2. 南京信息工程大学地理与遥感学院,南京 210044;
3. 江苏省南京市浦口区气象局,南京 211800
2. School of Geography & Remote Sensing, Nanjing University of Information Science & Technology, Nanjing 210044;
3. Pukou Meteorological Bureau of Jiangsu Province, Nanjing 211800
城市热岛效应对经济发展、城市气候等有很大影响,并影响居民生活、身体健康,一直是研究的热点之一[1-6]。城市化进程使建筑密度加大且高度提升,建筑群和道路构成的街谷的几何形状和表面热力性质多样性,使其周围的气象要素变得复杂[7-8],从而对城市热岛效应的形成和强度造成不同的影响。利用高空间分辨率城市三维建筑物数据可精确提取城市建筑物的三维信息,使计算城市空间形态学参数成为可能,其中迎风面积指数 (frontal area index,FAI) 和天空开阔度 (sky view factor,SVF) 可以较好地体现建筑物分布和高度信息。
国内外学者围绕天空开阔度和迎风面积指数与城市热岛强度 (urban heat island intensity,UHII) 之间关系开展许多研究。Gál等[9]研究表明,SVF与年平均热岛强度的相关系数为-0.79;Unger[10]发现SVF与夜间时刻的热岛强度呈线性负关系,决定系数为0.43;Chen等[11]研究中国香港地区街道SVF与高密度、高层建筑群的关系,表明SVF是影响香港地区的街道冠层微气候的重要因素;Wang等[12]利用城市微气候模型ENVI-MET模拟并分析SVF对UHII的影响表明,夜间两者呈显著负相关。Wong等[13]计算了FAI并用于城市热岛分析;Chen等[14]计算了香港地区的建筑物迎风面积密度 (frontal area denstiy,FAD) 和天空开阔度,并用于模拟分析城市热岛分布和风动力图;Wong等[15]基于三维建筑物数据计算不同空间尺度下FAI和基于ASTER卫星数据反演城市热岛强度,并建立FAI和UHII的关系,相关系数最优为0.57。
以上研究工作大多围绕SVF与夜间UHII相关性开展,而FAI与UHII相关关系、FAI和SVF在不同季节对UHII影响差异研究却相对较少。本文以澳大利亚阿德莱德中心城区为研究区,在SVF,FAI和晴好天气下四季城市热岛强度计算的基础上,系统探讨了SVF,FAI对不同季节、不同时刻城市热岛强度的影响差异。本文从空间形态学角度分析建筑物对城市热岛效应的影响,以期为城市规划和建设决策提供参考。
1 研究区和数据 1.1 研究区研究区为澳大利亚阿德莱德中心城区 (图 1),一条东西横贯的北台街 (North Terrace) 将市区划分为南北二区,北区多为住宅区,南区多为商业区。2014年阿德莱德城市人口为130万,面积为2000 km2。阿德莱德拥有地中海式气候,冬天潮湿寒冷,夏天干燥炎热,夏天平均最高气温约为28℃,冬天气温则降至约15℃,年平均气温为17.1℃。
|
|
| 图 1. 研究区分布 Fig 1. The location of study area | |
1.2 研究数据
研究采用的数据包括1 m×1 m城市三维建筑物数据、城区11个站的鱼眼相机数据、2010年12月—2011年10月19个站的实测气温数据、阿德莱德机场气象观测站数据 (34.98°S,138.52°E),包括日照时数、09:00(阿德莱德地方时,下同) 和15:00云量、日降水量、3 h风速和风向数据。
2 晴好天气下不同季节UHII根据阿德莱德机场气象观测站数据,选择无降水、09:00和15:00云量均低于3的为样本,以城区外围绿化带6个站作为参考,计算城区13个站不同季节的每半小时热岛强度[16],进而利用13个站点热岛强度的平均值作为该季节的城市热岛强度。图 2为晴好天气下不同季节热岛强度日变化。
|
|
| 图 2. 2010—2011年晴好天气下四季的UHII日变化 Fig 2. Daily changes of urban heat island intensity in different seasons under sunny weather conditions from 2010 to 2011 | |
由图 2可知,晴好天气下2010—2011年不同季节的阿德莱德热岛强度呈现出夜间强、白天弱的变化特征,这与大部分城市热岛强度变化规律相似。对于春、夏、秋、冬季,夜间的UHII比白天分别强1.73,0.79,1.39,1.26℃。在夜间,零点到日出的热岛强度大于日落至23:30;UHII在白天均小于1.0℃,夏季最大,其次为秋、冬季,最小为春季,春季甚至出现冷岛现象。最强热岛强度在四季出现的时刻也不同,春、夏、秋、冬季分别出现在01:00,03:00,06:00,07:00。
3 空间形态学参数与UHII关系分析 3.1 SVF与UHII相关性分析SVF定义为地表表面接收 (或发射) 的辐射量与整个半球发射 (或接受) 的辐射量之比[17],用于衡量某特定位置的辐射传输能量被阻挡的程度。本文利用Oke[18]提出的一种常见的几何排列计算SVF,依据已有成果,设置最佳搜索半径为200 m和方位角间距为1°计算SVF。利用鱼眼技术得出的天空开阔度检验SVF计算精度,两者相关系数为0.97,Oke[18]方法的均方根误差为0.13,这表明基于三维建筑物数据计算的SVF具有较高精度。
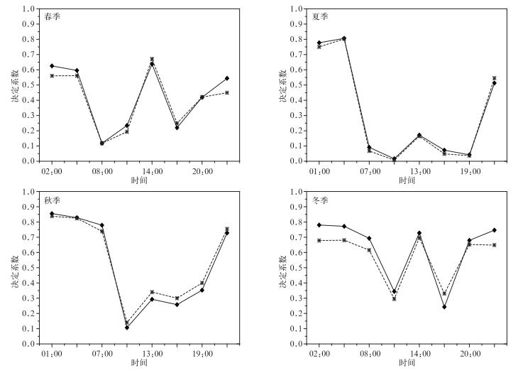
晴好天气下, 不同季节的SVF与UHII线性相关系数随时间变化如图 3所示。由图 3可知,不同季节SVF与UHII线性关系随时间变化相似。从日落到日出,呈显著线性负相关 (达到0.05显著性水平);日出后,SVF和UHII相关性迅速变弱,并逐渐由负相关转变为正相关。白天SVF与UHII呈线性正相关,春、秋、冬季相关系数大于夏季,且不同季节相关性最大值出现的时刻不同。
|
|
| 图 3. 2010—2011年晴好天气下四季SVF与UHII的线性相关系数 Fig 3. The linear correlation between SVF and UHII under sunny weather conditions in different seasons from 2010 to 2011 | |
SVF较小的位置,长波辐射能量被建筑物阻挡多而导致散热小,同时,密集的建筑物削减了风速,限制了感热通过大气对流和平流的损耗,使街道上的热量不容易散失[19],因此,夜间UHII与SVF呈负相关。日出后,街道接收能量以太阳短波辐射为主,不同地点建筑物阻挡太阳短波辐射到达地面的能量不同。SVF越小,短波辐射能量阻挡越多,UHII越低。
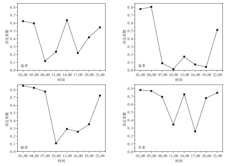
3.2 FAI与UHII相关分析建筑物迎风面积指数是在特定风向上,建筑物迎风方向总面积与研究平面面积之比[20-21]。在200 m空间尺度下,计算2010—2011年四季不同时刻FAI,并分析其对城市热岛强度的影响。不同时刻的FAI与UHII关系在四季呈现规律基本一致,在夜间UHII随FAI增大而增大,但不是呈简单的线性增加。FAI较小时,UHII增加较快,当FAI增加到一定值后,UHII增加变慢,这说明对数关系更适合表达FAI变化对夜间与早晨热岛效应强度的影响。白天两者呈线性负相关。
根据以上分析,夜间与早晨采用对数关系、白天采用线性关系计算出FAI与UHII在四季各个时刻的决定系数 (图 4)。由图 4可知,夏、秋、冬季的FAI与夜间热岛强度的决定系数基本上大于0.68(除夏季22:00为0.52),甚至很多时刻大于0.8,明显大于春季的FAI与UHII决定系数 (0.6左右)。四季夜间及早晨时刻FAI与UHII相关性均达到0.05显著性水平,白天除了春季14:00左右,春、夏、秋季FAI与UHII决定系数均小于0.3,线性负相关不显著,冬季决定系数比其他3个季节略高,尤其是14:00的决定系数为0.73,说明FAI与UHII在冬季午后呈显著的线性负相关。
|
|
| 图 4. 2010—2011年不同季节的FAI与UHII相关分布 Fig 4. Correalation between FAI and UHII in different seasons from 2010 to 2011 | |
3.3 SVF,FAI与UHII关系的适用性
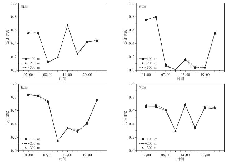
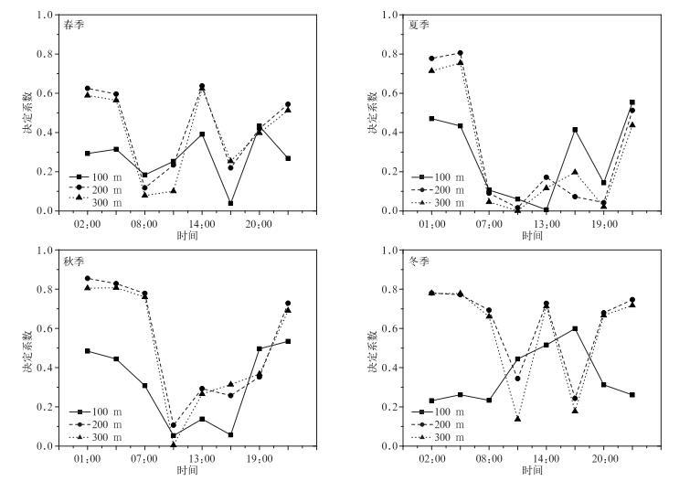
为分析SVF,FAI与UHII关系在不同空间尺度下的适用性,分别在100,200,300 m 3种空间尺度下计算SVF和FAI,并与UHII建立相关关系。图 5和图 6展示了SVF与UHII,FAI与UHII相关性在不同空间尺度下差异。
|
|
| 图 5. 不同空间尺度下SVF与UHII相关性的差异 Fig 5. Correalation between SVF and UHII with different spatial scales | |
|
|
| 图 6. 不同空间尺度下FAI与UHII相关性的差异 Fig 6. Correalation between FAI and UHII with different spatial scales | |
由图 5可知,在冬季夜间,空间尺度为100 m的SVF与UHII相关性略低,其他季节不同空间尺度下SVF与UHII相关性基本相同,相关关系稳定性较高。而FAI与UHII关系在不同空间尺度下差异较大 (图 6)。夜间当空间尺度为200 m和300 m时,不同季节的FAI与UHII相关性差别不大;空间尺度为100 m时,明显低于空间尺度为200 m和300 m时的相关性,部分时段甚至无明显相关性。白天FAI与UHII相关性在不同空间尺度下差异较大。总体来说,对于FAI与UHII相关性研究而言,200 m为最佳空间尺度。相对于SVF与UHII相关性,FAI与UHII相关关系随空间尺度变化幅度更大。
3.4 SVF,FAI与UHII相关性差异分析采用相关分析方法比较空间尺度200 m下空间形态学参数SVF,FAI与UHII关系的强弱 (图 7)。由图 7可知,春、夏、冬季的白天时段,两者的影响差异很小,在秋季午后,SVF与UHII的线性正相关性显著 (达到0.05显著性水平),而FAI与UHII线性负相关性不显著,这说明SVF比FAI更适合用于解释秋季白天的UHII变化。在夏季和秋季夜间,SVF, FAI对UHII的影响差异不大,但在春季和冬季,FAI与UHII决定系数大于SVF,差值约为0.10,表明在200 m空间尺度下,FAI比SVF更适合作为解释春、冬季UHII变化的空间形态学指标。
|
|
| 图 7. 2010—2011年晴好天气下不同季节FAI与UHII相关性 (实线) 及SVF与UHII相关性 (虚线) Fig 7. Correlations between FAI and UHII (the solid line) with SVF and UHII (the dotted line) in different seasons of under sunny weather from 2010 to 2011 | |
4 结论
1) 晴好天气下,阿德莱德城市热岛强度在四季均呈夜间强、白天弱的规律。在夜间,热岛强度春、秋季最大,冬季次之,夏季最小。UHII在白天均小于1.0℃,夏季最大,最小为春季。
2) SVF和UHII在四季夜间呈显著线性负相关,春季、秋季和冬季中午到午后线性正相关显著,而夏季白天所有时刻均不显著。FAI与UHII在夜间呈显著对数关系,白天呈线性负相关。仅春季和冬季的正午呈显著线性负相关,其他时刻不显著。
3) 在200 m的空间尺度下,夜间春季和冬季FAI与UHII相关性强于SVF与UHII,夏季和秋季差异较小。白天秋季SVF与UHII相关性略强于FAI与UHII,其他季节影响差异小。
4) 在不同城市空间尺度下,空间形态学参数SVF与UHII关系的适用性高于FAI。对于四季白天和夜间,SVF与UHII相关性在不同空间尺度下基本相同。空间尺度为200 m和300 m时,夜间FAI与UHII相关性差异不大,但明显高于空间尺度为100 m时。白天两者相关性在不同空间尺度下差异较大。
致谢 感谢澳大利亚Flinders大学环境学院关华德博士、Simon Benger博士在论文研究数据及方法等方面给予的帮助。| [1] | 杨星卫, 周红妹, 楼萌. 卫星资料在上海浦东新区热力场分析中的应用. 应用气象学报, 1994, 5, (3): 369–373. |
| [2] | 张光智, 徐祥德, 王继志, 等. 北京及周边地区城市尺度热岛特征及其演变. 应用气象学报, 2002, 13, (特刊I): 44–50. |
| [3] | 田武文, 黄祖英, 胡春娟. 西安市气候变暖与城市热岛效应问题研究. 应用气象学报, 2006, 17, (4): 438–440. DOI:10.11898/1001-7313.20060407 |
| [4] | 祝善友, 张桂欣, 刘莹. 苏州下垫面格局演变及其局地热环境效应. 地理科学, 2012, 32, (7): 859–865. DOI:10.11820/dlkxjz.2012.07.004 |
| [5] | 石涛, 杨元建, 马菊, 等. 基于MODIS的安徽省代表城市热岛效应时空特征. 应用气象学报, 2013, 24, (4): 484–494. DOI:10.11898/1001-7313.20130411 |
| [6] | Zhao L, Lee X, Smith R B, et al. Strong contributions of local background climate to urban heat island. Nature, 2014, 511: 216–219. DOI:10.1038/nature13462 |
| [7] | 桑建国, 刘辉志, 王保民, 等. 街谷环流和热力结构的数值模拟. 应用气象学报, 2002, 13, (特刊I): 69–81. |
| [8] | 徐祥德, 丁国安, 卞林根. 北京城市大气环境污染机理与调控原理. 应用气象学报, 2006, 17, (6): 815–826. DOI:10.11898/1001-7313.20060618 |
| [9] | Gál T, Lindberg F, Unger J. Computing continuous sky view factors using 3D urban raster and vector databases:Comparison and application to urban climate. Theoretical and Applied Climatology, 2009, 95: 111–123. DOI:10.1007/s00704-007-0362-9 |
| [10] | Unger J. Connection between urban heat island and sky view factor approximated by a software tool on a 3D urban database. International Journal of Environment and Pollution, 2009, 36: 59–80. DOI:10.1504/IJEP.2009.021817 |
| [11] | Chen L, Ng E, An X, et al. Sky view factor analysis of street canyons and its implications for daytime intra-urban air temperature differentials in high-rise, high-density urban areas of Hong Kong:A GIS-based simulation approach. International Journal of Climatology, 2010, 32: 121–136. |
| [12] | Wang Y P, Akbari H. Effect of sky view factor on outdoor temperature and comfort in Montreal. Environment Engineering Science, 2014, 31, (6): 273–287. |
| [13] | Wong M S, Nichol J E, To P H, et al. A simple method for designation of urban ventilation corridors and its appliction to urban heat island analusis. Building and Environment, 2010, 45: 1880–1889. DOI:10.1016/j.buildenv.2010.02.019 |
| [14] | Chen L, Ng E. Quantitative urban climate mapping based on a geographical database:A simulation approach using Hong Kong as a case study. International Journal of Applied Earth Observation and Geo-information, 2011, 13: 586–594. DOI:10.1016/j.jag.2011.03.003 |
| [15] | Wong M S, Nichol J E. Spatial variability of frontal area index and its relationship with urban heat island intensity. Int J Remote Sens, 2013, 34, (3): 885–896. DOI:10.1080/01431161.2012.714509 |
| [16] | Unger J. Intra-urban relationship between surface geometry and urban heat island:Review and new approach. Climate Research, 2004, 27: 253–264. DOI:10.3354/cr027253 |
| [17] | Watson I D, Johnson G T. Graphical estimation of sky view-factors in urban environment. J Climatology, 1987, 7: 193–197. DOI:10.1002/joc.v7:2 |
| [18] | Oke T R.Boundary Layer Climates.London and New York:Routledge, 1987:405-410. |
| [19] | 王迎春, 郑大玮, 李青春. 城市气象灾害. 北京: 气象出版社, 2009: 42–51. |
| [20] | Burian S J, Velugubantla S P, Brown M J. Morphological Analyses using 3D Building Databases:Phoenix, Arizona. Los Alamos National Laboratory, 2002. |
| [21] | Grimmond C S B, Oke T R. Aerodynamic properties of urban areas derived form analysis of surface form. J Applied Meteor, 1999, 34: 1262–1292. |
2016, 27 (2): 249-256



