2. 中国气象科学研究院灾害天气国家重点实验室,北京 100081
2. State Key Laboratory of Severe Weather, Chinese Academy of Meteorological Sciences, Beijing 100081
风廓线雷达主要利用大气湍流对电磁波的散射作用对大气风场等物理量进行探测,在气象领域内应用非常广泛[1-6]。从20世纪80年代开始,美国、日本相继布设了风廓线雷达业务观测网[7-8],并应用于强雷暴天气监测预警及数值模式同化预报[9-10]。近年来,我国风廓线雷达网的建设也进入了快速发展时期,为充分发挥站网数据在天气分析及数值预报中的作用,需开展针对数据质量影响因子及处理算法的研究。
国外对风廓线雷达探测资料的质量控制算法研究较多,Strauch等[11]将一致性检验算法应用于径向速度数据平均过程中,Weber等[12]提出连续性检验算法,这两种算法均能很好剔除低信噪比引起的错误观测数据及飞机、鸟类干扰等造成的飞点数据;Lambert等[13]总结前人工作并结合新的图像处理技术,设计了风廓线雷达站网数据算法流程:一致性检验、降水污染数据识别、中值滤波算法或Weber-Wuertz (WW) 算法。
有关数据评估工作主要分为两类:一类是将风廓线雷达资料与探空资料进行对比评估[14-16],这种评估方法通过分析雷达测风与探空数据差异,评估风廓线雷达测风数据质量,但受到各自探测系统测风原理差异影响。另一类是利用五波束风廓线雷达观测资料进行自对比评估[17-19],利用五波束雷达获取两组相互独立的水平风u,v分量,评估分析风的空间不均匀分布对雷达测风影响,得到风廓线雷达测风的可信度。
降水期间返回信号受降水粒子下降速度影响,风廓线雷达的数据质量有所降低。Strauch等[17]指出垂直运动对风测量精度影响不可忽视;Wuertz等[18]使用Strauch等[17]提出的降水识别方法,对数据进行均匀性降水、时间不均匀降水、空间不均匀降水3种降水天气的标识;邓闯等[19]认为降水对风廓线雷达测量精度的影响主要来自垂直速度的空间不均匀分布;李晨光等[20]发现在有强阵雨天气,通过一致性检验的数据仍存在质量较差情况;万蓉等[21]指出降水期间风廓线雷达数据获取率增加,但数据质量下降。我国降水频发,如何有效使用降水期间风廓线雷达数据是风廓线雷达数据处理方法所面临的问题。
面向数值预报和资料同化分析使用的风廓线雷达数据处理,需考虑雷达探测系统误差、数据空间一致性、时间代表性等影响,本文提出探测系统误差检测方法和针对空间均匀性及时间代表性的处理算法,使用2014年3—5月广东风廓线雷达站网数据,对雷达系统进行检测,并给出晴空情况下的数据有效高度,评估几种数据处理算法,对经过空间均匀性检验和时间一致性平均处理后的风数据进行数据质量分析。
1 设备及资料选用2014年3—5月广东风廓线雷达站网10部雷达的探测资料进行评估。广东区域站网10部雷达包含8部边界层雷达 (LC)、1部对流层Ⅱ型雷达 (PB) 和1部对流层Ⅰ型雷达 (PA),8部LC雷达分别位于珠海、潮州、从化、连州、龙门、罗定、新会、增城,PB雷达位于湛江,PA雷达位于萝岗。
10部雷达均采用五波束扫描探测方式,1个探测周期包含2~3个探测模式,探测周期为3~6 min,不同型号雷达的数据时间分辨率和距离库数不同。详细雷达参数见表 1。
|
|
表 1 风廓线雷达参数 Table 1 Parameters of wind profile radars |
我国风廓线雷达探测系统提供3级数据输出,分别为谱分布、谱矩数据和风产品,本文从第2级谱矩数据 (RAD数据) 着手进行数据处理分析,该级数据提供5个探测波束各个距离高度上的信噪比 (SNR)、径向速度和速度谱宽。
LC雷达RAD数据时间分辨率为5 min,2014年3—5月总探测次数为26288次;PB雷达 (湛江站) RAD数据时间分辨率为3~4 min,总探测次数为37510次;PA雷达 (萝岗站) RAD数据时间分辨率为5~6 min,总探测次数为17109次。统计时段内,潮州站、从化站、新会站、萝岗站分别缺测1,2,3,21 d。
2 探测系统误差检测 2.1 检测方法业务风廓线雷达在使用前对雷达探测系统架设、安装有明确规范,但仍需要对探测数据是否受到探测系统误差影响进行检测评估。
风廓线雷达由径向速度合成风时应用了均匀风场假设条件,均匀风场条件认为水平气流在波束空间范围内均匀分布,同时,计算中还需用垂直波束获取的垂直速度代替4个倾斜波束上的垂直速度,即在同一探测高度上,风廓线雷达各波束指向位置处的风速、风向相同,垂直运动速度也相同。分别用Vre,Vrs,Vrw,Vrn表示五波束风廓线雷达东、南、西、北4个倾斜波束上的径向速度,Vrz表示垂直波束上的垂直速度,雷达探测径向速度远离雷达方向为负,朝向雷达方向为正,用u,v,w代表某一高度风的3个分量,在以上假设基础上, 风廓线雷达探测径向速度可表示为
|
(1) |
式 (1) 中,θ为4个倾斜波束天顶角。在风场均匀、垂直速度w可忽略的晴空稳定大气条件下,若不存在探测系统误差,两组对称波束径向速度之和Vew(Vre+Vrw),Vns(Vrn+Vrs) 为0。非均匀风场导致的风廓线雷达测风误差可认为是满足平均值为0的随机正态分布[12],且Vrz集中在-0.5~0.5 m·s-1范围内时可认为满足晴空稳定大气条件[22]。对Vrz在-0.5~0.5 m·s-1范围内时的Vew,Vns进行统计分析,当Vew,Vns统计平均值接近0,且呈随机正态分布时,认为雷达不存在较大的系统误差。
2.2 评估结果陈少应等[23]用最大似然估值法估算出风廓线雷达理论径向速度误差为0.194 m·s-1,Vew,Vns分别包含两个波束的径向速度误差,选择0.5 m·s-1作为Vew,Vns统计平均值判断是否存在雷达探测系统误差的标准,对广东风廓线雷达站网10部雷达2014年3—5月探测数据进行Vew,Vns统计。
图 1给出珠海站2014年3月低模式和高模式Vew,Vns分布,统计样本为Vrz在±0.5 m·s-1范围内时低模式和高模式的全部Vew,Vns数据,其中,低模式数据样本量为125686,高模式数据样本量为83928。由图 1可知,Vew,Vns分布基本满足平均值为0的随机正态分布,主要集中在-2~2 m·s-1,未出现明显的不对称偏差,表明Vew,Vns分布主要受到波束空间内风的不均匀分布影响,雷达不存在大的系统误差。
|
|
| 图 1. 2014年3月珠海站低模式和高模式Vew,Vns频数分布图 Fig 1. The distribution of Vew and Vns in low and high modes at Zhuhai Station in Mar 2014 | |
图 2给出广东风廓线雷达站网10部雷达2014年3月不同探测模式Vew,Vns平均值随高度分布,由图 2可知,几乎所有雷达低模式探测数据和高模式中的低中层数据Vew,Vns平均值均接近0,只有PA雷达在低模式1~2 km高度范围内Vew平均值超过0.5 m·s-1,达到1 m·s-1,但Vns平均值均接近0,表明在这高度范围内东、西波束探测数据中反映出有系统误差存在,由于北波束和南波束探测结果合理,认为可能是东、西波束受到探测环境影响所致。其中,8部LC雷达统计平均值虽随高度呈正偏特征,但低中层高度数据总平均为0.2 m·s-1左右,这8部雷达均产自同一厂家 (北京敏视达雷达有限公司),考虑波束指向存在±0.2°范围内的允许误差,有可能导致平均值出现很小的系统性正偏差,且图 1中Vew,Vns的分布总体上呈正态分布,可认为8部LC雷达不存在较大的系统误差。
|
|
| 图 2. 不同型号雷达Vew,Vns平均值随高度分布 Fig 2. The statistical average of Vew and Vns of different radars | |
图 2中雷达高模式探测数据Vew,Vns在高层某高度上均出现突然增大现象,其原因可能是受风廓线雷达探测性能影响,高空大气回波信号微弱,信噪比低增加了信号提取难度,造成谱参数识别错误。将高模式高层Vew,Vns平均值开始出现大于0.5 m·s-1时的高度作为稳定大气条件下数据有效探测高度,以此评估雷达系统的探测能力。表 2给出2014年3—5月10部雷达的有效探测高度。
|
|
表 2 2014年3—5月晴空稳定大气条件下广东风廓线雷达站网有效探测高度 (单位:km) Table 2 Valid height of Guangdong wind profiler network from Mar to May in 2014 of clear sky (unit:km) |
在稳定大气情况下,广东风廓线雷达站网LC雷达的有效探测高度为3~5 km,PB雷达有效探测高度为6~8 km,PA雷达有效探测高度为10~12 km,均满足各自型号雷达的功能需求。因此,在3 km以下广东10部雷达可弥补高空风的不足,5 km之上有2部雷达数据可稳定使用,其中3 km范围内的数据最为完整。
3 处理算法 3.1 空间均匀性判别在不考虑雷达探测系统误差的基础上,波束空间内风分布的不均匀程度是影响风廓线雷达测风质量的关键。在风均匀分布及垂直运动速度水平均匀的假定条件下,五波束探测的风廓线雷达可给出两组相互独立的风分量ue,uw和vn,vs:
|
(2) |
两组风分量的离差可以表示为
|
(3) |
均匀风场条件下,Δu=0,Δv=0,垂直速度水平均匀假设条件下4个倾斜波束上的垂直速度Vrze,Vrzw,Vrzn,Vrzs与垂直波束探测的速度Vrz一致,即
|
(4) |
4个倾斜波束上的垂直速度与垂直波束探测的速度不同时 (Δw1~Δw4为垂直速度差异),表示为
|
(5) |
式 (2) 则变形为
|
(6) |
由式 (5) 和式 (6) 可得到两个假设条件均不满足时的两组风分量离差为
|
(7) |
式 (3) 代入式 (7):
|
(8) |
式 (8) 中,Δu,Δv受水平速度的空间不均匀分布u′e-u′w,v′n-v′s以及垂直速度的水平分布不均匀Δw1+Δw2,Δw3+Δw4的共同影响,|Δu|和|Δv|越大,则风的空间分布越不均匀,对测风精度影响越大。通过|Δu|和|Δv|判断探测空间内风分布的不均匀程度,剔除较大的不均匀分布数据影响,可提高雷达测风质量,同时,Δu和Δv标准差反映了风的空间不均匀分布引起的雷达测风误差。
降水期间风廓线雷达探测的是降水粒子运动,认为被气流化的降水粒子水平运动可反映环境风的水平运动速度,垂直速度则反映降水粒子的垂直运动,在五波束计算风时,垂直速度对风精度的影响主要来自降水粒子垂直速度空间不均匀分布,并非垂直速度大小的直接影响。
3.2 时间一致性平均目前国内外在计算风廓线雷达一定时间代表性的平均风时,通常采用两种算法:一种是单位时间区间内的所有数据的数学平均,参与计算的数据样本最为完整;一种是对有效数据样本进行一致性平均,数据代表性最为有效。本文针对1 h的时间分辨率进行分析。
简单的数学平均方法可表示为
|
(9) |
式 (9) 中,n为1 h内风廓线雷达数据样本数,Si为这1 h内第i时次测风数据。
一致性平均方法是对风廓线雷达的同一波束在同一高度处多次测量值的一种平均方法,它涉及3个参数:一致性平均时间、一致性窗口宽度和一致性样本门限。具体实施方法:假设某个波束在一致性平均时间内在同一个高度处,测得10个径向速度样本S1,…,S10,首先将S1和S2,…,S10分别进行比较,差异小于一致性窗口宽度的数据放到数组W1中,同理,可分别得到数组W2,…,W10,挑出样本量最多的数组,计算其中的样本量相当于总样本量的百分比。如果该百分比大于一致性样本门限,则称通过了一致性检验,否则称为未通过一致性检验。对最大样本数组中所有的径向速度数据求得平均值,作为该高度测量的平均径向速度,即为一致性平均。用Nmax表示经过一致性检验能够获取的最大样本数,Sj表示样本数最多数组中第j个样本值,一致性平均结果可表示为
|
(10) |
根据Strauch等[11]给出的参考值,针对1 h的风数据进行一致性平均时,数据处理时间为1 h、一致性窗口宽度设为2 m·s-1,一致性样本门限设为4。
表 3为珠海站2014年3月实测风数据使用数学平均法与一致性平均法获取的Δu,Δv标准差随高度分布的统计结果,可以看出,Δu,Δv标准差随高度增加而增大,一致性算法获取的Δu,Δv标准差在高空小于简单数学平均算法,但在3 km高度以上明显偏大,甚至接近5 m·s-1,与风廓线雷达测风精度相比严重偏大。表 3中参与计算的实测数据未进行空间均匀性判别,两种算法获取的Δu,Δv标准差均偏大,表明风场空间不均匀一致引起的雷达测风误差不容忽略。
|
|
表 3 数学平均法与一致性平均法的Δu,Δv标准差 Table 3 Standard deviation of Δu and Δv using simple average and consensus average |
3.3 算法流程
本文在综合考虑空间均匀性和时间代表性的基础上提出小时分辨率的风处理算法,首先剔除风场空间极不均匀情况下的径向速度数据,再进行1 h一致性平均,最终计算风产品数据,保证测风数据在时间和空间上具有一致的代表性。
对|Δu|和|Δv|阈值的选择,一方面,要剔除风场空间不均匀情况下的数据;另一方面,要保证一定数据量以满足1 h代表性,在时间代表性处理过程中仍然可过滤影响数据一致性分布的数据。降水发生时,风廓线雷达探测径向速度的垂直分量主要反映降水粒子下降速度,而降水粒子落速空间变化大,由式 (8) 可知,垂直速度不均匀分布对风分量离差的影响被放大cotθ倍 (θ=15°时,cotθ=3.73),因此,降水对风廓线雷达探测精度影响较大。邓闯等[19]指出对流降水期间测风数据的可信度最低,空间不均匀数据的剔除主要是对降水期间的不均匀分布数据进行,有两种情况会造成垂直速度空间不均匀分布较大,一种是两个对称波束一个在降水云内、而另一个在降水云外;另一种是对流云中降水粒子的空间分布不均匀,垂直速度差异很大,进而|Δu|和|Δv|也会很大。
图 3给出珠海站2014年3月低模式和高模式探测所有观测时次的Δu,Δv频率分布。从分布形态来看,Δu,Δv基本满足随机正态分布,由于雷达没有大的系统误差,Δu,Δv主要受大气环境风的随机不均匀分布影响,集中在-4~4 m·s-1。利用地面降水资料发现晴空情况下Δu,Δv超出-10~10 m·s-1的数据所占比例远小于降水情况下的比例,图 3中在±10 m·s-1出现的翘尾现象,主要是降水造成探测空间内风的3个分量出现了大的不均匀分布导致的;晴空情况下可能是低信噪比引起的RAD数据识别错误所致。
|
|
| 图 3. 2014年3月珠海站所有探测时次的Δu,Δv频率分布 (a) 低模式,(b) 高模式 Fig 3. The distribution of Δu and Δv for all observations at Zhuhai Station in Mar 2014 (a) low mode, (b) high mode | |
4 评估分析 4.1 算法评估
对风廓线雷达探测数据进行1 h平均风的计算过程中,考虑空间均匀性的判别和时间代表性的平均方法,形成4种风处理算法方案:①仅对1 h内径向速度数据进行数学平均;②仅对1 h内径向速度数据进行一致性平均;③剔除空间极不均匀情况下的径向速度数据,再进行数学平均;④剔除空间极不均匀情况下的径向速度数据,再进行一致性平均。最终对平均径向速度数据进行小时风计算。
图 4为珠海站2014年3月4种方案获取的低模式和高模式探测Δu,Δv的频率分布,从Δu,Δv分布形态看,基本符合平均值为0的随机正态分布,表明空间不均匀分布误差影响满足平均值为0的随机正态分布假设合理。对比不同方案Δu,Δv的频率分布,方案4的Δu,Δv分布最为集中,方案3次之,方案1最为分散,表明在剔除空间极不均匀分布影响的数据后进行一致性平均计算,获取的风数据质量优于其他几种处理算法。
|
|
| 图 4. 4种方案低、高模式探测下Δu,Δv的频率分布 Fig 4. The distribution of Δu and Δv in low and high modes using different schemes | |
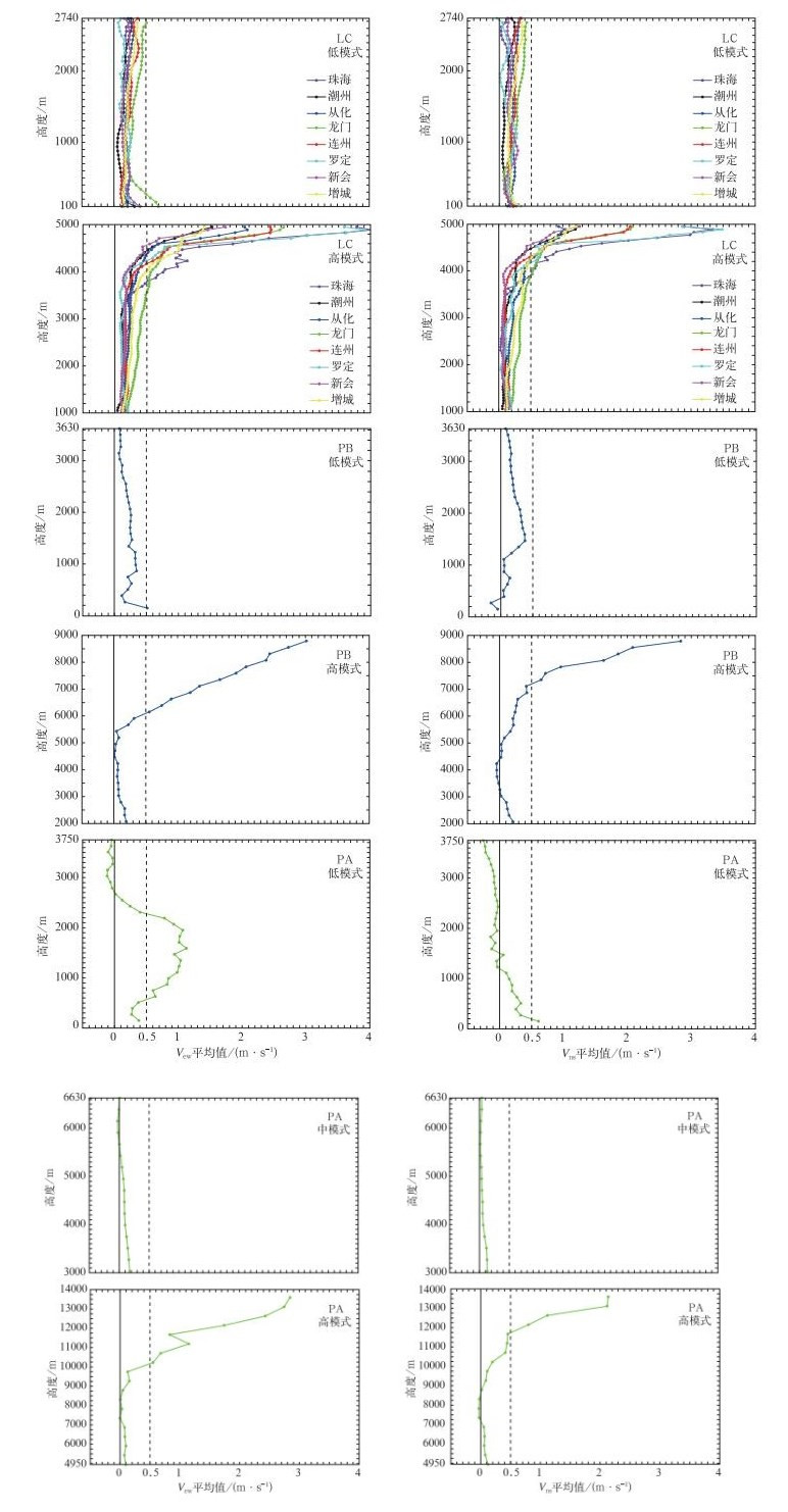
图 5给出了2014年3月珠海站4种方案低模式和高模式探测Δu,Δv标准差随高度分布图,Δu,Δv的标准差反映了风廓线雷达u,v分量的测量精度。由图 5可知,在整个高度范围内方案4的Δu,Δv标准差最小,基本小于1.5 m·s-1,方案3在低层1 km以下与方案4结果接近,但到了高层4 km以上,Δv标准差突然增大,方案1和方案2获取的Δu,Δv标准差明显大于方案3和方案4,在高空甚至达到10 m·s-1。本文选择方案4对广东风廓线雷达站网数据进行处理。
|
|
| 图 5. 4种方案低、高模式探测Δu,Δv标准差随高度分布 Fig 5. The stand deviation of Δu and Δv changing with height in low and high modes using different schemes | |
4.2 与业务数据比对
我国业务风廓线雷达风合成计算中多采用一致性平均算法进行小时平均风输出,本文提出的处理算法增加对空间不均匀数据的剔除,主要改进了降水带来的大气空间不均匀分布对测风精度的影响,选择某降水日数据与业务算法进行对比。不同算法之间的比对无法给出彼此优劣,分别计算各自原始分辨率u,v数据与小时分辨率u,v数据之间离差的标准差,比较业务数据与算法处理后数据之间标准差的大小,标准差越小,表明数据分布越集中,小时平均风的代表性越好。两种算法的数据基础都是实时RAD数据,业务数据使用实时风产品ROBS和小时风产品OOBS数据计算离差,本文算法使用实时RAD数据分别计算ROBS和OOBS风产品,再计算彼此之间的离差。计算时先求每个小时内实时观测的u,v与小时u,v的离差,再计算这1 h内离差的标准差,全天每个高度上有24个标准差,按0~1,1~2,2~3,3~4,4~5 km高度区间计算标准差的平均值来进行评估。表 4中为2014年3月30日珠海站的观测数据,该日有16 h出现降水,过程累积降水量为33.7 mm,最大雨强为9.9 mm·h-1。可以看出,业务数据u,v离差的标准差分布于2.2~3.7 m·s-1,随高度增加;而本文算法获取的u,v离差的标准差稳定分布于1.5~1.8 m·s-1,基本不随高度变化。
|
|
表 4 算法处理结果与业务OOBS数据比对 Table 4 Comparison between improved algorithm data and OOBS data |
4.3 站网数据处理结果
使用本文提出的风处理算法对2014年3—5月广东风廓线雷达站网数据进行计算,Δu,Δv统计结果如表 5所示,Δu,Δv标准差均接近1 m·s-1,最大不超过1.4 m·s-1,满足风廓线雷达测风精度要求,表明经本文算法处理的数据质量较好。
|
|
表 5 广东风廓线雷达站网2014年3—5月Δu,Δv标准差 (单位:m·s-1) Table 5 The standard deviation of Δu and Δv in Guangdong wind profiler network from Mar to May in 2014(unit:m·s-1) |
5 小结
风廓线雷达测风质量主要受探测系统误差和风的时空代表性影响,本文提出了使用探测数据检测评估风廓线雷达探测系统误差的方法,并对风的空间不均匀分布以及时间代表性对风数据质量影响进行分析,提出了风数据处理算法,利用广东2014年3—5月数据进行算法应用及评估分析,结论如下:
1) 将风的不均匀分布和垂直速度影响降到最低,利用晴空静稳天气下的探测数据进行统计,对称波束上径向速度数据之和的统计平均值可检测评估测风数据中是否受到大的探测系统误差影响。
2) 广东风廓线雷达站网10部雷达数据中基本没有大的系统探测误差影响,仅萝岗站东波束和西波束在1~2 km高度范围内误差偏大。晴空探测数据的有效探测高度均达到各自型号雷达的设计要求。
3) 风的空间不均匀分布对测风数据的影响不可忽略,一致性平均处理方法优于数学平均算法。对风的空间不均匀分布数据检验剔除,主要降低降水对测风质量的影响,使用降水个例进行算法评估,处理后的数据质量优于目前业务雷达数据。
4) 广东10部雷达的Δu,Δv标准差约为1 m·s-1,表明经本文算法处理后的数据质量较好。
本文处理的小时分辨率数据适宜数值模式和资料同化分析使用,风处理算法是基于风、垂直运动均匀分布的假设条件展开的,考虑了风的空间不均匀分布以及时间代表性对测风质量的影响,这种算法能有效提高降水期间风廓线雷达数据产品的可用性;对于风的局地变化和降水扰动影响的研究,可在本文算法基础上,通过分析原始分辨率风数据在探测波束空间范围内的不均匀程度展开。
| [1] | 阮征, 葛润生, 吴志根, 等. 风廓线仪探测降水云体结构方法的研究. 应用气象学报, 2002, 13, (3): 330–338. |
| [2] | 刘淑媛, 郑永光, 陶祖钰. 利用风廓线雷达资料分析低空急流的脉动与暴雨关系. 热带气象学报, 2003, 19, (3): 63–68. |
| [3] | 阮征, 何平, 葛润生. 风廓线雷达对大气折射率结构常数的探测研究. 大气科学, 2008, 32, (1): 133–140. |
| [4] | 孙康远, 阮征, 魏鸣, 等. 风廓线雷达反演大气比湿廓线的初步试验. 应用气象学报, 2013, 24, (4): 407–415. DOI:10.11898/1001-7313.20130403 |
| [5] | 何越, 何平, 林晓萌. 基于双高斯拟合的风廓线雷达反演雨滴谱. 应用气象学报, 2014, 25, (5): 570–580. DOI:10.11898/1001-7313.20140506 |
| [6] | 蒲维维, 赵秀娟, 张小玲. 北京地区夏末秋初气象要素对PM2.5污染的影响. 应用气象学报, 2011, 22, (6): 716–723. DOI:10.11898/1001-7313.20110609 |
| [7] | Weber B L, Wuertz D B, Strauch R G, et al. Preliminary evaluation of the first NOAA demonstration network profiler. J Atmos Oceanic Technol, 1990, 7: 909–918. DOI:10.1175/1520-0426(1990)007<0909:PEOTFN>2.0.CO;2 |
| [8] | Masahito Ishihara, Yoshio Kato, Toshihiro Abo, et al. Characteristics and performance of the operational wind profiler network of the Japan meteorological agency. J Meteor Soc Japan, 2006, 86, (6): 1085–1096. |
| [9] | Benjamin S G, Schwartz B E, Szoke E J, et al. The Value of Wind Profiler Data in U.S. Weather Forecasting. Amer Meteor Soc, 2004, 85: 1871–1886. DOI:10.1175/BAMS-85-12-1871 |
| [10] | Dunn L. An example of subjective interpretation of network profiler data in real-time forecasting. Wea Forecasting, 1986, 1: 219–225. DOI:10.1175/1520-0434(1986)001<0219:AEOSIO>2.0.CO;2 |
| [11] | Strauch R G, Merritt D A, Moran K P, et al. The Colorado wind profiling network. J Atmos Oceanic Technol, 1984, 1: 37–49. DOI:10.1175/1520-0426(1984)001<0037:TCWPN>2.0.CO;2 |
| [12] | Weber B L, Wuertz D B, Welsh D C. Quality controls for profiler measurements of winds and RASS temperatures. J Atmos Oceanic Technol, 1993, 10: 452–464. DOI:10.1175/1520-0426(1993)010<0452:QCFPMO>2.0.CO;2 |
| [13] | Lambert W C, Taylor G E. Data Quality Assessment Methods for the Eastern Range 915 MHz Wind Profiler Network. NASA Contractor Report CR-1998-207906, Kennedy Space Center, 1998. |
| [14] | Weber B L, Wuertz D B. Comparison of rawinsonde and wind profiler radar measurements. J Atmos Oceanic Technol, 1990, 7: 157–174. DOI:10.1175/1520-0426(1990)007<0157:CORAWP>2.0.CO;2 |
| [15] | May P T. Comparison of wind-profiler and radiosonde measurements in the tropics. J Atmos Oceanic Technol, 1993, 10: 122–127. DOI:10.1175/1520-0426(1993)010<0122:COWPAR>2.0.CO;2 |
| [16] | 王欣, 卞林根, 彭浩, 等. 风廓线仪系统探测试验与应用. 应用气象学报, 2005, 16, (5): 693–698. DOI:10.11898/1001-7313.20050517 |
| [17] | Strauch R G, Weber B L, Frisch A S, et al. The precision and relative accuracy of profiler wind measurements. J Atmos Oceanic Technol, 1987, 4: 563–571. DOI:10.1175/1520-0426(1987)004<0563:TPARAO>2.0.CO;2 |
| [18] | Wuertz D B, Weber B L, Strauch R G. Effect of precipitation on UHF wind profiler measurements. J Atmos Oceanic Technol, 1988, 5: 450–465. DOI:10.1175/1520-0426(1988)005<0450:EOPOUW>2.0.CO;2 |
| [19] | 邓闯, 阮征, 魏鸣, 等. 风廓线雷达测风精度评估. 应用气象学报, 2012, 23, (5): 523–532. DOI:10.11898/1001-7313.20120502 |
| [20] | 李晨光, 刘淑媛, 陶祖钰. 华南暴雨实验期间香港风廓线雷达资料的评估. 热带气象学报, 2003, 19, (3): 269–276. |
| [21] | 万蓉, 周志敏, 崔春光, 等. 风廓线雷达资料和探空资料的对比分析. 暴雨灾害, 2011, 30, (2): 130–136. |
| [22] | 杨馨蕊, 马舒庆, 吴蕾. UHF风廓线雷达降水数据判别方法的比较与评价. 大气科学学报, 2010, 33, (5): 576–581. |
| [23] | 陈少应, 王凡. 风廓线雷达测量精度分析. 现代雷达, 2000, 22, (5): 11–17. |
2016, 27 (2): 148-159



