b Department of Biologic and Materials Sciences, University of Michigan School of Dentistry, Ann Arbor, MI 48109, USA
Due to the emerging issue of drug-resistant bacterial infections,there is a compelling need for the development of newantimicrobials that are effective against drug-resistant microbes[1]. To that end,we have previously developed a series ofantimicrobial polymers based on random methacrylate copolymers [5]. These cationic amphiphilic polymers are designed tomimic the structural features and membrane lysis function ofnaturally occurring antimicrobial peptides. This class of polymersdisplayed a broad spectrum of activity [6],rapid bactericidalkinetics [6],and low propensity for resistance development inbacteria [7,8],providing a promising molecular platform to developantimicrobial agents effective against drug-resistant bacteria.
Toward the implementation of these synthetic antimicrobialpolymers to biomedical applications,it is important to improvetheir antimicrobial potency as well as reduce their toxicity tohuman cells. It would be necessary to increase our knowledge onthe molecular mechanism of toxic activity of the polymers toelucidate the rational design of non-toxic antimicrobial polymers.Accordingly,this study focuses on the investigation of mechanismof polymer toxicity to human cells through a kinetic analysis ofhemolysis of red blood cells (RBCs). Hemolytic activity has beenused as an initial assessment of toxicity,reflecting physical damageto human cell membrane integrity [9]. Our previous studydemonstrated that increasing polymer hydrophobicity increasesthe hemolytic activity of polymers. Hemolysis proceeds viapartitioning of hydrophobic side chains into the RBC membranes,followed by membrane disruption [10]. The polymethacrylatederivatives induce the formation of nanosized pores (1.6-2.0 nm) in the membrane. The nanosized pore formation allowsonly influx of water and small solutes into the cells,but not effluxof large cytosolic proteins,resulting in osmotic imbalance betweenthe cytosol and extracellular buffer solution,which contains onlysmall salts. This causes lysis or complete rupture of RBCs(osmolysis),resulting in the release of entire cellular contents,we have also reported that this polymer-induced osmotichemolysis is an all-or-none event,in which a fraction of RBCsare completely lysed at a given polymer concentration,while theremaining cells are still intact (Fig. 1B) [11]. The experimental datapresented in Fig. 1C indicated that the percentage of disappearedRBCs after an addition of the polymer was proportional to thepercent of hemoglobin release (the extent of hemolysis),suggesting an all-or-none response of RBCs in the polymer-inducedhemolysis. This all-or-none hemolysis by the polymer is contrastedwith a graded release mechanism proposed for some hemolyticpeptides such as melittin [12] andg-lysin [10],in which a potion ofhemoglobin is leaked from all of the RBCs in a sample (Fig. 1B).Based on these previous findings on the all-or-none hemolysis,herein we report a new kinetic model to describe polymer-inducedhemolysis. To the best of our knowledge,the all-or-none responsein hemolysis seems not to be taken into account for the hemolysismodels of peptides in literature. The kinetic analysis andassociated new model would provide new insight into themolecular behaviors of polymer chains on the membranes suchas polymer cooperativity as well as identify active species.
| Download: |
| Fig. 1. All-or-none hemolysis induced by amphiphilic polymethacrylates [9]. (A)Chemical structure of the polymer. (B) Schematic presentation of all-or-nonerelease and graded release of hemoglobin from RBCs. Filled circles correspond tohemoglobin. (C) Relationship between disappeared RBCs and the amount ofreleased hemoglobin from RBCs (extent of hemolysis) induced by the polymer.Reprinted with permission Copyright 2011 American Chemical Society. | |
All experimental procedures including materials,polymersynthesis,antimicrobial assay,hemolysis assay and kineticmeasurement of hemolysis were described in the Supportinginformation.3. Results and discussion
3.1. Polymer structure-activity relationships
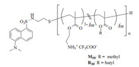
We have synthesized two amphiphilic methacrylate randomcopolymers containing primary ammonium groups as cationicfunctionality and either butyl or methyl groups as hydrophobicside chains according to the previously reported procedure(Table 1,Fig. 2) [13]. The molecular weights of polymers are inthe range of 2000-4000 g/mol,which mimic the small molecularsize of natural antimicrobial peptides. The dansyl fluorescent dyeat the polymer end is intended for measurement of binding affinityof polymers to lipid membranes [9]. The results will be reportedelsewhere.
| Table 1 Characterization and biological activities of amphiphilic methacrylate random copolymers. |
| Download: |
| Fig. 2. Chemical structure of amphiphilic methacrylate random copolymers.fHB andn denote the fraction of hydrophobic unit and degree of polymerization,respectively. | |
The copolymersM59 andB30 displayed potent antimicrobialactivity with minimum inhibitory concentrations (MIC) values of8mg/mL (3.6mmol/L) and 16mg/mL (4.9mmol/L),which arecomparable to that of bee venom toxin melittin (MIC = 13mg/mLor 4.6mmol/L) and higher than that of natural antimicrobialpeptide magainin-2 (MIC = 125mg/mL or 50mmol/L) under thesame assay condition. The MIC values of the polymers reported inthis study are in good agreement with those reported previously[9]. 3.2. Dose-response hemolysis curves
To assess the toxicity of polymers to human cells,the ability ofthe polymers to lyse human RBCs was evaluated by monitoringrelease of hemoglobin in solution. In general,the fraction ofhemoglobin release increased with increasing polymer concentration (Fig. 3). The HC50values (Table 1),defined as the polymerconcentration necessary to induce 50% hemoglobin release,weredetermined by fitting the Hill equation. The HC50data indicate thatthe hemolytic activity ofB30(HC50= 0.68mmol/L) is comparable tomelittin (HC50= 0.71mmol/L). The HC50 of B30 is more than30 times lower thanM59(HC50=20mmol/L),suggesting that morehydrophobic butyl groups confer greater hemolytic activity ofpolymers than methyl groups,in agreement with our previousreport [10]. It has been also previously reported that magainin-2displays little or no hemolytic activity under the same assaycondition (HC50>100mmol/L) [10]. The selectivity index definedas HC50/MIC of B30found to be 0.14,reflecting the non-selectiveactivity ofB30against human cells and bacteria. In contrast,theM59displayed higher selectivity index (HC50/MIC = 5.6),indicatingM59 is selectively active to bacteria over RBCs. These resultssuggest that the hemolytic activity and cell selectivity of polymersdepends on their hydrophobic properties represented by theidentity and their compositions of hydrophobic groups.
| Download: |
| Fig. 3. Dose-response curves in hemolysis induced by the polymers. Each data pointrepresents the average of three independent experiments. Error bars correspond tothe standard deviation. Filled and open circles correspond to B30 and M59,respectively. | |
We have previously demonstrated that the polymer-inducedhemolysis is an all-or-none event [11,12]. Since the hemolyticmechanism of our polymers differs from graded release,whichhas been proposed for some hemolytic peptides [14],a newkinetic model is required to accurately describe their mechanismof action. In the all-or-none hemolysis,the dose-response curvesrepresent thenumberof RBCs that are lysed at a given time pointand polymer concentration. The concentration dependence ofhemolysis indicates that RBCs have a variation in their susceptibility to the hemolytic action of polymers,otherwise all RBCsshould be lysed at the same polymer concentration. The apparentsusceptibility variation of RBCs to polymers could be due to theinherent heterogeneity of properties of RBCs [15,16]; some cells areweak against the membrane disruption by polymers,but othersresist disruption at the same overall polymer concentration,whichresults in the all-or-none hemolysis. Alternatively,the binding ofpolymers to RBCs could be heterogeneous,and individual cellshave different concentration of polymers bound to RBC cellmembranes,giving the apparent distribution of lysed fraction ofRBCs or all-or-none response. In addition,the individual polymerchains have different numbers of cationic and hydrophobic groupsbecause the polymers were prepared by copolymerization ofcorresponding monomers. Therefore,the polymer chains are likelyto have different affinity to the RBC membrane and hemolyticpotency from others. These structural and functional heterogeneities of polymers might result in heterogeneous distribution ofpolymer chains with different hemolytic activity in RBCs,whichmay be responsible for the all-or-none response of RBCs to thepolymers. These heterogeneities in polymer-RBCs interactioncould be also induced by association of polymer chains in solutionor on the RBC membranes. At this point,these are all speculations,and the reason why RBCs show the variation in the susceptibilityagainst the lytic action of polymers remains unclear.
The dose-response curves of polymer-induced hemolysis,which reflect the susceptibility variation of RBCs were well fittedto the following Hill equation (Eq. (1)).

The hemolytic kinetics ofM59 and B30 were monitored atpolymer concentrations of 0.5-2 times the HC50(Fig. 4). Additionof polymer to a suspension of RBCs induced a rapid release ofhemoglobin initially,and then the rates of hemolysis graduallydecreased with time. At low polymer concentration (less thanHC50),the hemolysis fraction asymptotically approaches a valueless than 100%,indicating that the leakage of hemoglobin from asub-population of the RBCs reaches completion within the timescale of this experiment. Comparing the time courses at the HC50concentrations,the less hemolytic polymer M59 displayedrelatively a slower rate of hemolysis compared to the more potentB30,even though the same percent of RBCs (50%) were lysed in bothcases. This result indicates that the dose-dependent fraction ofhemolysis observed in the end-point hemolysis assay is not theonly measure of hemolytic potency. Indeed,the kinetics ofhemolysis reflects the molecular action of polymers in membranes,which strongly depends on their chemical structure.
| Download: |
| Fig. 4. Time-course of hemolysis induced by M59 (A) and B30 (B). Polymerconcentrations are 0.5×HC50(open circle),1×HC50(closed triangle),1.5×HC50(open square) and 2×HC50(closed diamond). Solid lines represent fitting curvesbased on the kinetic model | |
To gain further insight into the hemolytic action of thesepolymers,experimental hemolysis time courses were comparedwith a theoretical model. We formulated a simple reaction schemeof polymers,which consists of a binding equilibrium followed byirreversible lytic action of bound polymer (Scheme 1).
where Pfreeand Pnactive are polymer species free in solution andbound to RBC membranes,respectively. Pactive represents themembrane-bound polymer associated with membrane rupture. InScheme 1,the first step represents the binding equilibriumbetween polymers free in solution and bound to the membranesurface. The second step involves the formation of active polymer,which results in the disruption of RBCs. This model assumes thatindividual polymer chains are responsible for the hemolysis,although multiple polymer chains could work cooperatively onmembranes,as proposed for lytic peptides and antimicrobialpeptides [17]. In this study,a simple model will be discussed asan initial assessment and for the validation of the assumptionsdescribed below. The cooperative action of multiple polymerchains on the hemolysis and further modifications of modelwill be discussed in future studies. To derive kinetic equationsfor polymers-induced hemolysis,the following assumptions aremade:Assumption 1.The polymer binding (first step) reaches equilibrium much faster than the formation of Pactive (second step),because the second step is likely to involve the polymer insertionand reorganization of membrane structures [18,19]. According tothe mechanistic studies of antimicrobial peptides,the binding ofpeptides to membranes reaches equilibrium in significantlyshorter time than the translocation of peptides and lipid reorganization [20]. Therefore,the second step should be a ratedetermining step,and the production rate of Pactive is derived asfollows.
The mass balance of all polymer species in the system is:

By regarding the second step as a rate-determining step (k1 andk-1>>k1),the concentration of Pnactive is given by:




From Eqs. (5) and (6),hemolysis fractionHat given timetcan bederived as the following equation:

At infinite timet,Eq. (7) is a form of the classical Hill equation (1).Comparing these equations,HC50,active andmshould be HC50andnthat are determined from a dose-response curve after a prolongedperiod of time. Therefore,the hemolysis fractionHis given by thefinal form of equation:

For fitting analysis,the HC50 andnvalues of the hemolysiscurves at 60 min (Fig. 3 and Table 1) were used because thehemolysis appears to mostly level off at that time,giving goodapproximation to values at infinite time.
Each of the hemolysis time course data fit well with the rateequation (8),except forB30polymer at high concentration (1.5-2×HC50). The deviation for B30is likely because the final extent ofhemolysis fraction in the kinetic experiment is significantly higherthan those observed in the dose-response curve (Fig. 3). Thisinconstancy could be due to disruption of RBCs by shear forcethrough the filtration process although it is not clear at this point.Nevertheless,the good fitting results support our proposed modelbased on the all-or-none hemolysis induced by the polymeralthough the polymers has variation in their structure,whichcontrasts homogeneous peptide system.
| Download: |
| Fig. 5. Kinetic parameters of hemolysis. Filled and open circles correspond to B30and M59,respectively. | |
The kinetic parameter kapp represents the rate constant forformation of Pactive ,which dictates the rate of RBC lysis at a giventime and polymer concentration. We speculate that the formationof Pactive involves the insertion of polymer to the membranes andpossibly reorganization of lipid to form a complex with polymers,which is active for the pore formation,followed by osmolysis. The kapp value for M59is increased as the polymer concentration isincreased,reflecting that the disruption of RBC membrane wasenhanced at high polymer concentrations. (Fig. 5) This result mayindicate that the multiple polymer chains act cooperatively on themembrane for the polymer insertion and membrane reorganization,rather than a single polymer chain Pactive inducing hemolysis.In addition to the direct interaction between polymer chains,thepolymer chains bound to membranes could disrupt the membraneintegrity of RBCs by disordering [21] and thinning the membranestructure [9],resulting in RBC lysis. These membrane propertychanges would be also enhanced at the high polymer concentrations,which may result in apparent increased formation of Pactive and membrane lysis.The kapp values forB30is more than 3-fold larger than those ofM59when compared at the same polymer concentration relative toHC50. The higher rate for Pactive formation is possibly due to thehigh hydrophobicity ofB30,giving larger Kand/ork2for B30. Ourprevious result indicated that the binding affinity of cationicamphiphilic methacrylate polymers to a lipid bilayer consisting ofmammalian cell type lipids is enhanced as the hydrophobicity ofpolymers is increased [22]. We have also shown that amphiphilicpolymers are more hemolytic as the partitioning of hydrophobicgroup in the polymer side chains into lipid membranes isincreased. Although B30 has smaller number of hydrophobicgroups (30 mol%) thanM59(59 mol%),the hydrophobic groups ofB30 are longer butyl chains than methyl ofM59,giving highertotal hydrophobicity toB30polymer chains as compared toM59,resulting in larger partitioning of polymers into the hydrophobiccore of lipid membranes. This hydrophobic effect of side chains onthe polymer partition to membranes possibly increases thebinding affinity (K)ofB30to RBC membranes. Once the polymerbind to RBC membranes,the high hydrophobicity of polymersalso facilitates the membrane insertion of polymer chains andreorganization for pore formation,increasing the formation of Pactive (k2).
The dose-responsive hemolysis curves represent the variationin the susceptibility of RBCs to the polymers,which can berepresented by the Hill equation. Therefore,the Hill coefficientnreflects the apparent susceptibility variation of RBC cells to thepolymers in hemolysis. To analyze the effect of the Hill coefficientnon the polymer-induced hemolysis,model simulations wereperformed (Fig. 6). Whennis large,the hemolysis curve have asharp transition from 0 to 100% hemolysis within a smallconcentration range around HC50,indicating that most RBCs arelysed at the narrow range of polymer concentration (Fig. 6A). Inthe case of smallnvalues,the hemolysis of RBCs would be inducedover a wide range of polymer concentration,indicating thatindividual RBCs have different susceptibilities in hemolysis to thepolymers (Fig. 6A). To further gain the insight into the effect of theHill coefficient on the hemolysis,time courses of hemolysis weresimulated by varying the Hill coefficientnin our rate equation (8)(Fig. 6B). Interestingly,as the Hill coefficient increased from 0.5 to5,the initial rate decreased and appears to be almost 0 for largenvalues,giving apparent induction time before the polymers startto lyse RBCs. In our model (Scheme 1),Pactive is the active spicesassociated with lysis of RBCs,and the RBCs are ruptured,whenthe concentration of Pactive in the membrane exceeds a criticalthreshold concentration. When thenvalues are large,most cellshave the same threshold concentration at HC50(Fig. 6A). Thus,theinduction period for high nvalues reflects the time required toaccumulate sufficient amount of Pactive on the membrane until theconcentration of Pactive on the membrane of all cells reaches to thethreshold concentration for rupture of RBCs at HC50.Suchaninduction period in the hemolysis was experimentally observedfor several membrane lytic peptides [11]. On the other hand,RBCswould have large variation in their susceptibility to the polymerswhen thenvalues are small (Fig. 6A). Such RBC samples containcells that are highly susceptible to the polymers. These weak cellscan be lysed by the polymers at low concentrations. Therefore,although the concentration of Pactive is low at the beginning oftime course of hemolysis,RBCs with high susceptibility could belysed at the beginning,giving the high initial rates in the timecourse. These results suggested that the polymer-inducedhemolysis should be interpreted as a collective response of RBCsto the polymers.
| Download: |
| Fig. 6. TSimulated dose-response curve (A) and corresponding time-course ofhemolysis (B) by varying the Hill coefficientn. The kinetic constant Kapp of0.00053 s-1,which is same as that for M59,was used to obtain the time-coursecurve. | |
Considering the potential use of polymers as antimicrobials inphysiological conditions,the polymers might strongly bind tobiological components in the blood such as albumin due to theirhydrophobic and cationic nature while PBS buffer used in thisstudy contains only small salts. This would decrease theconcentration of active polymer species and reduce the apparenthemolytic activity. However,because this effect is resulted fromsequester of Pfree,the hemolysis mechanism of polymer chainsbound to blood would not be changed. Therefore,the modelequation could be modified with another binding process of Pfreewith biological components to predict the kinetic behavior ofpolymers in the blood,but the molecular process of polymer chainsbound to RBCs would remain same.
Although the detailed molecular mechanism of the membranedisruption by the polymers and the relationship with that ofantimicrobial peptides are beyond the scope of this study,thepolymers seem to display a different mode of action in theirhemolytic activity from natural hemolytic peptide melittin.Melittin induces graded leakage of hemoglobin through theformation of transient opening in the membrane by the formationof active dimers [5]. It would be our future subject to elucidate therelationship between the polymer and peptide activities,whichwould be useful to elucidate the rational design of peptidemimetic polymers.
The polymers are heterogeneous in terms of their structure andsequence,possibly giving a mixture of species with differentbinding affinities and potencies. Therefore,the model described inScheme 1 appears to be oversimplified. However,the derivedequation was relatively well fitted to the kinetic data. In addition,the previous study demonstrated that methacrylate copolymerscan adopt an amphiphilic conformation in a bacterial cellmembrane,in which the cationic and hydrophobic side chainsare segregated to the different sides of polymer chain,which mimicthe amphiphilic helical structure of natural antimicrobial peptides[yes]. Such amphiphilic structure of polymers may be responsible forthe antimicrobial activity of random copolymers and also possiblytheir hemolytic activity. These results might indicate that thephysical-chemical interactions of polymers with membranes orthe inherent properties of cell membranes rather than the specificsequence and distribution of monomers in polymer chains arechief determinants in the polymer-induced hemolysis. 4. Conclusion and future perspectives
In summary,we investigated the kinetics of hemolysis exertedby cationic amphiphilic methacrylate copolymers with differenthydrophobic groups and compositions. We propose a new kineticmodel for polymer-induced hemolysis taking an all-or-none lysisof RBCs into account. This model contrasts the conventional gradedleakage model,which relies on the formation of membrane poresin individual cells. The graded leakage model has been widely usedto analyze the lysis of cells or lipid vesicles. However,themolecular mechanism of polymers for kinetic models and thevariation in the susceptibility of cells are not always considered.The proposed model provides new insight into the polymerinduced hemolysis to elucidate how individual or collective cellsresponse to the polymers.
From only the results presented in this report,it still remainschallenging to elucidate the design principle of non-toxicpolymers. However,our study suggests that the interpretationof polymer-induced hemolysis should take not only the polymerproperties,but also the collective response of RBCs to the polymers(all-or-none hemolysis) into account. In addition to the hemolysisassay used in this study,the polymer binding to lipid membranesusing artificial lipid vesicles would need to be investigated toquantify the binding affinity of polymers for lipid bilayers,whichseems to be a key factor to explain the hemolytic activity asindicated in the analysis of kapp . The analysis of leakage of solutesentrapped in lipid vesicles would be also of interest for furthercharacterization of pore formation or membrane disruption.Further detailed analysis of hemolytic activity of series of polymersand peptides with different properties would provide new insightto the structural determinants to control the toxicity of membrane-active antimicrobial agents.
AcknowledgmentsThis research was supported by the Department of Biologic andMaterials Sciences,University of Michigan School of Dentistry,NSFCAREER Award (No. DMR-0845592 to KK),and JSPS KAKENHI,Grant-in-Aids for Challenging Exploratory Research (No.25650053) for Young Scientists (Nos. 24681028 and 22700494to KY). We thank Professor Robertson Davenport at the Universityof Michigan Hospital for supplying the red blood cells. We alsothank Professor Edmund F. Palermo at Rensselaer PolytechnicInstitute for his valuable discussions and comments.
Appendix A. Supplementary dataSupplementary data associated with this article can be found,inthe online version,at http://dx.doi.org/10.1016/j.cclet.2015.01.029.
| [1] | H.W. Boucher, G.H. Talbot, J.S. Bradley, et al., Bad bugs, no drugs: no ESKAPE! An update from the Infectious Diseases Society of America, Clin. Infect. Dis. 48 (2009) 1-12. |
| [2] | K. Kuroda, W. DeGrado, Amphiphilic polymethacrylate derivatives as antimicrobial agents, J. Am. Chem. Soc. 127 (2005) 4128-4129. |
| [3] | H. Takahashi, E.F. Palermo, K. Yasuhara, G.A. Caputo, K. Kuroda, Molecular design, structures, and activity of antimicrobial peptide-mimetic polymers, Macromol. Biosci. 13 (2013) 1285-1299. |
| [4] | K. Kuroda, G.A. Caputo, Antimicrobial polymers as synthetic mimics of hostdefense peptides, Wires Nanomed. Nanobiotechnol. 5 (2013) 49-66. |
| [5] | E.F. Palermo, S. Vemparala, K. Kuroda, Cationic spacer arm design strategy for control of antimicrobial activity and conformation of amphiphilic methacrylate random copolymers, Biomacromolecules 13 (2012) 1632-1641. |
| [6] | I. Sovadinova, E.F. Palermo, M. Urban, et al., Activity and mechanism of antimicrobial peptide-mimetic amphiphilic polymethacrylate derivatives, Polymers 3 (2011) 1512-1532. |
| [7] | W. van't Hof, E. Veerman, E.J. Helmerhorst, A. Amerongen, Antimicrobial peptides: properties and applicability, Biol. Chem. 382 (2001) 597-619. |
| [8] | G.E. Rowe, R.A. Welch, Assays of hemolytic toxins, Methods Enzymol. 235 (1994) 657-667. |
| [9] | K. Kuroda, G.A. Caputo, W.F. DeGrado, The role of hydrophobicity in the antimicrobial and hemolytic activities of polymethacrylate derivatives, Chem. Eur. J. 15 (2008) 1123-1133. |
| [10] | I. Sovadinova, E.F. Palermo, R. Huang, L.M. Thoma, K. Kuroda, Mechanism of polymer-induced hemolysis: nanosized pore formation and osmotic lysis, Biomacromolecules 12 (2011) 260-268. |
| [11] | W.F. DeGrado, G.F. Musso, M. Lieber, E.T. Kaiser, F.J. Ke′ zdy, Kinetics and mechanism of hemolysis induced by melittin and by a synthetic melittin analogue, Biophys. J. 37 (1982) 329-338. |
| [12] | A. Pokorny, P.F.F. Almeida, Kinetics of dye efflux and lipid flip-flop induced by d-lysin in phosphatidylcholine vesicles and the mechanism of graded release by amphipathic, a-helical peptides, Biochemistry 43 (2004) 8846-8857. |
| [13] | E.F. Palermo, D.K. Lee, A. Ramamoorthy, K. Kuroda, Role of cationic group structure in membrane binding and disruption by amphiphilic copolymers, J. Phys. Chem. B 115 (2011) 366-375. |
| [14] | M.T. Tosteson, S.J. Holmes, M. Razin, D.C. Tosteson, Melittin lysis of red cells, J. Membr. Biol. 87 (1985) 35-44. |
| [15] | M. Zasloff, Antimicrobial peptides of multicellular organisms, Nature 415 (2002) 389-395. |
| [16] | Y. Shai, Mode of action of membrane active antimicrobial peptides, Biopolymers 66 (2002) 236-248. |
| [17] | H.W. Huang, Action of antimicrobial peptides: two-state model, Biochemistry 39 (2000) 8347-8352. |
| [18] | G. Schwarz, H. Gerke, V. Rizzo, S. Stankowski, Incorporation kinetics in a membrane, studied with the pore-forming peptide alamethicin, Biophys. J. 52 (1987) 685-692. |
| [19] | K. Matsuzaki, O. Murase, K. Miyajima, Kinetics of pore formation by an antimicrobial peptide, magainin 2, in phospholipid bilayers, Biochemistry 34 (1995) 12553-12559. |
| [20] | T.H. Lee, C. Heng, M.J. Swann, et al., Real-time quantitative analysis of lipid disordering by aurein 1.2 during membrane adsorption, destabilisation and lysis, Biochim. Biophys. Acta 1798 (2010) 1977-1986. |
| [21] | S.J. Ludtke, K. He, H.W. Huang, Membrane thinning caused by magainin 2, Biochemistry 34 (1995) 16764-16769. |
| [22] | A.W. Bernheimer, Comparative kinetics of hemolysis induced by bacterial and other hemolysins, J. Gen. Physiol. 30 (1947) 337-353. |


