最近30年,随着大气科学及地球科学的研究进展及大气探测、计算机等的飞速发展,数值天气预报质量不断提高,并已成为目前各国开展天气预报业务的重要手段,其水平在一定程度上体现了一个国家的气象综合实力。近年来,随着中期数值天气预报的不断发展,数值天气预报中也出现了一些新的、不可忽视的问题,预报跳跃性是其中之一[1]。预报跳跃性,指对未来某固定时刻的预报而言,在连续多次预报中,前后相邻两次预报所做出的结果之间差异较大的现象,也称为预报不一致性 (inconsistency) 或预报不连续性 (incontinuity)[2-3]。
在数值天气预报中,由于目前动力预报系统本身不完善,因此,预报跳跃性不可避免,其本身也不是一个大问题[4]。但近年来,随着政府部门对气象灾害防灾减灾的需求和公众生活对天气预报的要求越来越高,预报跳跃性开始逐渐受到重视。近5年,以欧洲中期天气预报中心 (ECMWF) 为主,开展了一系列相关研究[2-8],国内在这方面的研究还不多见[9]。目前,已开展的研究主要针对ECMWF、美国国家环境预报中心 (NCEP) 和英国气象局 (UKMO) 预报系统在欧洲或北美地区预报跳跃问题的定量分析方法、产生原因及其与预报误差的关系等方面的研究。在预报跳跃的定量分析方法研究中,主要通过建立预报跳跃指数对该现象进行定量分析。但现有的指数较少,主要包括Zsoter等[2]的Jumpiness指数即跳跃指数、Ehret[6]的收敛指数、Lashley等[5]的预报收敛评分等。在预报跳跃的产生原因分析中,已有研究主要从初始场误差和模式误差两个角度来考虑[3-4, 10-12],但仅限于理论上的简要分析,两者在预报跳跃形成过程中的具体作用还不明确。总体而言,目前对预报跳跃问题的研究还不全面,对于国内外代表性预报系统在亚洲及其他地区的预报跳跃问题还未进行深入研究,对预报跳跃性特征及改善方法等尚不明确。
近年来数值天气预报技术不断发展,现在的数值天气预报已不再局限于传统的单一确定性预报,集合预报系统已成为许多国家气象中心业务部门的重要组成部分。集合预报系统可输出大量的预报场资料,包含丰富的信息量,其为预报员提供了一系列的集合预报产品,如集合平均预报、集合离散度、概率预报等[10, 13-20]。由于预报跳跃性的产生主要是由于初始不确定性和模式不确定性的存在,而集合预报的出现为处理这些不确定性问题提供了一些途径[2, 21]。此外,世界气象组织 (WMO) 在THORPEX (the Observing System Research and Predictability Experiment,全球观测系统研究和可预报性试验) 科学计划下成功实施了全球交互式大集合预报系统 (THORPEX Interactive Grand Global Ensemble,简称TIGGE), 是一个全球各国和地区的业务中心的联合行动,它将各主要业务中心集合预报产品集中到一起进行数据传输与应用[22-24],这为开展以集合预报为主的科学研究提供了强有力的保证。
本文将在前人研究预报跳跃问题的基础上 (主要是采用其定量分析方法),基于TIGGE预报资料,拟以统计研究为主,对ECMWF,NCEP和中国气象局 (CMA)3个中心的集合控制预报和集合平均预报在亚洲地区的预报跳跃性特征问题进行研究,同时在此基础上对两者的跳跃性特征进行对比,探讨集合预报方法对预报跳跃性的影响,从而在理论上进一步加强对预报跳跃现象的认识。
1 资料和方法 1.1 资料本文所用资料包括ECMWF,NCEP和CMA 3个中心的集合数值预报资料的集合控制预报和集合平均预报。选取3个中心全球集合预报模式2011年3月1日—2013年2月28日每日00:00和12:00(世界时,下同) 起报的500 hPa位势高度场、850 hPa温度场和海平面气压场资料。研究区域有4个 (图 1),分别为A区:45°~75°N,40°~150°E; B区:50°~70°N,50°~140°E; C区:55°~65°N,60°~130°E; D区:20°~40°N,70°~160°E。其中,A,B,C 3个区域大小不一,但有同一个区域中心。B区和D区两者区域大小一样,但相距较远。水平分辨率为1°×1°,预报时效ECMWF为0~360 h,NCEP为0~384 h,CMA为0~240 h,间隔为6 h。
|
|
| 图 1. 研究采用的4个区域 Fig 1. Four different areas used in the research | |
1.2 方法 1.2.1 Jumpiness指数
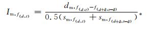
要分析研究预报跳跃性,首先要有客观的定量分析方法。本文主要采用Zsoter等[2]的Jumpiness指数对预报跳跃问题进行定量研究。该指数适用于确定性预报,方法易理解,且不需要实况分析场。其定义为前后相邻两次预报之差与两次预报的平均标准差之比,即
|
(1) |
式 (1) 中, d表示起报时刻,t为预报时效,δ为相邻两个起报时刻的时间间隔 (这里取为12 h),下标m表示对变量取区域平均。f(d, t)与f(d+δ, t-δ)表示预报时刻均为 (d+t) 的两个相邻起报时刻的预报结果,起报时刻分别为d和 (d+δ)(如图 2所示)。dm, f(d, t)-f(d+δ, t-δ)表示这两次预报结果之差,sm, f(d, t)和sm, f(d+δ, t-δ)分别表示f(d, t)和f(d+δ, t-δ)预报结果区域平均的标准差。
|
|
| 图 2. Jumpiness指数定义中各变量的示意图 Fig 2. Variables of Jumpiness index | |
式 (1) 右边以两次预报的平均标准差作为分母,实际上是对该指数进行标准化。考虑到不同的预报系统有各自的特征 (如分辨能力和变率的不同),这样处理使得不同预报系统的连续预报中不同预报时效的指数之间可相互比较。
1.2.2 不同预报跳跃类型的定义预报跳跃简单来讲指的是前后相邻两次预报结果差异较大的现象,这里以单个时效预报的Jumpiness指数的绝对值大小超过所给定的临界值时,认为出现所谓的预报跳跃现象,这里定义为单点跳跃。其临界条件为
|
(2) |
|
(3) |
其中, d表示起报时刻,N为研究时段内起报时刻的个数,Im, f(t)为预报时效为t的N个Jumpiness指数的均方差,称为时间平均跳跃指数。
在上述单点跳跃定义的基础上,根据预报跳跃的强度,定义了异号两点跳跃和异号三点跳跃两种预报跳跃类型。对未来某固定时刻的预报而言,在连续多次预报中,若前后相邻两次预报均出现单点跳跃,但两者的Jumpiness指数符号相反,即认为出现一次异号两点跳跃现象。若相邻3次预报均出现单点跳跃,但相邻两次预报的Jumpiness指数符号相反,即认为出现一次异号三点跳跃现象。这3种预报跳跃类型的示意图如图 3所示。图 3中,对于单个预报时效,Ⅰ, Ⅱ, Ⅲ 3个时效的Jumpiness指数均超过所给定的临界值,满足单点跳跃的定义,可认为3个时效的预报均出现单点跳跃现象。对于两个预报时效Ⅰ和Ⅱ或Ⅱ和Ⅲ,其Jumpiness指数也满足异号两点跳跃的定义,则可认为Ⅰ, Ⅱ两个时效或Ⅱ, Ⅲ两个时效的预报出现一次异号两点跳跃现象。同理根据异号三点跳跃的定义可知,Ⅰ,Ⅱ,Ⅲ 3个时效的预报出现一次异号三点跳跃现象。
|
|
| 图 3. 单点跳跃、异号两点跳跃和异号三点跳跃定义示意图 (虚线表示0.5倍的时间平均跳跃指数,即临界条件) Fig 3. Concepts of flip, flip-flop and flip-flop-flip (dashed line:half the period-average Jumpiness index called critical condition) | |
为研究不同预报类型预报跳跃之间的差异和联系,在上述预报跳跃类型即单点跳跃、异号两点跳跃和异号三点跳跃定义的基础上,定义了平行单点跳跃、平行异号两点跳跃和平行异号三点跳跃。即当两个不同的预报类型 (如同一个预报系统的集合控制预报和集合平均预报),其在同一个时效的预报同时出现单点跳跃或是异号两点跳跃或是异号三点跳跃,且Jumpiness指数符号相同 (也就是同位相),则定义这两个预报类型出现一次平行单点跳跃或平行异号两点跳跃或者平行异号三点跳跃。
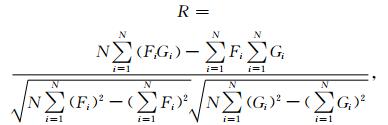
1.2.3 预报跳跃性的相关性为了进一步评估不同预报类型预报跳跃性的差别和联系,本文还采用相关系数来衡量。对于某个预报时效来讲,两个不同预报类型预报跳跃性之间的相关系数为
|
(4) |
式 (4) 中,i表示起报时刻,N代表研究时段内起报时刻的个数,Fi和Gi代表两个不同预报类型预报结果的Jumpiness指数,这两个预报可为一个预报系统的集合控制预报和集合平均预报,也可为两个预报系统的集合控制预报或集合平均预报等。
2 预报跳跃性特征以统计研究为主,对ECMWF, NCEP和CMA 3个中心的集合控制预报和集合平均预报的预报跳跃性特征进行对比:预报跳跃的平均统计特征 (即时间平均预报跳跃性统计)、频率统计特征以及预报跳跃性对区域、时间和变量的敏感性分析。
2.1 时间平均预报跳跃性统计采用时间平均跳跃指数,即式 (3),对ECMWF, NCEP和CMA 3个中心的集合控制预报和集合平均预报的预报跳跃平均统计特征进行研究。研究区域为A区,结果如图 4所示。
|
|
| 图 4. ECMWF,NCEP和CMA集合预报系统500 hPa位势高度场集合控制预报与集合平均预报的时间平均跳跃指数 Fig 4. Period-average Jumpiness index for control and the ensemble-mean 500 hPa geopotential height forecasts of ECMWF-EPS, NCEP-EPS and CMA-EPS | |
由图 4可知,在这3个集合预报系统中,平均而言,随着预报时效的增长时间平均跳跃指数是增大的,这与实践经验一致,即短时效预报之间的跳跃性要低于长时效预报之间的跳跃性。此外,对于所研究的集合预报系统来讲,集合平均预报的时间平均跳跃指数均小于其相应的集合控制预报的结果,尤其是在长预报时效这种现象更加明显。这表明,采用集合预报对长时效预报之间的预报跳跃性具有一定的改善作用。对于集合控制预报,ECMWF和NCEP预报系统的指数均明显低于CMA预报系统,ECMWF的指数较NCEP的结果略小。对于集合平均预报,随着预报时效的增长,其时间平均跳跃指数增长较控制预报缓慢,其中CMA的时间平均跳跃指数最大,ECMWF的结果最小。
2.2 预报跳跃的频率统计对3个中心的集合控制预报和集合平均预报单独出现预报跳跃和两者之间同时出现预报跳跃的频率统计。根据第1章给出的相关预报跳跃类型的定义,分别对单点跳跃、异号两点跳跃和异号三点跳跃以及各集合预报系统各自的集合控制预报与集合平均预报同时出现这3种预报跳跃类型的频率进行统计。研究区域为A区,结果如图 5所示。
|
|
| 图 5. ECMWF, NCEP和CMA集合预报系统500 hPa位势高度场集合控制预报与集合平均预报出现单点跳跃 (a)、异号两点跳跃 (b)、异号三点跳跃 (c) 以及平行单点跳跃 (d)、平行异号两点跳跃 (e) 和平行异号三点跳跃 (f) 的频率统计 Fig 5. Frequency statistics of occurrences of flip (a), flip-flop (b), flip-flop-flip (c), parallel flip (d), parallel flip-flop (e) and parallel flip-flop-flip (f) for control and ensemble-mean 500 hPa geopotential height forecasts of ECMWF-EPS, NCEP-EPS and CMA-EPS | |
图 5a和5d分别是集合控制预报与集合平均预报出现单点跳跃和平行单点跳跃的频率统计。在图 5a中,对于所研究的集合预报系统,在整个预报时效内,集合控制预报和集合平均预报出现单点跳跃现象的频率均维持在一个较高的水平,达50%以上,且随着预报时效的增长,显示出微弱的上升趋势,频率特征很相似。在图 5d中,对于各个预报系统,在短预报时效内,集合控制预报和集合平均预报同时出现单点跳跃的频率很高,结合图 5a可以说明,两者出现单点跳跃现象几乎是同步的。但随着预报时效的增长,该频率逐渐降低,说明两者在长预报时效出现单点跳跃现象仍有差别。
图 5b和5c是集合控制预报与集合平均预报出现异号两点跳跃和异号三点跳跃的频率统计。图 5e和5f分别是这几个集合预报系统各自的集合控制预报和集合平均预报之间同时出现异号两点跳跃 (即平行异号两点跳跃) 和异号三点跳跃 (即平行异号三点跳跃) 的频率统计。对比图 5b、图 5c与5a可知,所有集合预报系统出现异号两点跳跃和异号三点跳跃的频率均低于出现单点跳跃的频率,出现异号三点跳跃现象的频率最低。此外,异号两点跳跃和异号三点跳跃现象的频率特征很相似,在短预报时效,每个预报系统的集合控制预报和集合平均预报的频率很接近,且频率波动均比较大,但在中长期预报中,两者的频率均逐渐增大,集合平均预报的频率要低于集合控制预报的频率,这与单点跳跃现象的特征不同。图 5e、图 5f与之前的图 5d特征很相似,不同的是这两种跳跃类型的频率均低于同时出现单点跳跃的频率,且这两种现象在短时效的频率波动比较大。
综合图 5a、图 5b和5c,对于所有的集合预报系统来讲,出现单点跳跃、异号两点跳跃和异号三点跳跃的频率依次降低。总体而言,集合平均预报出现预报跳跃的频率小于集合控制预报,尤其在长预报时效更加明显。这表明,集合平均预报的预报跳跃水平较集合控制预报要低,集合预报对长时效预报之间的预报跳跃具有一定的改善作用。综合图 5d、图 5e和5f可以看出,集合控制预报和集合平均预报在长时效的预报跳跃情况差别比较大。为进一步研究该现象,在2.3节中计算了集合控制预报和集合平均预报的Jumpiness指数时间序列的相关系数。
2.3 集合控制预报和平均预报的跳跃相关性统计图 6是ECMWF, NCEP和CMA集合预报系统各自集合控制预报和集合平均预报之间500 hPa位势高度场的Jumpiness指数的相关系数。由图 6可以看出,在所研究的集合预报系统中,对于短时效的预报而言,集合控制预报与集合平均预报的Jumpiness指数之间的相关性十分显著 (相关系数接近于1)。但随着预报时效的增长,两者的相关性逐渐减弱。表明集合控制预报与集合平均预报在长时效的预报跳跃情况差别较大,与2.2节结论一致。
|
|
| 图 6. ECMWF, NCEP和CMA集合预报系统集合控制预报和集合平均预报之间500 hPa位势高度场Jumpiness指数的相关系数 Fig 6. Correlation of 500 hPa geopotential height Jumpiness index between control and the ensemble-mean forecasts of ECMWF-EPS, NCEP-EPS and CMA-EPS | |
2.4 预报跳跃性的敏感性
为了评估上述预报跳跃性特征的稳定性,针对不同区域、时间和变量,对比预报跳跃性特征。在这里仅针对ECMWF预报系统展开研究。
2.4.1 预报跳跃性对区域的敏感性在本节中选取图 1所示的4个区域进行预报跳跃性对区域的敏感性研究。A, B, C 3个区域范围依次减小,但平均而言, 三者的气候特征和天气系统一样,以此可以研究预报跳跃性对区域大小的敏感性。D区和B区的区域大小一样,但平均而言,两者的气候特征和天气系统不同,可用来探讨预报跳跃性对所选区域天气气候的敏感性。
图 7对比了A, B, C 3个区域的时间平均跳跃指数,可以发现,无论是集合控制预报还是集合平均预报,A区域的时间平均跳跃指数最小,C区域的结果最大,且随着预报时效的增长,3个区域的差异也逐渐增大。这表明,时间平均预报跳跃对区域大小十分敏感,研究区域越小,其时间平均跳跃指数越大,预报跳跃的强度越强。对比B区和D区的结果,虽然两者的区域大小一样,但B区的时间平均跳跃指数明显大于D区,尤其是两者的集合控制预报结果。这说明时间平均预报跳跃对所选区域的气候特征和天气系统也是敏感的。此外,对于每个区域自身的集合控制预报和集合平均预报而言,随着预报时效的增长,集合控制预报对区域的敏感性大于集合平均预报。
|
|
| 图 7. ECMWF集合预报系统500 hPa位势高度场集合控制预报与集合平均预报在不同区域的时间平均跳跃指数 Fig 7. Period-average Jumpiness index for 500 hPa geopotential height control and ensemble-mean forecasts of ECMWF-EPS for four different areas | |
另外,对不同区域出现预报跳跃现象的频率也进行对比研究 (图略),结果表明:预报跳跃现象出现的频率对区域大小和其气候特征以及天气系统的敏感性有限,即各区域的频率差别不明显。集合控制预报和集合平均预报在预报跳跃方面的差异对区域的敏感性也有限。
2.4.2 预报跳跃性对时间的敏感性由图 8可知,整体来看,集合控制预报和集合平均预报在各个季节出现单点跳跃的频率基本在10%~20%之间波动。集合控制预报各季节在短时效出现单点跳跃的频率稍有差异 (图 8a),夏季发生的频率最高,冬季发生的频率最低,春、秋两季出现的频率居于冬、夏之间。随着预报时效的增长,各季节的频率均表现出微弱的上升趋势,且差异也逐渐减小。集合平均预报也表现出与集合控制预报相似的特征 (图 8b),集合平均预报各季节出现单点跳跃现象的频率与集合控制预报的结果差别不大。
|
|
| 图 8. ECMWF集合预报系统500 hPa位势高度场集合控制预报与集合平均预报出现单点跳跃现象的频率的季节变化特征 (a) 集合控制预报结果,(b) 集合平均预报结果 Fig 8. Frequency statistics of the fip occurrence for ECMWF-EPS control and ensemble-mean forecasts for four seasons at 500 hPa geopotential height (a) the control forecasts, (b) the ensemble-mean forecasts | |
对其他预报跳跃类型在各个季节的频率也做了同样分析 (图略),结果表明,无论是集合控制预报还是集合平均预报均表现出与图 8a相似的特征,即各个季节的频率差别不大。总体来看,预报跳跃现象出现的频率及表现特征对时间的敏感性有限。
2.4.3 预报跳跃性对变量的敏感性由于资料限制,本文仅选取500 hPa位势高度场、850 hPa温度场及海平面气压场进行预报跳跃性的对比研究,探讨预报跳跃性对变量的敏感性。
由图 9可知,无论是集合控制预报还是集合平均预报,海平面气压场时间平均跳跃指数最大,500 hPa位势高度场次之,850 hPa温度场的结果最小。这表明在研究区域内,海平面气压场的预报结果之间较500 hPa位势高度场和850 hPa温度场具有更大的跳跃性,850 hPa温度场的预报结果之间的预报跳跃性最小。同时,对于这3个变量而言,三者各自的集合控制预报与集合平均预报之间所表现出来的特征十分相似,即对于短时效的预报,集合控制预报和集合平均预报的时间平均跳跃指数差别不大。但随着预报时效的增长,集合平均预报的结果小于其相应的集合控制预报的结果。不同的是随着预报时效的增长,海平面气压场中两者的差异大于500 hPa位势高度场和850 hPa温度场,即集合预报对海平面气压场的预报跳跃性强度的改善作用更加明显。此外,对于500 hPa位势高度场、850 hPa温度场和海平面气压场,三者集合平均预报之间的差异小于相应的集合控制预报,这表明集合平均预报的时间平均预报跳跃对变量的敏感性小于集合控制预报。
|
|
| 图 9. ECMWF集合预报系统500 hPa位势高度场、850 hPa温度场以及海平面气压场的集合控制预报与集合平均预报的时间平均跳跃指数 Fig 9. Period-average Jumpiness index for control and ensemble-mean forecasts of ECMWF-EPS for 500 hPa geopotential height, 850 hPa temperature and the mean sea level pressure | |
另外,对于不同变量出现预报跳跃现象的频率也做了相应的统计分析 (图略)。总体而言,不同预报跳跃类型出现的频率及集合控制预报和集合平均预报在预报跳跃方面的差异对变量的敏感性有限,即各变量差别不大。
3 结论本文利用TIGGE资料,研究ECMWF,NCEP和CMA 3个集合预报系统中集合控制预报与集合平均预报的预报跳跃性特征问题,得到以下几点结论:
1) 时间平均预报跳跃性特征。平均而言,短时效预报之间的预报跳跃性要低于长时效预报之间的预报跳跃性。在集合预报系统中,集合平均预报的结果之间较其相应的控制预报具有更好的一致性,尤其在长时效的预报结果之间更加明显。
2) 预报跳跃的频率特征。对于所研究的集合预报系统来讲,出现单点跳跃、异号两点跳跃和异号三点跳跃的频率依次降低。集合控制预报和集合平均预报在长时效的预报跳跃情况差别较大。两者之间Jumpiness指数相关系数进一步证实了该结论。
3) 预报跳跃对区域、时间和变量的敏感性。时间平均预报跳跃对区域和变量很敏感。集合控制预报对区域和变量的敏感性大于集合平均预报。不同预报跳跃类型出现的频率及集合控制预报和集合平均预报在预报跳跃方面的差异对区域、时间和变量的敏感性有限。
| [1] | Persson A, Riddaway B. Increasing trust in medium-range weather forecasts. ECMWF Newsletter, 2011, 129: 8–12. |
| [2] | Zsoter E, Buizza R, Richardson D. "Jumpiness" of the ECMWF and Met Office EPS control and ensemble-mean forecasts. Mon Wea Rev, 2009, 137, (11): 3823–3836. DOI:10.1175/2009MWR2960.1 |
| [3] | Pappenberger F, Cloke H L, Persson A, et al. HESS opinions "on forecast (in) consistency in a hydro-meteorological chain:Curse or blessing?". Hydrol Earth Syst Sci, 2011, 15: 2391–2400. DOI:10.5194/hess-15-2391-2011 |
| [4] | Persson A.User Guide to ECMWF Forecast Products.Reading, United Kingdom:ECMWF, 2011:1-127. |
| [5] | Lashley S L, Fisher L, Simpson B J, et al.Observing Verification Trends and Applying a Methodology to Probabilistic Precipitation Forecasts at a National Weather Service Forecast Office.Preprints, 19th Conf on Probability and Statistics, New Orleans, LA, Am Meteorol Soc, 2008. |
| [6] | Ehret U. Convergence index:A new performance measure for the temporal stability of operational rainfall forecasts. Meteorologische Zeitschrift, 2010, 19, (5): 441–451. DOI:10.1127/0941-2948/2010/0480 |
| [7] | Pappenberger F, Bogner K, Wetterhall F, et al. Forecast convergence score:A forecaster's approach to analyzing hydro-meteorological forecast systems. Adv Geosci, 2011, 29: 27–32. DOI:10.5194/adgeo-29-27-2011 |
| [8] | Bogner K, Pappenberger F. Multiscale error analysis, correction and predictive uncertainty estimation in a flood forecasting system. Water Resour Res, 2011, 47: W07524. |
| [9] | 李佰平, 智协飞. ECMWF模式地面气温预报的四种误差订正方法的比较研究. 气象, 2012, 38, (8): 897–902. DOI:10.7519/j.issn.1000-0526.2012.08.001 |
| [10] | 杜钧. 集合预报的现状和前景. 应用气象学报, 2002, 13, (1): 16–28. |
| [11] | 庄照荣. 集合卡尔曼滤波资料同化系统的设计及其在集合预报中的应用. 北京: 中国科学院研究生院, 2007: 91-92. |
| [12] | 王鹏飞, 王在志, 黄刚. 舍入误差对大气环流模式模拟结果的影响. 大气科学, 2007, 31, (5): 815–825. |
| [13] | 李泽椿, 陈德辉. 国家气象中心集合数值预报业务系统的发展及应用. 应用气象学报, 2002, 13, (1): 1–15. |
| [14] | 陈静, 陈德辉, 颜宏. 集合数值预报的发展与研究进展. 应用气象学报, 2002, 13, (4): 497–507. |
| [15] | 段明铿, 王盘兴. 集合预报方法研究及应用进展综述. 南京气象学院学报, 2004, 27, (2): 279–288. |
| [16] | 关吉平, 张立凤, 张铭. 集合预报研究现状与展望. 气象科学, 2006, 26, (2): 228–235. |
| [17] | 麻巨慧, 朱跃建, 王盘兴, 等. NCEP、ECMWF及CMC全球集合预报业务系统发展综述. 大气科学学报, 2011, 34, (3): 370–380. |
| [18] | 杜钧, 陈静. 单一值预报向概率预报转变的基础:谈谈集合预报及其带来的变革. 气象, 2010, 36, (11): 1–11. DOI:10.7519/j.issn.1000-0526.2010.11.001 |
| [19] | 毛恒青, 陈谊, 陈德辉. 神威中期集合数值预报产品的业务应用. 应用气象学报, 2002, 13, (1): 56–61. |
| [20] | 赵琳娜, 刘莹, 党皓飞, 等. 集合数值预报在洪水预报中的应用进展. 应用气象学报, 2014, 25, (6): 641–653. DOI:10.11898/1001-7313.20140601 |
| [21] | Ruth D, Glahn B, Dagostaro V, et al. The performance of MOS in the digital age. Wea Forecasting, 2009, 24: 504–519. DOI:10.1175/2008WAF2222158.1 |
| [22] | 智协飞, 陈雯. THORPEX国际科学研究新进展. 大气科学学报, 2010, 33, (4): 504–511. |
| [23] | 纪永明, 陈静, 矫梅燕, 等. 基于多中心TIGGE资料的区域GRAPES集合预报初步试验. 气象, 2011, 37, (4): 392–402. DOI:10.7519/j.issn.1000-0526.2011.04.002 |
| [24] | 林春泽, 智协飞, 韩艳, 等. 基于TIGGE资料的地面气温多模式超级集合预报. 应用气象学报, 2009, 20, (6): 706–712. DOI:10.11898/1001-7313.20090608 |
2016, 27 (2): 220-229



