2. 广东省生态气象中心, 广州 510640;
3. 广东省广州市气象台, 广州 511430;
4. 广东省气象台, 广州 510640
2. Guangdong Ecological Meteorology Center, Guangzhou 510640;
3. Guangzhou Meteorological Observatory of Guangdong Province, Guangzhou 511430;
4. Guangdong Meteorological Observatory, Guangzhou 510640
天气学分析表明:高低空急流的配置、环境风的垂直切变与华南前汛期暴雨及强对流天气的发生关系密切[1-2],虽然探测手段的改进和数值预报技术的发展对于华南暴雨及强对流天气预报有很大改进,但预报准确性、时效性仍是目前数值天气预报业务的难点之一。目前,应用三维变分同化系统获得数值预报初始场的过程中,风的观测包括常规探空、卫星、雷达和自动气象站资料。但常规探空每天仅提供两次资料;卫星导风产品,主要分布在对流层中上层且精度有待提高,在区域模式的同化业务中应用还不成熟;多普勒天气雷达的径向速度为降水粒子相对于雷达的运动速度;而地面站点观测同化对850 hPa高度以上初始场改进非常有限,许多中小尺度的降水系统往往无法在初始场中体现。因此,增加模式初始场风的信息量,将有利于提升模式对风场的预报,进而对急流及风切变有更好的预报效果。
风廓线雷达是常规探空之外高空风资料的最直接来源,具有连续探测风场结构的能力,相对于探空站,能获取测站上空垂直高度上的平均风数据,不仅能够增强对大风、沙尘暴、风切变、下击暴流、低空急流和锋面天气等中小尺度灾害性天气系统的监测能力,也可以提高数值天预报模式的分析和预报能力[3-5]。风廓线雷达资料在数值模式中的同化应用已取得了一些进展。Smith等[6]研究了风廓线资料网对一个中尺度同化和预报系统的影响,结果表明:使用风廓线雷达资料后,总体上改善了短期预报水平,其中300 hPa高度风的均方根误差降低0.7 m·s-1,相应的高度误差减少2 m。Spencer等[7]指出,连续的风廓线资料能使模式对次网格尺度的天气系统的时空结构有更好的捕捉能力。Nielsen-Gammon等[8]通过将风廓线雷达资料同化到MM5模式,使4 d平均的风场偏差缩小至0.3 m·s-1,均方根误差控制在1.75~2.08 m·s-1,尤其是近地面的500~1500 m高度,模式模拟性能明显增强,这种改进作用使夜间的模式模拟误差明显缩小。Zhang等[9]将风廓线雷达网资料同化到WRF模式后发现,其对对流系统的初始生成和发展的模拟性能有很大提高,除了对模式风场的改进外,对伴随对流系统的水汽场也有明显改进;同时,针对高时空分辨率的风廓线雷达站网资料,获取合理的中尺度分析场对预报性能的改善也非常重要。文献[10-12]也表明,加入风廓线雷达资料后对降水预报有改进作用。
经过几年的建设,广东已经建成了基本覆盖全省的风廓线雷达站网,能实时获取时间分辨率为6 min、空间垂直分辨率为60~120 m的大气风场信息,这些观测数据已能够实时进入逐3 h更新循环的GRAPES_3DVar同化系统中,可提高预报降水技术评分[7]。然而,进一步发挥风廓线雷达资料对GRAPES_Meso降水落区及量值预报改善作用,需要针对风廓线雷达资料应用进行更细致的检验,如对风、温、压、湿要素预报改善的定量评估。为此,本文选取2014年3月20日—4月9日一次典型的广东前汛期持续性强降水过程,通过将模拟结果与广东探空及风廓线雷达观测资料进行对比分析,以期定量评估风廓线资料对GRAPES预报同化系统的改进效果。
1 资料及质量控制本文所用的风廓线雷达资料来自广东省风廓线雷达业务观测(图 1)。因花都风廓线雷达站自2016年3月开始正式运行,珠海斗门和茂名博贺两个风廓线雷达站的数据接收不完整,本文实际用于同化的是其他15个站的观测资料,即从化、潮州、萝岗、罗定、连州、龙门、南雄、南沙、深圳、五华、新会、阳江、湛江、珠海、增城风廓线雷达站,用于检验评估的垂直探空资料来自于广东河源、清远和阳江3个探空站(汕头站观测资料缺失未使用)。风廓线雷达利用大气湍流对电磁波的散射作用进行大气风场等物理量的观测,其产品包括径向速度、谱宽、信噪比、水平风向、水平风速、垂直速度和反映大气湍流状况的折射率结构指数等的廓线。风廓线雷达风速测量误差均方根小于1.5 m·s-1,风向测量误差均方根小于10°,探测周期约为6 min,垂直分辨率为60~100 m。
|
|
| 图1 广东省风廓线雷达站点与探空站分布 Fig.1 Distribution of wind profiler radar stations and radiosonde stations in Guangdong Province | |
本文采用变分同化的方法在GRAPES_Meso中同化风廓线雷达资料,首先必须要对风廓线雷达资料进行质量控制,包括两个方面:一是对资料进行修正和补缺,解决因探测条件导致的数据失真[13-16];二是针对模式同化的适用性进行资料剔除和重构,因为使用变分方法进行资料同化处理时必须满足一个重要假设,即所有误差(包括观测误差与背景误差)符合高斯分布。因此,本文采用张旭斌等[10]提出的方法,对资料进行时间和空间的稀疏化:首先对原始观测资料进行气候极值检查,剔除超过气象值范围的错误风场数据;其次对资料的时间序列进行纬向风和经向风的联合经验正交分解(EOF)重构时间序列以获得同化时刻的资料场;最后通过选择500~3000 m与模式最接近的垂直层次进行同化以达到资料在垂直方向的稀疏化。通过分析2014年3月28日18:00(世界时,下同)至4月8日06:00每天06:00和18:00对风廓线雷达进行质量控制后的站点及资料使用情况(图 2),质量控制后在分析时刻平均能够获得12个站、114个有效观测资料。
|
|
| 图2 2014年3月28日—4月8日质量控制后风廓线雷达站点数与各站总风场数据垂层数 Fig.2 Numbers of wind profiler stations and the sum of wind field vertical levels of every staion after quality control from 28 Mar to 8 Apr in 2014 | |
2 模拟试验设计
预报模式采用GRAPES_Meso,该模式采用非静力半拉格朗日动力框架,使用高度地形追随坐标。模式区域为11°~38°N,96°~130°E,水平分辨率为0.09°×0.09°,水平格点数为385×305,垂直方向共55层。时间积分方案为半隐式-半拉格朗日积分方案,微物理过程采用WSM6类方案,长波辐射过程采用RRTM方案,短波辐射过程采用Dudhia方案,地表层物理方案采用莫宁-奥布霍夫方案,陆面过程采用SLAB热量扩散方案,边界层物理方案使用MRF方案,积云对流方案使用简化Arakawa-Schubert(SAS)方案。资料同化采用GRAPES_3DVar同化系统,该系统已经在华南地区实时业务运行,能够同化包括卫星、雷达、GPS水汽及常规观测等多种不同类型的观测资料[17-21]。
为了检验同化中引入风廓线雷达资料对华南区域模式预报的影响,本文用GRAPES_Meso预报场作为背景场,设计了3组数值试验。
① 控制试验:以背景场作为初始场从06:00 (18:00) 进行6 h预报,获得12:00(00:00) 的预报。
② 敏感性试验1:在背景场中加入模拟区域内自动气象站资料进行同化分析得到新的初始场,模式积分6 h获得与控制试验相同时刻的预报结果。
③ 敏感性试验2:同敏感性试验1,但同化分析时增加了广东省15部风廓线雷达的资料。
应用以上试验方案对2014年3月28日18:00 —4月8日06:00进行每天06:00和18:00起报的6 h预报,获得3组22个时刻共66个预报场。
3 结果分析 3.1 模拟时段天气概况本文选取2014年3月29日—4月8日进行模拟分析。3月28—31日受高空槽和较强西南气流影响,广东出现了强降水和强对流过程,珠江三角洲和云浮、清远、河源、汕尾等地普降大暴雨,局部特大暴雨。3月31日下午至4月1日中午广东全省雨势明显减弱,降水范围明显缩小。4月1日下午开始到3日,受暖湿气流的影响,珠江三角洲、粤东地区和阳江、云浮、江门等地又出现了暴雨,局地大暴雨,伴有7~8级雷雨大风。4—5日全省雨势明显减弱,大部分地区转为阵雨天气。6日白天至7日早晨,受南支槽影响,粤西再次出现了暴雨,局地大暴雨,珠江三角洲、河源和梅州的南部地区出现了中到大雨,局部暴雨。4月7日起,广东全省雨势减弱。
3.2 探空站敏感性试验同化增量分析为了分析敏感性试验1和敏感性试验2同化自动气象站资料和风廓线雷达资料的效果,对比4个探空站在敏感性试验1和敏感性试验2中的同化分析增量。图 3a为仅同化自动气象站资料的敏感性试验1试验相对于背景场,探空站纬向风同化分析增量随高度的变化,其中取各高度上不同分析时刻的平均值。由图 3a可知,最接近观测资料高度的1000 hPa,分析增量最大,随高度增加分析增量逐渐减小,200 hPa高度,分析增量接近零,这与同化分析的普遍结论吻合。同时,为了分析风廓线雷达资料的作用,本文也对比了敏感性试验2相对敏感性试验1探空站纬向风同化分析增量随高度的变化,同样取各高度不同分析时刻的平均值(图 3b)。由图 3b可知,同化风廓线雷达资料的敏感性试验2相比仅同化自动气象站资料的敏感性试验1,纬向风增量在850 hPa高度最大,而在700 hPa高度以上迅速减小,这与本文同化500~3000 m高度的风廓线雷达资料能够基本吻合。
|
|
| 图3 2014年3月29日—4月8日探空站纬向风分析增量随高度变化 (a)敏感性试验1,(b)敏感性试验2与敏感性试验1差值 Fig.3 Analysis increments of zonal wind at mandatory pressure levels for radiosonde stations from 29 Mar to 8 Apr in 2014 (a)sensitive experiment 1, (b)sensitive experiment 2 relative to sensitive experiment 1 | |
3.3 探空站模拟结果的均方根误差
根据数值试验结果,分析2014年3月28日—4月8日不同方案对3个探空站的22个时次的预报值与观测值的均方根误差,发现风廓线雷达资料对模式6 h风场、位势高度、温度预报均有较好的改善效果。图 4是在各标准等压面上3个探空站11 d平均预报风速均方根误差相对各高度平均风速的比值r,3个探空站的观测资料经过基本质量控制。由图 4可以看到,控制试验、敏感性试验1、敏感性试验2结果一致反映了风速相对误差随高度先增加后减小的情况;敏感性试验1由于进行自动气象站资料同化,在850 hPa以下预报误差改进明显;敏感性试验2同化500~3000 m风廓线雷达资料,在700 hPa以下层次预报误差改进明显。综合各高度层结果看,敏感性试验2和敏感性试验1相对误差小于控制试验,而敏感性试验2优于敏感性试验1。直接计算敏感性试验2与敏感性试验1模拟风速均方根误差的差值(图 5a)可以看到,同化风廓线雷达资料后,在850 hPa和400 hPa两个高度风速预报改进相对显著,分别为0.7 m·s-1和0.5 m·s-1。采用同样方法,计算3个探空站各标准等压面上平均温度均方根误差(图 5b)发现,同化风廓线雷达资料后(敏感性试验2) 均方根误差在500 hPa高度降低最大(0.22℃),其次为850 hPa高度(0.05℃)。对比3个站模拟平均位势高度的均方根误差(图 5c)改善不是十分明显,但在850 hPa和400 hPa高度误差改善相对显著。
|
|
| 图4 2014年3月29日—4月8日探空站模拟风速均方根误差与各高度平均风速比值r随高度分布 Fig.4 Ratio (r) of wind speed root mean square error to mean wind at mandatory pressure levels from 29 Mar to 8 Apr in 2014 for radiosonde stations | |
|
|
| 图5 2014年3月29日—4月8日敏感性试验1与敏感性试验2模拟探空站预报要素均方根误差的差值随高度分布 (a)风速(ΔV),(b)温度(ΔT),(c)位势高度(ΔH) Fig.5 Difference between sensitive experiment 1 and sensitive experiment 2 for the forecast root mean square error between observation and forecast at mandatory pressure levels from 29 Mar to 8 Apr in 2014 for radiosonde stations (a)wind speed (ΔV), (b)temperature (ΔT), (c)potential height (ΔH) | |
分析3个探空站的各预报要素的平均预报均方根误差随高度的分布情况,结合探空站同化增量分析结果(图 3)发现,资料同化加入风廓线雷达资料对850 hPa要素预报提升明显,这应归因于同化风廓线雷达资料后分析增量在此高度最大。同时,通过对比发现,700 hPa虽然有较大的分析增量,但各要素的改善效果均不明显,而925 hPa高度,同样是有较大的分析增量,但敏感性试验2的模拟效果不理想。此外,敏感性试验2对于400~500 hPa要素预报相对于其他高度改进相对明显。敏感性试验2使用风廓线雷达资料对于温度和位势高度的影响通过热力和动力平衡实现,因此,对于温度和位势高度场预报误差改善的垂直分布与风场误差改善的垂直分布比较一致。
3.4 风廓线雷达站模拟结果的均方根误差与分析探空站模拟结果的均方根误差分析方法相同,本文也分析了2014年3月29日—4月8日不同方案对12个风廓线雷达站22个时次的风速预报均方根误差相对各高度平均风速的改善效果,同样发现加入风廓线雷达资料的敏感性试验2对模式6 h风速有改善(图 6),同样在850 hPa高度效果最明显(图 7),在700 hPa有一定提升,而在925 hPa没有显著的正效果,这与3.3节中分析探空站的结果比较一致。结合3.2节中得到的同化分析增量的结果,925 hPa和700 hPa的分析增量几乎相当,个别站925 hPa高度的分析增量还更大,且由探空站和风廓线雷达站风速预报误差看,925 hPa高度预报提升效果不显著或更差。通过以上分析,可以得出风廓线雷达资料在850 hPa高度附近同化被用到的资料多、分析增量大且对预报改善也明显。
|
|
| 图6 2014年3月29日—4月8日风廓线雷达站模拟风速均方根误差与各高度平均风速的比值(r)随高度分布 Fig.6 Ratio (r) of wind speed root mean square error to mean wind at mandatory pressure levels from 29 Mar to 8 Apr in 2014 for profiler stations | |
|
|
| 图7 2014年3月29日—4月8日敏感性试验1与敏感性试验2模拟风廓线雷达站风速均方根误差的差值随高度分布 Fig.7 Difference between sensitive experiment 1 and sensitive experiment 2 for the wind speed root mean square error at lower levels from 29 Mar to 8 Apr in 2014 for profiler stations | |
3.5 个例分析
本文选取2014年3月30日06:00起报的模拟试验结果详细分析风廓线雷达资料对模式预报效果的影响。30日到31日早晨,珠江三角洲和云浮、清远、河源、汕尾等地普降大暴雨,局部特大暴雨,出现暴雨以上气象站占广东全省61%,广州、东莞和惠州共5个气象站降水量超过250 mm。2014年3月30日06:00广东地面受强西南气流的影响。
分析2014年3月30日06:00敏感性试验2分析场在850 hPa纬向风和经向风相对于敏感性试验1的增量发现(图 8),同化风廓线雷达资料后,对纬向风而言,在广东雷州半岛及海南西风更强(正值中心),在广东和广西则使背景场的西风变弱(负值中心);对于经向风而言,在广西南部南风减弱(负值中心),而在广东西南部南风加强(正值中心)。风廓线雷达资料使华南区域纬向风增量出现南正北负,经向风增量东正西负的分布有利于该区域气旋式风场的加强和水汽的辐合,这与广东2014年3月30日06:00—12:00降水量实况结果能够吻合,在该时段内广东中部地区出现了大范围的降水,大雨以上主要出现在珠江三角洲及粤东偏西地区,其中广州中部和南部、佛山中部和南部、中山、江门北部、珠海北部、东莞、深圳、惠州、汕尾西南和西北部、河源南部市县出现暴雨。
|
|
| 图8 2014年3月30日06:00敏感性试验2 850 hPa纬向风(a)和经向风(b)相对于敏感性试验1分析增量的差值(填色)与背景场(矢量) Fig.8 Differences of 850 hPa zonal wind(a) and meridional wind(b) analysis increments between sensitive experiment 1 and sensitive experiment 2 at 0600 UTC 30 Mar 2014 | |
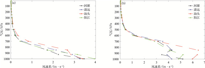
分析两个敏感性试验的预报误差在850 hPa高度的情况。表 1为2014年3月30日12:00敏感性试验1和敏感性试验2的风廓线雷达站850 hPa预报误差,由于广东风廓线雷达的型号、数据获取时间分辨率和空间分辨率存在差异,这里仅对比广东同一型号的12部风廓线雷达站。对比发现:① 敏感性试验2对12个站的风速预报误差有6个站小于敏感性试验1,分别为连州、潮州、五华、新会、珠海和阳江,其中除阳江外,其他各站同化所用的资料数均较多,分析同化虽然未用阳江站风廓线资料,但使用了10层湛江站的风廓线雷达资料(湛江站因型号不同,未列在表 1中进行比对),阳江站在湛江站的下风方向,因此,对于阳江站的预报效果有一定改善。② 敏感性试验2对12个站的预报误差有6个站大于敏感性试验1,分别为南雄、龙门、从化、增城、南沙和罗定,与该时刻过去6 h观测降水(图略)进行对比发现,除南雄外,其他5个站都在暴雨落区内,该时刻受西南气流影响,南雄处于增城、从化、龙门的下风方。敏感性试验2中这6个站预报误差偏大的原因有待进一步研究。
|
|
表 1 2014年3月30日12:00 850 hPa高度风廓线雷达站风速预报误差 Table 1 850 hPa wind speed forecast error at 1200 UTC 30 Mar 2014 for profiler stations |
4 结论与讨论
本文设计了不同试验模拟2014年3月28日—4月9日的广东前汛期降水过程,结果表明:
1) 分析资料同化后的分析增量表明,相比同化时仅使用自动气象站资料,风廓线雷达资料对纬向风增量在1000 hPa到850 hPa均有贡献,尤其是在850 hPa明显,在700 hPa高度以上贡献迅速减小。
2) 通过计算3个试验方案3个探空站预报值与观测值11 d的均方根误差发现,同化风廓线雷达资料的敏感性试验2与仅同化自动气象站资料的敏感性试验1相比,对850 hPa要素预报误差降低最为明显,其中风速预报误差降低0.7 m·s-1,对700 hPa各要素有一定改善,而在925 hPa高度模拟效果不理想。
3) 通过计算3个试验方案12个风廓线雷达站预报值与观测值11 d的均方根误差,同样发现在850 hPa高度误差减小最大,而在925 hPa效果不显著。
4) 结合风廓线雷达资料对探空站的同化分析增量结果以及对探空站和风廓线雷达站的要素预报效果认为,利用风廓线雷达资料诊断850 hPa高度风切变和低空急流对中尺度天气系统演变具有很好的指示作用。
同时,通过本文3.5节的个例分析,发现同化使用经过质量控制的风廓线资料后,风速预报均方根误差在大雨级别以上的降水落区更大,而且处于这些降水落区下游站点的风速预报均方根误差也增加了,其中的原因还有待于进一步研究。此外,风廓线雷达资料目前已经能够在广州区域数值天气预报模式中业务化应用,为了更好地将风廓线雷达观测信息用于模式同化及预报,还需要在资料的质量控制及同化方法上进一步完善。
| [1] | 何立富, 周庆亮, 陈涛. "05.6"华南暴雨中低纬度系统活动及相互作用. 应用气象学报, 2010, 21, (4): 385–394. DOI:10.11898/1001-7313.20100401 |
| [2] | 陈元昭, 俞小鼎, 陈训来, 等. 2015年5月华南一次龙卷过程观测分析. 应用气象学报, 2015, 26, (5): 45–56. |
| [3] | Kuo Y H, Donall E G, Shapiro M A. Feasibility of short-range numerical weather prediction using observations from a network profilers. Mon Wea Rev, 1987, 115: 2402–2427. DOI:10.1175/1520-0493(1987)115<2402:FOSRNW>2.0.CO;2 |
| [4] | Cram J M, Kaplan M L, Mattocks C A, et al. The use and analysis of profiler winds to derive mesoscale height and temperature fields:Simulation and real-data experiment. Mon Wea Rev, 1991, 119: 1040–1056. DOI:10.1175/1520-0493(1991)119<1040:TUAAOP>2.0.CO;2 |
| [5] | 王欣, 卞林根, 彭浩, 等. 风廓线仪系统探测试验与应用. 应用气象学报, 2005, 6, (5): 63–68. |
| [6] | Smith T L, Benjamin S G. Impact of network wind profiler data on a 3-h data assimilation system. Bull Amer Meteor Soc, 1993, 74, (5): 801–807. DOI:10.1175/1520-0477(1993)074<0801:IONWPD>2.0.CO;2 |
| [7] | Spencer P L, Janish P R, Doswell C A. A four-dimensional objective analysis scheme and multitriangle technique for wind profiler data. Mon Wea Rev, 1999, 127: 279–291. DOI:10.1175/1520-0493(1999)127<0279:AFDOAS>2.0.CO;2 |
| [8] | Nielsen-Gammon J W, Mcnider R T, Angevine W M, et al. Mesoscale model performance with assimilation of wind profiler data:Sensitivity to assimilation parameters and network configuration. J Geophys Res, 2007, 112: 185–194. |
| [9] | Zhang L, Pu Z. Four-dimensional assimilation of multitime wind profiles over a single station and numerical simulation of a mesoscale convective system observed during IHOP_2002. Mon Wea Rev, 2011, 139: 3369–3388. DOI:10.1175/2011MWR3569.1 |
| [10] | 张旭斌, 万齐林, 薛纪善, 等. 风廓线雷达资料质量控制及其同化应用. 气象学报, 2015, 73, (1): 159–176. DOI:10.11676/qxxb2015.015 |
| [11] | 谭晓伟, 徐枝芳, 龚建东. 风廓线雷达资料对GRAPES_MESO数值预报系统影响的初步研究. 气象, 2016, 42, (l): 26–33. |
| [12] | 张胜军, 徐祥德, 吴庆梅, 等. "中国登陆台风外场科学试验"风廓线仪探测资料在四维同化中的初步应用研究. 应用气象学报, 2004, 15, (增刊Ⅰ): 101–109. |
| [13] | 周芯玉, 廖菲. 利用中位数方法对风廓线雷达数据质量控制的研究. 热带气象学报, 2015, 31, (6): 804–810. |
| [14] | 陈浩君, 黄兴友, 孙婧, 等. 基于径向功率谱的风廓线雷达错误风数据处理. 应用气象学报, 2015, 26, (4): 460–471. DOI:10.11898/1001-7313.20150408 |
| [15] | 高祝宇, 阮征, 魏鸣, 等. 风廓线雷达数据质量影响因子及处理算法. 应用气象学报, 2016, 27, (2): 148–159. DOI:10.11898/1001-7313.20160203 |
| [16] | 邓闯, 阮征, 魏鸣, 等. 风廓线雷达测风精度评估. 应用气象学报, 2012, 23, (5): 523–533. DOI:10.11898/1001-7313.20120502 |
| [17] | Wan Q L, Xue J X, Zhuang S Y. Study on the variational assimilation technique for the retrieval of wind fields from Doppler radar data. Acta Meteorologica Sinica, 2006, 20, (1): 1–19. |
| [18] | Ding W Y, Wan Q L, Zhang C Z, et al. MODIS brightness temperature data assimilation under cloudy conditions Ⅰ:Methods and ideal tests. J Trop Meteor, 2010, 16, (4): 313–324. |
| [19] | Huang Y Y, Xue J S, Wan Q L, et al. Improvement of the surface pressure operator in GRAPES and its application in precipitation forecasting in South China. Adv Atmos Sci, 2013, 30, (2): 466–467. |
| [20] | 高郁东, 万齐林, 何金海. 三维变分同化雷达视风速的改进方案及其数值试验. 气象学报, 2011, 69, (4): 631–643. DOI:10.11676/qxxb2011.055 |
| [21] | 高郁东, 万齐林, 薛纪善, 等. 同化雷达估算降水率对暴雨预报的影响. 应用气象学报, 2015, 26, (5): 45–56. |
2017, 28 (5): 600-610



