2. 中国气象局云雾物理环境重点实验室, 北京 100081;
3. 湖南省人工影响天气领导小组办公室, 长沙 410118;
4. 湖南省气象台, 长沙 410118;
5. 湖南省长沙市气象局, 长沙 410205
2. Key Laboratory for Cloud Physics of China Meteorological Administration, Beijing 100081;
3. Hunan Provincial Weather Modification Office, Changsha 410118;
4. Hunan Provincial Meteorological Observatory, Changsha 410118;
5. Changsha Meteorological Bureau of Hunan Province, Changsha 410205
湖南省于1959年开始开展飞机人工增雨试验研究, 1959—1976年中有13年使用伊尔14等小型飞机累计飞行600余架次, 这些飞行主要进行夏季飞机播撒盐粉催化浓积云试验, 试验表明:飞机向暖性浓积云中上部、以5~10 kg·km-1催化剂量、播撒平均直径为30~50 μm的盐粉约10~20 min后云内温度升高、垂直气流加强, 云顶迅速上升, 云中滴谱加宽、大滴浓度增加、云中含水量明显增加, 多次试验结果表明, 湖南省夏季飞机播撒盐粉催化浓积云产生降水成功率达77%[1-3]。由于盐粉腐蚀作业飞机等多种原因, 湖南省飞机增雨于1977年停飞。2010年恢复常态化飞机人工增雨作业机制, 主要在秋季使用中型运输机携带AgI烟条催化冷云开展人工增雨抗旱, 这在作业季节、作业对象、催化装备和催化技术等方面都与原来明显不同, 但湖南省20世纪60年代对夏季对流云宏微观特征的一些观测研究成果, 如浓积云内含水量两个大值区的分布[4-5]以及积云人工增雨作业指标等对现在人工增雨作业仍有重要参考价值。国家重点项目“北方层状云人工降水试验研究”为我国北方降水性层状云系构建了较完整的体系, 建立了几种主要降水系统的云物理概念模型, 突出强调“催化-供给”云结构及降水机制[6-8]。对流云是我国南方夏季的主要降水云系, 与层状云相比, 一般情况其自然降水效率不高, 有较大的增雨潜力, 对流云人工增雨是缓解南方干旱和水资源短缺的重要途径[9-11]。美国于1988—1989年在德克萨斯州西部开展针对过冷对流云的动力播云随机试验, 共得到183个单体(93个播撒和90个未播撒), 分析C波段雷达数据得到显著的单体播撒效果, 最大高度增加7%, 面积增加43%, 持续时间增加36%, 单体降水量增加130%[12]。国内蒋年冲等[13]利用2003年在江淮试验区获取的对流云人工增雨监测资料, 采用成对对流云试验方案, 对一次对流云人工增雨作业效果进行评估, 初步得出人工催化30 min后才能产生明显的增雨效果。贾烁等[14]进行江淮对流云人工增雨作业效果检验个例分析, 得到作业后目标区绝对增雨37.2 mm, 相对增雨65.18%。湖南省在夏秋交替时节仍会较多出现发展较强的对流性积状云或积层混合云, 具有较大的人工增雨潜力, 但也会对作业飞机的安全带来直接威胁[15-16]。常年8—9月, 正是湖南省为水稻生产开展人工增雨抗旱的主作业期, 近几年一直使用空军运7飞机开展增雨作业, 其飞行性能相对有限, 如何在保障飞行安全的前提下获得更好增雨效果, 是必须解决的关键科学问题。本文通过统计分析湖南省秋季积层混合云系的降水分布情况和雷达回波特征, 总结飞机人工增雨作业条件判别指标和作业方法, 在评估作业效果的基础上, 探讨在使用运7飞机、AgI烟条作业装备条件下, 开展飞机增雨作业的最佳催化时机、部位和剂量, 形成湖南省秋季积层混合云系飞机人工增雨作业一整套方法。运7飞机目前仍然是国内飞机增雨的主要机型, 这方面的研究也具有重要示范意义。
1 资料来源和处理方法统计分析2007—2011年秋季(9—11月)长沙国家基本气象站(区站号为57687)的逐日云状、云量、云高、降雨量及生成时间等地面观测资料, 得到长沙地区秋季积层混合云系的降水分布情况; 利用长沙CINRAD-SA多普勒天气雷达探测资料重点分析典型降雨云系的雷达回波特征。分析2010—2015年湖南省44次飞机人工增雨作业资料, 归纳飞机人工增雨作业方法; 对典型积层混合云系飞机增雨作业天气过程使用多普勒天气雷达和GRAPES_CAMS数值模式进行云降水物理和数值模拟分析, 使用多普勒天气雷达、中小尺度区域自动气象站网降雨量等资料, 采用成对对流云和基于TREC算法的回波跟踪等方法评估作业效果; 总结得到湖南省秋季积层混合云系的作业条件判据和相应指标, 以及使用运7飞机搭载AgI烟条开展人工增雨作业的适宜催化时机、部位和剂量, 形成配套作业方法。
2 湖南省秋季积层混合云系降水分布与结构特征 2.1 长沙地区秋季积层混合云降水统计分析2007—2011年长沙地区秋季的地面气象观测资料, 从积云降水情况(表略)可以看到:积云活动在9月仍然十分活跃, 其后逐步减少, 月平均积云出现日数由9月的15 d逐步减少到10月的6 d和11月的4 d。月平均降雨日数也逐步减少, 由9月的15 d减少到11月的11 d。进一步分析发现, 9月的主要降雨云系分为3类:积云或积层混合云系(占总降雨日数的40%), 碎雨云(Fn)、蔽光层积云(Scop)(占总降雨日数的38%), 碎雨云、蔽光高层云(Asop)(占总降雨日数的19%)。需要说明的是湖南省常年9月出现纯粹的积云降水比较稀少, 高空低槽、台风外围的绝大多数降水云系均属于积层混合云系, 仅在副热带高压边缘有时会产生孤立的对流云降水。10—11月的主要降雨云系分为2类:碎雨云、蔽光层积云(占总降雨日数的39%)和碎雨云、蔽光高层云(占总降雨日数的25%)。蔽光高层云较蔽光层积云降雨量一般偏大, 降雨时低云量一般为10成; 积云活动主要出现在14:00—20:00(北京时, 下同), 云量相对较少。最主要的未降雨云系是透光高积云(Actra), 多为单层结构, 云量一般超过5成。
2.2 湖南省秋季降水性积层混合云系结构特征积层混合云即积状云和层状云两种类型云组成的云系统。从地面气象观测和飞机人工增雨作业探测情况看, 湖南省秋季降水性积层混合云系的一般结构分为3种:对流较强、层状云较弱, 宽广深厚的层状云中夹杂较弱的对流泡, 少数几次观测到对流云和层状云发展比较旺盛且雨势比较大。前两种是飞机人工增雨的主要作业对象。积层混合云中, 层状云对积云发展和降雨的增大有显著促进作用, 促进作用的大小, 依赖于层状云的厚度和所在高度以及逆温层强度, 也依赖于积云本身的强弱。层状云愈厚, 促进作用愈大。相对来说, 中层(3.0~5.0 km)层状云对积云降水影响大于高云和低云[17]。积层混合云系结构复杂, 积云和层状云存在高、中、低层多种配置, 为保障安全、高效作业, 必须对作业中可能遇到的各种主要云系结构都有所了解。为此, 利用长沙CINRAD-SA多普勒天气雷达探测资料重点分析2.1节所述3类主要降雨云系和1种主要未降雨云系的雷达回波特征(表 1), 进一步了解作业云系的宏微观物理结构。
|
|
表 1 长沙地区秋季典型作业云系的雷达回波特征 Table 1 Radar echo features of typical operating clouds in autumn of Changsha |
鬃积雨云与蔽光高层云:两者在雷达组合反射率因子图上均表现为30~35 dBZ的较大范围降水回波。不同之处是鬃积雨云云内30~35 dBZ回波面积更大, 且在距离高度显示上, 蔽光高层云云内15 dBZ, 30~35 dBZ, 45 dBZ雷达回波的垂直高度一般分别处于4.5 km, 3 km, 2 km高度, 回波顶高、垂直积分液态含水量一般分别为3~5 km、小于1 kg·m-2; 鬃积雨云相应的探测值一般分别为8 km, 6 km, 4~4.5 km, 6~8 km, 1~5 kg·m-2, 各项指标较蔽光高层云均明显偏高。
蔽光层积云与透光高积云:两者均表现为大范围强度为5~10 dBZ的雷达回波, 其垂直高度一般在2~3 km, 20~25 dBZ的雷达回波垂直高度一般在3 km以下, 15 dBZ的雷达回波垂直高度发展到5.5 km, 垂直积分液态含水量不大于1 kg·m-2。不同之处是蔽光层积云(降水)相对透光高积云(未降水), 回波强度略强、垂直积分液态含水量相对高值区面积略宽。透光高积云一般为单层云系结构。
蔽光高层云与蔽光层积云:蔽光高层云较蔽光层积云降水回波(35~30 dBZ)面积要大、垂直高度要高出约1 km。
3 湖南省秋季积层混合云系飞机人工增雨作业技术 3.1 积云或积层混合云系人工增雨作业条件判别的宏微观指标根据多年积云人工增雨作业试验结果, 湖南省在20世纪70年代利用天气图、卫星云图、探空和数字化雷达等资料定量制定了积云人工增雨作业指标, 主要包括:胡志晋等[18]利用1973—1974年在长沙观测的102块积云资料对长沙夏季积云宏观特征的观测分析, 周益辉等[19]利用1960—1964年、1971—1976年的7—8月天气资料研究的有利于对流云形成的天气形势条件, 徐永胜等[20]利用湖南省1979—1988年夏秋外场观测资料研究的关于降水积云雷达回波参数的统计特征等。在此基础上, 近年来, 加强积云野外探测试验, 使用多普勒天气雷达和中尺度数值模式定量确定可作业云系和作业部位, 总结得到湖南省在秋季针对积云或积层混合云系开展人工增雨的作业条件判据和相应的指标(表 2)。其中天气雷达判别指标增加分析2002—2006年湖南省夏秋干旱期多普勒天气雷达资料, 选取长沙地区103块积云进行统计分析, 改进订正原有数字化雷达判别指标。中尺度数值模式的过冷水含量指标主要基于2007—2015年释用中国气象局人工增雨云系模式资料(MM5_CAMS, GRAPES_CAMS等)。这些判据基于日常气象业务产品, 可操作性强、识别率高, 在指挥飞机增雨作业时发挥了重要作用。
|
|
表 2 湖南省秋季积云或积层混合云系人工增雨作业条件判别宏微观指标 Table 2 Macro and micro indicators of artificial precipitation enhancement operation with cumulus and convective-stratiform mixed clouds in autumn of Hunan Province |
3.2 积层混合云系的催化方式
积层混合云在冷锋和暖锋降水中起重要作用[19]。积层混合云系的催化方法一方面是按照静力催化原理对其中的层状云进行催化作业。另一方面, 在发展成熟的积层混合云系中, 其对流层中高层常有弱对流泡产生, 由于嵌入式对流单体中液态水含量比周围的层云高[21], 这种对流泡中常有较丰富的过冷水和相对缺少冰晶的部位, 所以, 对流泡是积层混合云系中适宜催化作业的部位[22]。
3.2.1 积层混合云系中层状云系的催化方式 3.2.1.1 催化部位、作业层温度与高度云中冷暖层同时存在的降水性层状云系(混合性层状云)是飞机人工增雨催化的主要目标云系之一。长沙地区秋季的混合性层状云系, 在垂直方向上通常有高空对流层的卷层云(Cs, 自然催化云)、中高层的高层云(As, 人工催化云)、低层的层积云(Sc, 供水云)的结构。云中有两个高含水量区, 分别对应于高层云中过冷层和层积云中暖层。这类云系适宜于作业的区域在高层云中。这种由自然催化云-人工催化云-供水云组成的云系结构属于典型的播种云-供应云降水机制, 这样的组合对降水的产生和增大十分有利[23]。对此冰水混合层状云系应采用冷云催化, 实施飞机人工增雨催化时由于层状云中水汽上升速度较小, 除对流区外, 冰晶增长后主要是下落, 所以催化层高度应尽可能高些, 以使人工冰晶能充分利用整个云层的增长条件提高降雨效率。高空-15℃附近凝华快、聚并强, 对冰晶增长非常有利, 应充分利用; 而温度大于-5℃区域, 特别是大于-3℃区域, 除对流强升速区外, 引晶增雨的效果较差[24]。目前, 我国各地飞机人工增雨作业选择的催化温度范围一般为-25~-5℃[25-27]。湖南省人工增雨作业飞机为运7型运输机, 其巡航高度在5000 m左右; 针对冷云作业使用的催化剂为ZY-1型烟条, 在-20~-7℃范围内成核率均可高达1013 g-1。综上所述, 湖南省秋季针对积层混合云系中降水性层状云系进行催化作业的温度层宜为-15~-5℃, 播撒高度约在5000~6000 m。
3.2.1.2 催化剂量按国内外实例和理论估算, 降水性层状云云中的冰晶数浓度为100~101 L-1量级, 层状云中催化剂1 h的扩散截面积约为7 km2, 按数值模拟, 人工冰晶数浓度宜为20~100 L-1[19]。可以根据作业飞机的巡航速度、催化剂种类和对应的核化率确定播撒剂量:湖南省人工增雨作业运7飞机巡航速度一般为420 km·h-1; 作业使用的催化剂为ZY-1型烟条, 烟条焰剂携带量为每支2.5 kg(含125 g AgI)、空中燃烧时间为25 min; ZY-1型烟条采用BR-91-Y型高效AgI焰剂, 焰剂燃烧产生含AgI复合冰核气溶胶, 具有很高的成核率, 在-7℃条件下静态成核率可达1013 g-1[28], 达到20 L-1人工冰晶浓度的催化剂量为20 g·km-1。如果作业时燃烧1根烟条, 则催化剂量为14.3 g·km-1, 一般需采用2根ZY-1型烟条同时燃烧, 相当于约30 L-1人工冰晶浓度的催化剂量。
3.2.2 积层混合云系中积状云的催化方式对于发展深厚的冷、暖云降水机制共同作用的混合性积云对流泡, 当云顶温度达到-10 ℃时, 可采取在云中播撒人工冰核的方法进行静力催化; 当这类积云发展较高, 云内上升气流较强, 过冷层较厚, 过冷水含量较高时, 可采用动力催化, 促使云体更迅速地增长, 以达到增加地面降水的目的。国内外许多研究表明:当云顶温度高于-10℃或低于-24℃时, 播云无效或效果不显著。动力催化一般在积云中大约-10℃层加入碘化银, 这个区域被认为有大量的过冷液态水[29]。张佃国等[30]利用山东省1989—2008年23架次秋季降水云系云结构的粒子测量系统(PMS)探测试验资料, 分析云中过冷水以及冰晶浓度的分布特征, 发现不稳定降水云中, 云粒子和冰晶粒子浓度、尺度分布极不均匀, 在-9~-6.5℃附近存在峰值区, 并且对应高值区有丰富的过冷水存在。
3.2.2.1 催化部位与时机发展旺盛的对流性积状云, 云内风切变、雷电、结冰等气象因素会严重威胁作业飞机的安全。因此, 飞机催化积云的基本原则是在保证飞行安全的前提下, 确定作业时机、作业部位和作业方式。一般在系统性天气的前期或后期云内对流较弱, 或积状云和层状云同时存在, 这时选择云内比较稳定且符合催化条件的区域或部位, 适时进行催化作业。
3.2.2.2 作业层温度与高度针对冷云进行催化, 应根据所使用的冷云催化剂的成核率与温度的对应关系选择合适的播撒作业部位。一般是在过冷云云顶附近或云体中上部位, 对应的温度层在-25~-5℃之间。而在云底部或者云体内温度较高的位置进行催化, 成核率会比较低。长沙地区9—11月多年平均0℃层高度分别为5052, 4433, 3603 gpm, 考虑作业飞机性能、作业使用的AgI焰剂在不同温度条件下的核化率和剂量关系(-7℃, 1013 g-1), 则长沙地区9—11月针对积层混合云系中积云对流泡进行冷云催化作业的温度层宜为-15~-7℃, 飞行高度约为高空0℃层往上不低于1 km的高度。
3.2.2.3 催化剂量湖南省飞机增雨对混合性积状云系实施静力催化作业一般在-7℃层采用2根ZY-1型烟条(AgI焰剂)同时燃烧。如考虑动力催化效应, 还应适当增大催化剂的用量。积云动力催化通常采用的方法是向云中过冷区播撒更多人工冰核, 播撒量一般为102~104 L-1, 以期通过冰晶化全部过冷水释放潜热, 促使云体温度升高, 浮力增加, 云体和云中凝结水量相应增大, 从而增加降水。按现有作业装备条件, 达到100 L-1人工冰晶浓度的催化剂量需100 g·km-1, 则至少需同时燃烧7根ZY-1型烟条。
4 湖南省秋季积层混合云系飞机人工增雨作业典型个例2010—2016年湖南省在夏秋交替时节针对积云或积层混合云系开展了大量飞机人工增雨作业, 表 3为湖南省典型作业过程有关技术分析[11, 31-32]和典型作业过程的主要作业参数统计。这些作业参数均与表 2所述判据和指标相符。以下重点对其中20150918和20110908作业过程分别进行静力催化和动力催化技术分析。
|
|
表 3 近年湖南省典型积云或积层混合云系飞机增雨作业过程主要作业参数统计表 Table 3 Main operation parameters of artificial precipitation enhancement operation by aircraft with cumulus clouds or concective-stratiform mixed clouds of recent years in Hunan Province |
4.1 20150918增雨作业过程 4.1.1 人工增雨作业需求
2015年9月13日的综合气象干旱指数(CI)监测结果表明:湖南省共有13县市达气象干旱标准, 其中湘西北地区的常德、汉寿、慈利3县市中旱, 为人工增雨抗旱重点作业区。
4.1.2 作业天气过程预报与飞机人工增雨作业计划申报9月14—17日湖南全省受副热带高压控制, 天气晴好。根据天气形势综合分析, 预计从18日开始, 随着副热带高压东撤南落, 受中低层切变影响, 湖南省自北向南有一次降水过程, 其中18—19日降水天气系统主要维持在湘北地区, 有利于旱区开展人工增雨作业。指挥部于9月17日向空军调度部门申报了18日2架次飞机人工增雨作业计划。
4.1.3 作业条件监测预报与飞机人工增雨作业方案设计中国气象局人工影响天气中心将CAMS微物理方案耦合GRAPES中尺度模式, 转化成人工影响天气数值模式(简称GRAPES_CAMS模式)。利用GRAPES_CAMS模式中给出的水成物的垂直方向17层数据(1000 hPa到10 hPa)的显示输出可以帮助确定人工影响天气作业潜力区。9月18日开始, 副热带高压缓慢东撤南落, 受中低层暖湿切变影响, 湘西北地区出现积层混合云降雨天气, 地面气象站08:00观测到蔽光高层云、积雨云。图 1a为GRAPES_CAMS模式9月17日20:00预报9月18日11:00的整层累积水成物总量, 经与实况云图(图 1b)相比较, 表明模式预报的湘北地区的云区位置与云体强度均与实况非常接近。进一步分析模式预报整层累积水成物总量、过冷水和水成物空间分布等产品, 可以得到增雨潜力区。图 2为GRAPES_CAMS模式预报9月18日11:00沿29.18°N水成物垂直剖面, 可以看出, 湘北地区(110°~113°E)为冷暖混合云降水, 过冷水主要位于-10~0℃之间(海拔高度5000~6000 m), 云水含量最大为0.05 g·kg-1, 并且该层冰晶数浓度非常少, 为1~10 L-1, 可能具有冷云催化增雨潜力。综上所述, 9月18日08:00—20:00重庆、湖北和湖南北部等地有大范围积层混合云系覆盖, 稳定维持、缓慢东移南落, 湖南湘西北旱区位于大范围云区南沿, 有分散性过冷水, 具有一定催化潜力。指挥部据此设计了飞机人工增雨作业方案, 计划于9月18日10:00—13:00对湘西北旱区实施飞机增雨作业, 在云内-4℃层以上高度实施冷云催化作业。
|
|
| 图1 2015年9月18日11:00 GRAPES_CAMS模式预报的整层累积水成物总量(a)与FY-2E气象卫星反演的光学厚度(b) Fig.1 GRAPES_CAMS model predicted vertically integrated total water substance(a) and satellite retrieval optical thickness(b) at 1100 BT 18 Sep 2015 | |
|
|
| 图2 GRAPES_CAMS模式预报2015年9月18日11:00沿29.18°N纬向的水成物垂直剖面 (Qc表示云水含量, Ni表示冰晶数浓度, T表示等温线) Fig.2 Vertical cross section of GRAPES_CAMS model predicted hydrometers along 29.18°N at 1100 BT 18 Sep 2015 (Qc:amount of cloud water, Ni:number concentration of ice, T:temperature) | |
4.1.4 作业条件临近预报预警与作业指挥
使用9月18日04:00—08:00的FY-2E卫星反演云参数产品对云系水平发展演变进行分析, 预计9月18日09:00—12:00湘西北旱区的张家界、常德等地有积层混合云系覆盖影响, 云顶温度一般为-20~0℃, 云顶高度为3~8 km, 云体过冷层厚度为1~3 km, 有利于开展人工增雨作业。08:00长沙探空云分析产品表明0℃层附近相对湿度为90%, 对湘西北地区进行云降水雷达回波和垂直结构分析均符合雷达作业指标。指挥部决定于10:00—12:00对张家界—常德地区的积层混合云系进行催化作业, 采用冷云催化方案, 使用AgI烟条, 作业高度为5400~6000 m(-7~-4℃), 重点对积层混合云系中的中层层状云和对流泡进行催化作业。
4.1.5 飞机人工增雨作业情况2015年9月18日10:40—13:50运7飞机按计划实施了人工增雨作业, 飞行航线为长沙—汩罗—岳阳—常德—桃源—张家界—宁乡—长沙。飞机于10:40起飞, 起飞后向北爬升, 于10:56进入层状云区开始播撒作业, 同时燃烧ZY-1型烟条2根, 于11:10到达岳阳县上空高度为5400 m, 再折向西往湘西北方向飞行; 11:30接近常德, 此时机载雷达探测到常德市东北方向上空有15×26 km2积云对流泡, 回波强度为15~30 dBZ, 回波顶高为6~8 km, 气象指挥员与机长在空中会商后决定对积云进行绕飞穿云播撒, 11:31—11:49共绕飞和穿云作业18 min, 作业飞行高度由5400 m盘旋上升到6000 m, 播撒剂量为两侧同时燃烧ZY-1型烟条4根; 之后, 飞机维持在5700 m高度往西在张家界市上空进行作业, 于13:04播撒结束, 向东南方向经宁乡于13:50降落。此次增雨作业共飞行3 h 10 min, 燃烧播撒ZY-1型烟条10根。
4.1.6 目标区云降水演变 4.1.6.1 地面降雨量分析作业后3 h(12:00—15:00)的地面降雨量实况(图 3)可以看到, 18日12:00—15:00湘西北旱区普降小到中雨, 飞机增雨影响区范围为降雨区的南沿, 地面降雨量一般为1~5 mm, 在常德市北部出现了一个5~10 mm的降雨量相对高值区。
|
|
| 图3 2015年9月18日飞机增雨作业后3 h实况累积降水量 (黑色框为飞机增雨作业影响区, 红色圈为积云绕飞穿云作业区) Fig.3 Observed accumulated rainfall after 3 h of the aircraft precipitation enhancement operation on 18 Sep 2015 (the black box is the the affected area of aircraft precipitation enhancement, the red circle is the seeding area of aircraft precipitation enhancement through the cumulus clouds) | |
4.1.6.2 成对对流云人工增雨作业效果评估
根据9月18日11:31—11:49绕飞穿云作业前对流泡的外观形状, 结合雷达剖面和探空云分析资料分析可知, 对流泡云顶高度为7.5 km(约-15℃), 飞机增雨盘旋作业高度为6 km(约-7℃), 层状云高度主要位于中层3.0~5.0 km(约0℃)。飞机穿云作业后在领航座舱凸面玻璃上留下的结冰严重(图略), 表明作业云中过冷水丰富, 具有冷云催化增雨潜力。图 3的降雨实况初步显示, 此次对积层混合云系中的对流泡进行催化作业比周围其他地区只对层状云进行催化作业取得了更好的增雨效果。
采用成对对流云增雨作业效果评价方法[13], 对积云对流泡飞机人工增雨作业效果进行评估。对常德市东北方向上空积云对流泡进行飞机增雨绕飞穿云作业时, 在其西部上风方向约80 km处有一块积云, 二者受相同天气系统影响, 基本处于相同发展阶段, 其雷达回波的特征量指标均能达到:回波水平尺度为15~20 km, 回波垂直尺度为6~8 km、回波强度不低于30 dBZ, 垂直积分液态含水量不低于1 kg·m-2, 符合配对要求。将这一对对流云作为试验云, 处于下风方向的绕飞穿云作业的积云对流泡为作业目标云, 另一块处于上风方向的积云对流泡不作业, 作为对比云。在高空风的作用下, 目标云和对比云均以56 km·h-1的速度向东偏北方向移动(图 4)。对作业时、作业后15 min、作业后30 min(图 4a、图 4b、图 4c)的雷达回波变化进行比较。基于雷达基数据处理区域范围内统计信息, 从雷达回波组合反射率因子总平均值看(回波总平均值为单位面积回波强度值之和除以单位面积总个数, 单位面积回波强度值取单位柱体中的最大回波强度值), 对比云:18.9→18.4→19.6 dBZ, 表现为维持并略有增强; 目标云:16.74→19.95→22.06 dBZ, 表现为持续增强, 且目标云雷达回波增强幅度较对比区明显要大。从各类回波值所占面积范围变化情况来看, 主要体现在30 dBZ回波所占单位面积(1 km2)数量变化, 对比云:118→146→169个; 目标云:118→233→255个, 目标云强回波面积增加较对比区明显要大。对比分析表明目标云云体发展, 强度增强、强回波面积增大, 且增加幅度均较对比云要大, 说明绕飞穿云播撒有明显的正催化效果。
|
|
| 图4 2015年9月18日目标云(红色框)与对比云(蓝色框)的雷达回波组合反射率因子移动演变 (a)11:35, (b)12:00, (c)12:18 Fig.4 Movement changes in radar echo of seeded clouds(the red box) and contrast clouds(the blue box) (a)1135 BT, (b)1200 BT, (c)1218 BT | |
4.1.6.3 基于雷达三维拼图和最大相关系数回波跟踪算法(TREC)的作业效果评估
基于多普勒天气雷达三维拼图和最大相关系数的雷达回波跟踪方法(TREC), 能够合理跟踪回波在空间的垂直位置和水平位置, 通过实时跟踪飞机播云催化区的回波变化, 可以为人工增雨作业的效果评估提供重要参考[33-35]。
① 数据来源与跟踪方案设计。采用中国气象科学研究院灾害天气国家重点实验室开发的多普勒天气雷达三维组网及产品处理系统对雷达数据进行CAPPI资料组网, 采用自主研发的基于TREC算法的跟踪软件进行雷达回波跟踪分析。组网数据为雷达回波强度三维格点数据, 为不同高度的CAPPI资料, 经纬度分辨率为0.01°×0.01°, 组网数据文件时间间隔为6 min。具体选取飞机人工增雨作业所在区域的常德、长沙共2个雷达站的9月18日11:30—13:30(即作业后2 h)的CAPPI拼图资料, 将上述成对对流云中目标云和对比云分别设定为目标区和对比区, 因为飞机绕飞作业轨迹近似于半径为13 km的圆, 所以选择2个圆形跟踪区域, 选择高空0℃层附近5 km高度暖层的CAPPI作为跟踪对象。其中目标区圆形跟踪区域的圆心位于29.26°N, 111.81°E, 半径为13 km; 对比区圆形跟踪区域的圆心位于29.06°N, 111.03°E, 半径为13 km。参数统计开始时刻为飞机增雨绕飞播撒积云开始作业时刻, 即开始跟踪时刻为11:30, 统计至13:30止, 共计2 h。选择如下统计参数:最大反射率因子、垂直积分液态含水量平均值、最大回波顶高、平均雨强, 分析其随时间变化, 从而为飞机人工增雨效果评估提供物理量分析。回波参数均由反射率因子基数据演算得出, 其中最大反射率因子和最大回波顶高计算的是跟踪区域内相应物理量的最大值; 垂直积分液态含水量平均值取跟踪区域内的平均值; 平均雨强I采用对流云Z-I关系[36]:Z=300I1.4。
② 跟踪区域移动合理性分析。图 5为不同时刻的回波跟踪图, 可以看到, 目标区和对比区均向东北方向移动, 以东移为主, 这与TREC矢量的指向一致, 雷达回波的整体移动方向也为东偏北方向。跟踪软件显示从11:30—13:30的圆形跟踪区域都分别包围了作业催化的对流云和对比区的对流云。即跟踪区域移动方向、TREC矢量指向、雷达回波的移动方向一致, 目标区、对比区每个跟踪时刻的圆形跟踪区域都分别包围住了需要检验的对流云团, 验证了TREC算法在此次跟踪中的合理性和准确性。
|
|
| 图5 2015年9月18日飞机增雨作业目标区和对比区回波跟踪 (a)11:36, (b)12:00 Fig.5 Echo tracking of seeding area and contrast area of the aircraft precipitation enhancement operation on 18 Sep 2015 (a)1136 BT, (b)1200 BT | |
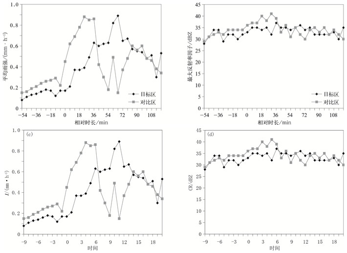
③ 积云飞机增雨作业目标区与对比区的跟踪统计结果。将飞机绕飞作业后2 h目标区与对比区的雷达回波参数跟踪统计结果绘制成曲线图, 可以清楚地对比和了解作业后云的发展动态, 为便于了解自然云的发展趋势, 将作业前1 h的跟踪结果一并标出, 如图 6所示。图 6中横坐标表示相对于跟踪开始时刻的时长, 负号表示跟踪开始前。由图 6可以看到, 垂直积分液态含水量平均值作业前1 h目标区与对比区有相同的发展趋势, 均表现为逐步增强; 作业后目标区表现为持续增强→减弱, 而对比区表现为增强→减弱→增强→减弱。最大回波顶高作业前1 h目标区与对比区均表现为升高并基本维持; 作业后目标区表现为增高→减弱, 而对比区表现为减弱→缓增→减弱, 二者最后均维持在7~8 km高度。对于平均雨强, 目标区与对比区的变化趋势类似垂直积分液态含水量平均值。对于最大反射率因子, 作业前1 h目标区与对比区有相同的发展趋势, 均表现为缓慢增强并维持; 作业后目标区表现为稍增强并维持, 而对比区表现为稍增强再减弱, 二者最后均维持在30~35 dBZ强度。综上所述, 作业前1 h, 目标区和对比区云系的雷达回波参数垂直积分液态含水量、最大回波顶高、平均雨强、最大反射率因子有相同的发展趋势, 均表现为逐步增加或维持; 作业后2 h, 各参数在目标区呈单峰型增大趋势, 在对比区内各参数主要呈双峰型减弱趋势, 即增强→减弱→增强→减弱; 主要差别出现在作业后30~90 min时间段, 之后二者变化又渐趋于一致。跟踪统计结果表明:积云飞机增雨作业后, 目标区云体发展, 强度增强, 高度增加, 降水增大; 目标区相对对比区的积云发展, 各物理量的增强趋势更加明显、维持时间更长, 表明增雨作业有效。
|
|
| 图6 2015年9月18日飞机增雨作业目标区与对比区雷达回波参数统计 Fig.6 Statistics of radar echo parameters in each seeding area and contrast area of the aircraft precipitation enhancement operation on 18 Sep 2015 | |
4.2 20110908增雨作业过程 4.2.1 飞机人工增雨作业情况
2011年9月8日受高空低槽降水天气系统影响, 湖南省西北部地区出现有利飞机增雨作业天气过程。07:30运7飞机顺利升空赴湘北旱区执行人工增雨任务, 经由长沙—汩罗—溆浦—沅陵—常德—宁乡返回, 于09:58降落空军长沙机场。此次飞机增雨作业在沅陵县上空对处于降水天气系统后部的浓积云进行了动力催化, 于08:40—09:05在浓积云中上部5.4~5.7 km(约-2~-5℃)高度层进行了绕飞和擦边播撒AgI催化剂, 同时燃烧7根冷云焰条, 催化剂量约为100 g·km-1, 人工冰晶浓度达到100 L-1。
4.2.2 目标区云降水演变 4.2.2.1 地面降雨量湖南省中小尺度气象站网的降雨量统计(图略)显示飞机增雨对沅陵县上空的浓积云进行动力催化1 h后, 作业影响区和下风方向的降水量(0.1~3.1 mm)明显比上风方(0.3 mm以内)要大。
4.2.2.2 雷达回波与气象综合分析从飞机增雨动力催化作业前后雷达回波变化和目视情况看, 作业前(图 7a), 处于降水天气系统后部的浓积云中高层(7 km高度)、中层(4 km高度)均有分散性雷达回波, 云顶高度局部最高达10 km(约-20℃), 目视云体状态稳定。实施动力催化10 min后(图 7b), 浓积云开始重新发展, 降水回波面积扩大。作业20 min后(图 7c), 目视云体发展剧烈, 云顶高度整体升高, 云体颜色明显变黑; 雷达剖面资料(图略)显示中高层回波面积扩大、高度增高、强度增强, 特别是30~35 dBZ强回波面积和高度增加明显; 而中层雷达回波则面积缩小、强度减弱; 上下层之间呈现中上层加强、中层减弱。作业32 min后(图 7d), 中高层雷达回波开始分散减弱, 中层雷达回波已经基本消失。作业38 min后, 上下层雷达回波均消失、积云消散。结合自动气象站雨量分析来看, 对应地面降雨量变化是作业前微量降水、作业后15~30 min降雨量增大、作业30 min后降雨减弱停止。
|
|
| 图7 2011年9月8日沅陵地区浓积云动力催化作业前后雷达回波变化 (红色线为剖面位置, 红色圈为播撒飞行轨迹) Fig.7 Radar echo changes before and after dynamical seeding operation with cumulus congestus at Yuanling on 8 Sep 2011 (the red line is sectional position, the red circle is flight track of seeding) | |
使用2011年9月8日08:00的1°×1° NCEP FNL分析资料沿沅陵县(28.45°N, 110.42°E)纬度绘制垂直速度和相对湿度的剖面图(图 8)。由图 8可知, 在中低层750 hPa以下和中高层550 hPa以上有上升气流, 最大达到-0.4 Pa·s-1, 相对湿度在90%以上; 在中层550~750 hPa之间是弱的下沉气流, 相对湿度在60%以下。以NCEP FNL分析资料为初始场, 采用WRF模式对此次作业天气过程进行了数值模拟, 显示在沅陵县上空有一定数量的过冷水。飞机擦边播撒入云作业时出现积冰也表明:作业云中过冷水丰富, 具有冷云催化增雨潜力。
|
|
| 图8 2011年9月8日08:00沿28.45°N的垂直速度(等值线, 单位:Pa·s-1)和相对湿度(阴影)垂直剖面 Fig.8 The vertical section of vertical velocity(the contour, unit:Pa·s-1) and relative humidity(the shaded) along 28.45°N at 0800 BT 8 Sep 2011 | |
此次催化作业效果的一种合理解释是, 处于降水天气系统后部的浓积云, 其上升气流和水汽输送均较弱, 云体状态相对稳定; 通过动力催化引入大量人工冰晶, 迅速转化过冷水, 释放潜热, 增加云体温度和浮力, 促使云体在垂直和水平方向重新发展, 延长了云的生命期, 从而增加降水; 由于过冷水被迅速转化, 中层水汽输送比较弱, 导致中层雷达回波先于中高层消散。
5 小结本研究得到以下主要结论:
1) 常年9月, 湖南积云活动仍然十分活跃, 然后逐步减少, 月平均积云出现日数由9月的15 d逐步减少到10月的6 d和11月的4 d。秋季主要降雨云系在9月分为3类:积云或积层混合云系(占总降雨日数的40%), 碎雨云、蔽光层积云(占总降雨日数的38%); 碎雨云、蔽光高层云(占总降雨日数的19%), 在10—11月主要出现后两类降水云系。
2) 湖南省秋季积云或积层混合云系人工增雨作业条件判别采用降水天气形势、主要云系、云顶高度与温度、云体厚度、催化层高度与温度、相对湿度、雷达回波强度与垂直积分液态含水量, 过冷水含量、降雨实况等12个判据及相应定量判别指标, 这些判据基于日常气象业务产品, 可操作性强、识别率高, 在指挥飞机增雨作业时发挥了重要作用。
3) 使用运7飞机搭载ZY-1型AgI烟条作业装备条件下, 催化积层混合云系中的降水性层状云系, 适宜作业的区域在蔽光高层云中, 静力催化的温度层宜为-15~-5℃, 催化剂量为30 L-1人工冰晶浓度, 需同时燃烧2根烟条; 催化积层混合云系中的积云对流泡, 冷云催化的适宜作业区域在过冷云云顶附近, 除实施静力催化外, 当积云发展得比较高、云顶温度低于-10℃、过冷层比较厚时, 可以采取动力催化, 作业的温度层宜为-15~-7℃, 催化剂量至少为100 L-1, 需同时燃烧至少7根烟条。
4) 2010—2016年的40多次飞机增雨作业实践表明:针对积层混合云系进行催化可以取得较好的作业效果, 对其中混合性层状云播撒冷云催化剂地面一般降小雨(日降水量为1~10 mm); 对其中的积云对流泡进行冷云催化, 地面一般降小到中雨(日降水量为5~17 mm); 另有4次对状态相对稳定、维持时间超过12 h的层状暖云进行暖云播撒只获得微量降水(日降水量为0.1 mm)的增雨效果。
根据现状, 湖南省飞机增雨作业应进一步加强机载气象探测设备建设和云宏微观物理探测, 特别是针对积云的探测和研究, 完善积云增雨作业指标, 逐步建立南方积云人工增雨的云物理概念模型。同时应建设多种机载催化设备以满足不同云的播撒作业要求。
| [1] | 马培民, 孙奕敏, 赵瑞华, 等. 1963年夏季湖南盐粉催化浓积云降水试验效果的分析. 气象学报, 1965, 37, (3): 280–292. DOI:10.11676/qxxb1965.032 |
| [2] | 王治平, 唐林, 张中波, 等. 湖南省50年来人工增雨试验及积云研究//中国人工影响天气事业50周年纪念文集. 北京: 气象出版社, 2009: 102–105. |
| [3] | 姚展予. 中国气象科学研究院人工影响天气研究进展回顾. 应用气象学报, 2006, 17, (6): 786–795. DOI:10.11898/1001-7313.20060616 |
| [4] | 叶家东, 李如祥. 积云动力学. 北京: 气象出版社, 1988: 31–33. |
| [5] | 陈佑淑, 蒋瑞宾. 气象学. 北京: 气象出版社, 1989: 310–311. |
| [6] | 游来光, 马培民, 胡志晋. 北方层状云人工降水试验研究. 气象科技, 2002, 30, (增刊Ⅰ): 19–63. |
| [7] | 胡志晋. 层状云人工增雨机制、条件和方法的探讨. 应用气象学报, 2001, 12, (增刊Ⅰ): 10–13. |
| [8] | 李永振, 李茂伦, 李薇, 等. 北方降水性层状云人工增雨潜力区的逐步判别研究. 应用气象学报, 2003, 14, (4): 430–436. |
| [9] | 蒋年冲, 吴必文, 袁野, 等. 江淮地区对流云人工增雨技术研究基地的可行性分析. 应用气象学报, 2003, 14, (增刊Ⅰ): 151–155. |
| [10] | 胡雯, 申宜运, 曾光平. 南方夏季对流云人工增雨技术研究. 应用气象学报, 2005, 16, (3): 413–416. DOI:10.11898/1001-7313.20050317 |
| [11] | 孙晶, 史月琴, 蔡淼, 等. 南方三类云系云结构预报和增雨作业条件分析. 气象, 2015, 41, (11): 1356–1366. DOI:10.7519/j.issn.1000-0526.2015.11.005 |
| [12] | Rosenfeld D, woodley W L. Effects of cloud seeding in west Texax:Additional results and new insights. J Appl Meteor, 1993, 32: 1848–1866. DOI:10.1175/1520-0450(1993)032<1848:EOCSIW>2.0.CO;2 |
| [13] | 蒋年冲, 曾光平, 袁野, 等. 夏季对流云人工增雨效果评价方法初探. 气象科学, 2008, 28, (1): 100–104. |
| [14] | 贾烁, 姚展予. 江淮对流云人工增雨作业效果检验个例分析. 气象, 2016, 42, (2): 238–245. DOI:10.7519/j.issn.1000-0526.2016.02.012 |
| [15] | 韩嗣荧, 熊华南. 湖南省夏秋季积云可播度探讨. 气象, 1993, 19, (3): 13–16. DOI:10.7519/j.issn.1000-0526.1993.03.003 |
| [16] | 刘耀宗, 王治平, 陈历舒. 湖南单块积云高炮增雨随机化试验效果的分析. 气象, 1999, 25, (8): 16–21. DOI:10.7519/j.issn.1000-0526.1999.08.004 |
| [17] | 黄美元, 洪延超, 徐华英, 等. 层状云对积云发展和降水的影响—一种云与云之间影响的数值模拟. 气象学报, 1987, 45, (1): 72–77. DOI:10.11676/qxxb1987.009 |
| [18] | 胡志晋, 苏茂, 李如祥, 等. 长沙夏季积云宏观特征的观测分析//中国南方云物理学和人工降水论文集. 北京: 气象出版社, 1986: 1–8. |
| [19] | 周益辉, 唐林, 曾光平, 等. 南方夏秋干旱期间的天气气候特征. 应用气象学报, 2003, 14, (增刊Ⅰ): 118–125. |
| [20] | 徐永胜, 刘耀宗, 韩嗣荧. 夏、秋积云的雷达回波和降水特征及其估算. 应用气象学报, 1992, 3, (3): 334–339. |
| [21] | 朱士超, 郭学良. 华北积层混合云中冰晶形状、分布与增长过程的飞机探测研究. 气象学报, 2014, 72, (2): 366–389. DOI:10.11676/qxxb2014.013 |
| [22] | 中国气象局科技教育司. 飞机人工增雨(雪)作业业务规范(试行). 2002: 54. |
| [23] | 黄美元, 徐华英. 云和降水物理. 北京: 科学出版社, 1999: 227. |
| [24] | 郭学良, 杨军, 章澄昌. 大气物理与人工影响天气. 北京: 气象出版社, 2011. |
| [25] | 余兴, 戴进. 层状云中飞机人工增雨作业间距的研究. 大气科学, 2005, 29, (3): 465–474. |
| [26] | 苏正军, 郑国光, 酆大雄. 吸湿性物质催化云雨的研究进展. 高原气象, 2009, 28, (1): 227–232. |
| [27] | 王以琳. 山东人工增雨宏观条件分析. 应用气象学报, 2001, 12, (增刊Ⅰ): 164–168. |
| [28] | 中国气象局科技发展司. 人工影响天气岗位培训教材. 北京: 气象出版社, 2003. |
| [29] | 郭学良, 杨军, 章澄昌. 大气物理与人工影响天气. 北京: 气象出版社, 2011: 264–267. |
| [30] | 张佃国, 郭学良, 龚佃利, 等. 山东省1989-2008年23架次飞机云微物理结构观测试验结果. 气象学报, 2011, 69, (1): 195–207. DOI:10.11676/qxxb2011.017 |
| [31] | 张中波, 仇财兴, 王治平, 等. 一次积层混合云系人工增雨作业的综合观测分析. 气象科技, 2014, 42, (5): 897–904. |
| [32] | 李集明, 周毓荃, 陶玥. 2013年南方干旱人工影响天气技术交流论文集. 北京: 气象出版社, 2015: 78–128. |
| [33] | 汪玲, 刘黎平. 人工增雨催化区跟踪方法与效果评估指标研究. 气象, 2015, 41, (1): 84–91. |
| [34] | 陈超, 刘黎平, 王改利, 等. 人工影响天气中雷达回波跟踪方法及其应用. 气象科技, 2012, 40, (3): 459–496. |
| [35] | 马建立, 王改利, 金永利, 等. TREC算法在人工影响天气系统中的应用. 气象科技, 2011, 39, (2): 236–239. |
| [36] | 仲凌志, 刘黎平, 顾松山. 层状云和对流云的雷达识别及在估测雨量中的应用. 高原气象, 2007, 26, (3): 593–602. |
2018, 29 (2): 200-216



