b Beijing National Laboratory for Molecular Sciences (BNLMS), and Key Laboratory of Molecular Recognition and Function, Institute of Chemistry Chinese Academy of Sciences, Beijing 100190, China
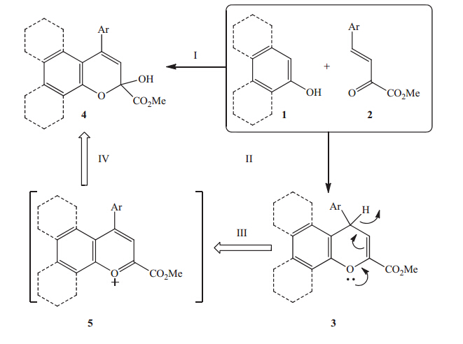
4H-Chromenes have been a subject of consistent interest due to the presence of their structural motifs in a large number of natural products [1] and their wide spectrum of pharmacological activities, such as antioxidant [2],antifungal [3],antimicrobial [4],antileishmanial [5],antiviral [6],antitubercular [7],antiproliferative [8],and anticancer [9] properties. Different 4H-chromenes are required in an increasing number of applications [2, 3, 4, 5, 6, 7, 8, 9, 10, 11],which makes the development of new 4H-chromene platforms a high priority. It is worth mentioning that a quinoline-2-carboxylic acid amide derivative of saframycin A was shown to possess single-digit picomolar potency against three human sarcoma cell lines,100 times more potent than Et-743 (yondelis,trabectedin) [12],that has received European approval for the treatment of soft tissue sarcoma and ovarian carcinoma [13]. We envisioned that 4Hchromene-2-carboxylic acid amide derivatives of saframycin A might be of some use for the structural-activity relationship studies of this natural antitumor/antibiotic product [14]. The required 4H-chromene-2-carboxylic acid esters 3 were thought to be prepared from naphthols 1 and β,γ-unsaturated α-ketoester 2 (Scheme 1).
We have continual interests in the development of functional heterocycles [15],and have developed several strategies for the selective synthesis of 2H-chromenes [16]. For example,we have developed a synthesis of 2H-chromene hemiacetals 4 by the tandem reaction of naphthols 1 and β,γ-unsaturated α-ketoester 2 in TFA [17] under reflux (Scheme 1,route I),in which trace 4Hchromene-2-carboxylic acid ester intermediates 3 could be detected [16a]. However,the formation of 3 (Scheme 1,route II) was not completely finished when the transformation of these 4Hchromenes 3 into the corresponding 2H-chromene hemiacetals 4 (Scheme 1,routes III-IV) took place [16a]. Although 3 could be obtained from1and 2 in either an AuCl3/3AgOTf-catalytic system [18] or a thiourea-tertiary-amine-catalytic system followed by dehydration with concentrated sulfuric acid (H2SO4) [19],the protocols are not attractive from an economic point of view. Thus, it is still desirable to develop an efficient and cost effective protocol for the synthesis of functionalized 4H-chromenes 3. To this end, herein we would like to report an expedient synthesis of3via Bi(OTf)3-catalyzed tandem reaction of naphthols 1 with β,γ-unsaturated α-ketoester 2 (Scheme 1,route V). It is note worthy that Bi(OTf)3is a powerful σ- and π-Lewis acid with low toxicity and low cost [20]. The Bi(OTf)3-catalyzed functionalized 4Hchromene synthesis and our previous 2H-chromene hemiacetal synthesis could complement each other to enrich reaction diversity.
|
Download:
|
| Scheme 1. Reaction of naphthols1and β,γ-unsaturated α-ketoester 2. | |
The mixture of 2-naphthol (1a,98%,147.1 mg,1.0 mmol), β,γ-unsaturated α-ketoester 2a (209.2 mg,1.1 mmol) and Bi(OTf)3 (98%,33.5 mg,0.05 mmol) in dichloromethane (CH2Cl2,5 mL) was stirred at 50°C (sealed tube) for 8 h,cooled to room temperature, filtered through celite,and concentrated. The residue was purified by flash chromatography on silica gel (100-200 mesh) to afford 4H-chromene 3a (291.0 mg) in 92% yield. White solid; mp 177- 178°C; 1H NMR (400 MHz,CDCl3):δ 7.79 (d,2H,J= 6.8 Hz),7.64 (d, 1H,J= 2.8 Hz),7.41-7.17 (m,8H),6.46 (d,1H),5.35 (d,1H),3.85 (s, 3H); 13C NMR (100 MHz,CDCl3):δ162.3,149.1,144.4,139.1,131.3, 129.4,129.0,128.5,127.8,126.9,126.8,124.5,123.6,118.0,115.0, 113.1,52.4,39.1; FTIR (film,cm-1): 1725,1674,1622,1599,1516, 1443,1335,1231,1190,1113,1070,1037,764,748,705. Anal. Calcd. for C21H16O3:C,79.73; H,5.10. Found: C,79.64; H,5.37. See Supporting information for the experimental details and copies of NMR spectra of 4H-chromenes 3a-p. 3. Results and discussion
The tandem reaction of 2-naphthol (1a) withβ,γ-unsaturated α-ketoester 2a was used as a probe for evaluating the reaction conditions,and the representative results are summarized in Table 1. Tandem reaction of 1a with 2a in the presence of 10 mol% of FeCl3 and Fe(OTf)3in 1,2-dichloroethane (DCE) could take place at 25°C to afford 4H-chromene 3a in 18%-21% yields within 4 h (entries 1-2). However,the above reaction could not be completed at 0-50°C within many days,and degradation was observed when the reaction was performed at a higher temperature. In contrast to FeCl3 and Fe(OTf)3,this reaction in the presence of Bi(OTf)3, Hf(OTf)4and AuCl3did not afford 3a at 25°C,in which reaction intermediates were detected (entries 3-5). To our delight, 3a was obtained in 90% yield within 4 h when the reaction was performed at 50°C in the presence of Bi(OTf)3(10 mol%,entry 6). However, the reaction still did not generate 3a at 50°C in the presence of Hf(OTf)4and AuCl3(entries 7-8). LiOTf,PdCl2,Cu(OTf)2,Yb(OTf)3, Mg(OTf)2,Zn(OTf)2,Al(OTf)3,and AgOTf were not effective promoters for this reaction. Treatment of 1a with 2a in DCE at 50°C for 4 h in the presence of these salts did not generate any products and the starting materials were recovered (entries 9-16). Compound 3a was also not obtained when the reaction was performed at 50°C in the presence of Sc(OTf)3,in which reaction intermediates were detected (entry 17). Bi(OTf)3 is the most efficient promoter for this reaction in all screened Lewis acids (entries 1-17). The reaction still went smoothly when the loading of Bi(OTf)3was decreased from 10 mol% to 1 mol%,albeit with a longer reaction time (entries 18-19 and 6). With the use of methanol (MeOH),N,N-dimethylformamide (DMF),toluene (PhCH3) and acetonitrile (CH3CN) in comparison to DCE,relatively lower yields were observed (entries 18-23). The reaction went smoothly under solvent-free conditions at 60°C,whereas the mixture of 1a and 2a is solid at less than 60°C (entry 24). When dichloromethane (CH2Cl2) was used as the reaction solvent (sealed tube),a relatively higher yield was observed (entries 18 and 25). Furthermore,when scaling up1ato 1.45 g,the reaction provided an excellent yield (entry 26).
| Table 1 Survey of conditions for tandem reaction of 2-naphthol 1a with β,γ-unsaturated α ketoester 2a.a |
With the optimized reaction conditions in hand,the scope of the reaction was subsequently investigated,and the representative results are summarized in Table 2. With theparaposition of their aromatic moiety bearing a hydrogen atom (entry 1),a weak electron-donating group (entry 2),a strong electron-donating group (entries 3 and 4),a weak electron-withdrawing group (entries 5-7) and a strong electron-withdrawing group (entries 8 and 9), β,γ-unsaturated α-ketoester 2a -ireacted smoothly with 2-naphthol (1a) in dichloromethane at 50°C to afford 4Hchromenes 3a-e in excellent yields within 8 h (entries 1-9), indicating that the electronic factor of the aromatic moiety of β,γ-unsaturated α-ketoesters 2 has little effect on these tandem reactions.β,γ-Unsaturated α-ketoesters 2 with different substitution patterns reacted with1auneventfully (entries 6 and 10-12).
| Table 2 Bi(OTf)3-catalyzed tandem reaction of naphthols 1 withb,β,γ-unsaturated α-ketoester 2.a |
In testing substitution of a methoxycarbonyl group to an ethoxycarbonyl group,β,γ-unsaturated α-ketoester 2m reacted equally well with 1a under the standard conditions to afford 4Hchromene 3i in 88% yield (entries 6 and 13). The tandem reaction of 6-bromo-2-naphthol (1b) with β,γ-unsaturated α-ketoester 2a went smoothly under the standard conditions to generate 4Hchromene 3n in a good yield (entry 14). 1-Naphthol (1c) and 1,3-dihydroxynaphthalene (1d) have also been investigated,which reacted smoothly withβ,γ-unsaturated α-ketoester 2a under the standard conditions,albeit with a relatively higher temperature (entries 15-16).
Possible reaction pathways for the above tandem reaction are outlined in Scheme 2. Friedel-Crafts alkylation of naphthols1with β,γ-unsaturated α-ketoesters 2 in the presence of Bi(OTf)3 generates Friedel-Crafts adducts7(Scheme 2,routes A and B) [21],which in turn undergo cyclodehydration to afford 4Hchromenes 3 (Scheme 2,routes C and D). As the ketone functionalized moieties of 2a re activated by the ester groups, another possibility for the formation of 4H-chromenes 3 involves processes of hemiacetalization (Scheme 2,route E),intramolecular Friedel-Crafts alkylation,and tautomerization (Scheme 2,routes F-G).
|
Download:
|
| Scheme 2. Possible reaction pathways for the tandem reaction. | |
In summary,we have developed a Bi(OTf)3-catalyzed tandem reaction of β,γ-unsaturated α-ketoesters with 2-naphthols,1-naphthols,and 1,3-dihydroxynaphthalenes under mild conditions. The process provided a cheap,convenient,efficient,and selective approach for the synthesis of functional 4H-chromenes,a structural motif for a large number of natural products,pharmaceuticals,and functionalized materials. Applications of this protocol to the selective synthesis of bioactive molecules are in progress in our research group. Acknowledgments
This work was supported by the Science and Technology Development Project of Weihai (Nos. 2011DXGJ13,2012DXGJ02), the Natural Science Foundation of Shandong Province (No. ZR2012BM002),and the National Natural Science Foundation of China (Nos. 21202028,21372054). Appendix A. Supplementary data
Supplementary data associated with this article can be found,in the online version,at http://dx.doi.org/10.1016/j.cclet.2014.05.023.
| [1] | V. Jeso, K.C. Nicolaou, Total synthesis of tovophyllin B, Tetrahedron Lett. 50 (2009) 1161-1163. |
| [2] | T. Symeonidis, M. Chamilos, D.J. Hadjipavlou-Litina, L. Enache, M.T. Flavin, Synthesis of hydroxycoumarins and hydroxybenzo[f]-or [h]coumarins as lipid peroxidation inhibitors, Bioorg. Med. Chem. Lett. 19 (2009) 1139-1142. |
| [3] | Z.Q. Xu, K. Pupek, W.J. Suling, et al., Pyranocoumarin, a novel anti-TB pharmacophore: synthesis and biological evaluation against mycobacterium tuberculosis, Bioorg, Med. Chem. 14 (2006) 4610-4626. |
| [4] | C.B. Sangani, N.M. Shah, M.P. Patel, R.G. Patel, Microwave-assisted synthesis of novel 4H-chromene derivatives bearing 2-aryloxyquinoline and their antimicrobial activity assessment, Med. Chem. Res. 22 (2013) 3831-3842. |
| [5] | T. Narender, S. Gupta, A convenient and biogenetic type synthesis of few naturally occurring chromeno dihydrochalcones and their in vitro antileishmanial activity, Bioorg. Med. Chem. Lett. 14 (2004) 3913-3916. |
| [6] | A. Martínez-Grau, J.L. Marco, Friedländer reaction on 2-amino-3-cyano-4H-pyrans: synthesis of derivatives of 4H-pyran [2,3-b] quinoline, new tacrine analogues, Bioorg. Med. Chem. Lett. 7 (1997) 3165-3170. |
| [7] | N.R. Kamdar, D.D. Haveliwala, P.T. Mistry, S.K. Patel, Synthesis and evaluation of in vitro antitubercular activity and antimicrobial activity of some novel 4H-chromeno[ 2,3-d] pyrimidine via 2-amino-4-phenyl-4H-chromene-3-carbonitriles, Med. Chem. Res. 20 (2011) 854-864. |
| [8] | H. Aryapour, M. Mahdavi, S.R. Mohebbi, et al., Anti-proliferative and apoptotic effects of the derivatives from 4-aryl-4H-chromene family on human leukemia K562 Cells, Arch. Pharm. Res. 35 (2012) 1573-1582. |
| [9] | S.G. Das, D.L. Hermanson, N. Bleeker, et al., Ethyl 2-amino-6-(3,5-dimethoxyphenyl)-4-(2-ethoxy-2-oxoethyl)-4H-chromene-3-carboxylate (CXL017): a novel scaffold that resensitizes multidrug resistant leukemia cells to chemotherapy, ACS Chem. Biol. 8 (2013) 327-335. |
| [10] | (a) J. Fan, Z. Wang, Facile construction of functionalized 4H-chromene via tandem benzylation and cyclization, Chem. Commun. (2008) 5381-5383; (b) S. Gao, C.H. Tsai, C. Tseng, C.F. Yao, Fluoride ion catalyzed multicomponent reactions for efficient synthesis of 4H-chromene and N-arylquinoline derivatives in aqueous media, Tetrahedron 64 (2008) 9143-9149; (c) K. Kumaravel, G. Vasuki, Four-component catalyst-free reaction in water: combinatorial library synthesis of novel 2-amino-4-(5-hydroxy-3-methyl-1Hpyrazol-4-yl)-4H-chromene-3-carbonitrile derivatives, Green Chem. 11 (2009) 1945-1947; (d) M.N. Elinson, A.I. Ilovaisky, V.M. Merkulova, et al., Solvent-free cascade reaction: direct multicomponent assembling of 2-amino-4H-chromene scaffold from salicylaldehyde, malononitrile or cyanoacetate and nitroalkanes, Tetrahedron 66 (2010) 4043-4048; (e) M.R. Naimi-Jamal, S. Mashkouri, A. Sharifi, An efficient, multicomponent approach for solvent-free synthesis of 2-amino-4H-chromene scaffold, Mol. Divers. 14 (2010) 473-477; (f) M. Boominathan, M. Nagaraj, S. Muthusubramanian, R.V. Krishnakumar, Efficient atom economical one-pot multicomponent synthesis of densely functionalized 4H-chromene derivatives, Tetrahedron 67 (2011) 6057-6064; (g) S.R. Kolla, Y.R. Lee, Ca(OH)2-mediated efficient synthesis of 2-amino-5-hydroxy-4H-chromene derivatives with various substituents, Tetrahedron 67 (2011) 8271-8275; (h) Z.Y. Du, W.Y. Siau, J. Wang, Enantioselective organocatalytic synthesis of medicinally privileged 2-amino-4H-chromene-3-carbonitriles via a cascade process, Tetrahedron Lett. 52 (2011) 6137-6141; (i) M. Gyuris, R. Madácsi, L.G. Puskás, et al., Synthesis of 2-amino-3-cyano-4Hchromene-4-carboxamide derivatives by an isocyanide-based domino conjugate addition/O-trapping rearrangement sequence, Eur. J. Org. Chem. (2011) 848-851; (j) Q. Ren,W.Y. Siau, Z.Y. Du, K. Zhang, J.Wang, Expeditious assembly of a 2-amino-4H-chromene skeleton by using an enantioselective mannich intramolecular ring cyclization-tautomerization cascade sequence, Chem. Eur. J. 17 (2011) 7781-7785; (k) H. Dou, S. Gao, Z. Fu, S. Liu, Improved synthesis of substituted 2-amino-4Hchromene derivatives catalyzed by anewamino-functionalized basic ionic liquid 1-(2-aminoethyl)-3-methylimidazolium imidazolide, Chin. J. Org. Chem. 31 (2011) 1056-1063; (l) Z.H. Dong, X.H. Liu, J.H. Feng, et al., Efficient asymmetric synthesis of 4Hchromene derivatives through a tandem michael addition-cyclization reaction catalyzed by a salen-cobalt(II) complex, Eur. J. Org. Chem. (2011) 137-142; (m) B. Mohtat, H. Djahaniani, I. Yavari, M.G. Dehbalaei, S.A. Jam, Synthesis of 4Hchromene derivatives by reaction between alkyl isocyanides and dialkyl acetylenedicarboxylate in the presence of 6-hydroxyquinoline, Chin. Chem. Lett. 22 (2011) 771-773. |
| [11] | (a) W.J. Xue, Q. Li, F.F. Gao, et al., Diversity-oriented synthesis of chromenes via metal-free domino reactions from ketones and phenols, ACS Comb. Sci. 14 (2012) 478-483; (b) S.I. Bhat, A.R. Choudhury, D.R. Trivedi, Condensation of malononitrile with salicylaldehydes and o-aminobenzaldehydes revisited: solvent and catalyst free synthesis of 4H-chromenes and quinolines, RSC Adv. 2 (2012) 10556-10563; (c) V.A. Osyanin, D.V. Osipov, Y.N. Klimochkin, Convenient one-step synthesis of 4-unsubstituted 2-amino-4H-chromene-2-carbonitriles and 5-unsubstituted 5Hchromeno[ 2,3-b]pyridine-3-carbonitriles from quaternary ammonium salts, Tetrahedron 68 (2012) 5612-5618; (d) Y. Gao, W. Yang, D.M. Du, Efficient organocatalytic asymmetric synthesis of 2-amino-4H-chromene-3-carbonitrile derivatives, Tetrahed. Asymm. 23 (2012) 339-344; (e) M.G. Dekamin, M. Eslami, A. Maleki, Potassium phthalimide-N-oxyl: a novel, efficient, and simple organocatalyst for the one-pot three-component synthesis of various 2-amino-4H-chromene derivatives in water, Tetrahedron 69 (2013) 1074-1085; (f) J.H. Park, Y.R. Lee, S.H. Kim, A novel synthesis of diverse 2-amino-5-hydroxy-4H-chromene derivatives with a spirooxindole nucleus by Ca(OH)2-mediated three-component reactions of substituted resorcinols with isatins and malononitrile, Tetrahedron 69 (2013) 9682-9689; (g) Y. Gao, D.M. Du, Facile synthesis of chiral 2-amino-4-(indol-3-yl)-4H-chromene derivatives using thiourea as the catalyst, Tetrahed. Asymm. 24 (2013) 1312-1317; (h) S.R. Kale, S.S. Kahandal, A.S. Burange, et al., A benign synthesis of 2-amino-4Hchromene in aqueous medium using hydrotalcite (HT) as a heterogeneous base catalyst, Catal. Sci. Technol. 3 (2013) 2050-2056; (i) G.D. Yin, H.Q. Shi, L.Y. Xu, X.H. Wei, Q. Tao, Selective synthesis of cyanofunctionalized 2-aryl-4H-chromenes and 2-amino-4H-chromene-3-carbonitriles by catalyst-tuned reactions of 2-hydroxychalcones with 2-substituted acetonitriles, Synthesis 45 (2013) 334-340; (j) R.L. Magar, P.B. Thorat, V.B. Jadhav, et al., Silica gel supported polyamine: a versatile catalyst for one pot synthesis of 2-amino-4H-chromene derivatives, J. Mol. Catal. A: Chem. 374-375 (2013) 118-124; (k) S.M. Baghbanian, N. Rezaei, H. Tashakkorian, Nanozeolite clinoptilolite as a highly efficient heterogeneous catalyst for the synthesis of various 2-amino-4H-chromene derivatives in aqueous media, Green Chem. 15 (2013) 3446-3458. |
| [12] | A.G. Myers, A.T. Plowright, Synthesis and evaluation of bishydroquinone derivatives of (-)-saframycinA: identification of a versatile molecular template imparting potent antiproliferative activity, J. Am. Chem. Soc. 123 (2001) 5114-5115. |
| [13] | T.F. Molinski, D.S. Dalisay, S.L. Lievens, J.P. Saludes, Drug development from marine natural products, Nat. Rev. Drug Discov. 8 (2009) 69-85. |
| [14] | (a) Y.C. Wu, M. Liron, J.P. Zhu, Asymmetric total synthesis of (-)-quinocarcin, J. Am. Chem. Soc. 130 (2008) 7148-7152; (b) Y.C. Wu, G. Bernadat, G. Masson, et al., Synthetic studies on (-)-lemonomycin: an efficient asymmetric synthesis of lemonomycinone amide, J. Org. Chem. 74 (2009) 2046-2052; (c) Y.C. Wu, J.P. Zhu, Asymmetrie total syntheses of (-)-renieramycin M and G and (-)-jorumycin using aziridine as a lynchpin, Org. Lett. 11 (2009) 5558-5561. |
| [15] | (a) Y.C. Wu, L. Liu, H.J. Li, et al., Skraup-doebner-von miller quinoline synthesis revisited: reversal of the regiochemistry for γ-aryl-β,γ-unsaturated α-ketoesters, J. Org. Chem. 71 (2006) 6592-6595; (b) Y.C. Wu, Y.J. Chen, H.J. Li, et al., Synthesis of trifluoromethyl-promoted functional pyrazolo[1,5-a]pyrimidine and pyrazolo[5,1-d][1,2,3,5]tetrazine-4(3H)-ones, J. Fluorine Chem. 127 (2006) 409-416; (c) Y.C. Wu, L. Liu, D. Wang, Y.J. Chen, Efficient synthesis of 3-arylaminopyrroline-2-ones by the tandem reaction of anilines and β,γ-unsaturated α-ketoesters, J. Heterocycl. Chem. 43 (2006) 949-955; (d) Y.C. Wu, H.J. Li, L. Liu, et al., Efficient construction of pyrazolo[1,5-a]pyrimidine scaffold and its exploration as a new heterocyclic fluorescent platform, J. Fluoresc. 18 (2008) 357-363; (e) Y.C. Wu, H.J. Li, H.Z. Yang, A sensitive and highly selective fluorescent sensor for In3+, Org. Biomol. Chem. 8 (2010) 3394-3397. |
| [16] | (a) Y.C. Wu, H.J. Li, L. Liu, et al., Cascade reaction of β,γ-unsaturated α-ketoesters with phenols in trityl chloride/TFA system. highly selective synthesis of 4-aryl-2H-chromenes and their applications, Org. Biomol. Chem. 9 (2011) 2868-2877; (b) Y.C. Wu, L. Liu, Y.L. Liu, et al., TFA-mediated tandem Friedel-Crafts alkylation/ cyclization/hydrogen transfer process for the synthesis of flavylium compounds, J. Org. Chem. 72 (2007) 9383-9386; (c) Y.C. Wu, H.J. Li, L. Liu, et al., Facile synthesis of spiropyrans from chromene hemiacetal esters and bifunctional nucleophiles, Synlett (2011) 1573-1578; (d) Y.C. Wu, H.J. Li, L. Liu, et al., Hafnium triflate as an efficient catalyst for direct Friedel-Crafts reactions of chromene hemiacetals, Adv. Synth. Catal. 353 (2011) 907-912. |
| [17] | (a) L. Chen, F. Zhou, T.D. Shi, J. Zhou, Metal-free tandem Friedel-Crafts/lactonization reaction to benzofuranones bearing a quaternary center at C3 position, J. Org. Chem. 77 (2012) 4354-4362; (b) L. Chen, J. Zhou, A highly efficient Friedel-Crafts reaction of tertiary ahydroxyesters or a-hydroxyketones to a-quaternary esters or ketones, Chem. Asian J. 7 (2012) 2510-2515. |
| [18] | (a) Y.K. Liu, J.Q. Qian, S.J. Lou, et al., Gold(III)-catalyzed tandem reaction of ketones with phenols: efficient and highly selective synthesis of functionalized 4H-chromenes, J. Org. Chem. 75 (2010) 1309-1312; (b) H.J. Li, J.L. Wang, R. Wang, et al., Synthetic studies on potent marine drugs: synthesisandthecrystalstructureof6-tert-butyl-4-phenyl-4H-chromene-2-carboxylic acid, J. Chem. (2013), http://dx.doi.org/10.1155/2013/106908, Article ID 106908. |
| [19] | (a) X.S. Wang, C.W. Zheng, S.L. Zhao, et al., Organocatalyzed Friedel-Crafts-type reaction of 2-naphthol with β,γ-unsaturated α-ketoesters to form novel optically active naphthopyran derivatives, Tetrahed. Asymm. 19 (2008) 2699-2704; (b) X. Jiang, L. Wu, Y. Xing, et al., Highly enantioselective Friedel-Crafts alkylation reaction catalyzed by rosin-derived tertiary amine-thiourea: synthesis of modified chromanes with anticancer potency, Chem. Commun. 48 (2012) 446-448. |
| [20] | (a) H. Gaspard-Iloughmane, C.L. Roux, Bismuth(III) triflate in organic synthesis, Eur. J. Org. Chem. (2004) 2517-2532; (b) K. Komeyama, Y. Kouya, Y. Ohama, K. Takaki, Tandem ene-reaction/hydroamination of amino-olefin and-allene compounds catalyzed by Bi(OTf)3, Chem. Commun. 47 (2011) 5031-5033; (c) G. Lemiere, B. Cacciuttolo, E. Belhassen, E. Dunach, Bi(OTf)3-catalyzed cycloisomerization of aryl-allenes, Org. Lett. 14 (2012) 2750-2753; (d) B. Nammalwar, R.A. Bunce, Friedel-Crafts cyclization of tertiary alcohols using bismuth(III) triflate, Tetrahedron Lett. 54 (2013) 4330-4332; (e) F. Wu, V. Mandadapu, A.I. Day, Bi(OTf)3-a mild catalyst for the synthesis of difficultto obtainC-alkylsubstitutedglycolurils, Tetrahedron69(2013)9957-9965. |
| [21] | Y.L. Liu, J. Zhou, Highly enantioselective organocatalytic asymmetric Mukaiyamaaldol reaction of difluoroenoxysilanes with β,γ-unsaturated α-ketoesters, Acta Chim. Sin. 70 (2012) 1451-1456. |


