b Tsinghua-Peking Center for Life Sciences and Department of Pharmacology and Pharmaceutical Sciences, School of Medicine, Tsinghua University, Beijing 100084, China
Tuberculosis (TB),caused by Mycobacterium tuberculosis (Mtb),is one of the world’s deadliest communicable diseases. (+)- Calanolide A is known to be an active natural product against Mtb [1]. Its analogues including 1a and 1b,which we synthesized recently,were demonstrated to be active against both replicating (R) and non-replicating (NR) Mtb (Fig. 1) [2].
|
Download:
|
| Fig. 1.(+)-Calanolide A and its analogues,R and NR denote replicating and nonreplicating Mtb,respectively. MIC value: (+)-calanolide A: 3.1 μg/mL (R),ND (NR); 1a: <0.1 μg/mL (R),0.2 μg/mL (NR); 1b: 0.08 μg/mL (R),0.08 μg/mL (NR). SI: (+)- calanolide A: 2.4; 1a: >510; 1b: 10-19. | |
Bioreductive drugs are prodrugs that are activated by specific reductases followed by conversion into potent cytotoxins,which in turn damage critical cellular functions. This concept has been clinically applied in specifically designed systems to target hypoxic tumor cells for their radiotherapy response [3, 4]. Nitroimidazoles,nitrofurans,nitrobenzene and quinoxaline-di- N-oxides represent four new chemical scaffolds of anti-TB reagents with significant bactericidal activity via intracellular bioreducing to reactive free radical species,as well aswith activity againstNR Mtb [5, 6]. As the quinoxaline-di-N-oxideswith no nitro group,they might be safer and more druggable candidates comparing to other three scaffolds.
Meanwhile,other N-oxide heterocyclic derivatives,e.g.,benzoimidazole- N-oxides are active on tumor cell,and benzofuroxan- N-oxides are potent antitrypanosomal reagents [7, 8]. Therefore,we designed benzoisoxazole-N-oxides (7a,7b),benzofuroxan- N-oxides (15a,15b) and benzoimidazole-N-oxides (16a,16b,16f) incorporated with calanolides,aiming to explore possible new bioreductive anti-TB lead compounds (Fig. 2).
|
Download:
|
| Fig. 2.Designed calanolide analogues. | |
Moreover,for the purpose of anti-TB activities of benzoimidazoles [9, 10] as well as comparison with bioreductive calanolides,we designed imidazole replacing ring D of calanolides (17a-e) following the same synthesis route with benzoimidazole-N-oxide calanolides.
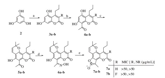
2. ExperimentalAnalogues 7 were synthesized following the route shown in Scheme 1. Compounds 3a (or 3b) were prepared from phloroglucinol (2) using the Pechmann reaction which gave the desired product in 96% (or 90%) yield. Compound 3a (or 3b) was in turn treated with acetic anhydride and aluminium chloride according to a published procedure to provide the regioselective product 4a (or 4b) [11] which was subsequently cyclized to form intermediate 5a (or 5b) in 58% (or 60%) yield. Compound 5a (or 5b) was then treated with hydroxylamine hydrochloride to provide compound 6a (or 6b) in 85% (or 83%) yield. HTIB-catalyzed cyclization of 6a (or 6b) gave the anticipated N-oxide isoxazole 7a (or 7b) in 75% (or 80%) yield. For the last step,we have tried to cyclize aldoxime instead of ketoxime 6,but with no success (Scheme 1).
|
Download:
|
| Scheme 1.Synthesis of target compounds 7a,b containing the N-oxide ring moiety. Reagents and conditions: (a) C3H7COCH2COOEt (or C3H7COCHFCOOEt),BF3-Et2O,reflux,5 h,96% (90%); (b) Ac2O,AlCl3,100 ℃,1 h; (c) (CH3)2CCHCH(OEt)2,pyridine,toluene,reflux,3 h,58% (60%); (d) NH2OH-HCl,AcONa,CH3CH2OH,reflux,3 h,85% (83%); (e) HTIB,MeOH,r.t.,30 mins,75% (80%). | |
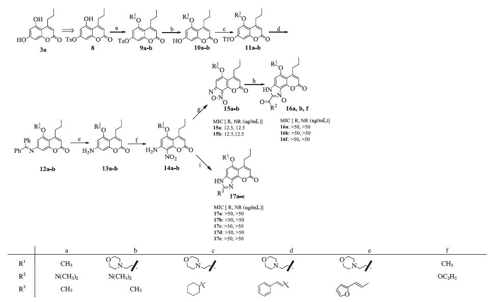
Analogues 15,16 and 17 were synthesized following the route shown in Scheme 2. We converted 8,which was obtained starting from 3a using a reported method [12],to 9a through methylation of phenol or used the Mitsunobu reaction to introduce 5-morpholinoethyl to obtain crude product 9b. Deprotection of the 7-OTs on 9a (or 9b) provided 10a (or 10b) which was then reacted with Tf2O in pyridine to yield 11a (or 11b). Treatment of 11a (or 11b) with diphenylmethanimine followed by hydrolysis with aqueous HCl gave intermediate 13a (or 13b) in 77% (or 73%) yield. Selective nitration on 13a (or 13b) provided 14a (or 14b) that contain the o-nitroaniline moiety. 14a (or 14b) were cyclized to provide 15a (or 15b) catalyzed by PhI(OAc)2 in a yield of 75% (or 66%),which in turn reacted with 1,3-dicarbonyl compounds to produce the anticipated N-oxide imidazoles 16a,16b and 16f in yields of 60%,=% and 60%,respectively. By reducing the nitro group of 14 and cyclization with different aldehydes,we obtained the final products 17a-e in yields of 60%,58%,59%,=% and 58%,respectively (Scheme 2).
|
Download:
|
| Scheme 2.Synthesis of target compounds 15 and 16 containing the N-oxide ring moiety. Reagents and conditions: (a) For 9a: Me2SO4,K2CO3,acetone,reflux,3 h,92%; for 9b,N-hydroxyethyl morpholine,DEAD,PPh3,THF,r.t.,3 h; (b) 3 equiv. TBAF,THF,r.t.,3 h,88% (or 85%); (c) Tf2O,pyridine,CH2Cl2,0 ℃,30 min,79% (or 66%); (d) diphenylmethanimine,Pd(OAc)2,BINAP,Cs2CO3,Ar,dioxane,100 ℃,5 h; (e) 2 mol/L HCl,THF,r.t.,12 h,77% (or 73%); (f) nitrocyclohexadienone,CF3COOH,0 ℃,2 h; (g) PhI(OAc)2,acetone,r.t.,3 h,75% (or 66%); (h) for 16a,16b,N,N-dimethylacetoacetamide,2-aminoethanol,CaCl2,MeOH,r.t.,3 h,60% (or =%); for 16f,ethyl acetyloacetate,Et3N,CaCl2,EtOH,microwave,1 h,60%; (i) (1) Pd/C,HCOONH4,THF/MeOH,r.t.,3 h,(2) aldehyde,AcOH,r.t.,3 h,=-60%. | |
In the process of synthesizing compounds 15,16 and 17,nitration of 13 to obtain intermediates 14 is the key step. Because the alkoxyl and amino groups supply the coumarins with an electronic rich region,the nitration is not practical using the traditional nitric acid/sulfuric acid condition,indicating that a mild and weakly oxidative nitration reagent should be used. Alternatively,we chose nitrocyclohexadienones [13, 14] and successfully synthesized 14. We confirmed the nitration site at 8-coumarin using the NOE test on 17a (see Supporting information). For the last step,because of the larger coumarin scaffold of the substrates,the products 16 would be N-oxide imidazoles rather than quinoxaline-di-N-oxides from the Beirut reaction [15].
All of the final 12 synthesized compounds were used in an anti- Mtb whole-cell screening with both R Mtb and NR Mtb. NR Mtb was tested under a combination of four physiologic conditions: hypoxia (1% O2),mild acidity (pH 5.5),nitrosative stress (0.5 μmol/L NaNO2),and restriction of the major carbon source to a fatty acid (butyrate) that was published in our previous papers [2, 10]. The cutoff value was defined as 50 μg/mL that 15a and 15b were active against both R Mtb and NR Mtb with the same MIC values of 12.5 μg/mL (Fig. 3),indicating that 8-oxo-8H-chromeno [7,8-c] [1, 2, 5] oxadizazole is an pharmacophore core structure against R Mtb and NR Mtb rather than N-oxide isoxazole nor N-oxide imidazole.
|
Download:
|
| Fig. 3.Compounds 15a and 15b turned out to have activities against Mtb. | |
NR Mtb,which can persist for a long time in a non- or slowly replicating state,is the cause of the necessity for prolonged treatment of TB in clinics,and contributes to a high incidence of side effects and drug-resistant Mtb strains. Most current TB drugs are less effective against NR Mtb [16]. Therefore,seeking and discovering hit compounds with new scaffolds against NR Mtb are urgently needed. This work reports a new scaffold,8-oxo-8Hchromeno[7,8-c] [1, 2, 5] oxadizazole,with the ability to kill R Mtb and NR Mtb. However the current compounds obtained are weakly potent. Research is continuously ongoing to develop more potent antagonist to R Mtb and NR Mtb.
4. ConclusionIn summary,we have explored the chemistry of N-oxide heterocycles and imidazoles replacing ring D of the natural product (+)-calanolide A,and have synthesized 12 new analogues. New scaffolds of compounds were developed and two of the 8-oxo-8Hchromeno [7,8-c] [1, 2, 5]oxadiazole 1-oxides were active against both R Mtb and NR Mtb with MIC values of 12.5 μg/mL,which would lead to further optimization for more potent anti-TB candidates.
AcknowledgmentsWe thank Selin Somersan-Karakaya,Ben Gold and Carl Nathan from the Department of Microbiology and Immunology,Weill Cornell Medical College for bioassays supported by Bill and Melinda Gates Foundation Grant (No. OPP1024029). This research is supported financially by the National Natural Science Foundation of China (No. 91213303).
Appendix A. Supplementary dataSupplementary data associated with this article can be found,in the online version,at http://dx.doi.org/10.1016/j.cclet.2015.11.001.
| [1] | Z.Q. Xu, W.W. Barrow, W.J. Suling, et al., Anti-HIV natural product(+)-calanolide A is active against both drug-susceptible and drug-resistant strains of Mycobacterium tuberculosis, Bioorg. Med. Chem. 12(2004) 1199-1207. |
| [2] | P.R. Zheng, S. Somersan-Karakaya, S.C. Lu, et al., Synthetic calanolides with bactericidal activity against replicating and non-replicating Mycobacterium tuberculosis, J. Med. Chem. 57(2014) 3755-3772. |
| [3] | R.M. Phillips, Prospects for bioreductive drug development, Expert Opin. Investig. Drugs 7(1998) 905-928. |
| [4] | S.R. McKeown, R.L. Cowen, K.J. Williams, Bioreductive drugs:from concept to clinic, Clin. Oncol. 19(2007) 427-442. |
| [5] | R.C. Goldman, Maximizing bactericidal activity with combinations of bioreduced drugs, Future Med. Chem. 2(2010) 1253-1271. |
| [6] | E. Vicente, R. Villar, S. Perz-Silanes, et al., Quinoxaline 1,4-di-N-oxide and the potential for treating tuberculosis, Infect. Disord. Drug Targets 11(2011) 196-204. |
| [7] | M.L. Richardson, K.A. Croughton, C.S. Matthews, M.F. Stevens, Structural studies on bioactive compounds. 39. Biological consequences of the structural modification of DHFR-inhibitory 2,4-diamino-6-(4-substituted benzylamino-3-nitrophenyl)-6-ethylpyrimidines('benzoprims'), J. Med. Chem. 47(2004) 4105-4108. |
| [8] | G. Aguirre, L. Boiani, H. Cerecetto, et al., Benzo[1,2-c]1,2,5-oxadiazole N-oxide derivatives as potential antitrypanosomal drugs:Part 3. Substituents-clustering methodology in the search for new active compounds, Bioorg. Med. Chem. 13(2005) 6324-6335. |
| [9] | K. Kumar, D. Awasthi, S.Y. Lee, et al., Novel trisubstituted benzimidazoles, targeting Mtb FtsZ, as a new class of antitubercular agents, J. Med. Chem. 54(2011) 374-381. |
| [10] | Y.L. Gong, S. Somersan Karakaya, X.Y. Guo, et al., Benzimidazole-based compounds kill Mycobacterium tuberculosis, Eur. J. Med. Chem. 75(2014) 336-353. |
| [11] | J.T. Zhang, E.W. Kirchhoff, D.E. Zembower, et al., Automated process research. An example of accelerated optimization of the Friedel-Crafts acylation reaction, a key step for the synthesis of anti-HIV+-calanolide A, Org. Proc. Res. Dev. 4(2000) 577-580. |
| [12] | M.E. Fox, I.C. Lennon, G. Meek, A novel synthesis of 5-hydroxy-2,2-dimethyl-10-propyl-2H-pyrano[2,3-f]chromen-8-one, Tetrahedron Lett. 43(2002) 2899-2902. |
| [13] | M. Lemaire, A. Guy, P. Boutin, J.P. Guette, Direct nitration of anilines using nitrocyclohexadienones, Synthesis 10(1989) 761-763. |
| [14] | M. Lemaire, A. Guy, J. Roussel, J.P. Guette, Nitrocyclohexadienones:a new class of nitrating agents, Tetrahedron 43(1987) 835-844. |
| [15] | S.S. Sabri, M.M. El-Abadelah, H.A. Yasin, Synthesis and spectral properties of some N-(2-benzimidazoyl)-α-aminoesters and their N-oxides, J. Heterocycl. Chem. 24(1987) 165-169. |
| [16] | C. Nathan, Fresh approaches to anti-infective therapies, Sci. Transl. Med. 4(2012), 140sr2. |
2016, Vol.27 
