2. 南京信息工程大学, 南京 210044
2. Nanjing University of Information Science & Technology, Nanjing 210044
常规高空气象探测(简称探空)的准确性对于天气预报[1-2]、气候诊断预测[3-7]、大气环境监测[8]及气象灾害预警等具有重要意义,具有对其他数据进行评估校准的作用,如评估再分析数据在青藏高原的适用性[9-10],可作为风廓线雷达、GNSS/MET观测等遥感设备的相对参考标准[11-14],还可以评估卫星数据反演的温湿廓线的真实性[15-19]。因此,探空准确性一直是国内外学者关注的重点,其评估方法也多种多样[20-21],其中,采用数值模式产品作为背景场对观测数据的监视评估也是一种较为广泛的方法[22-25]。
国内外学者曾从不同角度使用不同方法对不同地区对NCEP/NCAR再分析数据的可信度进行评估[26-29],结果表明其质量逐年提高。田笑等[30]利用NCEP/NCAR再分析数据和日本JRA再分析数据与探空高度对比后,认为NCEP再分析数据相对JRA具有更高的可信度。中国气象局自主研发的数值预报系统的全球模式系统(GRAPES_GFS)和区域模式系统(GRAPES_Meso)已在国家和区域业务中心实现业务化运行。佟铃等[31]以欧洲中期天气预报中心的ERA-interim再分析数据为参考,评估认为GRAPES_GFS的位势高度数据具有较高的可信度。
目前,已有的研究对于探空的评估过程相对比较简单,仅从观测余差、平均偏差和标准差3个方面评估,缺乏更全面深入的探讨,同时未通过统计参数确定定量的评估标准;且大多未能根据评估结果再次进行质量标识。而这些都是数据应用中尤其值得关注和研究的重点。由于NCEP FNL和GRAPES_GFS具有较高的可信度,本文采用这两种数据作为背景场评估北京站的探空高度,同时比较不同背景场的评估效果,根据评估结果进行质量标识,并进一步分析质量标识结果。
1 数据与方法本试验评估选取典型的北京探空站(区站号54511)L波段秒级探空位势高度(简称探空高度),时间段为2016年7月1日—2017年6月30日,分为春、夏、秋、冬4个季节。根据背景场具有的等压面(NCEP FNL 1~1000 hPa有31个规定等压面,GRAPES_GFS 10~1000 hPa有30个规定等压面,因此,在分析量程时设定为10~1000 hPa)10~1000 hPa提取探空资料中相应等压面的高度,最后按照00:00(世界时,下同)和12:00进行误差分析。首先求出每个时刻等压面探空高度观测余差,然后获得4个季节的平均偏差、标准偏差,再得到概率密度分布及偏度系数、峰度系数,进一步获取相关系数和均方根误差,最后从多个角度分析探空高度的误差分布特征。
根据数学统计检验中正态分布的相关规律和定义,试验中将选择观测余差的平均偏差和标准偏差作为判断观测数据是否存在问题的依据,其中平均偏差加减2倍标准偏差作为单一时刻探空高度可疑点的阈值,观测余差在此范围内的数据标识为正确;平均偏差加减3倍标准偏差作为单个时刻探空高度错误点的阈值,观测余差在这个范围外的数据标识为错误;观测余差在可疑点阈值和错误点阈值之间的数据认为可疑。再根据错误点阈值处理每个时刻探空高度的错误值,此次试验采取的处理方法是将错误值剔除,可疑值根据相关系数和均方根误差等参数综合判断划归为正确值或错识值,再进行保留或剔除处理。通过上述方法,实现对探空高度的质量标识,并再次求解各参数,以评估分析质量标识效果。
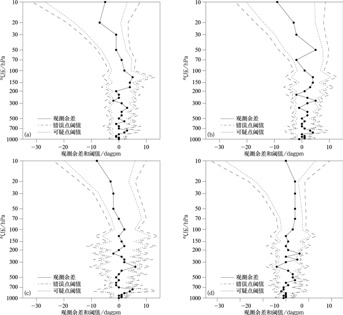
2 试验结果 2.1 不同观测时刻的观测余差选取典型时刻代表全年的情况,NCEP FNL位势高度和探空高度趋势基本保持一致(图略)。由图 1a可知,观测余差整体上在±5 dagpm以内,观测余差的绝对值随气压减小而增大;100 hPa以下的观测余差基本在±3 dagpm以内;100 hPa以上的观测余差多超过±3 dagpm,但绝大部分为负值,即探空高度低于NCEP FNL的位势高度。夏季探空高度错误点和可疑点的阈值整体上随气压减小逐渐增大,在该趋势下呈小幅波动,其中30~300 hPa的阈值较为平滑,其余等压面的阈值波动较多。图 1b~图 1d分别代表秋、冬、春季的情况,由图 1可知这3季的探空高度特点和夏季基本相似,且冬季的探空高度相比另外3个季节一致性更佳。
|
|
| 图1 NCEP FNL位势高度和探空高度00:00观测余差及错误点阈值、可疑点阈值 (a)2016年7月15日,(b)2016年10月15日,(c)2017年1月15日,(d)2017年4月15日 Fig.1 The residuals error, wrong value profiles and suspicious value profiles of geopotential height between NCEP FNL and the sounding at 0000 UTC (a)15 Jul 2016, (b)15 Oct 2016, (c)15 Jan 2017, (d)15 Apr 2017 | |
进行相同时刻的探空高度和GRAPES_GFS位势高度一致性分析。由图 2a~图 2d可知,两者的一致性基本保持一致,但相对于NCEP FNL而言,其观测余差相对较小,一年中其他时刻的观测余差情况也类似。整体而言,10~100 hPa GRAPES_GFS评估优于NCEP FNL。12:00的探空高度质量与此类似(图略)。
|
|
| 图2 GRAPES_GFS位势高度和探空高度00:00观测余差及错误点阈值、可疑点阈值 (a)2016年7月15日,(b)2016年10月15日,(c)2017年1月15日,(d)2017年4月15日 Fig.2 The residuals error, wrong value profiles and suspicious value profiles of geopotential height between GRAPES_GFS and the sounding at 0000 UTC (a)15 Jul 2016, (b)15 Oct 2016, (c)15 Jan 2017, (d)15 Apr 2017 | |
综合1年中所有时刻探空高度的观测余差分析,无论以NCEP FNL还是以GRAPES_GFS为背景场,都发现阈值存在同样特点,即从低层到高层逐渐增大,整个过程存在小的波动。由此发现,由2倍标准偏差选择的可疑点和由3倍标准偏差选择的错误点是基于背景场误差特征下,具有自适应的特点,而不是固定阈值;说明其综合考虑了每个季节内误差特征,不是单纯地将偏差大的点作为错误点,而是基于综合的选择,从而准确地确定错误点和可疑点。
2.2 不同季节探空高度质量特征由不同季节基于NCEP FNL的00:00探空高度平均偏差(图 3a)可知,不同季节00:00平均偏差100 hPa以下在±2 dagpm以内,100 hPa以上平均偏差为-24~-2 dagpm,随气压减小由正偏差向负偏差过渡,气压越低,偏差越大,探空高度远小于NCEP FNL的位势高度;其中低层不同季节平均偏差基本一致,平均偏差廓线重合,高层春季的平均偏差绝对值相对较小。由不同季节基于NCEP FNL的00:00探空高度标准偏差(图 3b)可知,300 hPa以下标准偏差多为0~6 dagpm,300 hPa以上随气压减小而增大,最大增加至18 dagpm。不同季节标准偏差基本一致,春季标准偏差在高层波动较大。基于NCEP FNL的观测余差在低层较小且相对集中,数据质量较高;高层平均偏差较大且分散,数据质量较差。
|
|
| 图3 不同季节00:00探空高度平均偏差和标准偏差 (a)基于NCEP FNL的平均偏差,(b)基于NCEP FNL的标准偏差,(c)基于GRAPES_GFS的平均偏差,(d)基于GRAPES_GFS的标准偏差 Fig.3 The average deviation and the standard deviation of sounding height in different seasons at 0000 UTC (a)average deviation based on NCEP FNL, (b)standard deviation based on NCEP FNL, (c)average deviation based on GRAPES_GFS, (d)standard deviation based on GRAPES_GFS | |
由不同季节基于GRAPES_GFS的探空高度平均偏差(图 3c)可知,30 hPa以下平均偏差在±2 dagpm以内,30 hPa以上为-12~-2 dagpm,10~1000 hPa趋势与基于NCEP FNL的平均偏差一致,但偏差数值小于基于NCEP FNL的,在10~30 hPa尤为明显。春、秋、冬3个季节平均偏差基本一致,平均偏差廓线重合,夏季平均偏差绝对值相对较大。由基于GRAPES_GFS的探空高度的标准偏差(图 3d)可知,不同季节标准偏差基本集中于0~6 dagpm;20 hPa以上等压面的标准偏差随气压减小快速增加,最大增加至10 dagpm左右;不同季节标准偏差均随气压减小而呈增加趋势,但相对基于NCEP FNL的标准偏差偏小;不同季节标准偏差特征基本一致。基于GRAPES_GFS的探空高度偏差特征和基于NCEP FNL的相同,但在10~30 hPa范围内偏差较小。12:00的探空高度数据质量(图略)与此类似。
利用概率密度分布(PDF)及峰度系数、偏度系数分别描述基于NCEP FNL和GRAPES_GFS的探空高度观测余差的分布特点。偏度系数和峰度系数分别用来描述概率密度分布偏离对称性程度的特征数和度量位势高度数据在概率密度分布中心聚集程度的特征数,根据正态分布,两者的最优值分别是0和3,为了便于评估峰度系数,计算过程中减去3,因此,最优值皆为0。分析基于NCEP FNL的不同季节500 hPa(其余等压面图略)的概率密度分布(图 4a~图 4d)发现,500 hPa的观测余差基本集中于-2.5~4 dagpm,极少的观测余差超过这个范围,其中负偏差较多,正偏差略少。整体上,春季的观测余差最集中,其次是夏、秋季,冬季分布相对分散。
|
|
| 图4 基于NCEP FNL不同季节500 hPa 00:00探空高度观测余差的概率密度分布 (a)春季,(b)夏季,(c)秋季,(d)冬季,(e)偏度系数,(f)峰度系数 Fig.4 The probability density distribution of 500 hPa sounding height deviation based on NCEP FNL at 0000 UTC (a)spring, (b)summer, (c)autumn, (d)winter, (e)kurtosis coefficient, (f)skewness coefficient | |
评估基于NCEP FNL的不同季节各等压面00:00概率密度分布相对应的峰度系数和偏度系数(图 4e和4f)发现,四季的偏度系数基本集中在±2以内,春季波动最大,夏、秋、冬季波动较小,主要集中在±1以内;峰度系数基本集中在0~6,秋季波动最大,春、夏、冬季波动较小。
基于GRAPES_GFS的不同季节500 hPa(其余等压面图略)的概率密度分布以及整层大气各等压面的偏度系数、峰度系数见图 5。由图 5a~5d发现,该等压面的观测余差主要集中在-2.5~4 dagpm,极少超过这个范围,特征与基于NCEP FNL的观测余差比较一致,但基于GRAPES_GFS的观测余差正偏差较多;不同季节中夏季的观测余差最集中,其余3个季节相对分散。由图 5e和图 5f可知,发现偏度系数和峰度系数的特征与基于NCEP FNL的基本一致。
|
|
| 图5 基于GRAPES_GFS不同季节500 hPa 00:00探空高度观测余差的概率密度分布 (a)春季,(b)夏季,(c)秋季,(d)冬季,(e)偏度系数,(f)峰度系数 Fig.5 The probability density distribution of 500 hPa sounding height deviation based on GRAPES_GFS at 0000 UTC (a)spring, (b)summer, (c)autumn, (d)winter, (e)kurtosis coefficient, (f)skewness coefficient | |
以NCEP FNL和GRAPES_GFS为背景场分别计算偏度系数和峰度系数,按照超过阈值的占比为5%,确定基于NCEP FNL的偏度系数阈值为±1,峰度系数阈值为±3;确定基于GRAPES_GFS的偏度系数阈值为±1,峰度系数阈值为±3.5。如果超过该范围,认为该层数据存在问题,需要考虑剔除这一层的可疑点。评估表明GRAPES_GFS的略差,即峰度系数阈值稍大。
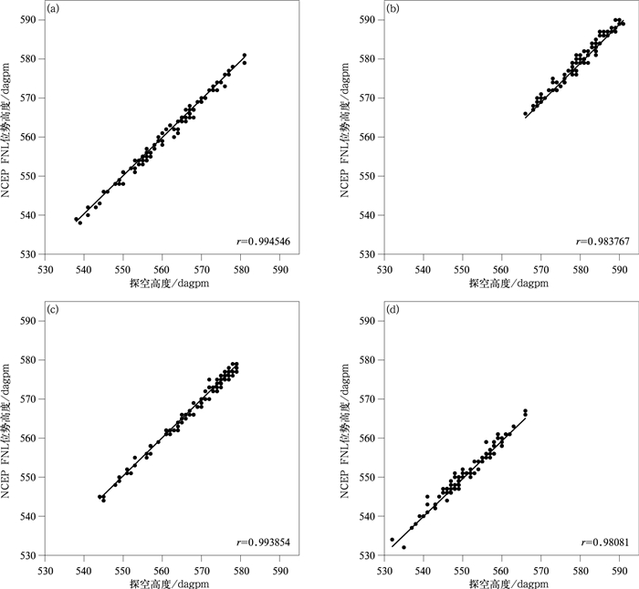
以NCEP FNL和GRAPES_GFS为背景场,分别评估其位势高度与探空高度的相关系数(r)。由基于NCEP FNL的散点分布(图 6a~图 6d)可知,不同季节背景场位势高度和探空高度的变化趋势一致,其中,春季一致性更高,其余3个季节较低。分析不同季节各等压面相关系数可知,探空高度和背景场位势高度的相关系数很高,多为0.97以上。
|
|
| 图6 基于NCEP FNL不同季节00:00 500 hPa位势高度散点分布 (a)春季,(b)夏季,(c)秋季,(d)冬季 Fig.6 The geopotential height scatter diagram of 500 hPa based on NCEP FNL in different seasons at 0000 UTC (a)spring, (b)summer, (c)autumn, (d)winter | |
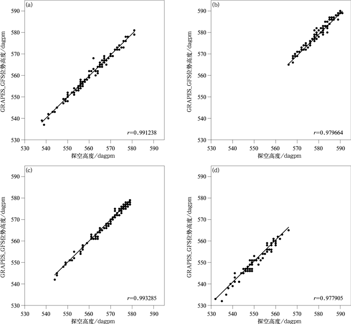
由GRAPES_GFS位势高度和探空高度的散点分布(图 7a~图 7d)可知,在500 hPa结果和基于NCEP FNL的分析结论一致。分析所有等压面的相关系数得出结论,探空高度和背景场位势高度的相关性较高,多超过0.95。比较两个背景场的评估结果,发现两者基本一致,GRAPES_GFS的相关系数略低于NCEP FNL。按照超过阈值的相关系数占所有的相关系数5%,确定基于NCEP FNL的相关系数阈值为0.95,基于GRAPES_GFS的相关系数阈值为0.94,若出现小于阈值的相关系数,认为该层数据存在问题,需要考虑对这一层的可疑点进行处理。
|
|
| 图7 基于GRAPES_GFS不同季节00:00 500 hPa位势高度散点分布 (a)春季,(b)夏季,(c)秋季,(d)冬季 Fig.7 The geopotential height scatter diagram of 500 hPa based on GRAPES_GFS in different seasons at 0000 UTC (a)spring, (b)summer, (c)autumn, (d)winter | |
均方根误差可以用来衡量每层等压面中观测偏离背景场的程度,可以评估探空高度与背景场位势高度的一致性。均方根误差越小,说明探空越靠近背景场。表 1为基于NCEP FNL的各等压面00:00和12:00均方根误差,这里仅展示1000, 925, 850, 700, 500 hPa。由表 1可知,天气预报中经常考虑的几个等压面的均方根误差多约为1 dagpm,说明位势高度一致性较高,考虑所有等压面的均方根误差,发现各个等压面的均方根误差多小于2 dagpm。
|
|
表 1 基于NCEP FNL的探空高度均方根误差(单位:dagpm) Table 1 Root mean square error of sounding height based on NCEP FNL(unit:dagpm) |
表 2是基于GRAPES_GFS的几个等压面均方根误差,均约为1 dagpm。若考虑所有等压面的均方根误差,则发现各个等压面的均方根误差多小于2.5 dagpm。经过统计后,按照超过阈值的均方根误差占全部均方根误差的5%,确定基于NCEP FNL的均方根误差的阈值为2 dagpm,基于GRAP- ES_GFS的均方根误差的阈值为2.5 dagpm,阈值范围内认为数据一致性较高,超过阈值认为该层数据存在问题,需要考虑对该层的可疑点进行剔除。
|
|
表 2 基于GRAPES_GFS的探空高度均方根误差(单位:dagpm) Table 2 Root mean square error of sounding height based on GRAPES_GFS(unit:dagpm) |
以上所有季节统计参数选定的阈值均根据超过阈值的参数占5%确定,其中,以NCEP FNL为背景场统计样本,由一年365 d,每日2个时次,每次31个等压面的位势高度计算季节参数,共248个样本。以GRAPES_GFS为背景场,由一年365 d,每日2个时次,每次30个等压面的位势高度计算的季节参数,共240个样本。综合所有季节参数,比较两个背景场的评估,发现除平均偏差和标准偏差以外,高层明显表现出GRAPES_GFS的评估优于NCEP FNL,其余参数表现基本一致,差异较小。
2.3 质量标识后探空高度分析基于不同背景场对探空高度的质量评估后进行质量标识。首先是错误点的质量标识,根据错误点的阈值剔除每个时刻探空高度的错误点;其次是可疑点的质量标识,根据上述过程中提到的各参数阈值对可疑点进行处理,若存在所有的参数都认为是可疑点,则将该等压面的可疑点剔除;若只是个别参数认为该等压面可疑,则该等压面的可疑点保留。质量标识后,重新计算各季节参数,评估分析质量标识效果。参数以00:00的平均偏差和标准偏差为例进行分析。
2.3.1 单一个例质量分析经过质量标识之后,评估单一个例的偏差分布,分析质量标识效果(图 8)。由图 8可知,经过质量标识,无论是基于NCEP FNL还是基于GRAPES_GFS,偏差范围缩小,质量提高。其中以GRAPES_GFS为背景场的观测余差,在低层与基于NCEP FNL的观测余差基本一致,高层较小,但是否所有时刻都具有这样的特点需要对季节参数进行分析;相比剔除前,基于NCEP FNL的观测余差随气压减小呈负增长,而基于GRAPES_GFS的观测余差除10月15日外,已基本消失。以2017年1月15日为例详细分析单一时刻探空高度,首先前面提到的错误点已被完全剔除,其次可疑点经过季节参数的排查部分保留了下来,整体上质量得到提高。同时,两个背景场都存在偏差超过4 dagpm的点,这些偏差是某些小尺度系统造成的,这些系统在模式中容易被忽略。说明该质量处理方法是确定真正的错误点并进行剔除,并不是单纯剔除偏差较大值。
|
|
| 图8 质量标识后00:00探空高度观测余差分布 (a)基于NCEP FNL,(b)基于GRAPES_GFS Fig.8 Deviation distribution of sounding height after quality mark at 0000 UTC (a)based on NCEP FNL, (b)based on GRAPES_GFS | |
2.3.2 质量标识后季节参数
分析质量标识后基于NCEP FNL的平均偏差(图 9a)和标准偏差(图 9b)可知,经过质量标识后,100 hPa以下不同季节平均偏差仍然在±2 dagpm以内,100 hPa以上为-20~-2 dagpm,随气压减小呈由正偏差向负偏差过渡,气压越低,偏差越大,即探空高度小于NCEP FNL的位势高度;不同季节平均偏差廓线趋势一致,差异较小。质量标识处理整体上对于低层没有效果,对高层效果明显,对季节性误差有正效果。0~3 dagpm的标准偏差所在等压面范围增大;标准偏差变化趋势不变,但最大值减小,季节性差异变小。整体而言,探空高度质量得到提升,同时平均偏差和标准偏差廓线随高度的变化虽有所减小但趋势依然存在,表明探空数据的特征仍然存在,这种方法能有效地针对气压差异和季节差异对数据进行处理。
|
|
| 图9 质量标识后不同季节探空高度平均偏差和标准偏差 (a)基于NCEP FNL的平均偏差,(b)基于NCEP FNL的标准偏差,(c)基于GRAPES_GFS的平均偏差,(d)基于GRAPES_GFS的标准偏差 Fig.9 The average deviation and the standard deviation of sounding height after the quality mark in different seasons (a)average deviation based on NCEP FNL, (b)standard deviation based on NCEP FNL, (c)average deviation based on GRAPES_GFS, (d)standard deviation based on GRAPES_GFS | |
由质量标识后以GRAPES_GFS为背景场的平均偏差(图 9c)和标准偏差(图 9d)可知,与基于NC-EP FNL的平均偏差和标准偏差相同,两者范围减小,同时平均偏差和标准偏差廓线随高度的变化趋势虽有所减小但依然存在,表明探空高度的特征仍然存在,该方法有效地针对气压差异和季节差异对数据进行处理。10 hPa附近,经过质量标识后的GRAPES_GFS的评估仍然优于NCEP FNL。
无论以NCEP FNL还是以GRAPES_GFS为背景场,针对气压差异和季节性差异的探空高度质量均得到提升,同时基本保留了数据本身的特征。这说明试验采取的质量标识方法不是单纯剔除与背景场差值大的数据,而是由基于背景场误差特征、自适应确定的阈值灵活地寻找真正的错误点而进行处理。经过质量标识后的概率密度分布、峰度系数、偏度系数、相关系数和均方根误差也能得出这个结论。
3 结论本文以NCEP FNL和GRAPES_GFS为背景场对北京探空站1年的探空高度从观测余差、平均偏差、标准偏差、概率密度分布、峰度系数、偏度系数、相关系数和均方根误差进行分析,得出以下结论:
1) 由观测余差可知,无论是基于NCEP FNL还是基于GRAPES_GFS,探空高度的误差基本在±5 dagpm以内,观测余差的绝对值随气压减小而增大,100 hPa以下的观测余差多为±3 dagpm;100 hPa以上大部分观测余差为负。
2) 从平均偏差、标准偏差、概率密度分布、峰度系数、偏度系数、相关系数和均方根误差等评估不同季节误差特点和分布特征,显示探空高度质量较好,每个参数都接近其最佳状态。除10~30 hPa,平均偏差和标准偏差均明显表现为GRAPES_GFS的评估优于NCEP FNL,其余参数两者表现基本一致。
3) 根据数学统计上正态分布的特征,选择平均偏差加减2倍标准偏差作为单一时刻探空高度可疑点的阈值,观测余差在可疑点阈值范围外,且在错误点的阈值范围内的数据认为可疑;平均偏差加减3倍标准偏差作为单一时刻探空高度错误点的阈值,观测余差在错误点阈值范围外的数据认为错误。这个选择不仅具有数学意义,而且质量标识后各参数特征均显示出该阈值是基于观测余差的误差特征,具有自适应特征,能够寻找出真正的错误点进行处理。
致谢: 感谢国家气象中心提供GRAPES_GFS预报数据和NCEP FNL分析数据,感谢国家气象中心王金成高级工程师在数据分析方面给予的帮助。
| [1] |
Posada R, Garcia-Ortega E, Sanchez J L, et al. Verification of the MM5 model using radiosonde data from Madrid-Barajas Airport. Atmos Res, 2013, 122: 174-182. DOI:10.1016/j.atmosres.2012.10.018 |
| [2] |
王英, 熊安元. L波段探空仪器换型对高空湿度资料的影响. 应用气象学报, 2015, 26(1): 76-86. |
| [3] |
Dai A G, Wang J H, Thorne P W, et al. A new approach to homogenize daily radiosonde humidity data. J Climate, 2011, 24(4): 965-991. DOI:10.1175/2010JCLI3816.1 |
| [4] |
李伟, 张春晖, 孟昭林, 等. L波段气象探测网运行监控系统设计. 应用气象学报, 2010, 21(1): 115-120. DOI:10.3969/j.issn.1001-7313.2010.01.016 |
| [5] |
李伟, 赵培涛, 郭启云, 等. 国产GPS探空仪国际比对试验结果. 应用气象学报, 2011, 22(4): 453-462. DOI:10.3969/j.issn.1001-7313.2011.04.008 |
| [6] |
郭启云, 李伟. L波段雷达探空系统气压测量值与气压反算气压值的误差分析. 气象水文海洋仪器, 2013, 3(1): 9-13. DOI:10.3969/j.issn.1006-009X.2013.01.003 |
| [7] |
刘超, 花丛, 张恒德, 等. L波段探空雷达秒数据在污染天气边界层分析中的应用. 气象, 2017, 43(5): 591-597. |
| [8] |
李刚, 谭言科, 李崇银, 等. 近30年北半球冬季臭氧总量分布特征及其与平流层温度的关系. 地球物理学报, 2015, 58(5): 1475-1491. |
| [9] |
周顺武, 张人禾. 青藏高原地区上空NCEP/NCAR再分析温度和位势高度资料与观测资料的比较分析. 气候与环境研究, 2009, 14(2): 284-292. |
| [10] |
胡梦玲, 游庆龙, 林厚博. 青藏高原地区多套位势高度和风场再分析资料的对比分析. 冰川冻土, 2015, 37(5): 1229-1244. |
| [11] |
蔡兆男, 王永, Liu Xiong, 等. 利用探空资料验证COME卫星臭氧数据. 应用气象学报, 2009, 20(3): 337-345. DOI:10.3969/j.issn.1001-7313.2009.03.010 |
| [12] |
彭艳秋, 王卫国, 刘煜, 等. 利用不同资料研究我国大陆上空柱水汽含量. 应用气象学报, 2012, 23(1): 59-68. DOI:10.3969/j.issn.1001-7313.2012.01.007 |
| [13] |
吴蕾, 陈洪滨, 康雪. 风廓线雷达与L波段雷达探空测风对比分析. 气象科技, 2014, 42(2): 225-230. DOI:10.3969/j.issn.1671-6345.2014.02.008 |
| [14] |
赵静, 曹晓钟, 代桃高, 等. 毫米波云雷达与探空测云数据对比分析. 气象, 2017, 43(1): 101-107. DOI:10.3969/j.issn.1673-503X.2017.01.014 |
| [15] |
朱元竞, 李万彪, 陈勇. GMS-5估计可降水量的研究. 应用气象学报, 1998, 9(1): 8-14. |
| [16] |
孙学金, 赵世军, 余鹏. GPS掩星切点水平漂移规律的数值研究. 应用气象学报, 2004, 15(2): 174-180. DOI:10.3969/j.issn.1001-7313.2004.02.005 |
| [17] |
杜明斌, 杨引明, 丁金. COSMIC反演精度和有关特性的检验. 应用气象学报, 2009, 29(5): 586-593. DOI:10.3969/j.issn.1001-7313.2009.05.010 |
| [18] |
王洪, 曹云昌, 肖稳安. COSMIC掩星数据与L波段探空数据的对比分析. 气象, 2010, 36(9): 14-20. |
| [19] |
徐桂荣, 乐新安, 张文刚, 等. COSMIC掩星资料反演青藏高原大气廓线与探空观测的对比分析. 暴雨灾害, 2016, 35(4): 315-325. DOI:10.3969/j.issn.1004-9045.2016.04.003 |
| [20] |
马颖, 姚雯, 黄炳勋. 59型与L波段探空仪温度和位势高度记录对比. 应用气象学报, 2010, 21(2): 214-220. DOI:10.3969/j.issn.1001-7313.2010.02.011 |
| [21] |
赵世军, 苏小勇, 高太长. RS92探空仪温压湿测量性能分析. 气象科技, 2012, 40(1): 31-34. |
| [22] |
陶士伟, 张跃堂, 陈卫红, 等. 全球观测资料质量监视评估. 气象, 2006, 32(6): 53-58. |
| [23] |
马颖, 姚雯, 黄炳勋. 用初估场对比中芬探空仪温度和位势高度记录. 应用气象学报, 2011, 22(3): 336-345. DOI:10.3969/j.issn.1001-7313.2011.03.010 |
| [24] |
姚雯, 马颖, 王战, 等. 用数值预报场间接对比新疆两种型号探空系统. 应用气象学报, 2012, 23(2): 159-166. DOI:10.3969/j.issn.1001-7313.2012.02.004 |
| [25] |
陈哲, 杨溯, 刘靓珂. 1979-2012年中国探空相对湿度资料的非均一性检验与订正. 气象, 2015, 41(11): 1374-1382. DOI:10.7519/j.issn.1000-0526.2015.11.007 |
| [26] |
苏志侠, 吕世华, 罗四维. 美国NCEP/NCAR全球再分析资料及其初步分析. 高原气象, 1999, 18(2): 209-218. DOI:10.3321/j.issn:1000-0534.1999.02.010 |
| [27] |
徐影, 丁一汇, 赵宗慈. 美国NCEP/NCAR近50年全球再分析资料在我国气候变化研究中可信度的初步分析. 应用气象学报, 2001, 12(3): 337-347. DOI:10.3969/j.issn.1001-7313.2001.03.009 |
| [28] |
秦育婧, 王盘兴, 管兆勇, 等. 两种再分析资料的Hadley环流比较. 科学通报, 2006, 51(12): 1469-1473. DOI:10.3321/j.issn:0023-074X.2006.12.016 |
| [29] |
赵天保, 符淙斌. 几种再分析地表气温资料在中国区域的适用性评估. 高原气象, 2009, 28(3): 594-606. |
| [30] |
田笑, 智协飞, 徐海明. NCEP和JRA再分析资料与探空资料的位势高度比较分析. 干旱气象, 2013, 31(2): 254-262. |
| [31] |
佟铃, 彭新东, 范广州, 等. GRAPES全球模式的误差评估和订正. 大气科学, 2017, 41(2): 333-344. |
2018, 29 (6): 710-723



