2 by positive HR-ESIMS (m/z 191.0426 [M + Na]+, calcd. 191.0427). The NMR spectra of 3 (Table 1) obviously showed the presence of a 2-carboxamide pyrrole core. Careful comparison of the NMR data of 3 with those of 1 disclosed an extra quaternary carbon at δC 152.0 (C-8) in 3 instead of the methylene group in 1, indicating the presence of an N-formyl-carboxamide moiety in 3 [20]. The methoxy group [δH 3.69 (s, 3H)/δC 51.9] was assigned at C-8 by a HMBC correlation of H3-OMe with C-8 (Fig. 2). Therefore, the structure of nakamurine C (3) was established as shown in Fig. 1.
Compounds 1-3 were evaluated for cytotoxic activities against four human tumor cell lines (K562, HL-60, A549, and HCT-116), antiviral activity against H1N1 influenza A virus, and antimicrobial activities against Staphylococcus aureus, Escherichia coli and Candida albicans. Compounds 1-3 showed no activity in the cytotoxicities tests (the inhibition ratios < 30% at a concentration of 50 μmol/L) and in the antiviral activity assays (the inhibition ratios < 3% at a concentration of 50 μg/mL). While in antimicrobial assay, compound 2 exhibited weak inhibitory activity against Candida albicans with MIC of 60 μg/mL (positive drug fungicidin MIC = 3.75 μg/mL).
3. ConclusionSince 1971, only 10 non-brominated pyrrole-2-carboxamide metabolites have been isolated from the marine sponges of the genus Agelas, including the Great Barrier Reef sponge A. oroides [20], Solomon Islands sponges A. mauritiana [23] and A. cf. mauritiana [24, 25], and Caribbean sponges A. conifera [26] and A. clathrodes [27]. Our present study on the sponge A. nakamurai collected from the Xisha Islands of the South China Sea yielded three new non-brominated pyrrole-2-carboxamide alkaloids, nakamurines A-C (1-3). Their structures were established on the basis of comprehensive spectroscopic analyses. It was noticed that the sponge Agelas genus derived linear pyrrole-2-carboxamide metabolites containing an ester group at the end of the side chain were only found in the South China Sea [4]. In the bioassay, compound 2 showed weak antimicrobial activity against Candida albicans with MIC of 60 μg/mL, whereas no activity was found in the cytotoxicities tests and in the antiviral activity assays for nakamurines A-C (1-3).
4. Experimental 4.1. General experimental proceduresUV spectra were measured on a Beckman DU640 spectrophotometer (Beckman Coulter Inc., Brea, CA, USA). IR spectra were taken on a Nicolet NEXUS 470 spectrophotometer (International Equipment Trading Ltd., Vernon Hills, IL, USA) in KBr discs. NMR experiments were performed on a JEOL JNMECP 500 spectrometer (JEOL Ltd., Tokoyo, Japan). The 2.50 ppm and 39.50 ppm resonances of DMSO-d6 were used as internal references for 1H NMR and 13C NMR spectra, respectively. HR-ESIMS spectra were acquired using a Micromass Q-TOF Ultima Global GAA076 LC mass spectrometer (Thermo Fisher Scientific Inc., Waltham, MA, USA). HPLC separation was carried out on an Agilent 1100 series instrument with DAD detector (Agilent Technologies, Palo Alto, CA, USA), equipped with a semi-preparative ODS column (YMC-Pack ODS-A, 5 μm, 250 mm × 10 mm). MPLC utilized a self-made ODS column (310 mm × 26 mm, 15 mL/min). Silica gel (200-300 mesh, 300-400 mesh, Qingdao Haiyang Chemical Co. Ltd., Qingdao, China) and ODS silica gel (50 μm, Merck, Darmstadt, Germany) were used for column chromatography (CC). Precoated silica gel plates (GF254, Qingdao Haiyang Chemical Co. Ltd., Qingdao, China) were used for thin layer chromatography (TLC) analyses, and spots were visualized by heating silica gel plates sprayed with 10% H2SO4 in EtOH.
4.2. Animal materialThe sponge A. nakamurai featuring bright orange color was collected from the Xisha Islands of the South China Sea in October 2012, at a depth of about 10 meters. The specimen was identified by Nicole J. de Voogd, a coauthor in National Museum of Natural History, Leiden, The Netherlands. A voucher specimen (NO. XS-2012-09) was deposited in the school of Medicine and Pharmacy, Ocean University of China, China.
4.3. Extraction and isolationThe frozen organism (5.0 kg, wet weight) was homogenized and extracted with MeOH four times (each time, 5 L, 3 days) at room temperature. The combined solutions were concentrated in vacuum and desalted by anhydrous MeOH three times (0.6 L, 0.5 L, 0.4 L) to yield a residue (110.0 g). The crude extract was subjected to silica gel vacuum liquid chromatography (VLC), eluting with a gradient of petroleum ether-acetone (from 50:1 to 1:1, v/v) and subsequently CH2Cl2-MeOH (from 20:1 to 1:1, v/v) to obtain seven fractions(A1-A7). Fr. A4 and Fr. A5 were found to seemingly contain pyrrole alkaloids by TLC and HPLC analysis. Fr. A4 (3.4 g) was subjected to silica gel CC using petroleum ether-acetone (from 40:1 to 1:1, v/v) as eluent to give five subfractions (A4.1-A4.5). Then Fr. A4.4 (1.3 g) was separated by ODS CC with stepwise elution of MeOH-H2O (30:70, 40:60, 45:55, 50:50, 60:40, 70:30 and 100:0, v/v) as the mobile phase to yield six subfractions (A4.4.1-A4.4.6). Fr. A4.4.3 (77.0 mg) was further purified by semi-preparative HPLC (ODS, 5 μm, 250 mm × 10 mm; MeOH-H2O, 15:85, v/v; 1.5 mL/min; UV detection at 280 nm) to afford compound 1 (2.5 mg, tR = 30 min). Fr. A5 (9.5 g) was subjected to silica gel CC (petroleum ether-acetone, from 30:1 to 1:1, v/v) to give seven subfractions (A5.1-A5.7). Fr. A5.5 (1.8 g) was then separated by ODS CC with stepwise elution of MeOH-H2O (25:75, 35:65, 45:55, 55:45, 65:35, 75:25, 85:15 and 100:0, v/v) to get four subfractions (A5.5.1-A5.5.4). Fr. A5.5.2 (110.0 mg) was finely purified by semi-preparative HPLC (ODS, 5 μm, 250 × 10 mm; MeOH-H2O, 20:80, v/v; 1.5 mL/min; UV detection at 280 nm) to afford compound 2 (15 mg, tR = 55 min). While Fr. A5.6 (1.1 g) was fractionated by MPLC (ODS, 310 mm × 26 mm; MeOH-H2O, 15:85, v/v; 15 mL/min) and was further purified by semi-preparative HPLC (ODS, 5 μm, 250 mm × 10 mm; MeOH-H2O-TFA, 8:92:0.1, v/v; 2.0 mL/min; UV detection at 210 nm) to afford compound 3 (4.5 mg, tR = 50 min).
Nakamurine A (1): White amorphous solid; UV (MeOH) λmax (log ε) 206 (2.12), 267 (2.60) nm; IR (KBr) vmax 3286, 2958, 1643, 1558, 1521, 1326, 1064, 746 cm-1; 1H NMR (DMSO-d6, 500 MHz) and 13C NMR (DMSO-d6, 125 MHz) data, see Table 1; HRESIMS m/z 177.0632 [M + Na]+ (calcd. for C7H10O2 N2Na, 177.0634).
Nakamurine B (2): Colorless oil; UV (MeOH) λmax (log ε) 207 (2.79), 266 (2.84) nm; IR (KBr) vmax 3377, 2937, 1735, 1682, 1656, 1540, 1456, 1201, 1039, 970, 761 cm-1; 1H NMR (DMSO-d6, 500 MHz) and 13C NMR (DMSO-d6, 125 MHz) data, see Table 1; HR-ESIMS m/z 209.0918 [M + H]+ (calcd. for C10H13 O3N2, 209.0921).
Nakamurine C (3): Colorless oil; UV (MeOH) λmax (log ε) 205 (2.24), 283 (2.75) nm; IR (KBr) vmax 3252, 2947, 1733, 1690, 1650, 1538, 1471, 1235, 740 cm-1; 1H NMR (DMSO-d6, 500 MHz) and 13C NMR (DMSO-d6, 125 MHz) data, see Table 1; HR-ESIMS m/z 191.0426 [M + Na]+ (calcd. for C7H8O3N2Na, 191.0427).
4.4. Biological assaysIn vitro cytotoxicities against four tumor cell lines (human leukemia, K562; human myeloid leukemia, HL-60; human lung carcinoma, A549; and human colon carcinoma, HCT-116) were evaluated by MTT [28] and SRB [29] methods with adriamycin (doxorubicin, ADM) as positive control. The antiviral activity against H1N1 influenza A virus was evaluated by the CPE inhibition assay [30] using MDCK cells. Ribavirin was used as positive control. Antimicrobial activity was determined by the filter paper disc diffusion method and conventional broth dilution assay [31]. Three microbial strains including Staphylococcus aureus, Escherichia coli and Candida albicans were used. The control drugs penicillin G for Staphylococcus aureus, streptomycin sulfate for Escherichia coli and fungicidin for Candida albicans were included in each assay.
AcknowledgmentsThis work was supported by the National Natural Science Foundation of China (Nos. 41376142, 41476107, 41522605), NSFCShandong Joint Fund for Marine Science Research Centers (Nos. U1406402), AoShan Talents Program Supported by Qingdao National Laboratory for Marine Science and Technology (No. 2015ASTP) and Science and Technology Program of Applied Basic Research Projects of Qingdao Municipal Government (No. 14-2-4-32-jch). Special thanks are given to L. Liu (Marine Biomedical Research Institute, Qingdao, China), Dr. W. Wang (School of Medicine and Pharmacy, Ocean University of China, Qingdao, China) for the cytotoxicity and antivirus tests.
| [1] | C. Cychon, E. Lichte, M. Köck. The marine sponge Agelas citrina as a source of the new pyrrole-imidazole alkaloids citrinamines A-D and Nmethylagelongine. Beilstein J. Org. Chem. 11(2015)2029–2037. DOI:10.3762/bjoc.11.220 |
| [2] | T. Kusama, N. Tanaka, Y. Kashiwada, J. Kobayashi. Agelamadin F and tauroacidin E, bromopyrrole alkaloids from an Okinawan marine sponge Agelas sp. Tetrahedron Lett. 56(2015)4502–4504. DOI:10.1016/j.tetlet.2015.05.114 |
| [3] | N. Tanaka, T. Kusama, A. Takahashi-Nakaguchi, et al., Nagelamides U-W, bromopyrrole alkaloids from a marine sponge Agelas sp. Tetrahedron Lett. 54(213)3794–3796. |
| [4] | Y. Zhu, Y. Wang, B.B. Gu, et al., Antifungal bromopyrrole alkaloids from the South China Sea sponge Agelas sp. Tetrahedron 72(2016)2964–2971. DOI:10.1016/j.tet.2016.04.020 |
| [5] | D.B. Abdjul, H. Yamazaki, S. Kanno, et al., Structures and biological evaluations of agelasines isolated from the Okinawan marine sponge Agelas nakamurai. J. Nat. Prod. 78(2015)1428–1433. DOI:10.1021/acs.jnatprod.5b00375 |
| [6] | T. Kubota, T. Iwai, A. Takahashi-Nakaguchi, et al., Agelasines O-U, new diterpene alkaloids with a 9-N-methyladenine unit from a marine sponge Agelas sp. Tetrahedron 68(2012)9738–9744. DOI:10.1016/j.tet.2012.09.040 |
| [7] | J. Appenzeller, G. Mihci, M.T. Martin, et al., Agelasines J K, and L from the Solomon Islands marine sponge Agelas cf. mauritiana. J. Nat. Prod. 71(2008)1451–1454. DOI:10.1021/np800212g |
| [8] | V. Costantino, E. Fattorusso, C. Imperatore, et al., Clathrosides and isoclathrosides, unique glycolipids from the Caribbean sponge Agelas clathrodes. J. Nat. Prod. 69(2006)73–78. DOI:10.1021/np050331v |
| [9] | G.R. Pettit, J.P. Xu, D.E. Gingrich, et al., Isolation and structure of agelagalastatin from the Papua New Guinea marine sponge Agelas sp. Chem. Commun. 10(1999)915–916. |
| [10] | V. Costantino, E. Fattorusso, A. Mangoni, et al., Immunomodulating glycosyl ceramides from the marine sponge Agelas dispar. Tetrahedron 52(1996)1573–1578. DOI:10.1016/0040-4020(95)00986-8 |
| [11] | S. Forenlza, L. Minale, R. Riccio, et al., New bromo-pyrrole derivatives from the sponge Agelas oroides. Chem. Commun. 18(1971)1129–1130. |
| [12] | M. Fujita, Y. Nakao, S. Matsunaga, et al., Ageladine A:an antiangiogenic matrixmetalloproteinase inhibitor from the marine sponge Agelas nakamurai. J. Am. Chem. Soc. 125(2003)15700–15701. DOI:10.1021/ja038025w |
| [13] | E. Fattorusso, O. Taglialatela-Scafati. Two novel pyrrole-imidazole alkaloids from the mediterranean sponge Agelas oroides. Tetrahedron Lett. 41(2000)9917–9922. DOI:10.1016/S0040-4039(00)01764-0 |
| [14] | A. Araki, M. Tsuda, T. Kubota, et al., Nagelamide J:a novel dimeric bromopyrrole alkaloid from a sponge Agelas species. Org. Lett. 9(2007)2369–2371. DOI:10.1021/ol0707867 |
| [15] | T. Li, B. Wang, Voogd N.J. de, et al., Two new diterpene alkaloids from the South China Sea sponge Agelas aff. nemoechinata. Chin. Chem. Lett. 27(2016)1048–1051. DOI:10.1016/j.cclet.2016.05.017 |
| [16] | T. Iwai, T. Kubota, J. Fromont, et al., Nagelamide I and 2, 2-Didebromonagelamide B, new dimeric bromopyrrole-imidazole alkaloids from a marine sponge Agelas sp. Chem. Pharm. Bull. 62(2014)213–216. DOI:10.1248/cpb.c13-00821 |
| [17] | M. Tsuda, H. Uemoto, J. Kobayashi. Slagenins A~C, novel bromopyrrole alkaloids from marine sponge Agelas nakamurai. Tetrahedron Lett. 40(1999)5709–5712. DOI:10.1016/S0040-4039(99)01075-8 |
| [18] | S. Tilvi, C. Moriou, M.T. Martin, et al., Agelastatin E agelastatin F, and benzosceptrin C from the marine sponge Agelas dendromorpha. J. Nat. Prod. 73(2010)720–723. DOI:10.1021/np900539j |
| [19] | H. Uemoto, M. Tsuda, J. Kobayashi. MukanadinsA-C, newbromopyrrolealkaloids from marine sponge Agelas nakamurai. J. Nat. Prod. 62(1999)1581–1583. DOI:10.1021/np9902542 |
| [20] | G.M. König, A.D. Wright. Two new naturally occurring pyrrole derivatives from the tropical marine sponge Agelas oroides. Nat. Prod. Lett. 5(1994)141–146. DOI:10.1080/10575639408044048 |
| [21] | T. Iwagawa, M. Kaneko, H. Okamura, et al., New alkaloids from the Papua New Guinean sponge Agelas nakamurai. J. Nat. Prod. 61(1998)1310–1312. DOI:10.1021/np980173q |
| [22] | S.S. Ebada, R. Edrada-Ebel, Voogd N.J. de, et al., Dibromopyrrole alkaloids from the marine sponge Acanthostylotella sp. Nat. Prod. Commun. 4(2009)47–52. |
| [23] | C. Vergne, J. Appenzeller, C. Ratinaud, et al., Debromodispacamides B and D:isolation from the marine sponge Agelas mauritiana and stereoselective synthesis using a biomimetic proline route. Org. Lett. 10(2008)493–496. DOI:10.1021/ol702866m |
| [24] | J. Appenzeller, S. Tilvi, M.T. Martin, et al., Benzosceptrins A and B with a unique benzocyclobutane skeleton and nagelamide S and T from pacific sponges. Org. Lett. 11(2009)4874–4877. DOI:10.1021/ol901946h |
| [25] | C. Schroif-Grégoirea, J. Appenzellera, C. Debitus, et al., Debromokeramadine from the marine sponge Agelas cf. mauritiana:isolation and short regioselective and flexible synthesis. Tetrahedron 71(2015)3609–3613. DOI:10.1016/j.tet.2014.12.081 |
| [26] | X. Shen, T.L. Perry, C.D. Dunbar. Debromosceptrin, an alkaloid from the Caribbean sponge Agelas conifera. J. Nat. Prod. 61(1998)1302–1303. DOI:10.1021/np980129a |
| [27] | J.J. Morales, A.D. Rodriguez. The structure of clathrodin, a novel alkaloid isolated from the Caribbean Sea sponge Agelas clathrodes. J. Nat. Prod. 54(1991)629–631. DOI:10.1021/np50074a051 |
| [28] | M.C. Alley, D.A. Scudiero, A. Monks, et al., Feasibility of drug screening with panels of human tumor cell lines using a microculture tetrazolium assay. Cancer. Res. 48(1988)589–601. |
| [29] | P. Skehan, R. Storeng, D. Scudiero, et al., Newcolorimetric cytotoxicity assay for anticancer-drug screening. J. Natl. Cancer Inst. 82(1990)1107–1112. DOI:10.1093/jnci/82.13.1107 |
| [30] | W. Wang, P. Zhang, G.L. Yu, et al., Preparation and anti-influenza A virus activity of κ-carrageenan oligosaccharide and its sulphated derivatives. Food Chem. 133(2012)880–888. DOI:10.1016/j.foodchem.2012.01.108 |
| [31] | C.G. Pierce, P. Uppuluri, A.R. Tristan, et al., A simple and reproducible 96-well plate-based method for the formation of fungal biofilms and its application to antifungal susceptibility testing. Nat. Protoc. 3(2008)1494–1500. DOI:10.1038/nprot.2008.141 |
2017, Vol. 28 


