2. 中国气象局气象干部培训学院, 北京 100081
2. China Meteorological Administration Training Center, Beijing 100081
目前我国已部署了近200部地基多普勒天气雷达,组成几乎覆盖全国的多普勒天气雷达网,在风场反演[1]、定量估测降水[2]、短时临近预报[3]、资料同化[4-5]等领域发挥了重要作用。1998年起至今,已积累了近20年的观测数据,这些数据对雷达气候学等相关研究非常重要。但一些研究表明,雷达之间的反射率因子有时并不一致。肖艳姣等[6]对比了华南地区两部S波段雷达,发现两部雷达重叠区的反射率因子相差3 dB左右。刘黎平等[7]和史锐等[8]分别对比了S波段和C波段雷达,也发现5~11 dB的差异。重叠区的观测值不一致可能由波束宽度、地物、衰减、折射和充塞等引起,但这些因素只影响某一区域或某一时段,主要源于雷达定标误差,即雷达常数的估计误差。美国、韩国的雷达也普遍存在观测值不一致的现象[9-11]。
理论上,在瑞利散射条件下,反射率因子Z仅与滴谱分布有关,不同雷达观测同一目标物时得到的Z值理论上应相同。但雷达探测Z时会受硬件参数的标定误差影响[12]:
|
(1) |
式(1)中,Z为真实的反射率因子值,Zm为测量值,ΔZ为标定误差引起的雷达反射率因子偏差。由雷达气象方程[13]可知,标定误差包括雷达波长误差、发射功率误差(包括馈线损耗、天线罩衰减)、脉冲宽度误差、波束宽度误差、天线增益误差、回波功率误差(包括噪声功率)。大多数误差是稳定的系统偏差,使ΔZ表现为一个固定值。也有一些误差是不稳定的,如发射功率和噪声功率,受机内温度、机外噪声、电压、器件老化等影响,使ΔZ随时间变化。韩静等[14]分析了相邻雷达观测差异的时间序列,也说明这种以系统偏差为主同时存在随机误差的特征。
常用的雷达硬件标定一般难以包括完整的收发通路(也就是馈线和天线),有时还受标定仪器或方法精度和后期硬件参数漂移的影响,使消除ΔZ变得比较困难[15-16],这也是雷达间观测值不一致的原因,这种不一致影响多雷达联合估测降水的准确性和雷达组网临近预报的效果。消除ΔZ使雷达之间的观测值保持一致,是雷达质量控制的一个内容,也是雷达历史资料再分析的任务之一。一种常用方法是地基雷达之间相互比较,该方法很难确定哪部雷达的观测值准确,尤其是处理历史数据时。另一种方法是采用地基雷达与星载测雨雷达TRMM/PR(Tropical Rainfall Measuring Mission/Precipitation Radar)之间对比订正反射率因子偏差,从而使雷达之间的观测值接近一致。TRMM/PR具有如下特点:①时空覆盖范围广。它的覆盖范围为38°S~38°N,轨道可以覆盖近2/3的组网多普勒天气雷达。1997—2014年TRMM/PR已累积了多年的观测数据,时间段上与雷达历史数据十分吻合。②TRMM/PR的观测数据稳定可靠。它的反射率因子经过了严格内部外部定标[17]和大量应用检验,研究表明,其数据精度在1 dB以内[18-20]。③地基雷达与TRMM/PR观测数据具有较高的一致性,可用其进行地基雷达的反射率因子偏差订正[21-23]。朱艺青等[24]利用地基雷达与TRMM/PR的几何匹配法统计发现单部雷达6年的偏差变化,韩静等[14]利用TRMM/PR分析苏南地区3部地基雷达的偏差情况,寇蕾蕾等[25]实现了S波段地基雷达与TRMM/PR观测数据的融合,表明了二者的一致性和融合的有效性。
已有研究大多关注地基雷达和星载雷达的一对一比较,从而获得地基雷达的观测偏差,但不同观测平台对比的不确定较大,订正后多部地基雷达之间的一致性和连续性是否有改善仍值得进一步讨论。为此,本文在韩静等[14]的个例研究基础上,将研究范围扩大到长江下游地区的7部S波段地基雷达,采用2013年5—9月历史数据分析TRMM/PR对7部地基雷达一致性和连续性的改善效果。
1 数据本文选择了长江下游的7部S波段天气雷达,分别为常州雷达、南通雷达、杭州雷达、黄山雷达、铜陵雷达、合肥雷达和南京雷达。为了方便描述,依次将它们编号为GR1~GR7(如图 1所示)。这些雷达均运行9个仰角的VCP21体扫模式,仰角为0.5°~19.5°,1个体扫描约6 min。在时间上,选择2013年5—9月的雷达基数据,雷达状态相对稳定,数据相对连续可靠。
|
|
| 图1 长江下游7部地基雷达地理位置 (虚线为雷达150 km的探测范围) Fig.1 Seven ground-based radars in the lower reaches of the Yangtze (dashed lines represent radar coverages of 150 km) | |
TRMM/PR选择2A25产品数据[26],2A25产品经过了衰减订正,非均匀波束填充订正[27],还包含零度层高度和回波类型等信息。地基雷达体扫数据和TRMM/PR轨道数据在时间和空间上配对,方法是在地基雷达1次体扫时间内,二者扫描重叠区内有大于500 km2的降水回波,记为1次有效配对事件。有效配对事件数量,取决于TRMM/PR对地基雷达覆盖区的探测次数和降水事件的发生次数。对2013年5—9月的地基雷达与TRMM/PR进行时空配对,发现每个地基雷达月平均仅有2~4次有效配对事件,其中GR7有效配对事件最多,共22次,平均每月4次;GR3有效配对事件最少,仅12次,平均每月2次(图 2)。
|
|
| 图2 2013年5—9月地基雷达与TRMM/PR的有效配对事件 Fig.2 Available matching events between ground-based radar and TRMM/PR from May to Sep in 2013 | |
2 方法 2.1 地基雷达与TRMM/PR的观测差异
虽然地基雷达与TRMM/PR的回波分布比较一致,但仍存在很多不确定性[28]。不确定性由扫描方式、波长、波束宽度等雷达参数的不同引起(表 1):①波段不同,本研究中地基雷达工作在S波段,TRMM/PR工作在Ku波段。②采样体(有效照射体积)不同。地基雷达的采样体积在径向上的长度为1 km,在方位向和垂直向为1°,采样体积随着距离增加而增大;TRMM/PR高度为403 km,在对流层内采样体积近似固定不变,水平分辨率为5 km×5 km,垂直分辨率为250 m。③衰减和地物的影响不同。地物对地基雷达的影响较大,会出现固定地物回波、超折射地物回波和波束阻挡。衰减对于S波段地基雷达的影响可以忽略,但对TRMM/PR的影响较大[29]。
|
|
表 1 地基雷达与TRMM/PR观测差异 Table 1 Differences between ground-based radar and TRMM/PR observations |
对比地基雷达与TRMM/PR观测值前需要筛选或订正处理。对于波段差异,要进行雷达频率订正(Ku调整),使Ku波段和S波段可以直接比较;对采样体积的差异,要选择滴谱分布相对均匀的层状云降水区,剔除滴谱复杂梯度较大的对流降水区;对于地基雷达的地物数据和地物阻挡数据需要删除;对TRMM/PR数据要进行科学的衰减订正处理。此外,还需要考虑观测时间的差异、部分充塞效应的影响等。
2.2 筛选比较法用TRMM/PR分析地基雷达偏差的常用方法有网格匹配法[21]和几何匹配法[30]。网格匹配法是分别将地基雷达和TRMM/PR数据插值到同一预设网格中,生成空间配对数据,统计得到地基雷达偏差。几何匹配法是对地基雷达与TRMM/PR的采样重叠区内数据平均,生成空间配对数据,计算地基雷达偏差。网格匹配法对地基雷达和TRMM/PR数据均进行插值,造成样本之间独立性下降。几何匹配法采用数据平均,获得样本较少。此外,这两种方法的数据未经过筛选,一些异常值会影响结果可靠性。
筛选比较法包括6个步骤:预处理与网格化、距离选择、高度选择、降水类型选择、主波束部分填充处理、偏差计算与订正。韩静等[14]在分析苏南3部雷达个例数据时,采用了七步筛选法:地基雷达和TRMM/PR空间配对、地基雷达方位角调整、地基雷达地物阻挡、径向距离的选择、高度的选择、Ku调整、主波束非均匀填充处理。为了简化流程、加快速度,以批量处理大样本数据,本文在文献[14]方法基础上,取消了计算量较大的地基雷达方位角调整,将Ku调整和地基雷达地物阻挡合并到预处理和网格化中,将主波束非均匀填充处理分解为降水类型的选择和主波束部分填充的处理。
第1步,预处理与网格化。首先,假设2A25产品的衰减订正有效,对2A25产品进行雷达频率订正,采用Liao等[31]的S与Ku波段的散射关系模型,将TRMM/PR反射率因子订正到S波段上以减小波段差异和米散射的影响[32]。去除地基雷达的地物阻挡和地物回波数据。地物阻挡数据采用人工识别阻挡扇区的方式去除;地物回波数据采用模糊逻辑法[33-34]处理。对地基雷达与TRMM/PR数据进行空间配对,方法是保持TRMM/PR数据不变,将地基雷达数据逐一映射到TRMM/PR观测格点上,生成空间配对数据集。映射过程中,采用空间滑动最佳匹配的方法[35],即在有限范围内滑动寻找最大相关位置,以减小观测时间和观测角度差异。这种空间配对方法仅对地基雷达数据插值,与网格匹配法相比,插值次数减少,有利于保持样本的独立性,同时获得了较大的样本数,有利于之后的筛选处理。
第2步,距离选择。地基雷达的采样体积随距离增大,同时切向和垂直分辨率随距离降低,这种变化会影响地基雷达的探测精度,给地基雷达与TRMM/PR对比带来不确定性。为了评估这种影响,在地基雷达坐标中按径向距离将配对数据分为5组(图 3)。地基雷达与TRMM/PR相关系数RGP(本文相关分析均达到0.05显著性水平)随距离先增后减,(50 km,100 km]和(100 km,150 km]两个距离档的RGP明显大于其他3个距离档。类似地,地基雷达与TRMM/PR差异标准差σGP随距离先减后增,(50 km,100 km]和(100 km,150 km]两个距离档的σGP明显小于其他3个距离档。除了采样体积差异外,可能的原因是50 km以内的地基雷达数据可能受地物影响,或第1步地物抑制后的残留地物,或低仰角的旁瓣杂波;大于150 km的地基雷达数据可能受波束变宽、部分充塞或大气折射的影响。因此,选择(50 km,100 km]为距离筛选阈值,剔除小于等于50 km和大于150 km的配对数据。
|
|
| 图3 地基雷达与TRMM/PR数据在不同距离上的相关系数(a)和差异标准差(b) Fig.3 Correlation coefficient(a) and standard deviation(b) of reflectivity difference between ground-based radar and TRMM/PR at different distances | |
第3步,高度选择。地基雷达与TRMM/PR波长不同,观测不同相态粒子时,散射和衰减有差异。一方面,TRMM/PR观测融化层上的固态粒子时衰减小,以瑞利散射为主,理论上与地基雷达的一致性更好。TRMM/PR观测融化层下的液态粒子时,会发生衰减和米散射。另一方面,冰晶等固态粒子散射能力弱,反射率因子接近TRMM/PR的最小可测值(18 dBZ),信噪比低。同时,地基雷达观测融化层上的固态粒子时,受部分充塞的影响观测值可能偏低。本文使用的2A25数据并非原始数据,经过了衰减订正,再加上预处理时对Ku波段的调整。所以,融化层上下的不同相态粒子对地基雷达与TRMM/PR配对数据的影响需进一步分析。
TRMM的产品算法结合了模式或气候的0℃层高度数据,通过分析反射率因子垂直廓线获取了零度层亮带高度与厚度[36],包含在2A25产品中。综合使用这两个数据,在垂直方向上划分为亮带上、亮带内和亮带下,分别对应固态粒子、混合态粒子和液态粒子。由图 4可见,7部雷达均表现为亮带下相关系数大且差异标准差小,地基雷达与TRMM/PR亮带下的配对数据更好。这个结论与文献[23, 30]一致。所以,这一步按亮带高度和厚度筛选出亮带下配对数据。
|
|
| 图4 地基雷达与TRMM/PR数据在不同高度层上的相关系数(a)和差异标准差(b) Fig.4 Correlation coefficient(a) and standard deviation(b) of reflectivity difference between ground-based radar and TRMM/PR at different levels | |
第4步,降水类型选择。地基雷达远距离的垂直和方位向分辨率低,TRMM/PR的水平分辨率低,易出现非均匀波束填充现象,且地基雷达和TRMM/PR的采样体差异也较大。对于滴谱分布不均匀的对流降水回波,受非均匀波束填充和采样体差异的影响,地基雷达和TRMM/PR的观测值容易出现不一致。相反,对于滴谱分布相对均匀的层状云降水回波,二者的一致性会相对好。
TRMM/PR产品算法采用垂直廓线法和水平纹理法,利用亮带识别结果、云顶高度、反射率因子值及水平和垂直变化将回波分为层状云降水、对流降水和其他类型[36]。第4步直接利用TRMM/PR分类结果,筛选出层状云降水配对数据。
第5步,主波束部分填充处理。采样体(有效照射体)内完全充满云雨粒子是雷达探测的一个假设条件。如果仅是部分填充,那么探测结果将偏小。对于地基雷达来说,由于主波束随距离变宽,采样体积变大,在远距离降水区边缘和云顶容易出现部分填充。对于TRMM/PR,水平分辨率较低,在降水区边缘也容易出现部分填充。为了消除这种影响,采用回波边缘检测的方法,即在3×3×3的网格中,缺测点数如果大于5,则认为是回波边缘,剔除边缘数据。
第6步,偏差计算与订正。将第5步输出的配对数据视为最优配对数据集,它具有相对较大的相关系数和较小的差异标准差。值得注意的是,本文中的“最优”并非绝对最优,只是相对于最初的配对数据而言,它的不确定性更小。计算地基雷达偏差的公式如下:
|
(2) |
式(2)中,M为最优配对数据样本量,Gk和Pk为第k个地基雷达与TRMM/PR反射率因子值,ΔZ为地基雷达的反射率因子偏差。按式(1)利用ΔZ订正Zm得到订正后的真实的反射率因子Z。
3 结果分析 3.1 配对数据变化为了检查筛选比较法处理过程中地基雷达与TRMM/PR配对数据的变化,将每一步处理后的配对数据相关系数RPG和差异标准差σPG输出(图 5)。从第1步到第5步,RPG逐渐增加,7部雷达平均增加了16%,最大的是GR5,增加了27%,最小的是GR6,增加4%。类似地,从第1步到第5步,σPG逐渐减小,7部雷达平均减小了28%,最大的是GR5,减小了34%,最小的是GR6,减小18%。这两种变化表明:随着每一步的筛选或处理,地基雷达与TRMM/PR配对数据的不确定性逐渐减小,趋于最优。
|
|
| 图5 第1步到第5步处理后配对数据的相关系数(a)和差异标准差(b) Fig.5 Correlation coefficient(a) and standard deviation(b) of difference between ground-based radar and TRMM/PR from the first step to the fifth step | |
以2013年5月9日04:09(世界时)的GR6与TRMM/PR(轨道号88174)为例,给出了筛选前、筛选后及订正后配对数据的散点图。图 6a是第1步输出的筛选前的原始地基雷达与TRMM/PR散点图,共有18200个配对数据,相关系数为0.74,大部分数据点分布在对角线下方,表明地基雷达观测值整体上大于TRMM/PR。但数据点分布较分散,说明存在大量异常配对数据。图 6b是第5步输出的筛选后的最优配对数据的散点图,数据点数为660,大部分数据点仍分布在对角线下方,但相关系数上升到0.83,数据点分布比较集中。以地基雷达与TRMM/PR的差值作随机变量,用正态性检验,发现差值的分布特征基本满足正态分布。在假设TRMM/PR观测值准确的条件下,差值期望反映了地基雷达的系统偏差,差值标准差为随机误差。地基雷达和TRMM/PR反射率因子精度均为1 dB,理论上地基雷达与TRMM/PR差值的标准差应约为1.4 dB。经统计,图 6a和图 6b中地基雷达与TRMM/PR差值标准差分别为3.3 dB和2.1 dB,说明筛选后标准差更接近理论值,随机误差比筛选前更小。图 6b中差值期望值为2.5 dB,按式(2)计算地基雷达的系统偏差ΔZ为-2.5 dB。图 6c是订正后的散点图,可见数据点集中分布在对角线附近,与TRMM/PR观测值一致。
|
|
| 图6 筛选前(a)、筛选后(b)和订正后(c)的配对数据散点 Fig.6 Scatter plot of matchup data before selection(a), after selection(b) and after correction(c) | |
3.2 地基雷达反射率因子偏差
筛选比较法得到的GR1到GR7反射率因子年平均偏差见图 7a,7部雷达中的4部偏差小于0.5 dB,与TRMM/PR观测值接近;另外3部雷达偏差均大于1.5 dB,其中GR4最大,超过了2.0 dB;GR1的ΔZ是负值,表示回波偏强,其他雷达均是正值,表示回波偏弱。由图 7b可见,反射率因子偏差的月平均值变化较大,以±1.0 dB为参考(图中虚线所示),GR2,GR3,GR5和GR7 4部雷达的观测值相对准确,虽然每月的偏差值略有波动,但均保持在±1.0 dB以内。GR1和GR4偏差最大达到±3.0 dB,月变化也较大,波动范围接近2.0 dB。这种波动也表明了雷达常数的时间变化,这点与WSR-88D类似[35]。
|
|
| 图7 地基雷达反射率因子年平均偏差(a)和月平均偏差(b) Fig.7 Annual(a) and monthly(b) average reflectivity biases of ground-based radars | |
3.3 地基雷达观测一致性
为了描述雷达之间观测值的一致性,采用等距离线垂直剖面对比法[37]计算相邻雷达之间的反射率因子差异。计算前,排除地物阻挡扇区,并去除天线高度以上500 m的数据避免地物影响,用DMN表示两部相邻雷达(分别记为GRM和GRN)的反射率因子差异,即
|
(3) |
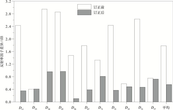
ZGRM和ZGRN分别表示雷达GRM和GRN在等距离剖面上的反射率因子平均值。DMN越小说明两部雷达观测值越接近。选择11个地基雷达之间的反射率因子差异进行分析,分别为D12,D23,D34,D45,D56,D67,D71,D31,D35,D51和D57,年平均值见图 8。订正后除了D23略变大外,其余10个反射率因子差异均明显减小。订正前有8个差异超过1.0 dB,其中5个差异大于2.0 dB,最大差异值接近3 dB;订正后,所有的DMN差异值均小于1.0 dB,有6个差异减小到0.5 dB以下。11个DMN的平均值从订正前的1.8 dB下降到订正后的0.5 dB,减小70%。
|
|
| 图8 相邻地基雷达年平均反射率因子差异 Fig.8 Annual average reflectivity differences of adjacent ground-based radars | |
3.4 与几何匹配法对比
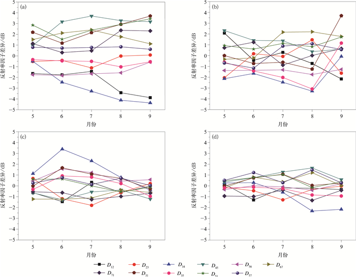
几何匹配法是传统的地基雷达和TRMM/PR对比分析方法,由Schwaller等[30]提出,采用波束重叠区平均值进行空间配对。选择几何匹配法的亮带上和亮带下数据订正地基雷达偏差,称为GM_ICE法和GM_WATER法。由图 9a可见,未订正的地基雷达之间反射率因子差异的月平均值较大,为-4.5~4.5 dB。利用GM_ICE法订正后,地基雷达之间的差异改善不明显(图 9b),这也说明亮带上的冰相粒子数据不适合用于地基雷达偏差订正,结论与图 4一致。由图 9c可见,GM_WATER订正效果比较明显,地基雷达之间差异的月平均值变小,但存在过量订正的问题,如7月、8月的D34,订正前约为-3.0 dB,采用GM_WATER订正后D34约为3.0 dB。由图 9d可见,筛选比较法的订正效果较好,未出现过量订正的情况,绝大多数的地基雷达的差异从订正前的±4.5 dB减小到±1.5 dB,虽然8月、9月的D34订正量过小,但与未订正数据相比,D34已经减小了2.0 dB,有一定改善。
|
|
| 图9 相邻地基雷达月平均反射率因子差异 (a)订正前,(b)GM_ICE订正后,(c)GM_WATER订正后,(d)筛选比较法订正后 Fig.9 Monthly average reflectivity differences of adjacent ground-based radars (a)uncorrected, (b)corrected by GM_ICE, (c)corrected by GM_WATER, (d)corrected by Selective Comparison Method | |
4 结论与讨论
本文以TRMM/PR作为参照,采用筛选比较法订正2013年5—9月长江下游7部S波段雷达的反射率因子偏差,以改进多雷达观测的一致性和空间连续性。结果表明:
1) 订正前雷达之间的反射率因子存在明显差异。在11个相邻地基雷达的反射率因子比较中,有8个差异超过1.0 dB,其中5个差异大于2.0 dB。
2) 采用筛选比较法订正后,所有的雷达间差异均小于1.0 dB,平均值从订正前的1.8 dB下降到订正后的0.5 dB,减小了70%。
3) 与传统的几何匹配法比较,筛选比较法订正结果相对稳定,未出现过量订正的问题。
同时,本文的方法在应用时还存在以下不足和限制:①雷达硬件重新标定或主要器件更换后,通常雷达常数会改变,偏差也随之变化,因此,处理历史数据时,需参考雷达维修维护记录。②地基雷达与TRMM/PR观测区的重叠频率不高,也就是配对事件少,可用的有足够多降水回波的有效配对事件更少。故本文方法仅能得到地基雷达偏差的平均状况,无法实时监测。③TRMM卫星于2014年已停止观测,本文方法目前仅适用于历史数据处理,未来需进一步将方法扩展到GPM/DPR(Global Precipitation Measurement/Dual-Frequency Precipitation Radar)上[38]。
| [1] | 张沛源, 周海光, 胡绍萍. 双多普勒天气雷达风场探测的可靠性研究. 应用气象学报, 2002, 13, (4): 485–496. |
| [2] | 东高红, 刘黎平. 雷达与雨量计联合估测降水的相关性分析. 应用气象学报, 2012, 23, (1): 30–39. |
| [3] | 陈明轩, 俞小鼎, 谭晓光, 等. 对流天气临近预报技术的发展与研究进展. 应用气象学报, 2004, 15, (6): 754–766. |
| [4] | 陈明轩, 高峰, 孙娟珍, 等. 基于VDRAS的快速更新雷达四维变分分析系统. 应用气象学报, 2016, 27, (3): 257–272. DOI:10.11898/1001-7313.20160301 |
| [5] | 杨艳蓉, 李柏, 张沛源. 多普勒雷达资料四维变分同化. 应用气象学报, 2004, 15, (1): 95–110. |
| [6] | 肖艳姣, 刘黎平. 新一代天气雷达网资料的三维格点化及拼图方法研究. 气象学报, 2006, 64, (5): 647–657. DOI:10.11676/qxxb2006.063 |
| [7] | 刘黎平, 张沛源, 梁海河, 等. 双多普勒雷达风场反演误差和资料的质量控制. 应用气象学报, 2003, 14, (1): 17–29. |
| [8] | 史锐, 程明虎, 崔哲虎, 等. 长江流域多普勒雷达回波强度资料对比分析. 气象, 2004, 30, (11): 27–31. |
| [9] | Brandes E A, Vivekanandan J, Wilson J W. A comparison of radar reflectivity estimates of rainfall from collocated radars. J Atmos Ocean Technol, 1999, 16: 1264–1272. DOI:10.1175/1520-0426(1999)016<1264:ACORRE>2.0.CO;2 |
| [10] | Gourley J, Kaney B, Maddox R. Evaluating the Calibrations of Radars: A Software Approach//Preprints, 31st Conference on Radar Meteorology, Amer Meteor Soc, 2003. |
| [11] | You C H, Kang M Y, Lee D I, et al. Approaches to radar reflectivity bias correction to improve rainfall estimation in Korea. Atmos Meas Tech, 2016, 9: 2043–2053. DOI:10.5194/amt-9-2043-2016 |
| [12] | 潘新民. 新一代天气雷达(CINRAD/SB)技术特点和维护、维修方法. 北京: 气象出版社, 2009. |
| [13] | 张培昌, 戴铁丕, 杜秉玉, 等. 雷达气象学. 北京: 气象出版社, 1988. |
| [14] | 韩静, 楚志刚, 王振会, 等. 苏南三部地基雷达反射率因子一致性和偏差订正. 高原气象, 2017, 36, (6): 1665–1673. DOI:10.7522/j.issn.1000-0534.2016.00137 |
| [15] | Atlas D. Radar calibration:Some simple approaches. Bull Amer Meteor Soc, 2002, 83: 1313–1316. |
| [16] | 潘新民, 柴秀梅, 崔柄俭, 等. CINRAD/SB雷达回波强度定标调校方法. 应用气象学报, 2010, 21, (6): 739–746. DOI:10.11898/1001-7313.20100611 |
| [17] | 王振会. TRMM卫星测雨雷达及其应用研究综述. 气象科学, 2001, 21, (4): 491–500. |
| [18] | Kawanishi T, Kuroiwa H, Kojima M, et al. TRMM precipitation radar. Adv Space Res, 2000, 25: 969–972. DOI:10.1016/S0273-1177(99)00932-1 |
| [19] | Kozu T, Kawanishi T, Kuroiwa H, et al. Development of precipitation radar on board the Tropical Rainfall Measuring Mission (TRMM) satellite. IEEE Trans Geosci Remote Sens, 2001, 39: 102–116. DOI:10.1109/36.898669 |
| [20] | Takahashi N, Kuroiwa H, Kawanishi T. Four-year result of external calibration for precipitation radar (PR) of the tropical rainfall measuring mission (TRMM) satellite. IEEE Trans Geosci Remote Sens, 2003, 41: 2398–2403. DOI:10.1109/TGRS.2003.817180 |
| [21] | Liao L, Meneghini R, Iguchi T, et al. Comparisons of rain rate and reflectivity factor Derived from the TRMM Precipitation Radar and the WSR-88D over the Melbourne, Florida, Site. J Atmos Ocean Technol, 2001, 18: 1959–1974. DOI:10.1175/1520-0426(2001)018<1959:CORRAR>2.0.CO;2 |
| [22] | Wang J X, Wolff D B. Comparisons of reflectivities from the TRMM precipitation radar and ground-based radars. J Atmos Ocean Technol, 2009, 26: 857–875. DOI:10.1175/2008JTECHA1175.1 |
| [23] | Park S, Jung S, Lee G. Cross validation of TRMM PR reflectivity profiles using 3-D reflectivity composite from the ground-based radar network over the Korean Peninsula. J Hydrometeor, 2015, 16: 668–687. DOI:10.1175/JHM-D-14-0092.1 |
| [24] | 朱艺青, 王振会, 李南, 等. 南京雷达数据的一致性分析和订正. 气象学报, 2016, 74, (2): 298–308. |
| [25] | 寇蕾蕾, 楚志刚, 李南, 等. TRMM星载测雨雷达和地基雷达反射率因子数据的三维融合. 气象学报, 2016, 74, (2): 285–297. |
| [26] | Hamada A, Takayabu Y N. A Removal filter for suspicious extreme rainfall profiles in TRMM PR 2A25 version-7 data. J Appl Meteorol Climatol, 2014, 53: 1252–1271. DOI:10.1175/JAMC-D-13-099.1 |
| [27] | Iguchi T, Kozu T, Meneghini R, et al. Rain-Profiling Algorithm for the TRMM Precipitation Radar. J Appl Meteor, 2000, 39: 2038–2052. DOI:10.1175/1520-0450(2001)040<2038:RPAFTT>2.0.CO;2 |
| [28] | Bolen S M, Chandrasekar V. Methodology for aligning and comparing spaceborne radar and ground-based radar observations. J Atmos Oceanic Technol, 2003, 20: 647–659. DOI:10.1175/1520-0426(2003)20<647:MFAACS>2.0.CO;2 |
| [29] | Meneghini R, Iguchi T, Kozu T, et al. Use of the surface reference technique for path attenuation estimates from the TRMM precipitation radar. J Appl Meteor, 2000, 39: 2053–2070. DOI:10.1175/1520-0450(2001)040<2053:UOTSRT>2.0.CO;2 |
| [30] | Schwaller M R, Morris K R. A ground validation network for the Global Precipitation Measurement Mission. J Atmos Ocean Technol, 2011, 28: 301–319. DOI:10.1175/2010JTECHA1403.1 |
| [31] | Liao L, Meneghini R. Changes in the TRMM Version-5 and Version-6 Precipitation Radar Products due to Orbit Boost. J Meteor Soc Japan, 2009, 87: 93–107. |
| [32] | 王振会, 李圣殷, 戴建华, 等. 星载雷达与地基雷达数据的个例对比分析. 高原气象, 2015, 34, (3): 804–814. DOI:10.7522/j.issn.1000-0534.2014.00031 |
| [33] | 刘黎平, 吴林林, 杨引明. 基于模糊逻辑的分步式超折射地物回波识别方法的建立和效果分析. 气象学报, 2007, 65, (2): 252–260. DOI:10.11676/qxxb2007.024 |
| [34] | 江源, 刘黎平, 庄薇. 多普勒天气雷达地物回波特征及其识别方法改进. 应用气象学报, 2009, 20, (2): 203–213. DOI:10.11898/1001-7313.20090210 |
| [35] | Bolen S M, Chandrasekar V. Quantitative cross validation of space-based and ground-based radar observations. J Appl Meteor, 2000, 39: 2071–2079. DOI:10.1175/1520-0450(2001)040<2071:QCVOSB>2.0.CO;2 |
| [36] | Awaka J, Iguchi T, Okamoto K. TRMM PR standard algorithm 2A23 and its performance on bright band detection. J Meteor Soc Japan, 2009, 87: 31–52. |
| [37] | 周海光. 新一代多普勒天气雷达网探测数据对比分析系统. 计算机应用, 2013, 33, (1): 270–275. |
| [38] | Hou A Y, Kakar R K, Neeck S, et al. The Global Precipitation Measurement Mission. Bull Amer Meteor Soc, 2014, 95: 701–722. DOI:10.1175/BAMS-D-13-00164.1 |
2018, 29 (3): 296-306



