b Department of Pharmaceutical Analysis, the Higher Educational Key Laboratory for Nano Biomedical Technology of Fujian Province, The School of Pharmacy, Fujian Medical University, Fuzhou 350108, China ;
c Department of Basic Chemistry, The School of Pharmacy, Fujian Medical University, Fuzhou 350108, China
Vascular endothelial growth factor (VEGF) is an important regulator of angiogenesis. It stimulates vascular endothelial cell growth,survival,and proliferation [1, 2]. VEGF is seen as a signaling protein that is associated with different human diseases such as cancer [3-5],rheumatoid arthritis [6],brain injuries and Parkinson’s disease [7]. For example,the rapid growth and metastasis of tumor cells need to create and maintain a growing vascular network to supply blood and oxygen,which could result in overexpression of VEGF [8]. On the contrary,the down-regulation of VEGF is observed in neurological disorders patients and increasing the VEGF level is suggested in treatments to inhibit neuron degeneration [7]. Thus,rapid,selective and sensitive detection of VEGF is urgently needed for disease diagnosis and subsequent treatment monitoring. Up to now,different analytical techniques have been reported to detect VEGF,including ELISA assays [9],fluorescent spectrometry [10],radioimmunoassay, immunohistochemistry and others [11],however,these techniques are labor-intensive,time-consuming and often require sophisticated instrumentations,which limit their use in general applications.
In recent years,biorecognition elements based on aptamerprotein interactions have been attracting more and more attention. Aptamers are short,single-stranded DNA or RNA,isolated by an in vitro selection process with adopting the SELEX (systematic evolution of ligands by exponential enrichment) procedure [12-14]. Compared with the antibodies,aptamers offer a number of unique features such as higher sensitivity and selectivity,easy synthesis,convenient labeling and good stability [15],and have been considered as very promising biorecognition elements to quantitatively analyze proteins in various biosensors. In particular, several aptamer-based sensors (aptasensors) for VEGF such as electrical [16],optical [2],electrochemical [1],and other sensors [17] have been developed because of the availability of VEGF aptamers. Freeman et al. presented a series of optical aptasensors for the detection of VEGF [2]. However,the methods required quantum dots,exonuclease III,or nucleic acid DNAzyme labels, which made them complicated,expensive and environmentally sensitive. And in the field of electrochemical sensors,in order to improve the sensitivity,Zhao et al. [1] developed a folding-based electrochemical sensing platform for VEGF detection. This technology required a label with methylene blue and it will inevitably cause some complicated or expensive operations. Therefore,in order to further decrease the complexity and cost, attempts to adopt label-free strategies have been also made. It is worth noting that,artificial enzyme mimics that can be used in the label-free architectures have attracted a great deal of attention as high-efficiency catalysts for DNA biosensing [18, 19]. Artificial enzymes can overcome some disadvantages of natural enzymes, whose activity can be easily inhibited [20]. They suffer from low stability due to denaturation and their preparation can be expensive and time consuming [21-23]. Until now,diverse nanomaterials,including metal oxide nanomaterials [24-26], carbon nanomaterials [27-31],noble-metal nanoparticles (NPs) [32-37],and some other composites [38-40],have been found to have peroxidase-like activity. Nonetheless,since probes made from these enzyme mimics are still not sensitive enough for the detection of targets,further efforts to find or develop superior enzyme mimetics with more sensitivity,reusability,and stability are still required in the field of biological functional materials.
Recently,Zheng et al. [41] have reported the successful synthesis of Ag/Pt bimetallic nanoclusters through a DNAtemplated method,which possessed intrinsic enzyme mimetic activity similar to that found in natural peroxidases,thus providing a simple approach to colorimetric detection of targets. Based on his work,we optimized the synthetic scheme of DNA-Ag/Pt NCs by spending less reaction time. In Zheng’s work the buffer solution used in the synthesis was 10 mmol/L phosphate (pH 7.0) and the reaction mixture must react at 37 °C for up to 3 h. In our scheme we replaced the buffer solution with 10 mmol/L sodium citrate and the mixture react at 45 °C for only 5 min. The reaction time was significantly reduced,but still could obtain the same Ag/Pt bimetallic nanoclusters. The reason for choosing sodium citrate and other conditions is that in our previous work we frequently used them to synthesize silver nanoclusters [42]. The obtained bimetallic nanoclusters are characterized by small particle size, good dispersion and show strong peroxidase-like catalytic activity. Herein,we utilized their catalytic performance with a label-free technique for constructing an electrochemical aptasensor for the detection of VEGF. Combined with the advantages of electrochemical biosensors,such as easy fabrication,convenient operation, portability,free of labels,speed and low cost,our proposed sensor may be a promising method in detecting VEGF.
2. Experimental 2.1. Reagents and apparatusHPLC-purified oligonucleotides in this studywere synthesized by Shanghai Sangon Biotechnology Co.,Ltd.,and their base sequences were as follows: template DNA: 5-CCCCCTAACTCCCCC-30; amino- Apt13: 5'-CGGGCCGGGTAGATTTTTT-NH2-3'; Apt12: 5'-TGTGGGGGTGGA- 3'; template-Apt12: 5'-CCCCCTAACTCCCCCTTTTTTTTTTTGTGGGGGTGGA- 3'. Silver nitrate (AgNO3) and sodium borohydride (NaBH4) were purchased from Sinopharm Chemical Reagent Co.,Ltd. Potassium tetrachloroplatinate (II) (K2PtCl4) was purchased from Adamas Reagent Co.,Ltd. Vascular endothelial growth factor (VEGF),human thrombin,human serum albumin (HSA) and human immunoglobulin (IgG) were obtained from Sigmas-Aldrich Chemical Co.,Ltd. Ultrapure water purified with a Millipore system (18MV resistivity) was used in all runs. Other chemicals were all of analytical reagent grade.
Ultraviolet-visible light (UV-vis) absorption spectra were measured using a Hitachi Model 2450 Spectrophotometer (Hitachi, Japan). Fluorescence spectra were collected using a Cary Eclipse Fluorometer (Agilent,USA). The size and morphology of assynthesized nanoclusters were observed by a JEM-1200EX transmission electron microscope (TEM,JEOL,Japan) equipped with an electron diffractometer (ED). All electrochemical measurements were carried out in a conventional three-electrode system using a CHI 660D Electrochemical Workstation (CH Instruments,Shanghai,China). A glassy carbon electrode (GCE, 3 mmin diameter) was used as working electrode. A platinum wire electrode and an Ag/AgCl electrode were used as the counter electrode and reference electrode,respectively.
2.2. Synthesis of DNA-Ag/Pt bimetallic NCsUnder optimized synthesis conditions,AgNO3 solution (1 mmol/L,10 mL) and K2PtCl4 solution (3 mmol/L,20 mL) and the template DNA solution (100 mmol/L,10 mL) were added together to 10 mmol/L sodium citrate (60 mL). After incubation in the dark for 10 min,a freshly prepared NaBH4 (200 mmol/L, 100 mL) solution was added immediately in order to initiate the reduction reaction. The mixture was allowed to react at 45 °C for 5 min under vigorous shaking. After the reaction,the DNA-Ag/Pt NCs were cooled to room temperature and stored in a 4 °C refrigerator. Centrifugal operation (13,500 × g,15 min) must be carried out before use and the supernatant was carefully collected [43, 44]. The concentration of the resulted DNA-Ag/Pt NCs was denoted as the concentration of DNA used in the clusters formation.
2.3. Catalytic activity evaluation of DNA-Ag/Pt bimetallic NCsIn a typical colorimetric reaction,10 mL of dispersion solutions of DNA-Ag/Pt NCs and 20 mL of 500 mmol/L H2O2 were added into 130 mL of 200 mmol/L acetate buffer (pH 4.0). A freshly prepared TMB solution (40 mL of 4 mmol/L) was then added to the above solution. After reacting for 3 min,the mixtures were scanned by UV-vis spectrograph. The obtained absorbance values of products at 652 nm represented the enzymatic activity of DNA-Ag/Pt NCs.
2.4. Kinetic analysis of DNA-Ag/Pt bimetallic NCsKinetic measurements were carried out in time-drive mode by monitoring the absorbance change at 652 nm. Experiments were carried out using 10 mL dispersion solutions of DNA-Ag/Pt NCs in a reaction volume of 200 mL acetate buffer solution (200 mmol/L,pH 4.0) with 50 mmol/L H2O2 and different concentrations of TMB. Immediately after the addition of substrates,color reactions were monitored by UV-vis spectrograph.
2.5. Sensor fabrication and electrochemical measurementsGCE was firstly polished with 0.3 and 0.05 mmalumina powder, thoroughly rinsed with ultrapure water and sonicated in ethanol and water for 5 min alternately. After washing and drying with nitrogen,the electrode was electropolymerized using 30 times cyclic potential sweeps in the range of -0.8 V and 1.5 V in an aqueous Poly-L-Lysine solution at a scan rate of 100 mV/s [45]. Then 5 mL of coupling activator (5 mmol/L EDC and 8 mmol/L NHS in pH 7.4 phosphate buffer) was first spread on the electrode surface for 1.5 h at room temperature. Next,5 mL of 15 nmol/L amino-Apt13 solution was placed on electrode surface for 1 h. Washing procedure should be performed following each modification steps. Then,5 mL of 5 nmol/L Apt12-functionalized Ag/Pt NCs and different concentrations of VEGF was spread on the electrode surface for 1 h. After washing and drying,the final modified electrode was obtained.
For electrochemical measurements,150 mL of 100 mmol/L H2O2 and 100 mL of 8 mmol/L freshly prepared TMB were added into 750 mL of 100 mmol/L phosphate buffer,then the obtained modified electrode was detected in the above solution by cyclic voltammograms (CVs) and amperometric detection. CVs were carried out at an initial potential of -200 mV and a scan rate of 100 mV/s. Amperometric detection was performed with a fixed potential of-100 mVand the steady state was usually reached and recorded within 100 s.
3. Results and discussion 3.1. Schematic illustration of the electrochemical sensorThe synthesis protocol of DNA-Ag/Pt NCs was illustrated in schematic diagram (Fig. 1A). The as-synthesized DNA-Ag/Pt NCs possess intrinsic enzyme mimetic activity,which can be used to construct a label-free electrochemical aptasensor for VEGF detection. As shown in Fig. 1B,a 13-mer VEGF aptamer with an amino group at its 30 terminus was covalently attached to a GCE through an amide linkage. An ssDNA containing a template DNA and a 12-mer VEGF aptamer was used as a template agent for the synthesis of aptamer-functionalized Ag/Pt NCs. In the presence of VEGF,the specific binding of the two aptamers to the target produced a VEGF-Ag/Pt NCs complex,which was fixed on the GCE plates. Then the restricted DNA-Ag/Pt NCs,as signal detection probes,catalyzed the oxidation of TMB,resulting in a significant increase of current intensity and a blue color change in solution. The current intensity increased with the increasing of VEGF concentration,which provided the quantitative determination of VEGF. In addition,the blue color change of the catalytic oxidation of TMB that can be seen by a naked eye might offer a label-free visual method for the detection of VEGF.
|
Download:
|
| Figure 1. (A) Schematic diagram of DNA-Ag/Pt NCs synthesis protocol. (B) The detection principle of the electrochemical sensor. | |
3.2. Characterization of the as-synthesized DNA-Ag/Pt NCs
It has been proven in previous work [41] that a C-rich DNA template has great effect on the nanocluster formation. A C-poor DNA template could not be used to synthesize Ag/Pt NCs. So we chose the same C-rich DNA template for synthesis. The particle size and morphology of the obtained nanoclusters were examined by means of TEM. The DNA-Ag/Pt NCs are roughly spherical in shape and well distributed in an average size of about 2 nm (Fig. 2A). A typical energy-dispersive X-ray (EDX) spectrum of DNA-Ag/Pt NCs is showed in Fig. 2B,where the presence of elemental Ag and Pt is clearly demonstrated,indicating the Ag/Pt bimetallic nanoclusters have been successfully formed. The DNA-Ag/Pt NCs responded almost no fluorescence,but a bright fluorescent was observed for DNA-Ag NCs synthesized in the same preparation process without the addition of K2PtCl4 (Fig. 2C). It suggested that Pt NCs were deposited on the Ag NCs surface when Ag/Pt bimetallic NCs generated and eventually resulted in fluorescence quenching [41].
|
Download:
|
| Figure 2. (A) TEM image of DNA-Ag/Pt NCs. (B) EDX spectrum of DNA-Ag/Pt NCs. (C) Fluorescence spectra of DNA-Ag NCs and DNA-Ag/Pt NCs. Excitation wavelength was 548 nm. | |
The obtained DNA-Ag/Pt NCs display peroxidase-like catalytic activity and can effectively catalyze H2O2-mediated oxidation of TMB. Under the identical procedure,we replaced the template DNA by Apt12 and template-Apt12 for the same synthesis. No obvious catalytic reaction occurred in the TMB-H2O2 system for the product of Apt12,which meant the Ag/Pt NCs could not grow on Apt12. But for the product of template-Apt12,the same degree of blue color change could be observed in the TMB-H2O2 system,indicating the successful synthesis of Ag/Pt NCs. This result proved that the presence of Apt12 series did not affect template-Apt12 as a template for the synthesis and the recognition function of the Apt12 to VEGF would be preserved when using template-Apt12 to synthesize Ag/Pt NCs.
3.3. The kinetic analysis of the as-synthesized DNA-Ag/Pt NCsIn order to obtain high catalytic activity,the concentration ratio of K2PtCl4 and AgNO3 in the synthesis has been optimized. DNAAg/ Pt NCs obtained at 6:1 ratio of K2PtCl4 to AgNO3 exhibited the maximum peroxidase-like catalytic activity (Fig. S1 in Supporting information). To further evaluate the catalytic activity of DNA-Ag/ Pt NCs,we acquired the Michaelis-Menten equation using the dynamic method and compared with HRP. The Michaelis-Menten equation expresses the relationship of the initial reaction rate (v) and substrate concentration (S) in the enzyme-catalyzed reactions, the corresponding formula is usually described as v = vmaxS/ (Km + S),where vmax is the maximal reaction velocity and Km denotes the Michaelis constant. The smaller value of Km indicates the stronger affinity between the enzyme and the substrate.
The influence of substrate concentrations upon the initial reaction rate of DNA-Ag/Pt NCs mimic enzyme-mediated catalytic oxidation had been studied. At low concentrations of substrate,the initial reaction rate is linear to substrate concentrations. However, the linear relationship deviates when the substrate concentrations increase (Fig. 3A). This phenomenon follows the Michaelis- Menten model. Fig. 3B shows the double reciprocal curve between reaction rates and TMB concentrations. A good linear correlation (1/v= 182.932/[S] + 1.3445,R2 = 0.9957) can be obtained according to the Lineweaver-Burk plot,which further indicates that the peroxidation of TMB catalyzed by DNA-Ag/Pt NCs is consistent with Michaelis-Menten kinetics. The kinetic parameters Km and vmax obtained from this double reciprocal curve are 136 mmol/L and 0.744 DA min-1,respectively. Under the same conditions,the Lineweaver-Burk plot for the reaction of TMB and HRP (1/ v= 527.076/[S] + 0.6916,R2 = 0.9972) is shown in Fig. 3D. The Km and vmax of HRP are 762 mmol/L and 1.446 DA min-1,respectively. Compared with the value of Km for HRP and DNA-Ag/Pt NCs system, the DNA-Ag/Pt NCs show stronger affinity to substrate and have better catalytic capacity than that of HRP. Furthermore,DNA-Ag/Pt NCs have obvious advantages such as low cost,easy labeling and high stability against pH and heat treatments [41]. It indicated that DNA-Ag/Pt NCs could serve as a novel kind of catalytic label for the design and development of various sensors based on nanozyme.
|
Download:
|
| Figure 3. (A) Dependence of the reaction rates on the TMB concentrations for the oxidation reaction of TMB catalyzed by DNA-Ag/Pt NCs. (B) Double reciprocal curve between reaction rates and TMB concentrations (DNA-Ag/Pt NCs). (C) Dependence of the reaction rates on the TMB concentrations for the oxidation reaction of TMB catalyzed by HRP.(D) Double reciprocal curve between reaction rates and TMB concentrations (HRP). | |
3.4. The cyclic voltammetry characteristics of the sensor
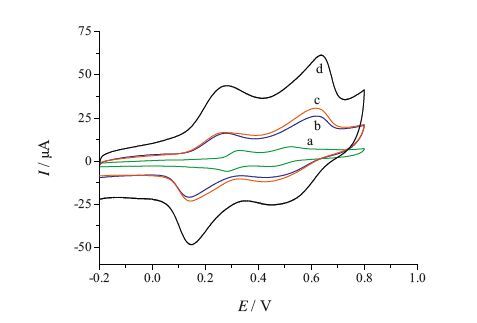
In order to confirm the successful assembly of the biosensor,we compared the CV signals of TMB substrate at different stages of the biosensor preparation. As shown in Fig. 4,two pairs of peaks corresponding to the reduction and oxidation of TMB could be observed in cyclic voltammograms. The peak current of membrane electrode (curve b) was close to that of blank electrode (curve c). Upon VEGF binding,the final modified electrode could catalyze the oxidation of TMB and thus improved the electron transfer efficiency,which was reflected in the significant increase of peak current (curve d). The results of CVs demonstrated that the biosensor indeed worked as expected.
|
Download:
|
| Figure 4. Cyclic voltammograms (CVs) of different electrodes. (a) Bare electrode, (b)PLLy membrane electrode, (c) blank electrode (without VEGF), (d) modified electrode (VEGF 1 nmol/L). | |
3.5. Optimization of experimental conditions
In order to produce relatively large current signals,the influence of the probe density that was controlled by varying the concentrations of the aptamers (amino-Apt13 and template- Apt12) used in sensor fabrication and the incubation time of VEGF were studied. The net maximum current signal could be obtained when the concentration ratio of amino-Apt13 and Apt12- functionalized Ag/Pt NCs was 15 nmol/L:5 nmol/L (Fig. S2A in Supporting information) and the incubation time was 60 min (Fig. S2B in Supporting information).
3.6. The sensitivity of the sensorThe quantitative behavior of the electrochemical biosensor for VEGF detection was investigated by varying its concentration. Under the optimum experimental conditions,the average current showed a fine linear relationship with the concentration of VEGF in the range of 6.0-20 pmol/L (Fig. 5). The linear equation is DI (nA) = 799.11 log C (pmol/L) - 524.95 (R2 = 0.9927),where DI is the net current intensity and C is the VEGF concentration. The detection limit was calculated to be 4.6 pmol/L (175 pg/mL, defined as signal/noise = 3) and the relative standard deviation (RSD) was found to be 5.53% (n = 8) for the detection of 10 pmol/L VEGF under the same condition. The detection range includes the physiological concentration of VEGF in human blood,which averages from 6.7 pmol/L (256 pg/mL) among healthy individuals to 11.4 pmol/L (434 pg/mL) among cancer patients [1, 46-48]. The detection limit is lower than other aptasensors’ detection limit (1 nmol/L,2.6 nmol/L,12 nmol/L,18 nmol/L and 875 pmol/L) [2], (1.04 nmol/L,104 pmol/L) [16],1 nmol/L [49]. The results showed that the enzymatic activity can be measured well using this aptamer-based electrochemical biosensor. We presume that this improved sensitivity can be attributed to the higher catalytic activity of DNA-templated Ag/Pt NCs and the efficient recognition performance of the aptamer. Although the detection limit is similar to the reported 5 pmol/L [1, 2] and higher than other reports (as low as 0.4 pmol/L) [50],this strategy may provide an idea for future label-free protein assay and the detection sensitivity can be further improved through more in-depth study such as using the enzymefree cyclic signal amplification technology [51-54].
|
Download:
|
| Figure 5. Current-time curves of hybridization with a series of concentrations of VEGF. From a–e: 6.0, 7.0, 10, 15, 20 pmol/L. Insert: the plot of the net current as a function of the logarithm of VEGF concentration and the photograph of blue color change toward various concentrations of VEGF. | |
3.7. The selectivity of the sensor
The selectivity of the proposed biosensor in discriminating VEGF from different proteins was also studied. Three foreign proteins (Human thrombin,IgG,HSA) were chosen to be tested at the same concentration as VEGF (Fig. 6). Obviously the net current signal displayed a significant increase in the present of VEGF. But for other proteins only little change of current signals could be detected. These results suggested good selectivity of the assay for VEGF. The high specificity of this biosensor should be attributed to the aptamers of VEGF used in sensor fabrication. The aptamers have specific recognition of VEGF and respond to no other proteins.
|
Download:
|
| Figure 6. Current intensity comparison of proposed aptasensor toward (a) VEGF, (b) Human thrombin, (c) IgG, (d) HSA (15 pmol/L for each). | |
3.8. Real sample analysis compared with ELISA
To demonstrate the practical utility of the proposed biosensor in real biological samples,6 human serum samples of breast cancer patients were tested using the sensor and ELISA Kit for VEGF as a reference. All providers in this study signed an informed consent agreement. As Fig. 7 showed,the VEGF concentrations detected by the sensor were consistent with those obtained by ELISA. Therefore,the proposed electrochemical biosensor can directly detect the VEGF concentrations in human serum samples without pretreatment and has a good prospect in clinical applications.
|
Download:
|
| Figure 7. The comparison of VEGF concentrations in serum samples of breast cancer patients detected by the proposed sensor (red bars) and ELISA (green bars), respectively. | |
4. Conclusion
In short,we optimized the synthetic scheme of DNA-templated Ag/Pt bimetallic nanoclusters. The DNA-Ag/Pt NCs with ultrasmall particle size and excellent distribution could be synthesized in shorter reaction time. The obtained nanoclusters display intrinsic peroxidase-mimicking activity and the Michaelis constant Km suggests that it can effectively catalyze the H2O2-mediated oxidation of TMB. Based on this,we employed the aptamer of VEGF to develop a label-free electrochemical biosensor for the detection of the targeted VEGF. The proposed aptasensor can detect as low as 4.6 pmol/L VEGF and exhibits high discrimination ability. Moreover,the sensor is capable of directly detecting VEGF concentration in human serum samples of breast cancer patients. All these suggest that the aptasensor is a cost-effective,single-use biosensor for diseases surveillance,diagnosis and treatment monitoring.
AcknowledgmentThe authors gratefully acknowledge the financial support of the National Natural Science Foundation of China (Nos. 21375017, 21105012 and 21205015),the National Science Foundation for Distinguished Young Scholars of Fujian Province (No. 2013J06003), the Key Project of Fujian Science and Technology (No. 2013Y0045), the Program for New Century Excellent Talents of Colleges and Universities in Fujian Province (Nos. JA13130 and JA13088),the Program for Fujian University Outstanding Youth Scientific Research (Nos. JA11105 and JA10295),and the Foundation of Fuzhou Science and Technology Bureau (No. 2013-S-122-4).
Appendix A. Supplementary dataSupplementary data associated with this article can be found,in the online version,at http://dx.doi.org/10.1016/j.cclet.2016.04.014.
| [1] | S. Zhao, W.W. Yang, R.Y. Lai. A folding-based electrochemical aptasensor for detection of vascular endothelial growth factor in human whole blood. Biosens. Bioelectron. 26 (2011) 2442–2447. |
| [2] | R. Freeman, J. Girsh, A.F. Jou, et al. , Optical aptasensors for the analysis of the vascular endothelial growth factor (VEGF). Anal. Chem. 84 (2012) 6192–6198. |
| [3] | K.H. Plate, G. Breier, H.A. Weich, W. Risau. Vascular endothelial growth factor is a potential tumour angiogenesis factor in human gliomas in vivo. Nature 359 (1992) 845–848. |
| [4] | P. Salven, A. Orpana, H. Joensuu. Leukocytes and platelets of patients with cancer contain high levels of vascular endothelial growth factor. Clin. Cancer Res. 5 (1999) 487–491. |
| [5] | P. Carmeliet, R.K. Jain. Angiogenesis in cancer and other diseases. Nature 407 (2000) 249–257. |
| [6] | H. Nakahara, J. Song, M. Sugimoto, et al. , Anti-interleukin-6 receptor antibody therapy reduces vascular endothelial growth factor production in rheumatoid arthritis. Arthritis Rheum. 48 (2003) 1521–1529. |
| [7] | E. Storkebaum, D. Lambrechts, P .. Carmeliet, VEGF: once regarded as a specific angiogenic factor, now implicated in neuroprotection. BioEssays 26 (2004) 943–954. |
| [8] | R. Roskoski Jr.. Vascular endothelial growth factor (VEGF) signaling in tumor progression. Crit. Rev. Oncol. Hematol. 62 (2007) 179–213. |
| [9] | P. Scapini, F. Calzetti, M.A. Cassatella. On the detection of neutrophil-derived vascular endothelial growth factor (VEGF). J. Immunol. Methods 232 (1999) 121–129. |
| [10] | Y. Suzuki, K. Yokoyama. Development of a fluorescent peptide for the detection of vascular endothelial growth factor (VEGF). ChemBioChem 10 (2009) 1793–1795. |
| [11] | N. Cennamo, M. Pesavento, L. Lunelli, et al. , An easy way to realize SPR aptasensor: a multimode plastic optical fiber platform for cancer biomarkers detection. Talanta 140 (2015) 88–95. |
| [12] | E.J. Cho, J.W. Lee, A.D. Ellington. Applications of aptamers as sensors. Annu. Rev. Anal. Chem. 2 (2009) 241–264. |
| [13] | M. Famulok, G. Mayer, M. Blind. Nucleic acid aptamers-from selection in vitro to applications in vivo. Acc. Chem. Res. 33 (2000) 591–599. |
| [14] | C. Tuerk, L. Gold. Systematic evolution of ligands by exponential enrichment: RNA ligands to bacteriophage T4 DNA polymerase. Science 249 (1990) 505–510. |
| [15] | P. Tong, W.W. Zhao, L. Zhang, J.J. Xu, H.Y. Chen. Double-probe signal enhancing strategy for toxin aptasensing based on rolling circle amplification. Biosens. Bioelectron. 33 (2012) 146–151. |
| [16] | H.S. Lee, K.S. Kim, C.J. Kim, S.K. Hahn, M.H. Jo.. Electrical detection of VEGFs for cancer diagnoses using anti-vascular endotherial growth factor aptamer-modified Si nanowire FETs. Biosens. Bioelectron. 24 (2009) 1801–1805. |
| [17] | A. Qureshi, Y. Gurbuz, J.H. Niazi. Capacitive aptamer-antibody based sandwich assay for the detection of VEGF cancer biomarker in serum. Sens. Actuators B Chem. 209 (2015) 645–651. |
| [18] | G. Wulff. Enzyme-like catalysis by molecularly imprinted polymers. Chem. Rev. 102 (2002) 1–27. |
| [19] | L.A. Levine, M.E. Williams. Inorganic biomimetic nanostructures. Curr. Opin. Chem. Biol. 13 (2009) 669–677. |
| [20] | E. Shoji, M.S. Freund. Potentiometric sensors based on the inductive effect on the pKa of poly(aniline): a nonenzymatic glucose sensor. J. Am. Chem. Soc. 123 (2001) 3383–3384. |
| [21] | R. Breslow. Biomimetic chemistry and artificial enzymes: catalysis by design. Acc. Chem. Res. 28 (1995) 146–153. |
| [22] | Y.L. Dong, H.G. Zhang, Z.U. Rahman, et al. , Graphene oxide-Fe3O4 magnetic nanocomposites with peroxidase-like activity for colorimetric detection of glucose. Nanoscale 4 (2012) 3969–3976. |
| [23] | J.X. Xie, X.D. Zhang, H. Wang, et al. , Analytical and environmental applications of nanoparticles as enzyme mimetics. TrAC Trends Anal. Chem. 39 (2012) 114–129. |
| [24] | L.Z. Gao, J. Zhuang, L. Nie, et al. , Intrinsic peroxidase-like activity of ferromagnetic nanoparticles. Nat. Nanotechnol. 2 (2007) 577–583. |
| [25] | J.S. Mu, Y. Wang, M. Zhao, L. Zhang. Intrinsic peroxidase-like activity and catalaselike activity of Co3O4 nanoparticles. Chem. Commun. 48 (2012) 2540–2542. |
| [26] | A. Asati, S. Santra, C. Kaittanis, S. Nath, J.M. Perez. Oxidase-like activity of polymer-coated cerium oxide nanoparticles. Angew. Chem. Int. Ed. 48 (2009) 2308–2312. |
| [27] | A.X. Zheng, Z.X. Cong, J.R. Wang, et al. , Highly-efficient peroxidase-like catalytic activity of graphene dots for biosensing. Biosens. Bioelectron. 49 (2013) 519–524. |
| [28] | J. Tian, Q. Liu, A.M. Asiri, et al. Ultrathin graphitic carbon nitride nanosheets: a novel peroxidase mimetic. Fe doping-mediated catalytic performance enhancement and application to rapid, highly sensitive optical detection of glucose. Nanoscale, 5 (2013) 11604–11609. |
| [29] | W.B. Shi, Q.L. Wang, Y.J. Long, et al. , Carbon nanodots as peroxidase mimetics and their applications to glucose detection. Chem. Commun. 47 (2011) 6695–6697. |
| [30] | Y.J. Song, K.G. Qu, C. Zhao, J.S. Ren, X .G. Qu. Graphene oxide: intrinsic peroxidase catalytic activity and its application to glucose detection. Adv. Mater. 22 (2010) 2206–2210. |
| [31] | R.M. Li, M.M. Zhen, M.R. Guan, et al. , A novel glucose colorimetric sensor based on intrinsic peroxidase-like activity of C60-carboxyfullerenes. Biosens. Bioelectron. 47 (2013) 502–507. |
| [32] | X.X. Zheng, Q. Liu, C. Jing, et al. , Catalytic gold nanoparticles for nanoplasmonic detection of DNA hybridization. Angew. Chem. Int. Ed. 50 (2011) 11994–11998. |
| [33] | J. Fan, J.J. Yin, B. Ning, et al. , Direct evidence for catalase and peroxidase activities of ferritin-platinum nanoparticles. Biomaterials 32 (2011) 1611–1618. |
| [34] | M. Stobiecka. Novel plasmonic field-enhanced nanoassay for trace detection of proteins. Biosens. Bioelectron. 55 (2014) 379–385. |
| [35] | Y.F. Zhang, C.L. Xu, B.X. Li, Y.B. Li. In situ growth of positively-charged gold nanoparticles on single-walled carbon nanotubes as a highly active peroxidase mimetic and its application in biosensing. Biosens. Bioelectron. 43 (2013) 205–210. |
| [36] | H. Jiang, Z.H. Chen, H.Y. Cao, Y.M. Huang. Peroxidase-like activity of chitosan stabilized silver nanoparticles for visual and colorimetric detection of glucose. Analyst 137 (2012) 5560–5564. |
| [37] | Z.Q. Gao, M.D. Xu, L. Hou, G.N. Chen, D .P. Tang. Irregular-shaped platinum nanoparticles as peroxidase mimics for highly efficient colorimetric immunoassay. Anal. Chim. Acta 776 (2013) 79–86. |
| [38] | L.J. Chen, B. Sun, X.D. Wang, F.M. Qiao, S .Y. Ai,, 2D ultrathin nanosheets of Co-Al layered double hydroxides prepared in L-asparagine solution: enhanced peroxidase-like activity and colorimetric detection of glucose. J. Mater. Chem. B 1 (2013) 2268–2274. |
| [39] | W.W. He, H.M. Jia, X.X. Li, et al. , Understanding the formation of CuS concave superstructures with peroxidase-like activity. Nanoscale 4 (2012) 3501–3506. |
| [40] | C.L. Sun, X.L. Chen, J. Xu, et al. , Fabrication of an inorganic-organic hybrid based on an iron-substituted polyoxotungstate as a peroxidase for colorimetric immunoassays of H2O2 and cancer cells. J. Mater. Chem. A 1 (2013) 4699–4705. |
| [41] | C. Zheng, A.X. Zheng, B. Liu, et al. , One-pot synthesized DNA-templated Ag/Pt bimetallic nanoclusters as peroxidase mimics for colorimetric detection of thrombin. Chem. Commun. 50 (2014) 13103–13106. |
| [42] | J.H. Chen, X. Zhang, S.X. Cai, et al. , A fluorescent aptasensor based on DNAscaffolded silver-nanocluster for ochratoxin A detection. Biosens. Bioelectron. 57 (2014) 226–231. |
| [43] | Y.T. Su, G.Y. Lan, W.Y. Chen, H.T. Chang. Detection of copper ions through recovery of the fluorescence of DNA-templated copper/silver nanoclusters in the presence of mercaptopropionic acid. Anal. Chem. 82 (2010) 8566–8572. |
| [44] | W.Y. Chen, G.Y. Lan, H.T. Chang. Use of fluorescent DNA-templated gold/silver nanoclusters for the detection of sulfide ions. Anal. Chem. 83 (2011) 9450–9455. |
| [45] | W. Sun, Y.Y. Zhang, X.M. Ju, et al. , Electrochemical deoxyribonucleic acid biosensor based on carboxyl functionalized graphene oxide and poly-L-lysine modified electrode for the detection of tlh gene sequence related to vibrio parahaemolyticus. Anal. Chim. Acta 752 (2012) 39–44. |
| [46] | S. Mahner, L. Woelber, C. Eulenburg, et al. , TIMP-1 and VEGF-165 serum concentration during first-line therapy of ovarian cancer patients. BMC Cancer 10 (2010) 139. |
| [47] | A. Mitsuhashi, K. Suzuka, K. Yamazawa, et al. , Serum vascular endothelial growth factor (VEGF) and VEGF-C levels as tumor markers in patients with cervical carcinoma. Cancer 103 (2005) 724–730. |
| [48] | F. Di Raimondo, M.P. Azzaro, G. Palumbo, et al. , Angiogenic factors in multiple myeloma: higher levels in bone marrow than in peripheral blood. Haematologica 85 (2000) 800–805. |
| [49] | Z.W. Lv, K. Wang, X.L. Zhang. A new electrochemical aptasensor for the analysis of the vascular endothelial growth factor. J. Immunoass. Immunochem. 35 (2014) 233–240. |
| [50] | O.S. Kwon, S.J. Park, J. Jang. A high-performance VEGF aptamer functionalized polypyrrole nanotube biosensor. Biomaterials 31 (2010) 4740–4747. |
| [51] | X.J. Chen, L.N. Ge, B.H. Guo, et al. , Homogeneously ultrasensitive electrochemical detection of adenosine triphosphate based on multiple signal amplification strategy. Biosens. Bioelectron. 58 (2014) 48–56. |
| [52] | S.F. Liu, Y. Lin, T. Liu, et al. , Enzyme-free and label-free ultrasensitive electrochemical detection of DNA and adenosine triphosphate by dendritic DNA concatamer-based signal amplification. Biosens. Bioelectron. 56 (2014) 12–18. |
| [53] | P. Liu, X.H. Yang, Q. Wang, et al. , Sensitive detection of DNA methyltransferase activity based on rolling circle amplification technology. Chin. Chem. Lett. 25 (2014) 1047–1051. |
| [54] | J. Huang, Y. He, X.H. Yang, K. Quan, K.M. Wang. Inhibited aptazyme-based catalytic molecular beacon for amplified detection of adenosine. Chin. Chem. Lett. 25 (2014) 1211–1214. |
2016, Vol. 27 

