2. 京津冀环境气象预报预警中心, 北京 100089
2. Environmental Meteorology Forecast Center of Beijing-Tianjin-Hebei, China Meteorological Administration, Beijing 100089
近年来,我国中东部地区尤其是京津冀地区,频繁发生的雾霾天气给城市交通、大气环境、电力通信设施、人体健康等带来严重的危害和经济损失,引起了社会公众、国内外媒体舆论以及学者的高度关注[1-8]。正确认识雾霾的成因及如何减少和治理雾霾灾害性天气,是各级政府部门当前面对的问题之一,也是研究的一个热点问题[9-13]。对雾霾和空气污染尤其是持续性雾霾与重污染的中期预报,是气象科技工作者们面临的一项艰巨任务。雾霾与空气质量的中期(未来10 d)预报,不仅能为公众的生产生活、交通出行等提供参考,也是政府部门应对空气重污染能够提前采取减排措施的必要参考。然而雾霾污染的中期预报目前还面临着诸多困难,一方面,客观预报方法较少,客观预报方法的建立面临巨大挑战;另一方面,随着预报时效的延长,气象场的预报准确率会随之降低,导致空气质量中期预报的不确定性增加。鉴于此,尝试构建北京及周边地区重点城市的雾霾中期预报技术是一项具有应用价值的研究工作。
统计预报方法在天气预报技术演化进程中起了重要作用,在天气预报或气候预测业务中广泛应用[14-17]。近年来,国际上利用统计方法进行空气质量预报的研究工作得到广泛重视。如Neal等[18]、Donnelly等[19]、Silibello等[20]、Prasada等[21]、Perez等[22]利用统计预报方法分别对英国、爱尔兰、意大利、印度和智利等国家的部分城市或地区开展了PM2.5,O3,NOx等浓度的短时至中期的预报研究,显示出较好的效果。国内也有学者尝试利用动态统计方法开展北京空气质量的客观预报[23],但预报时效主要为短期,目前专门针对京津冀地区雾霾污染中期客观化预报的研究报道还不多见。
欧洲中期天气预报中心(ECMWF)数值预报产品(简称ECMWF产品)目前在气象部门较为常用,对我国大部分地区的天气过程具有较高的预报效能。因此,本文利用ECMWF产品的中期气象预报场和动力统计预报方法相结合,尝试构建京津冀地区雾霾与空气质量的中期定量化预报技术,并对试验预报效果进行评估。
1 资料与方法 1.1 资料与研究区域本文所用资料包括ECMWF产品的部分气象要素,其中地面要素水平分辨率为0.1°×0.1°,1000,925,850,500 hPa气象要素水平分辨率为0.25°×0.25°。根据试验及相关研究[24-25],选用对北京地区空气污染物有重要影响的气象因子作为潜在预报因子,主要有海平面气压、地面10 m纬向风、地面10 m经向风、地面10面风速、1000 hPa相对湿度、925 hPa垂直速度、850 hPa纬向风、850 hPa经向风、850 hPa温度、500 hPa高度场等10个要素。此外,地面站观测资料包括来自中国环境保护部国控站的逐时PM2.5监测资料以及中国气象局地面气象站的逐时或逐3 h的能见度资料等。对京津冀及周边地区14个重点城市进行试验性预报,城市信息如表 1所示。所有资料时间段为2015年10月1日—2016年11月10日。
|
|
表 1 14个城市信息 Table 1 Information of 14 cities |
1.2 研究方法
由于气象要素往往存在时滞影响,仅有当前时刻的资料还难以全面反映出气象条件对污染物浓度变化的影响。因此,将前m小时的气象要素也作为当前时刻的解释因子。另一方面,由于雾霾发展过程基本伴随着污染物浓度的逐渐累积过程,意味着各气象要素前几个时刻的变化速率和幅度也有重要影响,因此,本文将各个变量的前n小时的滑动线性趋势、前p小时的时次差值也作为当前时刻的解释因子。将前m小时的时滞序列、前n小时的滑动线性趋势序列、前p小时的差值序列作为构造变量,则原变量和构造变量合计达到40个。原始变量记为Xir,3类构造变量分别记为Xia,Xib和Xic,则总的预报因子为一个集合矩阵X:
|
(1) |
其中,i=1, 2,…,10。经过多次试验,目前给定的m,n,p分别是1,5,2。
从ECMWF产品中提取X之后,再从地面气象站观测资料中提取各城市对应的能见度、PM2.5浓度作为被解释因子Y,对过去一定时段内(如30 d)观测值Y(观测能见度、PM2.5浓度)与预报因子X进行统计分析,每日更新观测资料和预报资料,构建动态的统计回归模型:
|
(2) |
式(2)中,α是多元回归模型的常数,β是回归系数矩阵,X是预报因子(解释变量)即气象因子矩阵,Y是被解释因子即能见度和PM2.5浓度,i是分析时段内时次。代入最新的气象要素预报值,计算得到未来10 d的PM2.5浓度和能见度逐时值,并结合ECMWF产品相对湿度预报,依据雾霾预报标准判定是否出现雾霾天气。以上过程称为动态统计预报方法。通过编写Matlab脚本,实现了该预报方法的自动化运行,并开发了集合PM2.5浓度、能见度和雾霾现象的图形产品,每日定时完成PM2.5浓度和能见度的预报,制作图形产品并推送到业务平台,供预报人员参考。
1.3 检验方法为检验预报效果,对2015年10月1日—2016年11月10日试验预报结果进行定量化检验。分别计算各个城市范围内站点观测值与对应的预报值与观测值之间的相关系数、平均偏差、均方根误差、TS评分和误差减少量等统计指标。误差减少量是一个非常苛刻的检验统计量,其取值范围是(-∞,1.0],大于0表示预报有技巧,大于0.2表示预报可信,等于1表示预报完美,即预报值与观测值完全一致[26-27]。此外,对能见度等级、PM2.5浓度等级以及雾霾现象预报效果计算TS评分。
2 结果分析 2.1 能见度与PM2.5浓度检验首先利用相关系数考察基于ECMWF产品和动态统计预报方法对北京及周边14个城市逐日能见度变率的预报效果(逐时相关系数略低于逐日,为节省篇幅,相关系数、误差减少量、均方根误差等指标检验均为逐日检验,下同),分别计算预报时效为24 h,48 h,…,240 h的相关系数(如表 2所示)。整体上看,各城市逐日能见度预报值与观测值之间具有很好的正相关关系,全部城市、全部预报时效平均相关系数为0.54。对比北京和14个城市平均相关系数可以看到,随着预报时效的延长,相关系数整体上呈较明显的降低趋势(图 1a)。当预报时效分别为24,48,72,96,120,144,168,192,216 h和240 h时,14个城市平均相关系数分别为0.68,0.64,0.64,0.61,0.58,0.54,0.50,0.46,0.40和0.36,略低于北京的0.75,0.72,0.73,0.74,0.71,0.61,0.57,0.56,0.47和0.39 (全部相关系数均达到0.01显著性水平)。显著正相关表明该动态统计预报方法对北京及周边14个城市的逐日能见度变化趋势的预报与实际情况具有很好的一致性(表 2中仅列出部分预报时效)。
|
|
表 2 不同预报时效的逐日能见度预报值与观测值的相关系数 Table 2 Correlation between the predicted visibility and the observed visibility in different leading times |
|
|
| 图1 逐日能见度(a)、PM2.5浓度(b)预报与观测的相关系数 Fig.1 Correlation coefficients of the predicted visibility and the observed visibility(a) with those of PM2.5(b) in different leading times for Beijing and the mean of 14 cities | |
对应地,考察了不同预报时效逐日PM2.5浓度预报值与观测值的相关系数(表略),同时对比了北京和14个城市平均的相关系数(图 1b)。与能见度类似,随着预报时效的延长,PM2.5浓度预报值与观测值的相关系数整体上呈减小趋势。当预报时效分别为24,48,…,240 h时,该动态统计预报方法对北京的PM2.5浓度预报值与观测值的相关系数分别为0.59,0.53,0.53,0.54,0.52,0.44,0.37,0.37,0.33和0.21,平均为0.44;14个城市平均的PM2.5浓度预报值与观测值的相关系数分别为0.61,0.57,0.57,0.57,0.54,0.50,0.46,0.42,0.39和0.32,平均值为0.49。相关系数均达到0.01显著性水平。显著正相关表明该方法对北京等城市逐日能见度变化趋势的预报值与观测值具有较高的一致性。与能见度相比,对PM2.5浓度预报的相关系数略偏低,这可能是对雾霾污染时PM2.5浓度峰值预报偏低造成的。
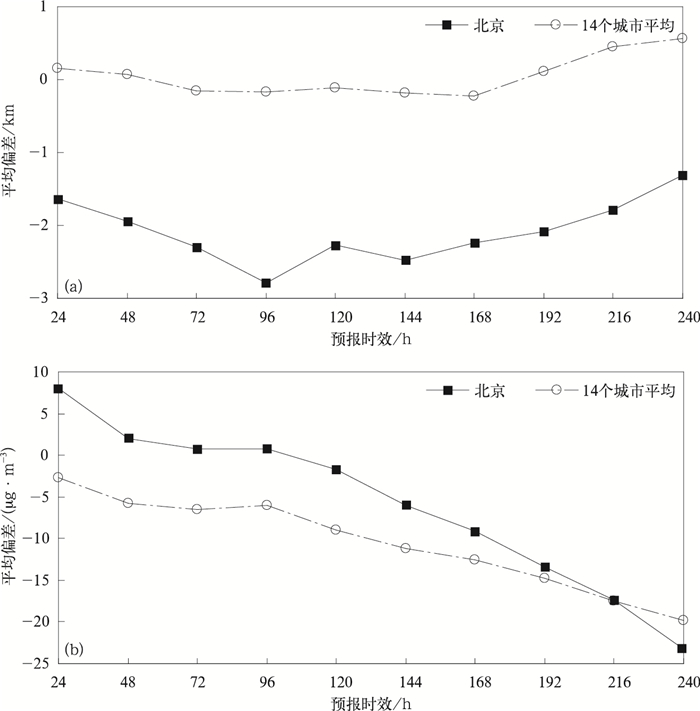
统计14个城市逐日能见度的预报值与观测值的平均偏差(表略),当预报时效为24,48,…,240 h时,14个城市平均的平均偏差值分别是0.15,0.07,-0.15,-0.17,-0.11,-0.18,-0.22,0.11,0.45 km和0.57 km,北京的平均偏差分别是-1.64,-1.95,-2.29,-2.78,-2.27,-2.48,-2.24,-2.08,-1.79 km和-1.32 km。平均偏差值大于0表示预报能见度较实际观测值偏高,小于0表示预报能见度较观测值偏低。整体上看,该动态统计预报方法低估了北京、天津等城市的能见度,而高估了石家庄、保定等城市能见度。由图 2a可见,72 h至168 h能见度预报低估幅度最大。对能见度的低估,意味着对雾霾预报偏重。对PM2.5浓度的预报而言,当预报时效为24 h,48 h,…,240 h时,14个城市平均的平均偏差分别为-2.65,-5.74,-6.50,-6.00,-8.93,-11.15,-12.50,-14.74,-17.53 μg·m-3和-19.81 μg·m-3,均为负值,表明整体上预报PM2.5浓度较观测值偏低,且随着预报时效延长偏差值增大;而北京的平均偏差分别是8.01,1.94,0.76,0.78,-1.68,-6.08,-9.13,-13.40,-17.38 μg·m-3和-23.31 μg·m-3,前4 d平均偏差大于0,后6 d平均偏差小于0,说明预报时效为1~4 d对PM2.5浓度以高估或略微偏高为主,而其后6 d,对PM2.5浓度预报值以低估为主,且预报时效越长,低估越明显。平均偏差的变化特征与能见度的变化差异明显(图 2b)。
|
|
| 图2 逐日能见度(a)、PM2.5浓度(b)预报与观测的平均偏差 Fig.2 The mean bias of the predicted visibility and the observed visibility(a) with that of PM2.5(b) in different leading times for Beijing and the mean of 14 cities | |
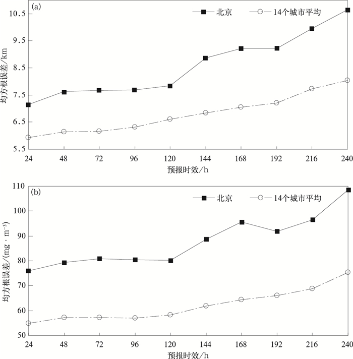
图 3a是北京和14个城市平均的能见度均方根误差曲线,可以看到,预报时效从24 h增加到240 h时,14个城市平均的均方根误差分别为5.93,6.15,6.16,6.32,6.61,6.84,7.05,7.21,7.72 km和8.03 km,北京的均方根误差分别为7.15,7.64,7.68,7.68,7.84,8.87,9.22,9.22,9.96 km和10.66 km,14个城市全部时段均方根误差平均值为6.8 km。均方根误差越小,表示预报值与观测值的平均值偏差越小。可以看出,随着预报时效的延长,北京和14个城市平均的均方根误差均呈现明显增大趋势,表明随着预报时效的延长,对能见度的预报偏差呈增大趋势。对逐日PM2.5浓度预报的均方根误差(图 3b)与能见度类似,随着预报时效从24 h增加到240 h,14个城市平均的均方根误差分别为54.90,57.16,57.28,57.05,58.23,61.73,64.44,65.96,68.84 μg·m-3和75.32 μg·m-3,平均值为62.09 μg·m-3;北京的均方根误差分别为75.89,79.40,80.94,80.42,80.13,88.66,95.68,91.81,96.41 μg·m-3和108.62 μg·m-3,平均值为87.80 μg·m-3。北京的均方根误差比14个城市平均值偏高25 μg·m-3,且随着预报时效的延长二者都呈明显的增加趋势(图 3b),也表明预报时效越长其绝对值偏差越明显。
|
|
| 图3 逐日能见度(a)、PM2.5浓度(b)预报与观测的均方根误差 Fig.3 The root mean square error of the predicted and observed visibility(a) with that of PM2.5(b) in different leading times for Beijing and the mean of 14 cities | |
图 4a是北京和14个城市平均的能见度误差减少量曲线,可以看到,预报时效从24 h增加到240 h时,14个城市能见度平均误差减少量分别为0.32,0.26,0.27,0.22,0.14,0.10,0.03,-0.07,-0.24和-0.33,北京的误差减少量分别为0.54,0.48,0.48,0.48,0.46,0.31,0.25,0.25,0.12和-0.02,14个城市全部时段能见度减少量平均值为0.07。如前面部分所介绍的,误差减少量大于0.2,表示预报值是可信的,其值越接近1,则表明预报效果越好。可以看到,随着预报时效的延长,不论是北京还是14个城市平均,误差减少量均呈现明显降低趋势。对PM2.5浓度的逐日预报,预报时效从24 h增加到240 h时14个城市平均的误差减少量分别为0.30,0.24,0.24,0.25,0.22,0.13,0.05,0.02,-0.07和-0.27,平均值为0.11;北京的误差减少量分别为0.32,0.25,0.23,0.24,0.23,0.05,-0.10,-0.01,-0.11和-0.42,平均值0.07。同能见度类似,对PM2.5预报的误差减少量也随着预报时效的延长呈现明显降低趋势。同时还注意到,不管是北京还是14个城市平均值,前6 d误差减少量均大于0,且前5 d的误差减少量均大于0.2(图 4b)。综合来看,该方法对PM2.5浓度变化趋势和绝对值的预报,在前5~6 d均具有较好的参考性。
|
|
| 图4 逐日能见度(a)、PM2.5浓度(b)预报与观测的误差减少量 Fig.4 The predicted error reduction of visibility(a) and PM2.5(b) in different leading times for Beijing and the mean of 14 cities | |
2.2 能见度与PM2.5浓度的等级检验
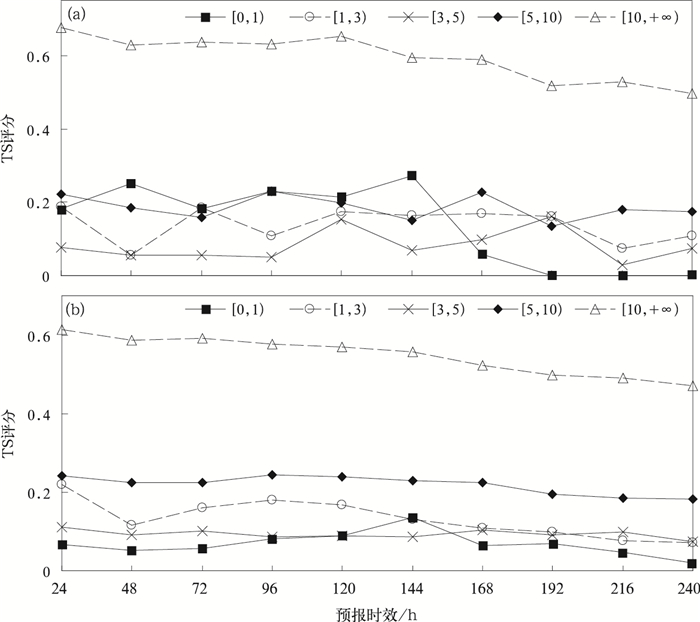
利用TS评分法对逐日能见度等级、PM2.5浓度等级预报效果进行评估,将能见度分为5个等级(数值单位均为km):[0,1),[1,3),[3,5),[5,10),[10, +∞);按照空气质量标准将PM2.5浓度分为6个等级(数值单位均为μg·m-3):[0,35),[35,75),[75,115),[115,150),[150,250),[250,+∞)。图 5、图 6分别为能见度和PM2.5浓度等级预报TS评分曲线,考察北京和14个城市平均的不同预报时效、不同等级评分情况。从全部预报时效(24 h,48 h,…,240 h)平均看,对北京能见度5个等级的TS评分分别为0.14,0.14,0.08,0.19,0.60;14个城市平均的TS评分分别为0.07,0.13,0.09,0.22,0.55;对北京PM2.5浓度6个等级的TS评分分别为0.31,0.18,0.06,0.05,0.10和0.03;14个城市平均的TS评分分别为0.23,0.24,0.13,0.07,0.11和0.03。可以看到,对能见度大于等于10 km的预报的TS评分最高,其次是能见度为5~10 km的;对PM2.5浓度小于35 μg·m-3等级预报的TS评分最高,其次是浓度为35~75 μg·m-3。不论是能见度还是PM2.5浓度,整体上TS评分均随着预报时效延长略有一定降低趋势,但不同等级的预报TS评分随着预报时效的变化有一些差异。对比全国气象部门环境气象业务模式2015年度检验评估报告中对能见度的TS评分(图略),在24 h,48 h,72 h预报时效上,动态统计预报方法对能见度的预报效果与数值模式的短期预报效果较为接近;另一方面,尽管TS评分随着预报时效延长略有一定的降低趋势,但其整体上具有较好的连续性,表明该方法对北京等城市逐日能见度等级的预报具有较好的可靠性。
|
|
| 图5 北京(a)及14个城市平均(b)的能见度预报TS评分 Fig.5 TS of the visibility prediction in different leading times for Beijing(a) and the mean of 14 cities(b) | |
|
|
| 图6 北京(a)及14个城市平均(b)的PM2.5浓度预报TS评分 Fig.6 TS of PM2.5 prediction in different leading times for Beijing(a) and the mean of 14 cities(b) | |
2.3 雾霾现象预报效果检验
除了对能见度和PM2.5浓度数值、等级预报效果进行了检验以外,本文对逐时雾霾现象的定量化预报进行TS评分检验,结果如表 3所示。预报时效为24 h,48 h,…,240 h时,对应北京逐时霾现象判断的TS评分分别为0.30,0.26,0.28,0.30,0.30,0.21,0.24,0.22,0.18及0.19,平均值为0.25。对于14个城市平均,预报时效为24 h,48 h,…,240 h,TS评分分别为0.20,0.18,0.20,0.21,0.21,0.19,0.20,0.19,0.17和0.17,平均值为0.19。可以看到,对北京霾预报的TS评分随着预报时效的延长呈明显降低的趋势,而14个城市平均降低趋势相对较弱(图略)。对雾的预报,不论是北京还是14个城市平均,其TS评分都较霾的预报偏低,且整体上也随着预报时效延长而略降低,平均值都为0.13。对比能见度、PM2.5浓度等级的TS评分,基于ECMWF产品和动态统计预报方法对霾和雾的客观化预报具有更好的效果。
|
|
表 3 不同预报时效的逐时雾和霾现象的TS评分 Table 3 TS of fog and haze predictions in different leading times |
2.4 持续性雾霾过程预报效果检验
此外,对几次典型雾霾(污染物浓度逐渐累积)过程的预报效果进行检验,时间为2015年10月15—17日和11月2—5日及2016年国庆假期、2016年11月3—5日北京地区的雾霾过程。
图 7是2015年10月中旬北京地区一次严重雾霾过程中北京城区平均PM2.5浓度和能见度的观测和中期预报对比。该雾霾过程大致分两个阶段,10月13日20:00(北京时, 下同)至16日下午PM2.5浓度持续累积、能见度快速下降,已经达到中度污染水平;PM2.5浓度峰值出现在16日下午至17日22:00左右,城区PM2.5浓度接近400 μg·m-3,对应的能见度小于2 km;18日凌晨受较强冷空气活动影响,北京城区PM2.5浓度快速下降、能见度迅速好转,雾霾过程结束。该动态统计预报方法在10月9日、10日、11日起报的预报结果均得到14—18日的变化趋势,对PM2.5浓度峰值、能见度低值出现时间预报为16—17日。但对10月16—17日PM2.5浓度峰值的预报偏低,此外高估(低估)了12—13日和18—19日PM2.5浓度(能见度)。2015年11月上旬的一次雾霾污染过程中(图 8),由能见度和PM2.5浓度观测值可知,这是一次典型的污染物浓度逐渐累积而发展的雾霾过程。11月1日开始发展,污染物浓度呈波动中逐渐增长趋势,5日上午达到顶峰;对应地,能见度逐渐降低。5日白天,随着较强冷空气活动的到来,污染物迅速清除。动态统计预报方法在11月27日、28日、29日连续稳定地预报出这次雾霾污染过程,PM2.5浓度和能见度的预报值与观测值也较为接近,只是对雾霾过程的峰值出现时段预报略提前。
|
|
| 图7 2015年10月中旬雾霾过程北京城区平均PM2.5浓度(a)和能见度(b)的观测值和预报值对比 Fig.7 The observed and the predicted PM2.5(a) with visibility(b) during a fog/haze process in Oct 2015 | |
|
|
| 图8 2015年11月上旬雾霾过程北京城区平均PM2.5浓度(a)和能见度(b)的观测值和预报值对比 Fig.8 The observed and the predicted PM2.5(a) with visibility(b) during a fog/haze process in Nov 2015 | |
2016年国庆假期北京及周边地区经历了一次严重的雾霾过程,9月30日北京城区PM2.5浓度超过100 μg·m-3、能见度降低到小于5 km, 10月1日继续发展,2日达到顶峰,城区平均PM2.5浓度超过200 μg·m-3、平均能见度降低到小于2 km, 3日至4日夜间才逐渐消散(图略)。从预报情况看,9月26日、27日、28日连续预报国庆假期有一次雾霾过程,支持预报人员提前发布了霾的黄色预警信号。2016年11月上旬的雾霾过程与2015年11月上旬的持续性雾霾过程相似,也是一次典型的污染物浓度逐渐累积而发展的雾霾过程(图 9)。由观测资料可知,从11月1日上午开始,北京城区平均PM2.5浓度逐渐增加、能见度逐渐降低,2日、3日呈持续发展趋势,4日白天短时好转,随后快速反弹。该方法在10月26日、27日、28日均预报出这次雾霾过程,且能见度和PM2.5的峰值预报很接近,这次预报结果为此次持续性雾霾过程的预报预警提供了十分有效的中期客观化参考。整体上看,动态统计预报方法至少提前5~6 d预报出2015年10月15—17日和11月2—5日及2016年国庆假期和11月3—5日等北京地区的持续性雾霾的发展过程。此外,计算这几次持续性雾霾过程北京城区PM2.5浓度预报值与观测值的相关系数和误差减少量(表略),结果显示:预报时效在120 h至216 h时,相关系数和误差减少量有较明显的提高,说明持续性雾霾在中期时间尺度上具有更高的预报技巧。此外,该方法对不同雾霾过程结束时间预报效果有较明显差异,即对由强冷空气过境导致的PM2.5浓度(能见度)快速降低(升高)的预报效果略差于对缓慢结束的雾霾过程预报。
|
|
| 图9 2016年11月上旬雾霾过程北京城区平均PM2.5浓度(a)和能见度(b)的观测值和预报值对比 Fig.9 The observed and the predicted PM2.5(a) with visibility(b) during a fog/haze process in Nov 2016 | |
3 结论与讨论
本文介绍了利用ECMWF数值预报产品的中期气象预报场和动态统计预报方法开展京津冀重点城市雾霾中期定量化预报试验,并对试验时段内(2015年10月1日—2016年11月10日)预报效果进行了多项指标检验,得到以下主要结论:
1) 显著正相关、较高误差减少量和TS评分等表明:基于ECMWF产品和动态统计预报方法的雾霾中期定量化预报技术整体上具有较高的可靠性、稳定性与预报技巧性,结果具有较高的应用价值。
2) 随着预报时效延长(从24 h增加到240 h),动态统计预报方法对PM2.5浓度、能见度的定量化预报及对雾霾现象客观化判断效果整体上呈降低趋势。
3) 相关系数、均方根误差、平均偏差、误差减少量、TS评分均表明,该动态统计方法对能见度的预报效果略优于PM2.5浓度,同时对霾的预报准确率高于对雾的预报。
4) 个例分析显示:该动态统计预报方法能提前5~6 d预报出北京地区典型持续性雾霾污染的发展过程,对持续性雾霾的提前预报预警具有较好的参考价值。
同时也注意到,在PM2.5浓度和能见度的峰值及峰值时间上的预报与观测还存在差异,说明在统计方法和气象因子的优化组合上还需要进一步的研究,如何在统计预报模型中有效地考虑降水因子对污染物的清除作用,如何体现污染物的区域输送等,这些问题的解决将会有助于提高该方法的预报能力。另一方面,该动态统计预报方法中未考虑排放源的实时变化情况,如在进入采暖期后由于燃煤等导致污染物排放量增加,理论上可能导致预报误差增大,对此还需要去完善。此外,由于该预报方法依赖于气象场的预报,因此,中期气象数值预报水平的提高也有助于中期雾霾与空气质量预报准确率的提高。
| [1] | 吴兑. 近十年中国灰霾天气研究综述. 环境科学学报, 2012, 32, (2): 257–269. |
| [2] | 王喜全, 孙明生, 杨婷, 等. 京津冀平原地区灰霾天气的年代变化. 气候与环境研究, 2013, 18, (2): 165–170. DOI:10.3878/j.issn.1006-9585.2012.11094 |
| [3] | 靳军莉, 颜鹏, 马志强, 等. 北京及周边地区2013年1-3月PM2.5变化特征. 应用气象学报, 2017, 26, (6): 690–700. DOI:10.11898/1001-7313.20170605 |
| [4] | 颜鹏, 刘桂清, 周秀骥, 等. 上甸子秋冬季雾霾期间气溶胶光学特性. 应用气象学报, 2010, 21, (3): 257–265. DOI:10.11898/1001-7313.20100301 |
| [5] | 徐晓斌. 我国霾和光化学污染观测研究进展. 应用气象学报, 2016, 27, (5): 604–619. DOI:10.11898/1001-7313.20160509 |
| [6] | 王自发, 李杰, 王哲, 等. 2013年1月我国中东部强霾污染的数值模拟和防控对策. 中国科学:地球科学, 2014, 44, (1): 3–14. |
| [7] | 徐祥德, 王寅钧, 赵天良, 等. 中国大地形东侧霾空间分布"避风港"效应及其"气候调节"影响下的年代际变异. 科学通报, 2015, 60, (12): 1132–1143. |
| [8] | 潘玮, 左志燕, 肖栋, 等. 近50年中国霾年代际特征及气象成因. 应用气象学报, 2017, 28, (3): 257–269. DOI:10.11898/1001-7313.20170301 |
| [9] | 王开存, 李维亮, 白立杰. 1984~2000年印度洋与中国地区上空对流层中上层及平流层气溶胶变化和输送特征. 应用气象学报, 2004, 15, (1): 32–40. |
| [10] | 徐祥德, 丁国安, 卞林根. 北京城市大气环境污染机理与调控原理. 应用气象学报, 2006, 17, (6): 815–828. DOI:10.11898/1001-7313.20060618 |
| [11] | 吴兑, 廖国莲, 邓雪娇, 等. 珠江三角洲霾天气的近地层输送条件研究. 应用气象学报, 2008, 19, (1): 1–9. DOI:10.11898/1001-7313.20080101 |
| [12] | 王跃思, 姚利, 刘子锐, 等. 京津冀大气霾污染及控制策略思考. 中国科学院院刊, 2013, 28, (3): 353–363. |
| [13] | 张小曳, 孙俊英, 王亚强, 等. 我国雾-霾成因及其治理的思考. 科学通报, 2013, 58, (13): 1178–1187. |
| [14] | 周家斌, 黄嘉佑. 近年来中国统计气象学的新进展. 气象学报, 1997, 55, (3): 297–305. DOI:10.11676/qxxb1997.030 |
| [15] | 杨文峰, 史宝忠. 一种新的城市SO2污染统计预报方法及其应用. 应用气象学报, 2003, 14, (2): 223–229. |
| [16] | 魏凤英. 现代气候统计诊断与预测技术. (第二版). 北京: 气象出版社, 2007: 213–276. |
| [17] | 康志明, 鲍媛媛, 周宁芳. 我国中期和延伸期预报业务现状以及发展趋势. 气象科技进展, 2013, 3, (1): 18–24. |
| [18] | Neal L S, Agnew P, Moseley S, et al. Application of a statistical post-processing technique to a gridded, operational, air quality forecast. Atmos Environ, 2014, 98: 385–393. DOI:10.1016/j.atmosenv.2014.09.004 |
| [19] | Donnelly A, Misstear B, Broderick B. Real time air quality forecasting using integrated parametric and non-parametric regression techniques. Atmos Environ, 2015, 103: 53–65. DOI:10.1016/j.atmosenv.2014.12.011 |
| [20] | Silibello C, D'Allura A, Finardi S, et al. Application of bias adjustment techniques to improve air quality forecasts. Atmospheric Pollution Research, 2015, 6, (6): 928–938. DOI:10.1016/j.apr.2015.04.002 |
| [21] | Prasada K, Goraib A K, Goyalc P. Development of ANFIS models for air quality forecasting and input optimization for reducing the computational cost and time. Atmos Environ, 2016, 28: 246–262. |
| [22] | Perez P, Gramsch E. Forecasting hourly PM2.5 in Santiago de Chile with emphasis on night episodes. Atmos Environ, 2016, 124: 22–27. DOI:10.1016/j.atmosenv.2015.11.016 |
| [23] | 孙峰. 北京市空气质量动态统计预报系统. 环境科学研究, 2004, 17, (1): 70–73. |
| [24] | Tian G J, Qiao Z, Xu X L. Characteristics of particulate matter (PM10) and its relationship with meteorological factors during 2001-2012 in Beijing. Environmental Pollution, 2014, 192: 266–274. DOI:10.1016/j.envpol.2014.04.036 |
| [25] | Zhang Z Y, Zhang X L, Gong D Y, et al. Evolution of surface O3 and PM2.5 concentrations and their relationships with meteorological conditions over the last decade in Beijing. Atmos Environ, 2015, 108: 67–75. DOI:10.1016/j.atmosenv.2015.02.071 |
| [26] | Fritts H C. Tree-Rings and Climate. London: Academic Press, 1976: 1–567. |
| [27] | Gong D Y, Luterbacher J. Variability of the low-level cross-equatorial jet of the western Indian Ocean since 1660 as derived from coral proxies. Geophys Res Lett, 2008, 35: L01705. |
2018, 29 (1): 57-69



