b State Key Laboratory of Drug Research, Shanghai Institute of Materia Medica, Chinese Academy of Sciences, Shanghai 201203, China;
c CAS Key Laboratory of Receptor Research, The National Center for Drug Screening, Shanghai Institute of Materia Medica, Chinese Academy of Sciences, Shanghai 201203, China
The prevalence of type 2 diabetes (T2DM) is now a serious global health burden. The total number of people suffering from diabetes is expected to grow from 171 million in 2000 to 366 million by 2030 [1]. Despite some medications are available for treatment of T2DM,current therapy is often associated with weight gain and hypoglycemia (sulfonylureas),also with other adverse effects such as gastrointestinal discomfort or edema [2]. Therefore,there still remains a significant unmet need for new effective,oral anti-diabetic agents that improve glycemic control while maintaining an excellent safety profile.
The G protein-coupled receptor 40 (GPR40,also known as FFA1) primarily expressed in pancreatic β-cells and enteroendocrine cells of the small intestine [3]. When activated by medium to long chain fatty acids,GPR40 elicits enhanced insulin secretion only in the presence of elevated glucose but does not affect insulin secretion at low glucose levels [4, 5]. This alluring mechanism to treat type 2 diabetes presents that small molecule agonists of GPR40 may serve as novel insulin secretagogues with little or no risk of hypoglycemia. In recent years,a number of potent GPR40 agonists have been reported and some of them have progressed to clinical trials,exemplified by TAK-875,AMG-837 and LY2881835 (Fig. 1) [6]. Unfortunately,these compounds have been terminated due to safety concerns [6]. By analyzing their structures,we find that there is a common structural moiety of benzyloxy fragment in these compounds. This may cause poor oral pharmacokinetic profiles (PK) and potential safety concern due to benzaldehyde moiety resulted from metabolic oxidation at the benzyl position [7]. Therefore,as an effort to identify novel GPR40 agonists with improved PK and safety profiles,we designed a series of new linkers between the left phenyl (B ring) and phenylpropanoic acid to avoid benzyl oxidation. This paper described the synthesis and biological evaluation of a series of novel phenylpropanoic acid derivatives as potential GPR40 agonists (Fig. 2).
|
Download:
|
| Fig. 1.Structures of representative GPR40 agonists. | |
|
Download:
|
| Fig. 2.Design of phenylpropanoic acid derivatives with new linker. | |
The synthetic routes of compounds 7 and 13 are outlined in Scheme 1. Condensation of compounds 4a and b with propargyl bromide in the presence of potassium carbonate as a base afforded 5a and b. Compounds 6 and 10 were obtained by Sonogashira cross-coupling reaction of 5a and b and appropriate aromatic bromides [8]. Deprotection of 10 in THF with tetrabutylammonium fluoride and further esterification with triflic anhydride gave 11. Suzuki-Miyaura cross-coupling of 11 with 3-methoxybenzeneboronic acid provided 12. Basic hydrolysis of intermediates 6 and 12 afforded the corresponding carboxylic acids 7 and 13, respectively.
|
Download:
|
| Scheme 1.Synthesis of compounds 7 and 13. Reagents and conditions: (a) K2CO3, DMF, propargyl bromide, 80 ℃, 88%–91%; (b) 5a and 2-bromophenylacetonitrile, Na2PdCl4, CuI, H2O, TMEDA, 2-(di-tert-butylphosphino)-1-phenylindole, 80 ℃, 62%; (c) 1 mol/L LiOH aq., MeOH, r.t., 82%–87%; (d) TBSCl, TEA, THF, r.t., 92%; (e) 5b and 9, Na2PdCl4, CuI, H2O, TMEDA, 2-(Di-tert-butylphosphino)-1-phenylindole, 80 ℃, 76%; (f) TBAF, THF, r.t., 94%; (g) triflic anhydride; pyridine, DCM, 92%; (h) 3-methoxybenzeneboronic acid, 2 mol/L Na2CO3, LiCl, Pd(PPh3)4, 85 ℃, 75%. | |
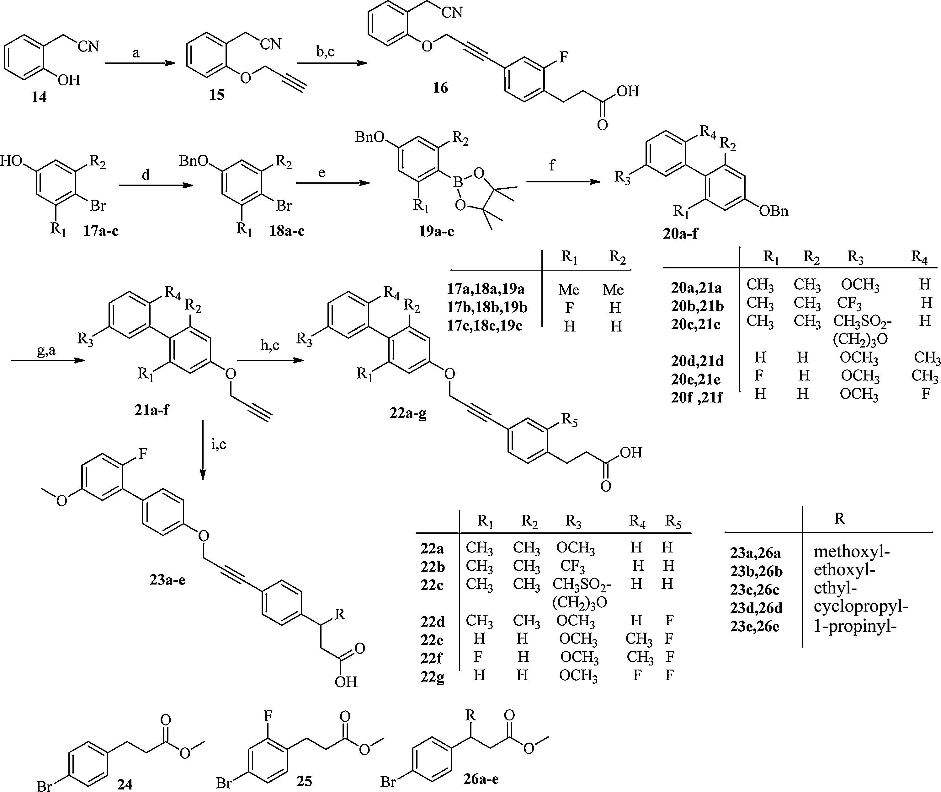
Compounds 16,22a-g and 23a-e were synthesized according to Scheme 2. The preparation of compound 16 began with the conversion of compound 14 to 15,which was followed by Sonogashira coupling with 25 and basic hydrolysis. Compounds 17a-c were protected by benzyl bromide and then coupled with pinacolborane to give boronic esters 19a-c. Suzuki coupling of 19a-c with appropriate aromatic bromides provided 20a- f. Compounds 21a-f were yielded by deprotection of intermediates 20a-f and then alkylation of the phenols. Sonogashira coupling of 21a-f with group 24 or 25,and followed by final basic hydrolysis resulted in 22a-g. Compounds 23a-e were synthesized from the intermediate 21f and 26a-e [9] according to the synthesis procedures of 22a-g.
|
Download:
|
| Scheme 2.Synthesis of compounds 16, 22a–g and 23a–e. Reagents and conditions: (a) K2CO3, DMF, propargyl bromide, 80 ℃, 81%–86%; (b) 25, Na2PdCl4, CuI, 2-(di-tertbutylphosphino)- 1-phenylindole, H2O, TMEDA, 80 ℃, 86%; (c) 1 mol/L LiOH aq., MeOH, r.t., 62%–91% (2steps); (d) BnBr, K2CO3, DMF, 50 ℃, 95%–97%; (e) Potassium acetate, Pd(dppf)Cl2, 1,4-dioxane, bis(pinacolato)diboron, 85 ℃, 90%–96%; (f) Pd(PPh3)4, Cs2CO3, appropriate aromatic bromides, 85 ℃, 84%–92%; (g) Pd/C, H2, Etethyl acetate, r.t., 96%–98%; (h) 24 or 25, Na2PdCl4, CuI, 2-(Di-tert-butylphosphino)-1-phenylindole, H2O, TMEDA, 80 ℃, 56%–82%; (i) 21f and 26a–e, Na2PdCl4, CuI, 2-(di-tert-butylphosphino)- 1-phenylindole, H2O, TMEDA, 80 ℃, 51%–67%. | |
Agonist activities of the synthesized compounds were measured with Calcium flux assay in GPR40-transfected HEK293 cells [10]. As a starting modification effort,we exchanged benzyloxy moiety with propinyloxy group to avoid benzyl oxidation. First we investigated the effect of different connection position of propinyloxy with two phenyl rings (A ring and B ring) on the GRP40 agonistic activity (Table 1). Docosa-hexaenoic acid (DHA), the endogenous ligand for GPR40,was selected as positive control. The results indicated that compounds with linker L2 showed more potent GPR40 agonistic activity than those with linker L1 (compound 7 vs. 16; 13 vs. 22a). Accordingly,we chose compound 22a as a new lead compound for further chemical optimization and focused our investigation to the substituents on the phenyl ring and b-position to the carboxylic function (Table 2). The CF3 (22b) substituent provided a significant decrease in agonistic activity. When introduced the same tail as seen in compound TAK-875,the derivative (22c) showed slightly weaker potency than compound 22a. So we kept the methoxy group as the favorable substituent at the 50 0-position of C ring. Then a fluoro group was introduced into the 2-position of the A ring,which increased the activity significantly (22d). We next turned our attention to optimize the biphenyl group. About 2-fold increase in potency was observed when the methyl group was moved from 30-positon of B ring to 20 0- position of C ring (22e). Unfortunately,the agonistic activity drastically decreased when incorporation another fluoro group in the B ring (22f). Replacement of the methyl of 22f with a fluoro group in the C ring led to 2-fold improvement on potency (22g).
|
|
Table 1 GPR40 agonistic activities of compounds 7, 13, 16 and 22a. |
In order to reduce the potential for β-oxidation of the propionic acid head,a series of small residues were introduced into the bposition [10]. As shown in Table 2 (compound 23a-e),the activity on the GPR40 varied significantly with different groups at the bposition. The activity almost disappeared when the methoxy, ethyl,or cyclopropyl groups were introduced (compound 23a,23c and 23d),while the introduction of an ethoxy or alkyne groups were tolerant. The most potent alkyne derivative 23e displayed comparable agonistic activity with compound 22g.
|
|
Table 2 GPR40 agonistic activities of compounds 22a–g and 23a–e. |
To evaluate the metabolic stability,compounds 22g and 23e were subjected to the human and mouse liver microsomal stability assays. As shown in Table 3,both compounds displayed moderate metabolic stability with an acceptable clearance and half-life.
|
|
Table 3 Liver microsomal stability of compounds 22g and 23ea. |
In conclusion,toimprove the pharmacokinetic andsafetyprofiles of the reported benzyloxy-like GPR40 agonists,a series of novel phenylpropionic acid analogs were designed and synthesized with redesign linker between the B ring and phenylpropionic acid moiety. TheirGPR40 agonistic activitieswere then evaluated inHEK293 cells stably expressing human GPR40. The results showed that oxypropinyl (L2) was a preferred linker. Around this new structure, comprehensive chemical modification was carried on. By focusing investigation to the substituents onthephenyl ringandb-positionof propionic acid,compounds 22g and 23e were identified as the most potent GPR40 agonists with EC50 0.266 mmol/L and 0.268 mmol/L, respectively. Additionally,both compounds showed moderate metabolic stability in liver microsomal stability assay. All these finding support further exploration based on this scaffold and the optimization results will be reported in due course.
AcknowledgmentThis work was supported by grants from the National Natural Science Foundation of China (No. 2140222).
Appendix A. Supplementary dataSupplementary data associated with this article can be found,in the online version,at http://dx.doi.org/10.1016/j.cclet.2015.09.002.
| [1] | S. Wild, G. Roglic, A. Green, R. Sicree, H. King, Global prevalence of diabetes:estimates for the year 2000 and projections for 2030, Diabetes Care 27(2004) 1047-1053. |
| [2] | B. Ahrén, Islet G protein-coupled receptors as potential targets for treatment of type 2 diabetes, Nat. Rev. Drug Discov. 8(2009) 369-385. |
| [3] | S. Edfalk, P. Steneberg, H. Edlund, Gpr40 is expressed in enteroendocrine cells and mediates free fatty acid stimulation of incretin secretion, Diabetes 57(2008) 2280-2287. |
| [4] | A.D. Mancini, V. Poitout, The fatty acid receptor FFA1/GPR40 a decade later:how much do we know? Trends Endocrinol. Metab. 24(2013) 398-407. |
| [5] | N.G. Morgan, S. Dhayal, G-protein coupled receptors mediating long chain fatty acid signalling in the pancreatic beta-cell, Biochem. Pharmacol. 78(2009) 1419-1427. |
| [6] | E. Defossa, M. Wagner, Recent developments in the discovery of FFA1 receptor agonists as novel oral treatment for type 2 diabetes mellitus, Bioorg. Med. Chem. Lett. 24(2014) 2991-3000. |
| [7] | R. Takano, M. Yoshida, M. Inoue, et al., Discovery of DS-1558:a potent and orally bioavailable GPR40 agonist, ACS Med. Chem. Lett. 6(2015) 266-270. |
| [8] | E. Christiansen, M.E. Due-Hansen, C. Urban, et al., Discovery of a potent and selective free fatty acid receptor 1 agonist with low lipophilicity and high oral bioavailability, J. Med. Chem. 56(2013) 982-992. |
| [9] | J.B. Houze, L.S. Zhu, Y. Sun, et al., AMG 837:a potent, orally bioavailable GPR40 agonist, Bioorg. Med. Chem. Lett. 22(2012) 1267-1270. |
| [10] | N. Negoro, S. Sasaki, M. Ito, et al., Identification of fused-ring alkanoic acids with improved pharmacokinetic profiles that act as G protein-coupled receptor 40/free fatty acid receptor 1 agonists, J. Med. Chem. 55(2012) 1538-1552. |
2016, Vol.27 



