2. 山西省忻州市忻府区气象局,忻州 034000
2. Xinzhou Meteorological Bureau of Shanxi Province, Xinzhou 034000
青藏高原 (简称高原) 由于其高大地形的动力作用和热力效应,对全球环流和气候具有重要影响,是大气科学研究的热点地区。中国气象局和中国科学院分别于1979年和1998年组织开展了两次高原大气科学试验,并取得了大量的科学成果[1-2]。对流活动是高原夏季主要的天气过程,对潜热释放、对流层和平流层物质交换、高原辐射收支等有重要影响。目前高原对流的常规观测手段还存在一些不足:雷达观测受高原多山地形影响,探测范围较为有限;卫星观测存在同步卫星精度低和极轨卫星观测时效短等问题 (高原对流云一般时空尺度较小,对观测设备的时空分辨率更为敏感),使高原全区域对流活动的观测存在困难。另一方面,由于闪电活动与对流活动之间的紧密联系,闪电活动可作为高原对流活动特别是深对流活动的一个有效指示因子。与雷达和卫星观测相比,闪电探测网受地形影响较小、实时性强、覆盖区域广,有可能在高原对流活动监测中发挥独特作用。闪电资料已在不少领域发挥作用,张义军等[3-4]探讨了闪电监测资料在闪电预警预报、防护以及在灾害性天气监测等方面的应用。本研究的目的就是在认识高原闪电活动时空分布特征的基础上,对比闪电活动与高原降水分布的时空特征差异,并从气候角度理解深对流活动在高原降水活动中的贡献,为闪电资料在高原强对流天气监测以及参数化研究等方面的应用提供参考。
已有部分研究利用卫星资料分析了各地区的闪电活动特征,戴建华等[5]利用LIS (lightning imaging sensor) 资料分析了长江三角洲地区的闪电活动;王艳等[6-7]利用OTD (optical transient detector) 和LIS资料,分析我国近海海域的闪电分布时空特征,还利用LIS资料、星载降水雷达 (precipitation radar, 简称PR) 和TMI (TRMM microwave imager) 资料,对2000—2007年41个登陆我国的台风中闪电活动和降水特征进行分析。
高原雷暴和闪电活动具有明显特征。研究表明,高原上的平均年雷暴日数比同纬度的其他地区多20~40 d,年平均雷暴次数可达90次[8]。郄秀书等[9]利用1995—2002年的LIS和OTD资料分析高原地区的闪电活动,发现闪电密度峰值在高原中部,为念青唐古拉山和唐古拉山之间的辐合区,西部的闪电密度最弱。Qie等[10]指出,78%的闪电活动出现在当地时间12:00—17:00,峰值随不同区域在当地时间15:00—17:00之间变化,不同区域的闪电活动峰值分布在6—8月,存在自东到西的季节变化。高原降水活动同样具有显著的时空差异。Singh等[11]、Guo等[12]发现青藏高原不同区域降水日变化明显不同,丘陵区域最强降水发生在午后 (当地时间15:00—18:00),山谷和湖泊区域最强降水一般在深夜 (当地时间21:00—24:00)。白爱娟等[13]发现,高原夏季降水的降水量和降水频率最大值出现时间具有区域选择性,高原中部降水量日变化最强,最大值多集中在傍晚前后的18:00—20:00。
本研究使用1998—2013年的TRMM (tropical rainfall measuring mission) 卫星闪电和降水观测资料,研究并对比高原闪电活动和降水的时空分布特征,探讨了闪电活动与降水关系对高原深对流系统贡献率的指示作用,并基于TRMM降水特征 (precipitation features, PFs) 资料对相关分析结果进行检验。
1 分析区域和数据 1.1 分析区域分析区域为高原主体区域 (24°~38°N,73°~105°E),在闪电和降水月变化关系对比研究中,选取高原上的5个不同区域 (图 1),区域1为西部 (32.5°~35°N,80°~85°E),区域2为中部 (30°~32.5°N,87.5°~92.5°E),区域3为中北部 (32.5°~35°N,90°~95°E),区域4为东南部 (27.5°~30°N,95°~97.5°E),区域5为东北部 (32.5°~37.5°N,100°~102.5°E)。这5个区域的选择分别考虑了高原的不同方位、闪电活动强度差异性、TRMM/LIS气候数据的格点 (至少对应1个数据格点)。图 1还给出了青藏高原的海拔高度分布。地形数据来自美国地理数据中心 (NGDC) 提供的分辨率为1 km×1 km的海拔高度数据集。
|
|
| 图 1. 分析区域内的青藏高原地形分布 Fig 1. Terrain of the Tibetan Plateau in the target area | |
1.2 数据
本文所采用的数据主要来自于TRMM卫星观测数据集,数据时间范围为1998—2013年。TRMM卫星携带了降水雷达 (PR)、微波成像仪 (TMI)、可见光红外扫描仪 (VIRS)、云和地球辐射能量系统 (CERES) 和闪电成像仪 (LIS) 于1997年11月28日发射,轨道倾角为35°,高度为350 km,每天绕行地球16圈。2001年8月提升轨道高度至403 km,覆盖范围是以赤道为中心的38°S~38°N之间。闪电资料由LIS观测,LIS可以获得闪电发生的时间、经纬度、光辐射能量和持续时间等资料,采用128×128像素点的CCD阵列,视野为580 km×580 km,空间分辨率为天底3.9 km,边缘5.4 km,获取图像的时间刷新率为2 ms。Boccippio等[14]认为LIS在白天和夜晚的探测效率分别为 (73±11)%和 (93±4)%。本文选取全球水文和气候中心 (GHCC) 发布的水平分辨率为0.5°×0.5°和2.5°×2.5°的LIS气候再分析数据集[15],其中,总体闪电密度采用HRFC数据集中的LIS数据,空间分辨率为0.5°×0.5°,数据含义是总体的年平均闪电密度;闪电密度月变化分析采用了HRMC数据集,水平分辨率为0.5°×0.5°,数据含义是1—12月月平均闪电密度;分区域闪电年变化和月变化分析采用了LRTS数据集的LIS数据,水平分辨率为2.5°×2.5°,数据含义是LIS自观测以来的逐日闪电密度。考虑卫星观测的时间不连续性 (LIS每个观测点的观测时长仅为90 s左右),月变化HRMC数据集已在格点化处理中经过水平2.5°×2.5°的移动平滑,时间上31 d的移动平滑、30 d的数字滤波;逐日LRTS数据集经过空间上7.5°×7.5°的移动平滑,时间上99 d的移动平滑、98 d的数字滤波。
降水资料来自TRMM 3B43数据集,是TRMM与其他观测源融合的降水数据产品,由TRMM全球3 h降雨估计数据产品3B42与NOAA气候预测中心气候异常监测系统的全球地面雨量计资料和全球降水气候中心的全球降水资料综合制作而成,将全球每日8次每3 h的降雨分析产品累计形成日降雨量资料,再累积形成月降雨量资料,其水平分辨率为0.25°×0.25°。崔绚等[16]分析发现3B43数据和雨量计观测在全国降水的空间分布在年平均和季平均时间尺度上具有很高的一致性:在雨量计密集区域,3B43和雨量计数据具有很好的一致性。针对高原雨量站观测稀疏的情况,3B43数据可以较好地给出高原降水分布的整体形态。
在闪电和降水的关系研究中,引入常用参量:单个闪电表征的降水量 (rainyield per flash,RPF),它最先由Williams等[17]引入,是表征闪电和降水关系时常用的参量[18-19]。由于闪电数据的格点大于降水数据的格点,且为降水数据格点的整数倍 (一个闪电格点完整包含多个降水格点),在闪电和降水的对比以及RPF计算时,统一在闪电数据所对应的格点下计算。
此外,本文还选取了犹他大学基于TRMM卫星资料开发的PFs数据集[20]。PFs数据主要融合了PR,TMI,VIRS和LIS的产品,一个PFs通常是具有连续PR近地面降水观测的区域,提供了丰富的云参量信息,本文在2.4节中使用了产生闪电的PFs比例以及40 dBZ反射率因子高度等的信息。
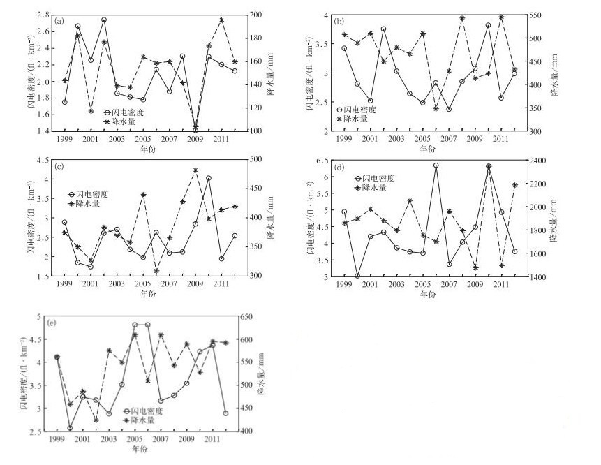
图 2展示了图 1所示5个区域的闪电活动和降水在分析完整年份内 (1999—2012年) 的年际变化。可以看到,闪电和降水在所有区域都具有显著的年际振荡特征,且不同区域闪电和降水的峰值和谷值并不完全对应,说明高原对流和降水系统的活动具有地区差异性。此外,在高原西部 (区域1) 闪电和降水具有较好的同步性,两者相关系数达到0.71。在高原其他区域 (中部、中北部、东南部、东北部) 闪电和降水的年际变化同步性相对较弱。
|
|
| 图 2. 青藏高原年平均闪电密度、年降水量变化 (a) 区域1,(b) 区域2,(c) 区域3,(d) 区域4,(e) 区域5 Fig 2. Annual changes of lightning density and precipitation over the Tibetan Plateau (a) region 1, (b) region 2, (c) region 3, (d) region 4, (e) region 5 | |
2 结果分析 2.1 青藏高原闪电和降水总体空间分布特征
图 3a显示青藏高原闪电活动呈现出明显的区域性差异。按照年均闪电密度4 fl·km-2以上为高值区域、3~4 fl·km-2为较活跃区域、1.5~3 fl·km-2为一般活跃区域、1.5 fl·km-2以下为弱活跃区域划分。高原有两个区域闪电最为活跃,一个是高原中部那曲 (32°N,92°E) 附近,闪电密度最大为6.2 fl·km-2;另一个位于高原东北部 (青海东部),存在大面积闪电密度大于5 fl·km-2的区域。高原中北部 (青海南部) 闪电活动比前两个区域弱,但强于其他区域,它和高原中部的地闪大密度区之间被一弱闪电活动带分割,其位置对应唐古拉山脉。高原东南部、南部。西部和北部的年平均闪电密度普遍在5 fl·km-2以下,闪电活动明显偏弱。
|
|
| 图 3. 青藏高原闪电密度和降水量空间分布 (a) 年平均闪电密度 (单位:fl·km-2),(b) 年降水量 (单位:mm) Fig 3. Lightning density and precipitation over the Tibetan Plateau (a) annual mean lightning density (unit:fl·km-2), (b) annual precipitation (unit:mm) | |
青藏高原地区年降水量分布见图 3b。可以看出,与高原闪电活动中心强周边弱的特点不同,高原降水表现出明显的阶梯性,自东南向西北逐渐减少。高原东南部是降水量最大的区域,年降水量普遍大于800 mm,中心区甚至超过2800 mm;而高原北部和西部年降水量普遍在300 mm以下,高原中部、南部、东部是过渡带,年降水量为300~800 mm。喜马拉雅山南坡的降水分布和闪电分布类似,降水量远远高于北坡,存在以带状分布的降水高值区,年降水量在1200 mm以上。
2.2 闪电和降水空间分布的季节变化图 4给出了青藏高原地区闪电活动空间分布的季节变化特征, 可以看出,高原闪电活动呈现出先西进再东退的特点。图 4a和图 4b显示,4—5月高原大部分区域的闪电活动很弱,月平均闪电密度基本低于0.3 fl·km-2。图 4c显示, 6月高原闪电活动继续向西扩展,延伸至高原西部,并在高原中部33°N,92°E附近形成高值中心,最高值约为1.1 fl·km-2。图 4d显示, 7月高原闪电活动延续向西扩展的趋势,高原大部分区域的月均闪电密度均大于0.4 fl·km-2,而高原的闪电活动中心也向西移动至33°N,88°E附近,但强度变化不大;高原东部 (四川西部) 的闪电活动有所减弱,西部、南部增强。图 4e显示, 8月高原闪电活动整体减弱,没有明显的强中心,相对较强的闪电活动 (密度大于0.6 fl·km-2) 贯通高原的中部和西部。图 4f显示, 9月高原闪电活动显著减弱,闪电活动中心退至高原东部,密度大于0.4 fl·km-2。同时在高原中部保留了一较弱的闪电活动中心,月平均闪电密度为0.4~0.5 fl·km-2,西部的月平均闪电密度基本降至0.2 fl·km-2以下。
|
|
| 图 4. 青藏高原地区4月 (a)、5月 (b)、6月 (c)、7月 (d)、8月 (e)、9月 (f) 的月平均闪电密度分布 Fig 4. Monthly average lightning density over the Tibetan Plateau in Apr (a), May (b), Jun (c), Jul (d), Aug (e) and Sep (f) | |
整体上看,高原上的闪电活动存在一个自东向西发展,再向东消退的过程。高原从3月开始出现闪电活动,自5月开始西进,7月和8月达到最活跃的时期,9月开始东退,11月后闪电活动基本消失。喜马拉雅山南侧的闪电活动在5月高原闪电刚开始活跃时,已形成了大范围的活跃区域,从6月、7月开始减弱,之后闪电活动维持至10月。同时,有两个区域的闪电活动相对保持稳定:高原东北部 (青海东部) 的强闪电活动区几乎稳定在原位置,并在8月达到最活跃的时期。而高原东南部的闪电活动在整个过程中都持续较弱,其月闪电密度一直保持在0.4 fl·km-2以下。
由图 5a~图 5f可看出,高原降水量等值线基本呈东北—西南的走向,降水活动总体上也和闪电活动类似,随季节变化先西进再东退的趋势。4月高原大部分地区降水量低于0.5 mm。5月较大降水区开始向西扩散,随后6月持续,至7月、8月扩展至最西,此时高原整体降水达到最活跃的时期,高原除西北部以外的地区降水量均在1.5 mm以上。9月开始降水活动减弱,雨带向东南撤退。10月雨带基本退回至东南部,总体形势与4月相近。
|
|
| 图 5. 青藏高原地区4月 (a)、5月 (b)、6月 (c)、7月 (d)、8月 (e)、9月 (f) 日降水量 Fig 5. Daily precipitation over the Tibetan Plateau in Apr (a), May (b), Jun (c), Jul (d), Aug (e) and Sep (f) | |
2.3 闪电活动和降水月变化对比
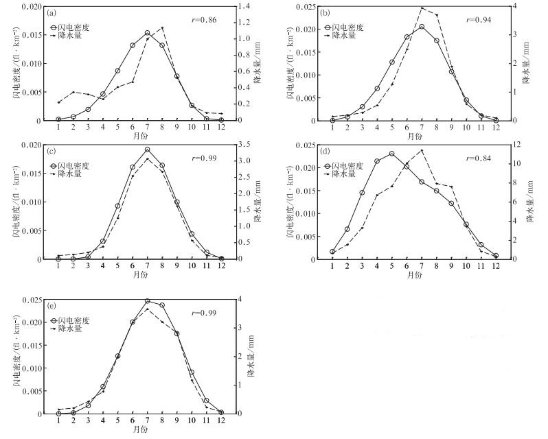
根据图 1所示的5个区域,分析闪电和降水的季节变化对应关系,结果见图 6。可以看出,在所选5个区域中,闪电密度和降水活动季节变化都呈现出单峰结构。高原西部的降水量峰值出现在8月,闪电密度的峰值出现在7月,而高原东南部的闪电密度峰值出现在5月,降水量峰值在7月。除了西部和东南部,高原中部、中北部、东北部的闪电密度和降水量峰值都同样为7月。月变化特征一般表现为1—3月闪电密度与降水量逐渐上升,但增长速度较缓慢,4月开始,闪电密度与降水量急剧上升,并在7月达到峰值,随后,8—10月闪电密度与降水量开始降低,递减速度与4—7月增长速度相近。
|
|
| 图 6. 青藏高原区域1~区域5日平均闪电密度、日平均降水量月变化 (a) 区域1,(b) 区域2,(c) 区域3,(d) 区域4,(e) 区域5 Fig 6. Monthly variations of daily lightning density and daily rain rate over the Tibetan Plateau in region 1(a), region 2(b), region 3(c), region 4(d) and region 5(e) | |
2.4 RPF空间分布
综合2.1~2.3节分析可以看到,从空间分布来说,闪电活动和降水具有明显的空间差异性,同时两者在确定地区具有一定的季节同步性。后者是可以理解的,因为闪电和降水的载体——降水系统具有季节变化特征,夏季强而冬季弱。但两者的空间差异应由高原不同地区对流活动的空间差异所引起,不同地区的整体降水中深对流系统所占的比例不同。Zheng等[21]指出,如果将闪电看作深对流活动的产物,降水由所有降水系统贡献,则闪电和降水空间关系可以在一定程度上表征强对流性系统在整个降水系统中所占比例的空间分布。本研究选取了高原上闪电活跃期,即4—9月的闪电活动和降水,计算了RPF的空间分布。
图 7给出了青藏高原及周边地区的RPF分布。高原主体部分的RPF值呈中心弱、周边强的特点。青藏高原的西北部、中西部和中北部和东北部是RPF的低值区域 (5×107~1×108 kg·fl-1),其中,最低值在西部34°N,83°E附近,为4.1×107 kg·fl-1。沿喜马拉雅山自西向东,一直延伸到藏南地区,存在一条RPF值大于1×109 kg·fl-1的区域。高原北侧沿昆仑山脉一带不连续分布着一些RPF值大于1× 109 kg·fl-1的区域。上述区域之间,高原大部分地区的RPF都在108 kg·fl-1量级,特别是在1×108~2×108 kg·fl-1的区域所占比例更大。作为对比,Petersen等[18]通过分析地闪与降水关系发现,在美国中部单个地闪对应的降水量约为1×108 kg,美国西南部为6×107 kg,热带大陆则比较高,达到了4×108 kg。Soriano等[22]分析地闪与对流性降水发现,伊比利亚半岛单个地闪对应的降水量平均值干旱地区为1.2×108 kg,潮湿地区为2.1×108 kg。
|
|
| 图 7. 青藏高原地区闪电活动活跃期 (4—9月) RPF分布 Fig 7. The distribution of RPF over Tibetan Plateau in the periods with frequent lightning activity from Apr to Sep | |
考虑到闪电活动与深对流活动和对流降水的紧密联系[17-19, 21],图 7的RPF值定性地反映对流降水,特别是深对流降水在高原降水系统中所占贡献的情况,RPF越大,表明深对流在降水系统中的贡献越小,反之,则越大。基于PFs资料分析了产生闪电的PFs占整个PFs比例的空间分布 (图 8a) 以及40 dBZ雷达回波高度超过8 km的PFs (相对较强的对流) 占整个PFs比例的空间分布 (图 8b)。对比图 7和图 8,发现他们与RPF在空间分布上具有非常好的反相关关系,这表明了闪电活动可以作为深对流活动的指示因子,而RPF值确实能够有效表征深对流系统在整个对流系统中的贡献。
|
|
| 图 8. 青藏高原PFs特征参量空间分布 (a) 产生闪电的PFs占所有PFs的比例,(b)40 dBZ高度超过8 km的PFs占所有PFs中的比例 Fig 8. Spatial distribution of characteristics of PFs over the Tibetan Plateau (a) the ratio of the PFs with lightning to all the PFs, (b) the ratio of the PFs with 40 dBZ echo above 8 km to all PFs | |
由图 7和图 8可以看到,高原中西部地区以及高原东北部地区的深对流系统在整个降水系统中的贡献明显大于高原其他地区;沿高原南部喜马拉雅山 (非喜马拉雅山南坡,而是其山脉区域) 和北部昆仑山脉一线,深对流在降水系统中的比例明显偏低,在高原的东南部 (藏南及其北部) 表现的尤为明显。从而解释了在2.1节和2.2节中该区域存在极弱闪电活动但同时极强的降水。考虑到云的起电和放电过程主要与冷云过程关系更加密切 (冰-冰的回弹碰撞被认为是导致电荷转移和起电的主要原因[23-26]),由此可以推断,在RPF值较大的区域,暖云降水对总降水的贡献要显著大于RPF值较小的区域。
此外,高原中西部的RPF值与喜马拉雅山以南印度半岛横河平原地区相似,从深对流比例的分布也是如此。Qie等[27]通过14年的TRMM数据分析发现,青藏高原的深对流系统云特征与喜马拉雅山南坡的对流系统云特征具有明显差异,喜马拉雅山南坡对流系统的平均40 dBZ雷达回波高度、冰相粒子含量等参数都大于高原地区;喜马拉雅山南坡的对流系统尺度也显著大于高原地区。但从闪电和降水关系的角度以及对流系统在整个降水系统中贡献的角度看,推测两个区域的雷暴在动力和微物理过程上具有相似性,这有待进一步研究。
3 结论和讨论本文基于1998—2013年的TRMM卫星数据,分析了青藏高原地区闪电、降水的气候特征,以及高原闪电活动与降水之间的时空对应关系,得到以下主要结论:
1) 高原主体部分的闪电活动表现为中心 (那曲) 强、周围弱的特点,降水强度却东南大、西北小,呈现梯级特点,闪电的强中心并不是降水的强中心,甚至降水最强的高原东南部是高原闪电密度的低值区域。
2) 高原的闪电活动和降水活动均于5月开始西进,9月开始东退。在此过程中,闪电活动中心随着季节在移动,而降水始终保持东南强、西北弱的态势。高原东北部 (青海东部) 夏季持续存在较强的闪电和降水活动,且位置随着季节无明显变化。
3) 对于确定地区而言,闪电、降水活动在月变化上具有较好的一致性,基本呈单峰结构,除高原西部和东南部闪电活动峰值和降水峰值出现时间不同,其他地区的闪电活动峰值均出现在7月,4—7月闪电活动和降水快速增强,随后减弱。
4) 深对流系统在整个降水系统中的贡献在高原地区存在明显的区域差异,闪电活动可以作为深对流系统的指示因子,而RPF是表征深对流系统贡献的有效因子。高原中西部和东北部深对流系统在整个降水系统中的比例最大,而高原东南部深对流在整个降水系统中的比例最低,表明该区域大量的降水由暖云降水贡献。
高原闪电活动和降水的气候特征研究为认识高原对流活动的区域差异提供了参考,为下一步开展高原闪电活动与对流系统参量的关系研究奠定了基础。显然,高原不同区域,深对流活动在降水系统中贡献差异明显,须进行有针对性分析,并关注不同区域主要雷暴类型,开展相关研究。
致谢 本文使用的闪电资料 (Ⅴ2.3.2013) 由美国全球水文和气候中心 (GHCC) 提供,降水资料 (TRMM3B43,Ⅴ7) 由美国国家航空航天局 (NASA) 和日本宇宙航空研究开发机构 (JAXA) 提供,地形数据由美国地理数据中心 (NGDC) 提供,PFs由美国犹他大学 (Utah) 提供,谨在此表示感谢。| [1] | 钱正安, 张世敏, 单扶民. 青藏高原气象科学实验文集. 北京: 科学出版社, 1984. |
| [2] | 陶诗言, 陈联寿, 徐祥德, 等. 第二次青藏高原大气科学试验理论研究进展. 北京: 气象出版社, 1998. |
| [3] | 张义军, 孟青, 马明, 等. 闪电探测技术发展和资料应用. 应用气象学报, 2006, 17, (5): 611–620. DOI:10.11898/1001-7313.20060504 |
| [4] | 张义军, 周秀骥. 雷电研究的回顾和进展. 应用气象学报, 2006, 17, (6): 829–834. DOI:10.11898/1001-7313.20060619 |
| [5] | 戴建华, 秦虹, 郑杰. 用TRMM/LIS资料分析长江三角洲地区的闪电活动. 应用气象学报, 2005, 16, (6): 728–736. DOI:10.11898/1001-7313.20050613 |
| [6] | 王艳, 张义军, 马明. 卫星观测的我国近海海域闪电分布特征. 应用气象学报, 2010, 21, (2): 157–163. DOI:10.11898/1001-7313.20100204 |
| [7] | 王艳, 郑栋, 张义军. 2000-2007年登陆台风中闪电活动与降水特征. 应用气象学报, 2011, 22, (3): 321–328. DOI:10.11898/1001-7313.20110308 |
| [8] | 张鸿发, 郭三刚, 张义军, 等. 青藏高原强对流雷暴云分布特征. 高原气象, 2004, 22, (6): 558–564. |
| [9] | 郄秀书, 袁铁, 谢毅然, 等. 青藏高原闪电活动的时空分布特征. 地球物理学报, 2005, 47, (6): 997–1002. |
| [10] | Qie X S, Toumi R, Yuan T. Lightning activities on the Tibetan Plateau as observed by the lightning imaging sensor. J Geophys Res, 2003, 108, (D17): 4551. DOI:10.1029/2002JD-003304 |
| [11] | Singh P, Nakamura K. Diurnal variation in summer precipitation over the central Tibetan Plateau. J Geophys Res, 2009, 114, (D20107). DOI:10.1029/2009JD011788 |
| [12] | Guo J, Zhai P, Wu L, et al. Diurnal variation and the influential factors of precipitation from surface and satellite measurements in Tibet. Inter J Climatol, 2014, 34, (9): 2940–2956. |
| [13] | 白爱娟, 刘长海, 刘晓东. TRMM多卫星降水分析资料揭示的青藏高原及其周边地区夏季降水日变化. 地球物理学报, 2008, 51, (3): 704–714. |
| [14] | Boccippio D J, Koshak W J, Blakeslee R J. Performance assessment of the optical transient detector and lightning imaging sensor.PartⅠ:Predicted diurnal variability. J Atmos Ocean Technol, 2002, 19, (9): 1318–1332. DOI:10.1175/1520-0426(2002)019<1318:PAOTOT>2.0.CO;2 |
| [15] | Cecil D J, Buechler D E, Blakeslee R J. Gridded lightning climatology from TRMM-LIS and OTD:Dataset description. Atmos Res, 2014, 135: 404–414. |
| [16] | 崔绚, 周波涛, 周江兴, 等. TRMM产品3B43的中国区域降水气候特征评估//第26届中国气象学会年会预测与公共服务分会场论文集, 2009: 29-34. |
| [17] | Williams E R, Geotis S G, Renno N, et al. A radar and electrical study of tropical "hot towers". J Atmos Sci, 1992, 49, (15): 1386–1395. DOI:10.1175/1520-0469(1992)049<1386:ARAESO>2.0.CO;2 |
| [18] | Petersen W A, Rutledge S A. On the relationship between cloud-to-ground lightning and convective rainfall. J Geophys Res:Atmospheres (1984-2012), 1998, 103, (D12): 14025–14040. DOI:10.1029/97JD02064 |
| [19] | 郑栋, 张义军, 孟青, 等. 北京地区雷暴过程闪电与地面降水的相关关系. 应用气象学报, 2010, 21, (3): 287–297. DOI:10.11898/1001-7313.20100304 |
| [20] | Liu C, Zipser E J, Cecil D J, et al. A cloud and precipitation feature database from nine years of TRMM observations. Journal of Applied Meteorology and Climatology, 2008, 47, (10): 2712–2728. DOI:10.1175/2008JAMC1890.1 |
| [21] | Zheng D, Zhang Y, Meng Q, et al. Climatology of lightning activity in South China and its relationships to precipitation and convective available potential energy. Adv Atmos Sci, 2016, 33, (3): 365–376. DOI:10.1007/s00376-015-5124-5 |
| [22] | Soriano L R, De Pablo F, Díez E G. Relationship between convective precipitation and cloud-to-ground lightning in the Iberian Peninsula. Mon Wea Rev, 2001, 129, (12): 2998–3003. DOI:10.1175/1520-0493(2001)129<2998:RBCPAC>2.0.CO;2 |
| [23] | Takahashi T. Riming electrification as a charge generation mechanism in thunderstorms. J Atmos Sci, 1978, 35, (8): 1536–1548. DOI:10.1175/1520-0469(1978)035<1536:REAACG>2.0.CO;2 |
| [24] | Saunders C P R, Peck S L. Laboratory studies of the influence of the rime accretion rate on charge transfer during crystal/graupel collisions. J Geophys Res:Atmospheres, 1998, 103, (D12): 13949–13956. DOI:10.1029/97JD02644 |
| [25] | Berdeklis P, List R. The ice crystal-graupel collision charging mechanism of thunderstorm electrification. J Atmos Sci, 2001, 58, (18): 2751–2770. DOI:10.1175/1520-0469(2001)058<2751:TICGCC>2.0.CO;2 |
| [26] | Saunders C P R, Bax-Norman H, Emersic C, et al. Laboratory studies of the effect of cloud conditions on graupel/crystal charge transfer in thunderstorm electrification. Quar J Roy Meteor Soc, 2006, 132, (621): 2653–2673. DOI:10.1256/qj.05.218 |
| [27] | Qie X, Wu X, Yuan T, et al. Comprehensive pattern of deep convective systems over the Tibetan Plateau-South Asian Monsoon region based on TRMM Data. J Climate, 2014, 27, (17): 6612–6626. DOI:10.1175/JCLI-D-14-00076.1 |
2016, 27 (4): 488-497



