气象站探测环境的长期稳定及不受干扰是保证观测资料质量的前提和基础。然而,随着城镇化的快速发展,气象站探测环境改变在所难免。大量研究结果表明:探测环境变化对气象要素影响非常明显[1-12]。世界气象组织(WMO)指出,观测环境变化造成的误差通常大于仪器测量误差,可能完全淹没真实信息,致使观测资料不能客观、全面反映天气、气候变化特征,造成错误结论[13-15]。2009年《国家级地面气象观测站网评估报告》中明确指出,现阶段我国气象探测环境恶化的问题普遍存在,很多气象站对自然下垫面的代表性不足,观测资料空间代表性具有很强的多样性特征。因此,针对气象站空间代表性问题,有必要建立一套科学、合理的等级评估方法[16-17]。
现阶段,对观测环境进行等级划分的方法主要包括实地勘察法、人口指标法、卫星遥感法3类。实地勘察法即观测环境综合调查评估方法,该类方法作为一项行业规范已在业务上广泛使用[18-20]。勘察内容主要包括地面站基本情况、观测场四周土地使用情况、可视范围内障碍物等。实地勘察法主要从探测环境的技术要求层面进行评估,多用于观测场地的建设初期,判定观测场的建设是否合乎规范。然而实地勘察工作耗时耗力,且准确性及时效性略差。此外,研究者还利用气象站周边人口数量评估气象站等级。如Karl等[21]以人口数作为衡量标准,将美国1219个气象站划分为郊区站、较小城市站、小城市站、中等城市站、大城市站5类。周雅清等[22]根据人口资料将华北地区282个气象站分为乡村站、小城市站、中等城市站、大城市站和特大城市站5类。然而实地勘察法仅考虑了人为活动对观测资料的影响,局限性较强。
随遥感技术的快速发展,利用卫星资料对观测环境进行评估成为一种新兴的方法。王圆圆等[23]利用MODIS地温反演产品和实测地温值的距平值作为度量标准,评估我国142个基准气候站的环境代表性,结果显示:约41%的气象站代表性较好且分布于北方地区,21%代表性较差且多分布于南方。但评估方法并未讨论观测环境状况。另外,陈飞霖等[24]、王一姝等[25]利用Google Earth软件中的高分辨率遥感图像评估探测环境,这一方法较实地勘察法有了较大进步,但人眼观察法主要依赖于感官,不够精确,不能定量描述气象站周边环境,在应用中也很难建立一套行之有效的评价标准。因此,杨元建等[26]利用气象站周边2 km缓冲区内的土地利用类型和数字高程资料对观测环境进行评估,表明利用卫星资料对观测环境代表性进行调查与评估可行,而且具有可视化、重塑性等优越性。文中讨论了土地利用类型对气温观测值的影响,对定量观测环境也有简单描述。O’Neil等[27]指出可以用景观指标参数对探测环境进行详细描述,这些参数能够定量反映下垫面的结构组成和空间支配特征。Ren等[28]利用景观指标对城市植被配置进行分析,获取了城市植被分布和地表温度的关系,效果较为明显。
本文将在前人工作基础上,以北京18个国家级地面气象观测站为研究对象(3个作为参考站,15个作为评估对象),在观测环境的定量描述中引入景观指标参数,结合土地利用类型资料、建筑物高度资料、天空开阔度因子等空间结构信息,分析气象站环境进行三维结构和气象站的空间代表性,深入讨论这些参数对各个气象要素的影响程度。在此基础上,归纳出一套针对探测环境进行等级划分的评估方法——景观指标评估法,将气象站分类,得到气象站资料的有效影响范围。
1 资料与方法 1.1 资料 1.1.1 地面气象观测资料本文所用气象资料为1990年、1994年、2000年、2005年、2011年、2013年北京18个国家级地面气象观测站(以下简称气象站)观测的气温、相对湿度、气压、风向、风速及降水量。根据地面气象观测资料三级质量控制业务系统中的检查方法[29-31],结合研究区域内气象站分布情况,对其进行了连续性检验、极值检验和邻近站点比较3个步骤的质量控制,将检验过程中遇到的非连续数据、奇异值进行剔除。
1.1.2 卫星资料遥感数据为1990年6月14日、1994年6月9日、2000年8月20日、2005年7月25日、2011年7月26日及2013年7月31日Landsat5/TM土地利用类型,水平分辨率为25 m×25 m。为了消除大气对于遥感影像造成的影响,利用6S辐射传输模型对土地利用类型资料进行大气校正,得到6个多光谱波段的地表反射率。此外,还根据地形图对该影像进行几何精校正,转换为UTM投影,校正的整体误差控制在0.5个像元以内。并在此基础上,将北京范围内的土地使用类型划分为6种:林地、水体、城镇用地、农田、裸地和绿地。
1.1.3 数字高程资料文中采用建筑物高度为2009年普查结果,水平分辨率为5 m×5 m,但范围仅限于北京城区五环以内。在此基础上,计算了天空开阔度因子(sky view factor,SVF)[32],该参数值越大对辐射、温度、风向、风速的影响越大。建筑物高度参数也有这一作用,故本文选为描述观测环境的影响因素。
1.2 方法讨论观测环境对气象资料的代表性、准确性、可比较性的影响,首先需要对气象站周边复杂的观测环境进行科学、合理、定量的描述。但现有研究中,对探测环境特征的描述多用文字进行抽象概括,且有一定主观性。本文利用高分辨率卫星遥感资料、数字高程资料,获取气象站周边土地利用类型分布、建筑物高度、天空开阔度因子等景观指标参数对探测环境进行数字化描述。
1.2.1 土地利用类型资料获取土地利用类型资料可反映下垫面的覆盖特征,多年资料对比能够给出研究区域内地表环境的变化情况。由1990年、2013年北京土地利用类型分布(图略)可见,多年来北京城镇用地面积的扩张最为明显,所占比例由1990年的4.54%,增加到2013年的16.58%,增幅近3倍。城镇用地的巨幅增长,必然带来气象站周围探测环境的大幅度变化。因此,北京市是研究气象站代表性变化的示范区域。
1.2.2 景观指标参数的计算为了定量化、多角度描述观测环境的空间结构特征,本文选用8个景观指标参数[33]。
① 斑块数(NP):表征整个研究区域中的拼块总数,斑块数越大,表示研究区域内各种景观类型越多。
② 最大斑块指数(LPI):表征研究区域内的优势土地类型,其值越大,该类型斑块在整体景观中优势越明显,还可以反映人类活动的方向和强弱。包括最大斑块指数和最大斑块占城镇面积比例。
③ 平均分维数(FRAC_MN):表征斑块形状的指数,通常范围为1~2,分维数越大表示斑块的形状越复杂,斑块分布越离散。分维数取1时,表示斑块为正方形;分维数取2时,表示斑块的周长十分复杂,能够遍历整个平面。
④ 蔓延度指数(CONTAG):表征研究区域内不同拼块类型的团聚程度,高值表示某种优势拼块类型形成了良好的连接性。蔓延度会受到斑块类型离散状况和间断分布状况的影响。理论上,蔓延度指标值较小时,表明景观中存在许多小斑块;趋于100时,表明景观中有连通度极高的优势斑块类型存在。
⑤ 聚集度(AI):表征同一类型斑块的团聚程度,反映一定数量的要素在景观中的相互分散性。当该斑块类型聚集成一个紧实的整体时,AI取值为100。
⑥ 平均邻近指数(MPI):表征景观破碎程度的指标,其值越小表示同类型拼块离散程度大,景观破碎程度高,其值越大表示景观连接性好。
⑦ 景观丰度(PR):景观中所有斑块类型的总数,表征土地利用类型的丰富程度。
⑧ 斑块类型面积(CA):景观中某一斑块类型的面积,包括水体面积、城镇面积等。
1.3 缓冲区大小选择由于观测仪器架设高度不同,采样时间不同,导致各气象要素的代表范围也有所差异。本文以1.5 m气温和10 m高度风为例,估算资料代表范围。
在平坦、均匀下垫面,百叶箱内气温的变化主要以湍流输送为主。以北京通州站为例,夏季平均风速为1.3 m·s-1,仪器架设高度为1.5 m,根据印痕分析理论[34]计算得到主要影响范围(90%的影响区域)均分布在气象站950 m范围之内。10 m高度平均风向、风速的测量则以平流输送为主。同样以通州站为例,2013年夏季,10 min平均风速低于8 m· s-1的风出现频率为99.9%,即10 min之内,能够影响观测值气块的最远距离为4800 m。
因此,在湍流和平流输送作用下,对于中小尺度,能够影响观测资料的最大影响范围通常不会超过5 km,即以气象站为中心5 km缓冲区即为影响资料质量的重点区域。本文提取了北京市18个气象站的主要影响区域,并在此基础上计算了不同年代土地利用类型资料和景观指标参数。
1.4 通州站景观指标参数计算个例以观测环境变化较快的通州站为例,由不同年份土地利用类型分布(图 1)和表 1可见,1990—2013年通州站周边城市用地面积的变化最为明显,由1990年的24.79%增长至2013年的70.80%,扩张面积有两倍之多。裸地面积则由最初的43.53%下降至2013年的4.90%。在此期间,农田和水体面积有较大幅度下降,而绿地面积表现为增长趋势。
|
|
| 图1 1990年(a)和2013年(b)通州站5 km缓冲区内土地利用类型分布 Fig.1 Distribution of land use types in 5 km buffer zone of Tongzhou Station in 1990 and 2013 | |
|
|
表 1 通州站(5 km缓冲区)景观指标参数 Table 1 Landscape indicator parameters at Tongzhou Station (5 km buffer) |
计算得到的景观指标参数也有明显变化。如斑块数由1990年的967降至2013年的616,表明观测区域内的斑块数有明显减少。最大斑块指数从1990年的12.02逐年增加到2013年的63.61,反映了该区域城市化作用尤为明显。平均分维数则从1.0597降低到1.0525,表明研究区域内的斑块形状趋于简单。蔓延度指数由1990年的37.81增加到2013年的62.00表明该区域内城镇用地形成了良好的连接性。景观丰度指数表征该区域内6种土地利用类型(林地、水体、裸地、农田、绿地和城镇用地)。在1990年由于林地和绿地面积较少未被检测出,故为4;2013年未检测出林地,则为5;其余年份均为6。聚集度指数的逐年增加表明通州区域城镇面积的团聚程度越来越明显。平均邻近指数近20年的变化表现为1990年的260.25增加到2013年的1066.72,表明区域内斑块的连接性越来越好。
上述指标参数可以将气象站周边环境很好地利用数字呈现,即将抽象笼统的环境配置情况由数字清晰具体描述,将有利于对气象站周边环境评估。
2 结果与分析通过土地利用类型、景观指标、建筑物高度、天空可视因子等参数能够对气象站周边环境进行定量、全面的数字化描述。但如果这些参数的变化对气象要素毫无影响,则这些参数也无意义[26]。本文以北京18个气象站为研究对象(3个作为参考站,15个作为评估对象),利用1993—2013年观测景观指标参数变化对气象要素的影响,讨论这些参数有效性并对其进行筛选。
2.1 景观指标参数与气温相关分析气温观测值不仅受局地观测环境影响,同时也受气候变化影响。为了消除这一影响,本文参照WMO确定全球气候观测系统(GCOS)陆地表面站网(GSN)的原则和思路以及中国气象局要求参考站选择标准[35-38],选取了3个高山站为气候背景站:佛爷顶站、霞云岭站和上甸子站。这3个气象站分别位于北京的西北、西南及东北方位,20多年来观测环境的变化可忽略不计。利用每个气象站1990,1994,2000,2005,2011,2013年气温平均值作为基准值,利用各年的气温减去平均值得到3个站1990—2013年夏季(7—8月)平均气温距平,3个站距平值变化趋势较为一致,仅变化幅度有所差别。因此,这3个站的气温变化能够代表该区域气候变化特征。
将各气象站气温与3个气候背景站的平均气温相减,并将其与各站景观指标参数进行相关分析,即可对现有指标参数的优劣进行筛选。同样以通州站为例,图 2为6个观测景观指标参数与气温差值的拟合结果(达到0.05显著性水平)。由图 2可见,与气温值拟合最好的是城镇面积,相关系数可达0.93。此外,蔓延度指数、最大斑块指数、平均邻近指数与气温呈很好的正相关关系,相关系数超过0.86。而平均分维数和水体面积与气温值呈负相关,相关系数分别为-0.86和-0.85,表明研究区域中斑块形状越复杂、水体越多,气象站气温值越低。
|
|
| 图2 通州站气温差值与6个景观指标参数拟合 Fig.2 Relation between temperature difference and six observation landscape indicator parameters at Tongzhou Station | |
表 2为各气象站气温差与景观指标参数达到0.05显著性水平的相关分析结果。由表 2可见,不同气象站景观指标参数对气温差的影响有较大差异。如顺义站气温观测值仅对平均分维数的变化有响应,而通州站则对大多数景观指标均比较敏感。总体而言,在众多景观指标参数中,平均邻近指数、景观丰度、聚集度与气温差相关较弱,即只有2个气象站的相关性达到0.05显著性水平(表略)。而水体面积、城镇面积、蔓延度指数、平均分维数、最大斑块指数与最大斑块占城镇面积比例和气温相关关系较强,即多数气象站对这些指标比较敏感。其中,气温值对城镇面积变化的响应最为显著,15个统计气象站中,6个气象站的相关系数均在0.90以上。这一结果表明:随着气象站周边城镇面积的增加,缓冲区内下垫面热容量、导热率及人为热排放都会增长,气温的升高也成为必然。此外,气温值变化对蔓延度指数的响应也较为显著,5个气象站的相关系数都在0.83以上。表明城镇面积的连续性越好,越聚集,对气温的影响效果越显著。
|
|
表 2 15个气象站景观指标参数与气温差相关分析 Table 2 Correlations between landscape indicator parameters and temperature difference at 15 stations |
在这些指标中,水体面积、平均分维数和气温差表现为负相关。表明在水体的热力属性作用下,气象站气温值会随缓冲区内水体面积的增加而降低。平均分维数统计结果表明:当下垫面较为单一,面积较大且形状整齐时,对气温影响最为显著。
2.2 景观指标参数与绝对湿度相关分析由于相对湿度受气温影响较大,为了在分析中只考虑水汽条件与景观指标参数变化的关系,本文将相对湿度换算为绝对湿度即水汽密度(单位:g·m-3)。绝对湿度与景观指标参数达到0.05显著性水平的相关统计结果如表 3所示。由表 3可见,最大斑块指数、城镇面积、最大斑块占城镇面积比例、水体面积、蔓延度指数以及聚集度指数与绝对湿度的相关较强。其中,聚集度指数、蔓延度指数较为显著,15个气象站中,分别有5个气象站的统计结果达到0.05显著性水平。最大斑块指数、城镇面积、最大斑块占景观面积比例、蔓延度指数以及聚集度指数和绝对湿度表现为负相关。而水体面积与绝对湿度表现为正相关,表明气象站周边水体面积越大测得的绝对湿度值越大。
|
|
表 3 15个气象站景观指标参数与绝对湿度相关分析 Table 3 Correlations of landscape indicator parameters to humidity at 15 stations |
2.3 景观指标参数与风速相关分析
影响风速测量结果因素较多,如天气系统、气象站海拔高度、地形等。因此,本文采用小风占比,即小风(0.5~2 m·s-1)频数占总频数的百分比,作为统计对象。
表 4为小风占比与景观指标参数达到0.05显著性水平相关统计。由表 4可见,在5 km缓冲区的情况下,最大斑块占景观面积比例、城镇面积、最大斑块占城镇面积与小风占比相关较强;且呈明显正相关,这表明气象站测得的小风占比随这3个参数的增加而增加。
|
|
表 4 15个气象站景观指标参数与小风占比相关分析 Table 4 Correlations of landscape indicator parameters to the ratio of low wind at 15 stations |
但水体面积、蔓延度指数、景观丰度等参数与小风占比相关分析中出现正负不一致的统计结果,即这3个参数对小风占比影响有较大随机性,其影响机制仍需进一步讨论。
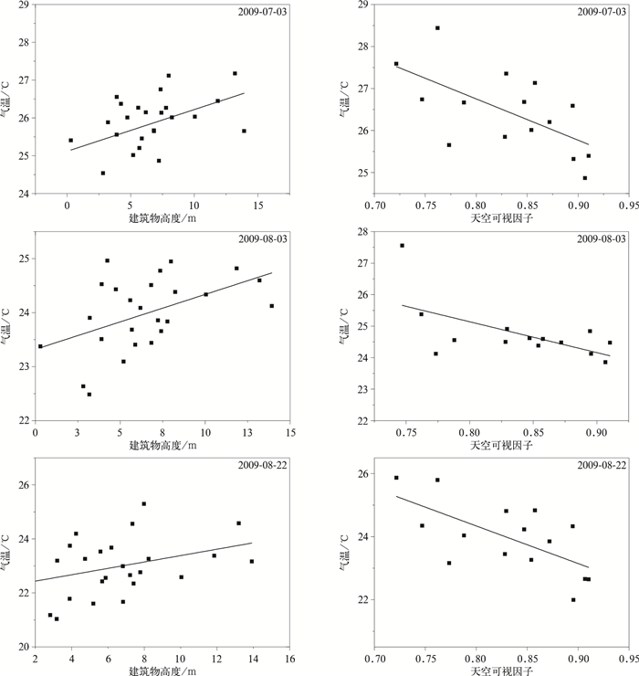
2.4 建筑高度、天空可视因子与气象要素相关分析由于资料限制,建筑高度和天空可视因子资料仅为2009年,无法通过年际变化讨论这两个因子对气象要素的影响,只能从空间变化上进行分析。此外,由于建筑高度信息和天空可视因子涵盖区域面积较小,若以5 km为缓冲区则气象站间的重合面积太大,统计误差将增大。故本节以2 km为缓冲区对气象站周边的建筑高度、天空可视因子与气象观测值进行统计,其中建筑高度和天空可视因子各有25个和15个统计结果。气象资料为北京五环内对应气象站2009年7月3日、8月3日、8月22日3个晴天个例。
图 3为建筑高度、天空可视因子与气温达到0.05显著性水平相关分析。由图 3可知,2009年7月3日、8月3日和8月22日建筑物高度与气温相关系数分别为0.45,0.48,0.36,且图中数据点分布较为散乱,表明建筑物高度对气温影响较为复杂,非单纯的线性关系。由图 3还可知,天空可视因子与气温则呈明显的负相关关系,7月3日、8月3日和8月22日相关系数分别是-0.63,-0.60,-0.65。
|
|
| 图3 2009年7月3日、8月3日、8月22日晴天条件下,建筑物高度、天空可视因子与气温拟合结果 Fig.3 The fitting of building height, sky view factor to temperature in clear sky on 3 Jul, 3 Aug and 22 Aug in 2009 | |
统计建筑高度、天空可视因子与绝对湿度的相关分析发现,建筑物高度与绝对湿度的相关系数分别为-0.51,-0.50,-0.37,达到0.05显著性水平。天空可视因子与绝对湿度的相关系数分别为0.62,0.66,0.74,均达到0.05显著性水平。可以看出,天空可视因子对绝对湿度的影响更强。
由建筑高度、天空可视因子与小风占比的相关分析可知,二者与小风占比相关关系较差(与建筑高度相关系数为0.157,0.089,-0.044;与天空可视因子相关系数为0.206,-0.153,0.197),相关系数有正有负,且均未达到0.05显著性水平。这是因为建筑高度、天空可视因子对风速的影响为较小尺度下[39],即这两种景观指标参数的大范围统计结果无法描述对小风的影响过程。此外,由于风向的随时转变,不同风向条件下,源区域内二者的差异对风的影响也非常明显[40]。因此,以大范围建筑高度、天空可视因子评估气象站小风出现的概率并不适合。
3 景观指标参数选取及评估方法设定 3.1 景观指标参数选取由以上分析可见,并非所有景观指标参数和气象要素都有很好的响应关系。为了对这些参数进行筛选,本文将景观指标参数和各要素相关分析中达到0.05显著性水平的气象站数量定义为响应强度。当响应强度超过3个气象站时,表明该指标对气象要素的影响较为明显,可认定为有效参数。以相关系数0.60为参考标准,大于0.60则相关性强,建筑物高度与气温变化达到0.05显著性水平,相关系数大于0.60的气象站有5个,则权重为5。
表 5表明与气温响应关系较好的景观指标参数有7个,分别为城镇面积、水体面积、最大斑块指数、与最大斑块占城镇面积比例、蔓延度指数、平均分维数和天空可视因子。与绝对湿度响应关系较好的景观指标参数主要有城镇面积、水体面积、最大斑块指数、最大斑块占城镇面积比例、蔓延度指数、聚集度指数和天空可视因子。与小风占比响应关系较好的景观指标参数仅有水体面积、最大斑块指数和最大斑块占城镇面积比例。
|
|
表 5 影响气温、绝对湿度、小风占比的景观指标参数响应强度 Table 5 The response intensity of landscape indicator parameters affecting temperature, humidity and small wind frequency |
为了定量化描述各景观指标参数对气象要素的影响程度,本文提出了一种评估算法。即以各指标的响应强度占总响应强度的比例作为各指标的影响权重;以各参数与气象要素的相关性的正负作为该参数的影响方向,正则相加,负则相减;最后以各景观指标之和为该要素的评价因子。各气象要素的计算公式如下:
|
(1) |
|
(2) |
|
(3) |
以温、湿、风的环境影响因子各占1/3为比例权重,则总体影响因子则可表示为
|
(4) |
其中,TEF为气温的环境影响因子,量纲为1,表示环境对气温的影响程度;Atown为城市面积;Awater为水体面积;ILPI为最大斑块指数;ILPI为最大斑块占城镇面积比例;ICONTAG为蔓延度指数;MFRA_MN为平均分维数;FSVF为天空开阔度;HEF为绝对湿度的环境影响因子;WEF为风速的环境影响因子;AEF为观测环境总体影响因子。
景观指标评估方法从观测环境结构配置出发,以0~100对气象站的代表性进行评估,0代表理想状况,表明气象站的空间代表性最好,为典型的自然下垫面;100表征气象站代表性最差,观测资料可能受气象站周边城镇用地影响较为严重。值得注意的是,实际环境配置中,接近0或者接近100的情况较难出现。
本文根据评估结果将观测环境对观测资料的影响分为6种:影响程度很小(郊区站),0~25;影响程度小(近郊站),26~35;影响程度中等(小城市站),36~45;影响程度大(中等城市站),46~55;影响程度很大(大城市站),56~75;影响程度最大(特大城市站),76~100。
3.2 评估方法对比与应用表 6为本文对北京地区15个气象站,观测环境对观测资料影响程度评估结果及与其他3种方法的对比。
|
|
表 6 4种方法评估北京15个气象站观测环境对观测资料影响 Table 6 The environment impact on observations of 15 stations in Beijing by four assessment methods |
在景观指标评估法中,观测环境对资料影响程度最小的气象站为怀柔站,评估得分为21.52,其次是房山站(28.72)、昌平站(29.71)、密云站(30.82)、平谷站(33.22)和延庆站(33.45),影响程度最大为丰台站(63.64)、朝阳站(61.09)。将本文研究方法与其他3种评估方法进行对比分析,其中人口数量划分法[22]的结果表明:15个气象站中,人为活动对观测资料的影响程度, 怀柔站和北京市观象台较小,昌平站、海淀站、通州站、大兴站、朝阳站和丰台站较大。卫星图像评估法[25]通过Google Earth软件对气象站周边土地使用情况进行调查,结果显示:房山站等气象站周边环境对观测资料的影响程度较为明显,石景山站的影响程度则最小。卫星资料评估法[26]利用气象站周边2 km内的土地利用类型和数字高程资料评估周边环境对观测资料的影响程度,结果显示:对怀柔站影响程度较小,房山站、石景山站次之,大兴站、丰台站等气象站最大。对比发现,本文方法得出结论和人口数量划分法、卫星资料评估法类似,怀柔站周边环境对观测资料的影响程度最小,而丰台站的影响程度最大。
以丰台站为例,由不同的评估方法(表 6)可见,丰台站的观测资料受到周边环境影响很大。人口数量划分法[22]利用气象站所在地的人口数量为主要依据对其进行了分级,通过查阅2010年的《中国乡、镇、街道人口资料》得到丰台地区人口数为2112162人,按照人口分级标准被分为特大城市站,人为活动对观测资料的影响程度很大。卫星图像评估法[25]应用Google Earth软件调查气象站周边土地使用情况时,选择表示气象站近处环境范围的距离为0~500 m,距离500~2000 m的范围为远处环境。丰台站的近处和远处几乎被住宅用地包围,不能较好地反映该地区较大范围的气象要素特点,受到观测环境的影响程度很大。卫星资料评估法[26]选择3个要素:水体、植被(林地、农田、未应用土地)和城镇每个要素所占百分比进行评估,若城镇所占比例越大,则对气象站的影响越大。丰台的城镇面积占比达到81.14%,说明城市化对丰台站观测资料的影响程度极大。本文运用式(4)计算丰台站的评估得分为63.64,表示丰台周边环境对观测资料的影响程度很大。综上可见,上述4种评估方法在人口密集的丰台站得出了相同结论。
本文所用方法综合考虑了以上3种方法的优点,如城镇面积在式(4)中的使用可大致获取该范围的人口数量,即与人口数量划分法所采用的评估方法类似。此外,本文方法在卫星图像评估法、卫星资料评估法的基础上,不仅将每种土地利用类型数字化精确呈现,还考虑景观指标参数对观测资料的影响,既对气象探测环境的结构配置信息进行了定量描述,又考虑了其与气象要素之间的关系,归纳总结出一套评价标准,并给出明确的计算公式,使气象站探测环境影响程度评估更加明确易行。
4 小结利用卫星遥感资料、数字高程资料获取的景观指标参数能够很好地对气象站周围环境配置的三维立体分布信息以数字化方式呈现,研究表明:
1) 景观指标参数与气象要素相关分析表明:对气温变化影响较大的参数包括城镇面积、水体面积、最大斑块指数、最大斑块占城镇面积比例、蔓延度指数、平均分维数和天空可视因子。
2) 对绝对湿度影响较大的景观指标参数包括城镇面积、水体面积、最大斑块指数、最大斑块占城镇面积比例、蔓延度指数、聚集度指数和天空可视因子。
3) 与小风占比响应关系较好的景观指标参数仅为水体面积、最大斑块指数和最大斑块占城镇面积比例。
4) 利用景观指标评估法以北京市15个气象站为例,将气象站划分为6种类型,其中环境对观测资料影响程度最小的站为怀柔站, 环境影响最大的站为丰台站、朝阳站。
| [1] |
李欣, 金莲姬, 郭建侠. 浅谈探测环境对气象要素测量值的影响. 安徽农业科学, 2011, 39(27): 17105-17108. DOI:10.3969/j.issn.0517-6611.2011.27.230 |
| [2] |
李欣, 郭建侠, 金莲姬. 黄淮海平原地区中尺度环境对气温观测的影响. 应用气象学报, 2011, 22(6): 740-746. DOI:10.3969/j.issn.1001-7313.2011.06.012 |
| [3] |
邵全琴, 孙朝阳, 刘继远, 等. 中国城市扩展对气温观测的影响及其高估程度. 地理学报, 2009, 64(11): 1292-1302. |
| [4] |
杨元建, 石涛, 唐为安, 等. 气象台站环境的卫星遥感调查与评估——以安徽代表气象站为例. 遥感技术与应用, 2011, 26(6): 791-797. |
| [5] |
徐祥德. 城市化环境大气污染模型动力学问题. 应用气象学报, 2002, 13(增刊Ⅰ): 1-12. |
| [6] |
刘学锋, 江滢, 任国玉, 等. 河北城市化和观测环境改变对地面风速观测资料序列的影响. 高原气象, 2009, 28(2): 433-439. |
| [7] |
陈贵川, 卞林根, 李平, 等. 国家气候观象台建设观测环境问题. 气象科技, 2008, 36(2): 244-248. DOI:10.3969/j.issn.1671-6345.2008.02.025 |
| [8] |
王超球. 广西地面观测场四周障碍物影响分析. 气象研究与应用, 2002, 23(3): 52-54. DOI:10.3969/j.issn.1673-8411.2002.03.018 |
| [9] |
陈元, 周国华. 观测环境对气温变化的影响. 气象, 1992, 18(12): 27-28. DOI:10.7519/j.issn.1000-0526.1992.12.007 |
| [10] |
任国玉, 张爱英, 初子莹, 等. 我国地面气温参考站点遴选的依据、原则和方法. 气象科技, 2010, 38(1): 78-85. DOI:10.3969/j.issn.1671-6345.2010.01.015 |
| [11] |
杨礼林, 蒋冬雁. 观测环境城市化对风的影响. 企业科技与发展, 2009(18): 310-311. DOI:10.3969/j.issn.1674-0688.2009.18.116 |
| [12] |
刘卫平, 魏文寿, 王晓梅, 等. 北疆气象探测环境的变化对气温序列的影响. 沙漠与绿洲气象, 2012, 6(5): 1-6. DOI:10.3969/j.issn.1002-0799.2012.05.002 |
| [13] |
WMO Guide To Meteorological Instruments and Methods of Observation.2008: 172-173.
|
| [14] |
Meier F, Fenner D, Grassmann T, et al. Crowdsourcing air temperature from citizen weather stations for urban climate research. Urban Climate, 2017, 19: 170-191. DOI:10.1016/j.uclim.2017.01.006 |
| [15] |
Gallo K P. Evaluation of temperature differences for paired stations of the US Climate Reference Network. J Climate, 2010, 18(18): 1629-1636. |
| [16] |
刘小宁, 张洪政, 李庆祥. 不同方法计算的气温平均值差异分析. 应用气象学报, 2005, 16(3): 345-356. DOI:10.3969/j.issn.1001-7313.2005.03.008 |
| [17] |
温华洋, 徐光清, 张虎, 等. 双套自动气象站数据评估及其优势探讨. 应用气象学报, 2012, 23(6): 748-754. DOI:10.3969/j.issn.1001-7313.2012.06.012 |
| [18] |
中国气象局. 气象台站观测环境综合调查评估方法. 北京: 气象出版社, 2007.
|
| [19] |
中国气象局. 国家级地面气象观测站和高空气象观测站探测环境调查评估方法. 北京: 气象出版社, 2013.
|
| [20] |
李铁, 邹立尧, 国世友. 东北地区低温气象资料数据集及其质量控制. 应用气象学报, 2004, 15(增刊Ⅰ): 164-167. |
| [21] |
Karl T R, Williams C N J, Young P J, et al. A model to estimate the time of observation bias associated with monthly mean maximum, minimum and mean temperatures for the United States. J Applied Meteor, 1986, 25: 145-160. DOI:10.1175/1520-0450(1986)025<0145:AMTETT>2.0.CO;2 |
| [22] |
周雅清, 任国玉. 华北地区地表气温观测中城镇化影响的检测和订正. 气候与环境研究, 2005, 10(4): 743-753. |
| [23] |
王圆圆, 李贵才, 张艳. 利用MODIS/LST产品分析基准气候站环境代表性. 应用气象学报, 2011, 22(2): 214-220. DOI:10.3969/j.issn.1001-7313.2011.02.010 |
| [24] |
陈飞霖, 阮翠冰. 利用Google earth软件进行气象台站观测环境调查评估. 气象水文海洋仪器, 2009, 26(4): 166-168. DOI:10.3969/j.issn.1006-009X.2009.04.048 |
| [25] |
王一姝, 高晓东. 利用Google earth调查气象台站环境. 气象与环境科学, 2009, 32(1): 88-90. DOI:10.3969/j.issn.1673-7148.2009.01.019 |
| [26] |
杨元建, 汪腊宝, 黄勇, 等. 城市化进程对气象探测环境代表性的影响:以寿县国家气候观象台为例. 气象科技, 2017, 45(1): 7-13. |
| [27] |
O'Neill R V, Hunsaker C T, Jones K B, et al. Monitoring environmental quality at the landscape scale. Bioscience, 1997, 47(8): 513-519. DOI:10.2307/1313119 |
| [28] |
Ren Z, Zheng H, He X, et al. Estimation of the relationship between urban vegetation configuration and land surface temperature with remote sensing. J Indian Soc Remote Sens, 2015, 43(1): 89-100. DOI:10.1007/s12524-014-0373-9 |
| [29] |
蓝盈, 郑有飞, 段长春, 等. 云南省自动气象站土壤湿度数据质量控制. 应用气象学报, 2016, 27(2): 230-238. |
| [30] |
窦以文, 屈玉贵, 陶士伟, 等. 北京自动气象站实时数据质量控制应用. 气象, 2008, 34(8): 77-81. |
| [31] |
樊风, 段玮, 杨家康. 云南土壤湿度长期变化的初步研究. 应用气象学报, 2015, 26(4): 409-421. |
| [32] |
刘勇洪, 房小怡, 栾庆祖. 基于卫星数据与GIS技术的北京地区粗糙度长度估算研究. 高原气象, 2016, 35(6): 1625-1638. |
| [33] |
邬建国. 景观生态学——格局、过程、尺度与等级. 北京:高等教育出版社, 2000, 107-115. |
| [34] |
蔡旭晖. 湍流微气象观测的印痕分析方法及其应用拓展. 大气科学, 2008, 32(1): 123-132. |
| [35] |
Kaspar F, Hannak L, Schreiber K J. Climate reference stations in Germany:Status, parallel measurements and homogeneity of temperature time series. Adv Sci Res, 2016, 13: 163-171. DOI:10.5194/asr-13-163-2016 |
| [36] |
张爱英. 国家基本基准站地面气温序列中城市化影响的检测与订正. 北京: 中国气象科学研究院, 2009.
|
| [37] |
周晓倩, 李又君, 李雪源, 等. 气象台站迁址历史观测资料三性分析. 中国农学通报, 2015, 31(8): 223-228. |
| [38] |
杨萍, 刘伟东, 仲跻芹, 等. 北京地区自动气象站气温观测资料的质量评估. 应用气象学报, 2011, 22(6): 706-715. DOI:10.3969/j.issn.1001-7313.2011.06.008 |
| [39] |
Yang Y J, Wu B W, Shi C E, et al. Impacts of urbanization and station-relocation on surface air temperature series in Anhui Province, China. Pure & Applied Geophysics, 2013, 170(11): 1969-1983. |
| [40] |
高志球, 王介民, 马耀明, 等. 不同下垫面的粗糙度和中性曳力系数研究. 高原气象, 2000, 19(1): 17-24. DOI:10.3321/j.issn:1000-0534.2000.01.003 |
2019, 30 (1): 117-128



