b School of the Environment, Nanjing University, Nanjing 210046, China
Graphene/polymer nanocomposites have been recognized as a glamorous star in the field of material science to date due to their significantly enhanced mechanical,thermal,and optical properties in comparison to the bulk polymers [1, 2]. Especially,the lower filler contents could produce a dramatic improvement in performance. Interfacial interaction between the graphene and polymer matrix plays a key role in performance enhancement of the composites. So,the distribution of graphene in polymer matrix has to be underlined [1]. However,the pristine graphene nanosheets are unfortunately incompatible with any solvent and organic polymer matrix owing to their strong interlayer cohesive energy and surface inertness [3, 4]. Therefore improving the dispersibility of graphene sheets,which consequently increasing the interfacial interactions between the two species,has become one predominant research topic in this field [1, 5]. GO as a water-soluble graphene derivative could be only dispersed in highly polar solvents [2, 3, 6],and it is thermally unstable. These shortcomings arise from the hydroxyl,epoxide,carbonyl,and carboxylic functional groups on the surface of GO [7]. In order to overcome the two drawbacks mentioned simultaneously,some functionalized graphene nanohybrids based on covalent modification [8, 9, 10, 11] or non-covalent functionalization [12, 13] of GO as precursor have been developed [3, 14, 15].
β-CDs are macrocyclic compounds composed of seven Dglucose units linked together by a-(1,4)-glycosidic bonds. In CDs, each glucopyranose unit contains three free hydroxyl groups, which differ both in their function and reactivity. The reactivity of the primary hydroxyl groups at 6-positions is the highest. However,unmodified or unsubstituted β-CDs have poor water solubility (1.85 g/100 mL at 20℃) and,cyclodextrins,containing peculiar hydrophobic cavum,could form inclusion complexes with various guest molecules. Several CDs functionalized graphene systems have been developed utilizing both noncovalent and covalent approaches recently [11, 13, 16, 17].
Herein,attempting to simulate the surface of GO,we use polyhydroxy CDs to modify GO by the covalent functionalization method at different temperatures. Due to the difference in temperature,the ratio of GO and CDs might directly lead to the variations of dispersibility and thermal stability of the products. Above all,the PVA/GO-CDs nanocomposites could be prepared by a simple solution processing,which exhibit significantly enhanced thermal stability owing to the stronger interfacial interactions. 2. Experimental
Graphite oxide was prepared from natural graphite powder with a particle size of 500 meshes according to a modified Hummers’ method [12, 18, 19]. The typical synthetic route for GO- CDs120 (subscripts 120 represents the reaction temperature) is as follows: to prepare GO nanosheets,200 mg graphite oxide was dispersed in 15 mL of DMF to create an individual GO sheets dispersion system under ultrasonication [5, 20]. After the activation of carboxyl groups located on the edge [3] of GO using SOCl2 [9, 21],the obtained reactive intermediate was mixed with 4 g of CDs dissolved in 22 mL of DMF and refluxed at 120℃ for 2 days. The product (Fig. 1) could be obtained after washing and drying.
To fabricate PVA/GO-CDs120 composite material,the PVA (1750 ± 50,≥99.0%) was first dissolved in 15 mL of DI water at 90℃ to form a transparent solution. 10 mg of GO-CDs120 was dispersed in 5 mL of DI water by sonication. Then,the GO-CDs120 dispersion was added into the PVA solution drop wise and stirred at 90℃ for about 5 h. The dispersion was casted onto clean PTFE plates and dried for film formation.
FT-IR spectroscopy of the hybrid materials were collected on a Nicolet IS-10 FT-IR spectrometer equipped with a Smart OMNI sampler with a high purity Ge crystal and diamond crystal. XRD analyses were performed on a Bruker D8 Advance diffractometer with Cu-Kα radiation. Scanning electron microscope (SEM) images were preformed on a JEOL JSM-6380LV SEM. Thermogravimetric analyses (TGA) were preformed on a Mettler TGA/SDTA851e thermogravimetric analyzer and a NETZSCH Model STA-449C integrative thermal analysis instrument over the temperature range of 50-800℃ at a heating rate of 20℃/min in a dry nitrogen atmosphere. 3. Results and discussion
The grafting of CDs on surfaces of GO is confirmed by FT-IR spectroscopy. Fig. 2A shows the FT-IR spectra of GO,CDs,and GO- CDs in the 650-4000 cm-1 range. The strong peak of GO at 1727 cm-1 is attributed to the C=O stretching band in COOH units situated at edges. The band appearing at 1050 cm-1 is due to C-O in hydroxyl or epoxy groups (COH/COC). The carboxyl functional groups on GO provide the reactive sites,to which the hydroxyl groups at the 6-positions on CDs could be covalently bonded to form esters (Fig. 1). FT-IR absorptions of the CDs at 2927 and 1368 cm-1 are attributable to the -CH2- stretching and -CH- bending vibrations. The absorption bands at 1156 and 1029 cm-1 corresponded to the symmetric stretching of the C-O-C and involved skeletal vibration of the C-O stretching,respectively [11]. After modification,as illustrated in Fig. 2A(c-h),the new band of GO-CDs at 1738 cm-1 assigned to ester carbonyl is observed; besides,the bands of GO-CDs at 1727 cm-1 become much weaker, which demonstrates this reaction is not stoichiometric. The newly emerged three peaks at 2988,2900 and 1156 cm-1 of GO-CDs are related to the attachment of CDs to the GO. In addition,absorptions at 1368 and 1050 cm-1 in GO corresponding to -CH- and C-O-C groups are clearly blue-shifted to 1394 cm-1 and red-shifted to 1043 cm-1,respectively.
|
Download:
|
| Fig. 1.The structure of GO-CDs. | |
We further characterized the crystal structure of GO and GO- CDs by X-ray diffraction,and the XRD spectra are displayed in Fig. 2B. The sharp diffraction peak of pure GO located at 9.58 is corresponded to (0 0 1) reflection,whose layer-to-layer distance (d-spacing) is of approximately 1.72 nm upon the introduction of oxygen-containing functional groups on the graphite sheet surfaces. Compared to GO,any one of the CDs functionalized graphene derivatives appears dissemination at about 24° in the WAXD curve. The broad peaks suggest the samples are in a disordered state and very poorly ordered along the different stacking directions after treatment [9]. The crystalless state of the aggregation differs from GO significantly. The results show GO- CDs could be easily exfoliated to free graphene sheets [22].
|
Download:
|
| Fig. 2.(A) FT-IR spectra of GO,CDs,and GO-CDs hybrid materials. (B) XRD spectra of GO,CDs,and GO-CDs hybrid materials. (C) Photographs of GO and GO-CDs hybrid materials dispersed in water and 14 organic solvents through bath ultrasonication. (a) GO; (b) GO-CDs70; (c) GO-CDs80; (d) GO-CDs90; (e) GO-CDs100; (f) GO-CDs110; (g) GO-CDs120. | |
In Fig. 3,low and high magnification SEM images of GO (a-c), GO-CDs70 (d-f),GO-CDs90 (g-i),GO-CDs100 (j-l) and GO-CDs120 (m-o) as typical examples are compared. The morphologies reveal that the large two-dimensional GO with layered-structures exhibits face-to-face stacking of sheets. The close interlayer spacing is mainly due to the strong Van der Waals forces between the layers [23]. After functionalization,the stacking of every layer of GO-CDs is as a whole much more desultory,which would be conductive to their dispersion in solvents. This phenomenon is consistent with the results of XRD demonstrated above.
|
Download:
|
| Fig. 3.Low and high magnification SEM images of GO (a- c),GO-CDs70 (d-f),GO-CDs90(g-i),GO-CDs100 (j-l),and GO-CDs120 (m-o) as typical examples. | |
The solubility of functionalized graphene sheets in solvents is one of the most important characteristics in order to increase the compatibility with polymers [2]. Approximately 1.5 mg of GO-CDs nanomaterial is added to 1.5 mL of solvent to evaluate the dispersibility of the modified GO derivatives. This way,the obtained nominal concentration is adjusted to 1 mg/mL for all cases. Photographs of GO and GO-CDs hybrid materials dispersed in water and 14 organic solvents through bath ultrasonication have been shown in Fig. 2C. More interestingly,though water solubility of CDs is relative poor,the presence of CDs changes the polarity of GO,the dispersibility of modified GO differs from that of pure GO dramatically. As expected,the modified derivatives could not only disperse in water and polar solvents,but in some common nonpolar and aprotic ones. In addition,the GO-CDs nanosheets sink to the bottom after a period of time,it could be re-dispersible in the solvents readily by simply turning the vials up and down several times. The enhanced dispersion properties of modified GO might be owing to the formations of hydrogen bonds,dipolar interactions,or host-guest recognition between the GO-CDs,and solvent molecules. The property makes it possible to fabricate the nanocompostites based on the polymer with different polarity. Enhancement of interfacial interactions of composites would directly result in high performance applications. According to the analysis of FT-IR,XRD,SEM,and dispersibility,these results could consistently confirm the success of this chemical functionalization.
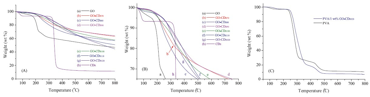
The thermal decomposition behaviors of the GO-CDs and one PVA-based nanocomposite as a typical example are shown in Fig. 4. Aftermodification,the degrees of substitution of CDs onGO-CDs are approximately 5.9,7.6,7.5,7.9,8.1,and 9.9%,respectively,from 70℃ to 120℃ by analyzingthe TGAcurves. It canbe seenthat all the GO-CDs have excellent thermal stability,and the thermal stability of the corresponding nanocomposites after filling with as little as 1 wt. % of the hybrid is higher than that of the pure polymer. Specifically, an about 30% of large weight loss with an onset temperature at 220℃ could be observed for GO,which can be due to the removal of water molecules absorbed and the oxygen-contained functional groups on GO. In contrast,there is nearly no weight loss before 220℃ for GO-CDs,suggesting the introduction of CDs significantly elevates the thermal stability ofGO-CDs due to the strong inter- and intra-molecular interactions [9].
|
Download:
|
| Fig. 4.(A and B) TGA curves of GO,CDs,and GO-CDs hybrid materials. (C) TGA curves of PVA,PVA/1 wt.% GO-CDs100,and PVA/1 wt.% GO-CDs120 composite materials. | |
As for PVA/GO-CDs120 nanocomposites,the incorporation of GO-CDs induces thermal stabilization,the temperature of the maximum degradation rate for the nanocomposites is about 10 ~ 30℃ higher than that of pure PVA. This phenomenon is attributed to the formation of stable hydrogen bonds between PVA and the fillers,which improves the thermal stability of PVA [24]. These experiments suggest the potential applications of GO-CDs/ polymer nanocomposites as industrial flame retardants. 4. Conclusion
In conclusion,covalent modification of CDs onto the surface of graphene oxide nanosheets has been successfully performed by a facile coupling technique. GO is only hydrophilic,while GO-CDs could be dispersed in both water and several common organic solvents including polar and nonpolar ones. Moreover,the products obtained demonstrate significantly enhanced thermal stability in comparison to GO. Functionalized graphene could effectively strengthen the performance of composites with a loading as low as 1 wt.%. The increased thermal stability of the PVA matrix might result from the interactions between polymer and GO-CDs. It must be pointed out that the study of underlining mechanisms would be a focus in further work. Acknowledgments
Bin Liu,Cheng-Yin Li and Wei Chen contributed equally to this work. Dong-Ting Yao and Rong-Bing Yu contributed equally to this work. This investigation was supported by China Postdoctoral Science Foundation Funded Project (No. 20100481146),Jiangsu Planned Projects for Postdoctoral Research Funds (No. 1002015C), Natural Science Foundation of Jiangsu Province (No. BK2011712, BK20130575),National University Student Innovation Program (No. 201210288036) and NJUST Opening Measuring Fund of Large Precious Apparatus (No. 2012-01-15).
| [1] | T. Kuilla, S. Bhadra, D.H. Yao, et al., Recent advances in graphene based polymer composites, Prog. Polym. Sci. 35 (2010) 1350-1375. |
| [2] | H. Kim, A.A. Abdala, C.W. Macosko, Graphene/polymer nanocomposites, Macromolecules 43 (2010) 6515-6530. |
| [3] | D.R. Dreyer, S. Park, C.W. Bielawski, R.S. Ruoff, The chemistry of graphene oxide, Chem. Soc. Rev. 39 (2010) 228-240. |
| [4] | T. Kuila, S. Bose, C.E. Hong, et al., Preparation of functionalized graphene/linear low density polyethylene composites by a solution mixing method, Carbon 49 (2011) 1033-1037. |
| [5] | X. Zhao, Q.H. Zhang, D.J. Chen, et al., Enhanced mechanical properties of graphenebased poly(vinyl alcohol) composites, Macromolecules 43 (2010) 2357-2363. |
| [6] | J.I. Paredes, S. Villar-Rodil, A. Marti′nez-Alonso, J.M.D. Tasco′ n, Graphene oxide dispersions in organic solvents, Langmuir 24 (2008) 10560-10564. |
| [7] | W. Cai, R.D. Piner, F.J. Stadermann, et al., Synthesis and solid-state NMR structural characterization of 13C-labeled graphite oxide, Science 321 (2008) 1815-1817. |
| [8] | Y.S. Feng, J.J.Ma, X.Y. Lin, et al.,Covalent functionalizationof graphene oxideby 9-(4- aminophenyl)acridine and its derivatives, Chin. Chem. Lett. 23 (2012) 1411-1414. |
| [9] | S.P. Zhang, P. Xiong, X.J. Yang, et al., Novel PEG functionalized graphene nanosheets: enhancement of dispersibility and thermal stability, Nanoscale 3 (2011) 2169-2174. |
| [10] | S.P. Zhang, H.O. Song, Preparation of dispersible graphene oxide as a filler to increase the thermal stability of a flame retarding polymer, New Carbon Mater. 28 (2013) 61-65. |
| [11] | S.P. Zhang, H.O. Song, Preparation of β-cyclodextrin functionalized graphene and enhancement of the thermal stability, Chem. J. Chin. Univ. 33 (2012) 1214-1219. |
| [12] | S.P. Zhang, H.O. Song, Supramolecular graphene oxide-alkylamine hybrid materials: variation of dispersibility and improvement of thermal stability, New J. Chem. 36 (2012) 1733. |
| [13] | S.P. Zhang, H.O. Song, Preparation and characterization of graphene oxide/bcyclodextrin supramolecular hybrid material, J. Inorg. Mater. 27 (2012) 596-602. |
| [14] | S.P. Zhang, H.O. Song, Q.L. Qian, D.T. Yao, J.M. Han, Covalent modification strategies for enhancing of dispersibility and thermal stability of the functionalized graphene, Chemistry 76 (2013) 506-511. |
| [15] | V. Georgakilas, M. Otyepka, A.B. Bourlinos, et al., Functionalization of graphene: covalent and non-covalent approaches, derivatives and applications, Chem. Rev. 112 (2012) 6156-6214. |
| [16] | J.H. Liu, G.S. Chen, M. Jiang, Supramolecular hybrid hydrogels from noncovalently functionalized graphene with block copolymers, Macromolecules 44 (2011) 7682-7691. |
| [17] | Y. Yang, Y.M. Zhang, Y. Chen, et al., Construction of a graphene oxide based noncovalent multiple nanosupramolecular assembly as a scaffold for drug delivery, Chem. Eur. J. 18 (2012) 4208-4215. |
| [18] | W.S. Hummers Jr., R.E. Offeman, Preparation of graphitic oxide, J. Am. Chem. Soc. 80 (1958) 1339. |
| [19] | N.I. Kovtyukhova, P.J. Ollivier, B.R. Martin, et al., Layer-by-layer assembly of ultrathin composite films from micron-sized graphite oxide sheets and polycations, Chem. Mater. 11 (1999) 771-778. |
| [20] | S. Stankovich, D.A. Dikin, R.D. Piner, et al., Synthesis of graphene-based nanosheets via chemical reduction of exfoliated graphite oxide, Carbon 45 (2007) 1558-1565. |
| [21] | S. Niyogi, E. Bekyarova, M.E. Itkis, et al., Solution properties of graphite and graphene, J. Am. Chem. Soc. 128 (2006) 7720-7721. |
| [22] | C. Nethravathiand, M. Rajamathi, Chemically modified graphene sheets produced by the solvothermal reduction of colloidal dispersions of graphite oxide, Carbon 46 (2008) 1994-1998. |
| [23] | Y.W. Cao, J.C. Feng, P.Y. Wu, Alkyl-functionalized graphene nanosheets with improved lipophilicity, Carbon 48 (2010) 1683-1685. |
| [24] | X.M. Yang, L. Li, S.M. Shang, X.M. Tao, Synthesis and characterization of layeraligned poly(vinyl alcohol)/graphene nanocomposites, Polymer 51 (2010) 3431- 3435. |

