b Jining Medical University, Jining 272067, China;
c Institute of Medicinal Biotechnology, Chinese Academy of Medical Sciences and Peking Union Medical College, Beijing 100050, China
Isatis indigotica Fort. is a biennial herbaceous plant of the Cruciferae family,which is widely cultivated to meet demands of medicinal utilization in China. The dried roots and leaves of this plant,named ‘‘ban lan gen’’ and ‘‘da qing ye’’ in Chinese, respectively,are mainly used in traditional Chinese medicine for the treatment of influenza,cold,fever,and other infections [1]. A variety of formulations containing ‘‘ban lan gen’’ and/or ‘‘da qing ye’’ are marketed and recorded in Chinese Pharmacopoeia [2]. In history and at present these formulations play a crucial role to treat and prevent influenza during influenza pandemics in China. Clinical efficacy of these herbal medicines has long attracted attentions of pharmacologists and chemists to search their mechanisms and bioactive chemical constituents. Pharmacological studies showed that extracts of these medicines exhibited a broad spectrum of activities,including antiviral,anti-endotoxic, antinociceptive,anti-inflammatory,and antipyretic effects and cytotoxicity against leukaemia cells [14, 15]. Meanwhile,different types of chemical constituents with various biological activities were isolated from the extracts,such as alkaloids [16, 17],lignans [18],ceramides [19],flavonoids [26],epigoitrin,and 2- hydroxy-3-butenyl thiocyanate [27],etc. of which indole alkaloids are the main active constituents. As part of a program to assess the chemical and biological diversity of traditional Chinese medicines, focusing on the minor components [28],we conducted detailed chemical analysis of an aqueous extract of the I. indigotica roots because the drug and formulations are practically used by decocting. In previous papers,we reported characterization of 17 new alkaloids [26] and a pair of indole alkaloid enantiomers containing dihydrothiopyran and 1,2,4-thiadiazole rings [29],as well as 54 known compounds including 33 constituents isolated from I. indigotica for the first time [30]. In preliminary in vitro bioassays,some of them showed antiviral and hepatocyteprotective activities. The investigation has been conducted of the remaining fraction of the extract,leading to the isolation of a pair of indole alkaloid enantiomers (1a and 1b),which possesses a new bisindolylacetamide skeleton (Fig. 1). Herein,we report details of isolation,structure elucidation,postulated biogenetic pathway,and biological activity of the enantiomers.
|
Download:
|
| Fig. 1.Structures of 1,1a,and 1b. | |
Optical rotations were measured on a P-2000 polarimeter. UV spectra were recorded on a V-650 spectrometer. CD spectra were measured on a JASCO J-815 CD spectrometer. IR spectra were recorded on a Nicolet 5700 FT-IR Microscope spectrometer (FT-IR Microscope Transmission). 1D and 2D NMR spectra were obtained at 500 MHz for 1H and 125 MHz for 13C,respectively,on an Inova 500 MHz spectrometer with solvent peaks as references. ESIMS and HR-ESIMS data were obtained on an AccuToFCS JMS-T100CS spectrometer. Column chromatography (CC) was performed with silica gel (200-300 mesh,Qingdao Marine Chemical Inc.,China) and Sephadex LH-20 (Pharmacia Biotech AB,Uppsala,Sweden). HPLC separation was performed on a system consisting of a Lab Alliance prep pump and a Model 500 absorbance detector using an YMC (250 x 10 mmi.d.) semi-preparative column packed with C18 silica gel (5 μm) and a Chiralpak AD-H column (250 x 10 mm) packed with amylose tris(3,5-dimethylphenylphenylcarbamate) coated on silica gel (5 μm). TLC was conducted on precoated silica gel GF254 plates. Spots were visualized under UV light (254 or 356 nm) or by spraying with 10% H2SO4 in 95% EtOH followed by heating.
2.2. Plant materialSee Ref [31].
2.3. Extraction and isolationThe air-dried and pulvarized plant material (50 kg) was decocted with H2O (150 L x 3 x 1 h). The aqueous extracts were combined and evaporated under reduced pressure to yield a dark-brown residue (32 kg). The residue was dissolved in H2O (122 L),loaded on a macroporous adsorbent resin (HPD-110,19 kg) column (20 cm x 200 cm),and eluted successively with H2O (50 L),50% EtOH (125 L),and 95% EtOH (100 L) to yield three corresponding fractions A,B and C. After removing the solvent under reduced pressure,fraction B (0.9 kg) was separated by column chromatography (CC) over MCI gel CHP 20P (5 L),with successive elution using H2O (10 L),30% EtOH (30 L),50% EtOH (20 L),95% EtOH (10 L),and Me2CO (8 L),to give fractions B1-B5. Fraction B3 (165 g) was chromatographed over silica gel,eluting with a gradient of increasing MeOH concentration (0-100%) in EtOAc,to yield B3-1-B3-16,of which B3-3 (7.5 g) was separated by CC over Sephadex LH-20 (CHCl3-MeOH,1:1) to give subfractions B3-3-1-B3-3-4. Further fractionation of B3-3-4 (3.0 g) by CC over silica gel,eluting with a gradient of increasing MeOH concentration (0-100%) in CHCl3,yielded B3-3-4-1-B3-3-4-14. Fraction B3-3-4-11 (150 mg),which showed activity against the Coxsackie virus B3 (CVB3) with an inhibition rate of 46% at 10 mg/ mL,was chromatographed over Sephadex LH-20,eluting with MeOH,then purified by RP HPLC (C18 column,45% MeOH in H2O, flow rate 1.5 mL/min) to yield 1 (1.9 mg,0.0000038%,tR = 43 min), which was crystalized as colourless prisms in MeOH. Separation of 1 by semi-preparative HPLC,using the Chiralpak AD-H column and the mobile phase of n-hexane-iPrOH (1:1,flow rate 1.5 mL/min),obtained 1a (0.63 mg,tR = 20.7 min) and 1b (0.66 mg,tR = 29.7 min).
(±)-2-{3'-[(1H-Indol-3''-yl)methyl]-4'-methoxy-2'-oxoindolin-3'- yl}acetamide (1): Colourless prisms (MeOH); UV(MeOH) lmax (log e) 204 (5.58),218 (5.61),282 (4.81),291 (4.75) nm; IR nmax 3473,3439, 3314,3208,2957,2914,1694,1668,1619,1502,1466,1417,1334, 1263,1240,1203,1104,1074,1038,1013,971,921,886,807,774, 736,713,631,572 cm-1; 1H NMR (MeOH-d4,500 MHz) data,see Table 1; 13C NMR (MeOH-d4,125 MHz) data,see Table 1; (+)-ESIMS m/z 372 [M + Na]+; (+)-HR-ESIMS m/z 350.1496 [M + H]+ (calcd. for C20H20N3O3,350.1499),372.1322 [M + Na]+ (calcd. for C20H19N3O3Na,372.1319). (-)-(R)-2-{30-[(1H-Indol-3''-yl)methyl]-4'-methoxy-2'-oxoindolin- 30-yl}acetamide (insatindibisindolamide A,1a): White amorphous powder; [α]20D -97.2 (c 0.05,MeOH); CD (MeOH) 230 (Δε -22.30),262 (Δε +4.23),285 (Δε -3.33) nm; 1H NMR (MeOH-d4,500 MHz) data,see Table S1. (+)-(S)-2-{3'-[(1H-Indol-3''-yl)methyl]-4,-methoxy-2'-oxoindolin- 3'-yl}acetamide (insatindibisindolamide B,1b): White amorphous powder; [α]20D 96.1 (c 0.06,MeOH); CD (MeOH) 230 (Δε +26.22),262 (Δε -4.71),285 (Δε +4.15) nm; 1H NMR (MeOH-d4, 500 MHz) data,see Table S1.
2.4. X-ray crystallography of 1C20H19N3O3,M = 349.38,monoclinic,a = 7.32981 (17)A˚ , b = 14.9887 (4)A˚ ,c = 15.9162 (5)A˚ ,β = 95.973 (3),U = 1739.13 (8)A˚3,T = 129.9,space group P21/c (No. 14),Z = 4,m (Cu Kα) = 0.746,9136 reflections measured,3297 unique (Rint. = 0.0246) which were used in all calculations. The final wR(F2) was 0.1064 (all data). The crystallographic data were collected on an Agilent Xcalibur Eos Gemini diffractometer with Cu Ka radiation using the ω scan technique to a maximum 2u value of 142.148. The crystal structures were solved by direct methods using the SHELXS-97 program [26],and all non-hydrogen atoms were refined anisotropically by the least-squares method. All hydrogen atoms were positioned by geometrical calculations and difference Fourier overlapping calculation. Crystallographic data for the structure of 1 have been deposited with the Cambridge Crystallographic Data Centre as supplementary publication (CCDC 1051658). Copies of these data can be obtained free of charge via www.ccdc.cam.ac.uk/conts/retrieving.html (or from the CCDC, 12 Union Road,Cambridge CB21EZ,UK; fax: (+44) 1223 336 033; or e-mail: deposit@ccdc.cam.ac.uk).
| Table 1 |
Conformational analysis of (R)-1 was conducted by Monte Carlo searching with the MMFF94 molecular mechanics force field using Spartan 10 software [26]. The lowest-energy conformers having relative energies within 2 kcal/mol were optimized with the Gaussian 09 program [32] and afforded 2 lowest energy conformers (Fig. S3,Supporting information). Subsequently,the conformers were optimized using DFT at the B3LYP/6-31+G (d,p) level,with the solvent effects considered using the dielectric constant of MeOH (ε= 32.6) via conductor-like polarizable continuum model (CPCM). The energies,oscillator strengths,and rotational strengths of the first 40 electronic excitations were calculated using the TDDFT methodology at the B3LYP/6-311++G (2d,2p) level in vacuum. The re-optimized 2 conformers showed relative Gibbs free energies (ΔG) under 2 kcal/mol were used for ECD spectra simulation. The ECD spectra were simulated by the Gaussian function (σ= 0.28 eV). To obtain the final spectrum of (R)-1,the simulated spectra of the 2 lowest energy conformations were averaged on the basis of the Boltzmann distribution theory and their relative Gibbs free energy (ΔG). The corresponding theoretical ECD spectrum of (S)-1 was obtained by inverting that of (R)-1. In the 200-400 nm region,the theoretically calculated ECD spectra of (R)-1 and (S)-1 were in good agreement with the experimental CD spectra of 1a and 1b (Fig. 5),respectively. Therefore,the absolute configurations of 1a and 1b were assigned as R and S,respectively.
3. Results and discussionThe enantiomer mixture 1 was obtained as colourless crystals (MeOH) with [α]20D ≈ 0 (c 0.13,MeOH). The IR spectrum of 1 showed absorption bands for amino (3473,3439,3314,and 3208 cm-1),carbonyl (1694 and 1668 cm-1),and aromatic ring (1619 and 1502 cm-1) functionalities. The positive mode ESIMS of 1 exhibited a quasimolecular ion peak at m/z 372 [M + Na]+,and the molecular formula C20H19N3O3 was determined by HR-ESIMS at m/z 350.1496 [M + H]+ (calcd. for C20H20N3O3,350.1499) and 372.1322 [M + Na]+ (calcd. for C20H19N3O3Na,372.1319),combined with the NMR data (Table 1). The 1H NMR spectrum of 1 in MeOH-d4 showed signals attributable to an ortho-trisubstituted benzene ring at δH 6.13 (d,J = 8.0 Hz,H-5'),6.93 (t,J = 8.0 Hz,H-6'), and 6.52 (d,J = 8.0 Hz,H-7'); an ortho-disubstituted benzene ring at δH 7.28 (d,J = 8.0 Hz,H-4''),6.75 (dd,J = 8.0,7.5 Hz,H-5''),6.86 (t, J = 7.5 Hz,H-6''),and 7.07 (d,J = 7.5 Hz,H-7''); and a trisubstituted double bond at δH 6.51 (s,H-2''). In addition,it showed signals assignable to an aromatic methoxy group at δH 3.86 (s,OCH3-40) and two isolated methylenes at δH 3.23 (d,J = 15.0 Hz,H-2a), 2.93 (d,J = 15.0 Hz,H-2b),3.43 (d,J = 14.0 Hz,H-8''a),and 3.13 (d,J = 14.0 Hz,H-8''b). The 13C NMR and DEPT data displayed 17 carbon resonances corresponding to the above units and three quaternary carbons,including a sp3-hybridized quaternary carbon [δC 54.6 (C-3') and two carbonyl carbons [δC 184.6 (C-2') and 175.3 (C-1)] (Table 1). As compared with those of the alkaloids previously reported from I. indigotica [33],the above spectroscopic data indicate that 1 is an unusual alkaloid,of which the structure was further elucidated by comprehensive analysis of 2D NMR data and single-crystal X-ray diffraction.
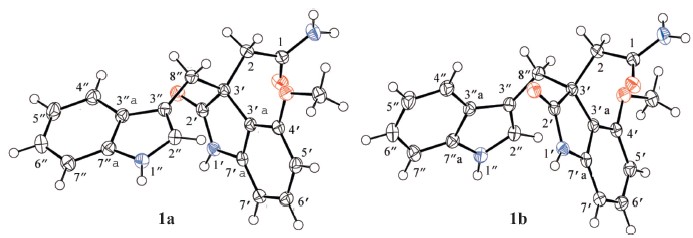
The proton and proton-bearing carbon resonances in the NMR spectra of 1 were unambiguously assigned by the HSQC experiment. In the 1H-1H COSY spectrum of 1,vicinal and geminal homonuclear coupling correlations of H-5' H-6' H-7',H- 400 H-5'' H-6'' H-7'' ,H-2aH-2b,and H-8''aH-8''b (Fig. 2,thick lines),confirmed the presence of the orthotrisubstituted and ortho-disubstituted benzene rings and the two isolated methylenes in 1. Meanwhile,the weak long-range 1H-1H COSY correlations of H-2aH-8''a,H-2aH-8''b,and H-2bH-8''b indicated that both the two methylenes were located at the sp3-hybridized quaternary carbon. The HMBC spectrum of 1 showed two- and three-bond heteronuclear correlations (Fig. 2,arrows) from H-5' to C-3'a and C-7'; from H- 60 to C-4' and C-7'a; and from H-7' to C-3'a and C-5' ,as well as from OCH3 to C-4' and from H2-2 to C-1,C-2',C-3',and C-3'a. These correlations,together with chemical shifts of the proton and carbon resonances,demonstrated that there was a 30-substituted 2-(4'-methoxy-2'-oxoindolin-3'-yl)acetamide moiety in 1,which was supported by comparing the NMR data of the moiety with those of the co-occurring (+)-(S)-2-(3-hydroxy-4-methoxy-2- oxoindolin-3-yl)-acetamide [34]. The HMBC correlations from H-2'' to C-3'',C-3''a,and C-7''a; from H-4'' to C-3'',C-6'',and C-7''a; from H-5'' to C-3''a and C-7''; from H-6'' to C-4'' and C-7''a; from H-7'' to C-3''a and C-5''; and fromH2-8'' to C-3'',C-3''a,and C-2''; in combination with their chemical shifts,revealed the presence of a (100H-indol-3''-yl)methylene moiety in 1,which was also supported by comparison of the NMR data of this moiety with those of the co-occurring 2-(1H-indol-3-yl)acetamide [9]. In addition,the HMBC spectrum showed correlations from H2-8'' to C-2',C-3',C-3'a,and C-2 and from H2-2 to C-8'' , indicating that the two moieties were connected via a C-3'-C-8'' bond. Accordingly,a planar structure of 1 was elucidated as shown in Fig. 2. The optically inactive property suggests that 1 is a racemic mixture. The suggestion was proved by X-ray (Cu Ka radiation) crystallographic analysis of a suitable single crystal obtained from crystallization of 1 in MeOH,which displayed a P21/c space group and two pairs of enantiomeric molecules packed in a crystal cell unit,a crystal cell diagram and ORTEP drawings of the enantiomeric molecular structures (1a and 1b) with atom numbering shown in Figs. 3 and 4,respectively. Further HPLC analysis using a chiral column showed two peaks with a 1:1 integration ratio (Fig. S5,Supporting information). Therefore,the structure of the racemate 1 was determined as (±)-2-{3'-[(1H-indol-3-yl)methyl]-4'-methoxy-2'-oxoindolin- 3'-yl}acetamide.
|
Download:
|
| Fig. 2.Main 1H-1H gCOSY (thick lines) and HMBC correlations (red arrows,from 1H to 13C) of 1. | |
|
Download:
|
| Fig. 3.Crystal cell diagram of 1. | |
|
Download:
|
| Fig. 4.ORTEP drawings of 1a and 1b. | |
Subsequent separation of 1 by HPLC using a semi-preparative chiral column yielded 1a and 1b with [α]20D values of -97.2 (c 0.05, MeOH) and +96.1 (c 0.06,MeOH),respectively. The 1H NMRspectra of 1a and 1b were identical to that of 1 (Table S1,Supporting information). The circular dichroism (CD) spectra of 1a and 1b displayed mirror Cotton effects at 285,262,and 230 nm,arising from the overlapped 1LL,1LL,and 1BB electronic transitions of the indole and oxoindolin chromophores [10],respectively. The absolute configurations of 1a and 1b were determined by comparison of the experimental CD spectra with the electronic CD (ECD) predicted from quantum mechanical time dependent density functional theory (TDDFT) calculations [11]. The theoretically calculated ECD spectra of (R)-1 and (S)-1 were in good agreement with the experimental CD spectra of 1a and 1b (Fig. 5). Therefore,the structures of 1a and 1b were determined as (-)-(R)- and (+)-(S)-2-{3'-[(1H-indol-3''-yl)methyl]-4'-methoxy-2'-oxoindolin- 3'-yl}acetamide,respectively,and named insatindibisindolamides A and B.
|
Download:
|
| Fig. 5.The experimental CD spectra (full line) of 1a (blue) and 1b (red) and calculated ECD spectra (dashed line) of (R)-1 (blue) and (S)-1 (red). | |
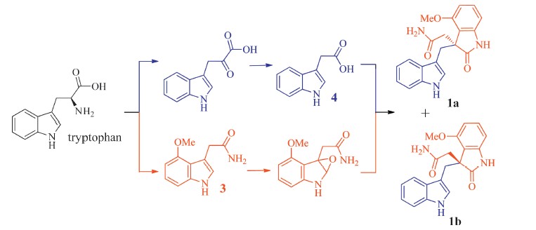
Compounds 1a and 1b are the first examples of natural products with an unique skeleton of 2-[bis(indol-3'/3''yl)methane]-3'- ylacetamide,though bisindole derivatives with various linkages, including indigotin,indirubin [26],(E)-2-[(1H-indol-3-yl)cyanomethylene]- 3-indolinone [35],bisindigotin [36],isatisine A [37], and 2,2-bis(indol-2'/7''-yl)acetonitrile [26] from I. indigotica, cephalinone C from orchidaceous plant Cephalanceropsis gracilis, [38] gelliusines D-F from deep-water marine sponge Orina sp. [39], and shewanellines A and B from deep-sea bacterium Shewanella piezotolerans [40],have been previously reported. A plausible biosynthetic pathway for 1a and 1b are proposed in Scheme 1. The biosynthetic precursors are proposed to be the co-occurring 2-(4- methoxy-1H-indol-3-yl)acetamide (3) and 2-(1H-indol-3-yl)acetic acid (4) [41],which may be biosynthesized from tryptophan by sequential or simultaneous enzymatic-catalyzed aromatic methoxylation and oxidative decarboxylation (for 3) and by amino transfer and decarboxylation (for 4). Oxidation of 3 followed by coupling with 4 and further decarboxylation would then give 1a and 1b. This is supported by production of various bisindoles via electrochemical and peroxidase O2-mediated oxidation of 4 [42].
|
Download:
|
| Scheme. 1.The plausible biosynthetic pathway of 1a and 1b. | |
In the in vitro bioassays,both the enantiomers (1a and 1b) showed antiviral activity against the Coxsackie virus B3 (CVB3) with IC50 values of 33.3 x 10-6 mol/L and SI values of 5.3 (the positive control ribavirin gave IC50 = 292.5 x 10-6 mol/L and SI = 6.8). Compound 1b also inhibited the influenza virus A/Hanfang/359/ 95 (H3N2) [43]with IC50 and SI values of 33.3 x 10-6 mol/L and 5.2, respectively,but 1a was inactive (IC50 > 100) (the positive control, ribavirin,gave IC50 = 1.43 x 10-6 mol/L and SI = 814.1). In addition, compound 1a reduced DL-galactosamine (GAlN)-induced hepatocyte (WB-F344 cell) damage with 44 ± 1.5% inhibition at 10 x 10-6 mol/L,while the positive control,bicyclol,gave 39 ± 2.1% inhibition at the same concentration [44]. Other assays,including antiviral activity against the herpes simplex virus 1 (HSV-1) and HIV [2]; inhibitory activity against the release of glucuronidase in rat polymorphonuclear leukocytes (PMN) induced by PAF [2]; cytotoxicity against several human cancer cell lines [2]; and inhibitory activity against protein tyrosine phosphatase 1B (PTP1B) [2],were also performed in this study. However,1a and 1b were inactive at a concentration of 10 x 10-6 mol/L in each assay.
4. ConclusionFrom the aqueous extract of I. indigotica roots,a pair of indole alkaloid enantiomers (1a and 1b),possessing the new methylenebridged bisindolylacetamide carbon skeleton,was isolated as the minor component with activity against the Coxsackie virus B3 (CVB3) and the influenza virus A/Hanfang/359/95 (H3N2). The result,combined with our previous studies [2],shows that diverse compounds contribute towards pharmacological efficacy that supports the traditional uses of I. indigotica roots. The new structures provide a framework for synthesis and further in deep biological evaluation. In particular,the plausible biosynthetic pathway associated to the different types of co-occurring indole alkaloids provides an important clue for further studies of biomimetic and total synthesis,chemical transformation,structural modification and structure-activity relationships,as well as biosynthesis of the diverse indole alkaloids from this medicinal plant.
AcknowledgmentsFinancial support from the National Natural Science Foundation of China (NNSFC; Nos. 81373287 and 30825044),the Program for Changjiang Scholars and Innovative Research Team in University (PCSIRT,No. IRT1007),and the National Science and Technology Project of China (Nos. 2012ZX09301002-002 and 2011ZX0 9307- 002-01) is acknowledged. Appendix A. Supplementary data Supplementary material related to this article can be found,in the online version,at http://dx.doi.org/10.1016/j.cclet.2015.05. 052.
| [1] | Jiangsu New Medical College, Dictionary of Traditional Chinese Medicine, Shanghai Science and Technology Publishing House, Shanghai, 1986 (pp. 126-127 and 1250-1252). |
| [2] | Chinese Pharmacopoeia Commission, Pharmacopoeia of People's Republic of China, Part 1, China Medical Science Press, Beijing, 2010 (pp 20, 191, and 800). |
| [3] | A.H. Lin, S.X. Fang, J.G. Fang, et al., Study on anti-endotoxin activity of F022 from radix of Isatidis, Chin. J. Chin. Mater. Med. 27 (2002) 439-442. |
| [4] | J.G. Fang, J. Tang, Z.Q. Yang, et al., Effect of radix Isatidis against herpes simplex virus type I in vitro, Chin. Tradit. Herb. Drugs 36 (2005) 242-244. |
| [5] | L. Chen, T. Lin, H.X. Zhang, et al., Immune responses to foot-and-mouth disease DNA vaccines can be enhanced by coinjection with the Isatis indigotica extract, Intervirology 48 (2005) 207-212. |
| [6] | Y.L. Ho, Y.S. Chang, Studies on the antinociceptive, anti-inflammatory and antipyretic effects of Isatis indigotica root, Phytomedicine 9 (2002) 419-424. |
| [7] | S.L. Hsuan, S.C. Chang, S.Y. Wang, et al., The cytotoxicity to leukemia cells and antiviral effects of Isatis indigotica extracts on pseudorabies virus, J. Ethnopharmacol. 123 (2009) 61-67. |
| [8] | B. Li, W.S. Chen, S.Q. Zheng, et al., Two new alkaloids isolated from tetraploidy banlangen, Acta Pharm. Sin. 35 (2000) 508-510. |
| [9] | W.S. Chen, B. Li, W.D. Zhang, et al., A new alkaloid from the roots of Isatis indigotica Fort, Chin. Chem. Lett. 12 (2001) 501-502. |
| [10] | X.Y. Wei, C.Y. Leung, C.K.C. Wong, et al., Bisindigotin, a TCDD antagonist from the Chinese medicinal herb Isatis indigotica, J. Nat. Prod. 68 (2005) 427-429. |
| [11] | J.F. Liu, Z.Y. Jiang, R.R. Wang, et al., Isatisine A, a novel alkaloid with an unprecedented skeleton from leaves of Isatis indigotica, Org. Lett. 9 (2007) 4127-4129. |
| [12] | Y. Wu, Z.X. Zhang, H. Hu, et al., Novel indole C-glycosides from Isatis indigotica and their potential cytotoxic activity, Fitoterapia 82 (2011) 288-292. |
| [13] | L. Yang, G. Wang, M. Wang, et al., Indole alkaloid from the roots of Isatis indigotica and their inhibitory effects on nitric oxide production, Fitoterapia 95 (2014) 175-181. |
| [14] | L.W. He, X. Li, J.W. Chen, et al., Chemical constituents from water extract of radix Isatidis, Acta Pharm. Sin. 41 (2006) 1193-1196. |
| [15] | L. Zuo, J.B. Li, J. Xu, et al., Studies on chemical constituents in root of Isatis indigotica, Chin. J. Chin. Mater. Med. 32 (2007) 688-691. |
| [16] | D.D. Sun, W.W. Dong, X. Li, et al., Isolation, structural determination and cytotoxic activity of two new ceramides from the root of Isatis indigotica, Sci. China B: Chem. 52 (2009) 621-625. |
| [17] | D.D. Sun, W.W. Dong, H.Q. Zhang, et al., A new ceramide from the root of Isatis indigotica and its cytotoxic activity, Chem. Nat. Compd. 46 (2010) 180-183. |
| [18] | Y. He, J. Lu, R.C. Lin, Studies on chemical constituents in root of Isatis indigotica, Chin. Tradit. Herb. Drugs 34 (2003) 777-778. |
| [19] | Q.S. Huang, K. Yoshihira, S. Natori, Isolation of 2-hydroxy-3-butenyl thiocyanate, epigoitrin, and adenosine from ‘banlangen’, Isatis indigotica root, Planta Med. 42 (1981) 308-310. |
| [20] | F. Wang, Y.P. Jiang, X.L. Wang, et al., Aromatic glycosides from the flower buds of Lonicera japonica, J. Asian Nat. Prod. Res. 15 (2013) 492-501. |
| [21] | Y. Tian, Q. Guo, W. Xu, et al., A minor diterpenoid with a new 6/5/7/3 fused-ring skeleton from Euphorbia micractina, Org. Lett. 16 (2014) 3950-3953. |
| [22] | W.D. Xu, Y. Tian, Q.L. Guo, et al., Secoeuphoractin, a minor diterpenoid with a new skeleton from Euphorbia micractina, Chin. Chem. Lett. 25 (2014) 1531-1534. |
| [23] | W.X. Song, Y.C. Yang, J.G. Shi, Two new β-hydroxy amino acid-coupled secoiridoids from the flower buds of Lonicera japonica: isolation, structure elucidation, semisynthesis, and biological activities, Chin. Chem. Lett. 25 (2014) 1215-1219. |
| [24] | Z.B. Jiang, W.X. Song, J.G. Shi, Two new 1-(60-O-acyl-β-D-glucopyranosyl)pyridinium-3-carboxylates from the flower buds of Lonicera japonica, Chin. Chem. Lett. 26 (2015) 69-72. |
| [25] | Y. Yu, Z. Jiang, W. Song, et al., Glucosylated caffeoylquinic acid derivatives from the flower buds of Lonicera japonica, Acta Pharm. Sin. B 6 (2015) 210-214. |
| [26] | M. Chen, L. Gan, S. Lin, et al., Alkaloids from the root of Isatis indigotica, J. Nat. Prod. 75 (2012) 1167-1176. |
| [27] | M. Chen, S. Lin, L. Li, et al., Enantiomers of an indole alkaloid containing unusual dihydrothiopyran and 1,2,4-thiadiazole rings from the root of Isatis indigotica, Org. Lett. 22 (2012) 5668-5671. |
| [28] | X. Wang, M. Chen, F. Wang, et al., Chemical constituents from root of Isatis indigotica, Chin. J. Chin. Mater. Med. 38 (2013) 1172-1182. |
| [29] | G.M. Sheldrick, SHELXS-97, Program for Crystal Structure Solution, Universitä t Gö ttingen, 1997. |
| [30] | Spartan 10; Wavefunction, Inc.: Irvine, CA. |
| [31] | Gaussian 09, Revision A.1, Gaussian, Inc., Wallingford, CT, 2009. |
| [32] | J. Sandstrom, Conformational analysis of planar chromophores with an attached chiral rotor by CD spectrometry, in: K. Nakanishi, N. Berova, R.W. Woody (Eds.), Circular DichroismPrinciples and Applications,Wiley-VCH,NewYork, 1994, p. 462. |
| [33] | X.C. Li, D. Ferreira, Y.Q. Ding, Determination of absolute configuration of natural products: theoretical calculation of electronic circular dichroism as a tool, Curr. Org. Chem. 14 (2010) 1678-1697. |
| [34] | S. Zhang, Studies on the chemical constituents of Isatis indigotica root, Chin. Tradit. Herb. Drugs 14 (1983) 247-248. |
| [35] | P.L. Wu, Y.L. Hsu, C.W. Jao, Indole alkaloids from Cephalanceropsis gracilis, J. Nat. Prod. 69 (2006) 1467-1470. |
| [36] | G. Bifulco, I. Bruno, R. Riccio, et al., Further brominated bis-and tri-indole alkaloids from the deep-water new Caledonian marine sponge Orina sp., J. Nat. Prod. 58 (1995) 1254-1260. |
| [37] | Y.Wang, X. Tang, Z. Shao, et al., Indole-based alkaloids fromdeep-sea bacterium Shewanella piezotolerans with antitumor activities, J. Antibiot. 67 (2014) 395-399. |
| [38] | T. Hu, G. Dryhurst, Electrochemical and peroxidase O2-mediated oxidation of indole-3-acetic acid at physiological pH, J. Electroanal. Chem. 432 (1997) 7-18. |
| [39] | W.Y. He, R.M. Gao, X.Q. Li, et al., In vitro anti-influenza virus activity of 10 traditional Chinese medicines, Acta Pharm. Sin. 45 (2010) 395-398. |
| [40] | W. Cheng, C. Zhu, W. Xu, et al., Chemical constituents of the bark of Machilus wangchiana and their biological activities, J. Nat. Prod. 72 (2009) 2145-2152. |
| [41] | X. Fan, J. Zi, C. Zhu, et al., Chemical constituents of Heteroplexis micocephala, J. Nat. Prod. 72 (2009) 1184-1190. |
| [42] | W. Song, S. Li, S. Wang, et al., Pyridinium alkaloid-coupled secoiridoids from the flower buds of Lonicera japonica, J. Nat. Prod. 71 (2008) 922-925. |
| [43] | S. Mo, S. Wang, G. Zhou, et al., Phelligridins C-F: cytotoxic pyrano[4,3-c][2]benzopyran-1,6-dione and furo[3,2-c]pyran-4-one derivatives from the fungus Phellinus igniarius, J. Nat. Prod. 67 (2004) 823-828. |
| [44] | Y. Wang, X. Shang, S. Wang, et al., Structures, biogenesis, and biological activities of pyrano[4,3-c]isochromen-4-one derivatives from the fungus Phellinus igniarius, J. Nat. Prod. 70 (2007) 296-299. |


