2. 中国气象科学研究院,中国气象局人工影响天气中心,北京 100081
2. Weather Modification Center of CMA, Chinese Academy of Meteorological Sciences, Beijing 100081
碘化银的晶格参数与自然冰晶非常接近,早在20世纪40年代已被发现可作为高效的冷云催化剂[1-2]。几十年来,碘化银作为冰晶异质核化的人工冰核,是国内外人工影响天气研究和作业应用最为广泛的冷云催化剂[3-11]。制备碘化银气溶胶的方法主要有燃烧法和爆炸法[12],我国目前广泛使用的增雨防雹用三七炮弹,即通过爆炸法产生碘化银气溶胶。
三七高炮是我国人工影响天气作业中使用的主要催化播撒工具之一,其使用的三七炮弹是进行人工增雨和防雹所需碘化银催化剂的载体。含碘化银的三七炮弹能在短时间内向云中适宜催化的部位播撒大量的人工冰核,且操作方便,机动灵活,所以在我国人工增雨和防雹作业中广泛使用。目前我国人工增雨防雹高炮数量大,每年消耗炮弹可达数十万发。
人工增雨和防雹作业中,为达到最佳的作业效果和节约催化成本,需根据炮弹中催化剂的成核率和云条件,对催化剂的播撒量进行估算,因此,对炮弹中所含催化剂成核率检测非常重要,它为人工影响天气作业设计和指挥提供重要参考数据。此外,成核率检测也能为改进催化剂配方提供实验依据,有利于提高人工影响天气作业技术。国内在含碘化银三七炮弹的生产及人工冰核的研究中得到很多有指导性的结果:1973年成核率检测小组[13]分别对同一厂家生产的不同碘化银含量的三七炮弹进行检测,结果发现每弹含4 g和6 g碘化银的冰核产生数目没有明显差异;1978年降雨弹检测小组对含不同催化剂的三七炮弹成核率进行鉴定[14],实验结果证明1 g碘化银的成核率和每弹所产生的冰晶数均高于当时所用降雨防雹弹 (含4~6 g碘化银和7.2 g铝粉),张铮[14]对此次检测误差进行详细分析,认为实验结果具有一定的可信度;石安英等[15]就三七炮弹中碘化银不同填装方式对成核率的影响进行研究,发现催化剂采用聚能型填充比柱状直装平均成核率高1个量级;陈汝珍等[16]对防雹火箭 (含8 g碘化银) 和三七炮弹 (含2 g碘化银) 的成核率进行检测,对比结果表明箭载催化剂成核率略高于三七炮弹;杨绍忠等[17]使用不同配方的复合碘化银取代三七炮弹中的纯碘化银,对填装不同催化剂的炮弹的成核率进行试验研究,发现4种配方的成核率与纯碘化银相比均有不同程度提高。这些实验研究,促进了三七炮弹的技术改进,但由于实验中采用的云室为小型混合云室,容积较小,造成检测时云室内雾的维持时间短[18],且云室的主要参数难于控制,致使测量结果离散很大,不易在不同实验结果之间进行严格、详细比较[19-20];此外,炮弹中所含催化剂的性能、剂量及长期存储等因素是否影响炮弹的成核效率均存在不确定性,因此,有必要针对不同爆炸类催化剂进行统一检测,衡量其成核性能,这也是当前人工影响天气业务发展的需要。
为评估目前人工影响天气作业所使用三七炮弹的成核性能,2013年11—12月中国气象局人工影响天气中心使用新建的1200 L等温云室和钢板式20 m3专用地下爆炸室,对国内两个厂家生产的三七炮弹中的碘化银成核率进行了国内首次统一检测。
1 实验设备本次实验设备包括云室、附属设备和冰晶检测设备3部分。
1.1 云室本次检测使用的1200 L等温云室 (图 1) 主体为圆柱体,总高为2.75 m,内高为1.8 m,内径为0.9 m,外径为1.19 m。云室具有载冷剂循环的夹套,外部有保温层。该云室由中国气象局人工影响天气中心设计监制,主要用于进行研发爆炸法发生方式的新型冷云催化剂实验,以及对我国目前各厂家生产的催化剂成核性能等进行业务检测。云室主要由云室主体、制冷系统、控制系统、酒精循环系统、保温绝热层、4点测温仪等组成。云室上部设有观察口,云室内安装有激光柱,用来观察雾的浓淡、冰晶形成情况。
|
|
| 图 1. 1200 L等温云室外观 Fig 1. The external view of 1200 L isothermal cloud chamber | |
该云室温度下限为-22℃,并可在所需检测温度长时间保持恒定。测试云室降温性能时,室内温度为9.1℃时,云室降温率为0.234℃/min,经过140 min即可制冷到-22℃;室内温度为14.8℃时,云室降温率为0.192℃/min,约3 h即可制冷至-20.7℃。云室升温率为1℃/min,保温率为0.34℃/h。
云室内温差测量在云室封闭且不通雾的状态下进行:水平温度测量在距云室底部90 cm高度处的内筒边壁开始,每水平移动10 cm为1个测点,每点停留3 min后读数,得到水平温度分布见图 2a;云室内垂直温度测量则在云室中轴底部开始测量,每垂直上升10 cm为1个测点,每个测点停留3 min后读数,其结果见图 2b。测量结果表明,云室内温差很小,云室水平温度在云室封闭且不通雾的状态下,近壁处温度稍低,中轴温度略高,水平温差不大于0.2℃。云室垂直温度云室底部稍低,上部温度略高,垂直方向温差不大于0.4℃。
|
|
| 图 2. 云室水平方向 (a) 和垂直方向 (b) 的温度梯度 Fig 2. The temperature gradient of the horizontal direction (a) and the vertical direction (b) in the cloud chamber | |
1.2 附属设备
检测附属设备包括造雾系统、爆炸室、抽气式取样器。
云室内的水汽供应和维持通过造雾系统完成。利用超声雾化器向云室造雾,该超声雾化器产生的常温雾通过冷媒预冷的铜管逐渐冷却,再从云室底部接口送入到云室内,保证送入云室的是冷雾,减少了对云室温度的扰动。若不引入冰核,一次通雾可维持30 min,雾滴峰值直径为5~10 μm。
配合实验所使用的爆炸室为钢板式20 m3专用成核率检测爆炸室,钢板厚度为2.5 cm,爆炸室设计有挂弹架、排风、搅拌、取样管道等装置。
抽气式取样器采用针筒式设计,容积为750 ml。
1.3 冰晶检测设备冰晶检测设备包括显微冰晶摄像系统、计算机存储及复读系统、冷台、自动取样装置、冰晶载玻片等。
显微冰晶摄像系统光学放大倍数50~500倍,该设备具有摄像录像等功能,可将每个视野面积里的冰晶图片拍摄并存于计算机中。
冷台由半导体制冷片和水循环冷却系统组成,能够通过调节输入电流控制冷台台面温度,一般云室温度在-10℃以下时,冷台温度为-8℃,云室温度在-10℃以上时,冷台温度为-5℃。
自动取样装置可一次放置3个仓盒,每个仓盒内预先放好10片载玻片,实验前置于云室底部预冷后承接冰晶。
2 检测过程 2.1 人工冰核气溶胶的产生检测时,在爆炸前要将云室内温度降至预定温度,同时将装有载玻片的仓盒在云室内预冷,当云室温度达到预定温度后,将制冷系统放置恒温状态,然后对云室通雾。通雾可清除本底冰核,约30 min后趋于稳定,在进行成核率检测时,云室的过冷雾背景相对一致。炮弹在爆炸室爆炸后,爆炸室内即可充满烟雾,烟雾即含有检测的人工冰核气溶胶。
2.2 冰核取样和冰晶计数炮弹在爆炸室引爆,为使爆炸产生的烟雾分散尽量均匀,引爆后启动爆炸室内设搅拌器1 min,用取样器从取样口伸至爆炸室内抽取样气,取样完成后对爆炸室进行彻底清洗。
将样气从云室上部注样口注入已存在过冷雾的云室内 (本次检测在-10 ℃及以下注样700 ml,在-10℃以上注样1400 ml),注入云室的人工冰核形成冰胚并在过冷雾中增长下落,冰晶数量即代表催化剂有效成核率。用置于云室底部的载玻片依次承接沉降的冰晶,自动取样装置进行取片,取出的载玻片立即放入冷台,利用显微镜进行冰晶照相,取片的间隔根据冰晶的数量决定,一般为1~5 min 1次,直到载玻片上不再取到冰晶为止。由于显微镜视野相对于载玻片面积非常小,因此,在载玻片各部分随机获取10个视野图像,检测过程中显微镜放大倍数保持不变。对每个样片采集的10个图像分别进行视野内冰晶判读计数,取算数平均值,累计同一试样的X个样片平均冰晶数,计算出该试样冰晶累计平均数。
检测时由于云室内过冷雾的消耗,为保证注入到云室内冰核活化和冰晶增长始终有充分的水汽供应,实验过程中小流量持续补充雾。由于云室内封闭较好,在连续进行的检测过程中,利用通雾方式消除云室内残留的冰核。
2.3 成核率计算
|
(1) |
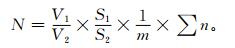
式 (1) 中,N为样品成核率,单位为1/(g·AgI);n为冰晶累计平均数 (每个玻片随机选取10个视野读数,取平均值即n);V1为爆炸室体积,V2为采样器体积;S1为云室底面积,S2为显微镜读数视野面积;m为炮弹内碘化银的质量,单位为g。
3 检测结果分析 3.1 检测结果本次检测的温度为-3℃至-20℃,依次进行了8个温度点的检测,在每个温度点,不同厂家的样品弹爆炸两发,如果出现炮弹半炸,则要在彻底清理爆炸室后重新爆炸一次。两样品在-3℃时均未检测出冰核,-4℃都检测到冰核,成冰阈温均为-4℃。本次检测所有样品炮弹共爆30发,共取得有效数据22组。结果见图 3所示。
|
|
| 图 3. 样品1、样品2成核率检测结果 Fig 3. The nucleating effectiveness of sample 1 and sample 2 | |
由图 3可知,同一样品在相同温度点的各次测值离散度较小,绝对值相差大多在3倍以内;两样品成核率随温度降低而逐渐增大,可用指数形式拟合其变化趋势 (见图 3中曲线)。值得注意的是,图 3中样品2在-14℃时的两个测值均高于其在-16℃和-19℃下的成核率测值,杨绍忠等[17]对与样品2同一厂家的炮弹检测结果也表现出类似现象 (图 4),这种现象是真实情况的反映还是由于实验误差造成,有待今后更多同型样品的测试。比较图 3中两个样品的实验值可看到,同一温度点样品2成核率的实验值几乎全部高于样品1,其中样品2在-14℃和-16℃有3个测点的成核率是样品1的30倍左右,相差超过1个量级。检测结果表明,样品2的成核性能明显好于样品1。
|
|
| 图 4. 样品2与2002年同型产品检测结果对比 Fig 4. The comparison between the sample 2 and the same model shell tested in 2002 | |
杨绍忠等[17]使用20 L混合云室检测了与样品2同一生产厂家、碘化银含量也为1 g的三七炮弹实验弹 (2002-1g) 的成核率,从两次检测的成核率看 (图 4),本次检测的成核率数值总体高于2002年的结果,不过,除个别温度段 (如-6℃) 检测值相差较大外,大部分检测值差异在1个量级以内,拟合曲线表现出的差异更小。杨绍忠等[17]检测的是实验弹,但制造工艺与本次抽检的实弹差别不大,本次检测结果与杨绍忠等[17]的实验结果表现出较一致的成核率变化趋势,而成核率量值上的差异应与检测设备的差异有较大关系,这也说明即便是相同的检测对象,不同云室的检测结果仍会有区别,所以在同一平台上进行不同催化剂的统一检测十分必要。
实验数据的拟合曲线基本上反映了该型样品所属炮弹总体的成核率情况。根据本次检测的数据结果,采用图 3中的拟合曲线计算两种样品在各温度下的成核率,计算结果如表 1所示。
|
|
表 1 样品1和样品2的成核率拟合值比较 (单位:1/(g·AgI)) Table 1 The comparison of fitting values of nucleating effectiveness between sample 1 and sample 2(unit:1/(g·AgI)) |
由表 1可以看出,在-10℃至-18℃之间,两样品成核率拟合值相差较大,样品2成核率拟合值是样品1的5倍以上,最大可达-14℃时的8.4倍。两种样品中均含1 g纯碘化银,但样品2的成核率明显高于样品1,探究成核率出现较大差异的原因,推断可能与如下几个因素有关:①石安英等[15]对催化剂在炮弹中填充方式不同对成核率的影响进行对比,发现催化剂的填充方式对成核率有明显影响。两厂家样品的成核率差异可能与炮弹中催化剂填充方式有一定关系,炮弹爆炸后,样品2催化剂分散性更好,产生的冰核数量更高。②本次试验中还对样品2同一厂家的新弹进行测试,其在-10℃时成核率 (3.3×1011/(g·AgI)) 明显高于本次送检的样品2的成核率 (1.4×1011/(g·AgI)),由此推断,由于存储时间较长,炮弹的成核效率可能会衰减。③两样品使用的碘化银催化剂在制备工艺上存在差别。
3.2 与国内三七炮弹历次检测的对比几十年来,三七炮弹一直是我国进行人工增雨、防雹作业的催化剂主要载体之一,并在不同时期开展了多次针对三七炮弹成核率的检测工作,图 5显示了两样品的成核率与国内不同时期的一些主要检测结果,图 5中各样品的编号和详细情况参见表 2。为反映历次检测的炮弹样品的平均特性,图 5中成核率为每次检测实验所得到的平均值或拟合后的反算值。
|
|
| 图 5. 样品1、样品2与国内历次三七炮弹检测结果对比 Fig 5. The comparison between sample 1, sample 2 and past results given by different experiments | |
|
|
表 2 样品1、样品2与国内历次三七炮弹检测样品信息 Table 2 The detail information of all samples tested in each experiment |
由图 5可知,不同检测实验结果存在较大差异,甚至有几个量级的差异,对应表 2中1~6号样品 (下文称A组样品) 在-6 ℃和-20 ℃时的成核率与7~9号样品 (下文称B组样品) 的差异达到近4个量级。这种差异,除了受不同时期检验样品差异影响外,与检测实验本身的差异也有关。图 5中各个检测数据来自不同的检测实验,由于不同实验中采用的实验设备和实验程序等差异,对实验的检测结果往往有较大影响,造成检测结果有较大差别。杨绍忠[21]也指出,不同云室对成核率的检测结果差别可达两个量级。
虽然检测数据的量值有差异,但由图 5中各个检测结果的数据变化趋势可以发现, 随着检测温度的降低,A组成核率的增长率比B组大,即B组的成核率变化相对要平缓一些。此外,由图 5可知,高温段B组样品成核率高于A组,在低温段则A组样品的成核率高于B组,可将-14℃作为两个温度段的分界线。通常情况下,-10℃成核率是一个重要指标[22],因为我国人工增雨和人工防雹作业高度大致在这一温度区域,由图 4、图 5可知,在-10℃温度段,本次两种样品成核率的检测值及拟合值总体上比以往的历次检测结果高,最大相差达2~3个量级。
前面提到,实验条件的差异对成核率的检测结果有较大影响。表 3列出了图 5中历次检测的实验条件对比。由表 3可知,1~7号样品的检测云室采用混合云室,云室内控温能力相对较弱,而温度对成核率影响很大,混合云室不同部位存在温度差,以20 L云室为例[17],云室垂直方向的温差达到1.5℃以上。此外,1~7号样品检测实验中云室容积为2~20 L,容积较小,且采用通入常温雾的造雾方法。杨绍忠[21]曾对冰核检测中影响检测结果的因素进行较详细的分析,分析指出云室容积小会造成冷雾维持时间短,冰核不能充分核化从而造成成核率检测值偏低;另一方面,由于云室中雾的维持时间短,在实验中可能需要向云室补雾,而通入常温雾必然造成云室局部水汽瞬时高度过饱和,从而出现虚假冰晶造成测值偏高。在本次检测实验中,采用1200 L云室和通入冷雾的方法,可在一定程度上减小上述因素影响。关于冰晶计数方法,本次检测采用玻片法,且云室容积较大,样气可不进行稀释而直接通入云室,避免稀释误差,而1~6号样品的检测实验采用糖盘法计数,采用该方法要求将样气充分稀释后再注入云室,从而造成稀释误差[23]。
|
|
表 3 国内历次检测三七炮弹成核率实验条件对比 Table 3 The comparison among operating conditions of different experiments |
本次检测中,样品在建于地下的钢板式爆炸室爆炸,爆炸室密闭性较好,可避免早期铁塔式结构爆炸室由于不完全密封导致烟气有明显逸散的缺陷,且爆炸室内壁使用钢板结构,能较大程度避免水泥结构爆炸室由于爆炸激发的粉尘等微粒对烟雾的影响。总体而言,本次检测所用爆炸室条件优于以往检测的爆炸条件。
上述实验条件的对比,并不是否定早期的实验结果,因为各次实验通过科学设计,采用一些方法尽可能减少各种因素对成核率检测结果的影响,并通过误差分析检验了检测结果的合理性。但由于条件所限,对各种影响因素的作用缺乏统一严格的定量分析,从而造成不同检测实验结果难于进行严格、详细对比。这也是本研究采用同一检测平台、针对目前使用的不同厂家三七炮弹进行统一检测、统一评估炮弹成核性能的原因。
酆大雄等[24]指出,对于冰核检测,国内外没有统一的标准仪器设备和方法,但一般认为几个立方米的云室,体积较大而条件易于控制,其检测结果比较可靠。由于本研究中云室体积达1200 L,相对而言,云室边界效应较小,雾维持时间较长,能够比较接近实际大气条件[19],前面与其他实验的检测条件比较也表明,本次实验的检测条件也有一定改进。此外,从最近两次同型号三七炮弹成核率检测结果的对比 (图 4) 可知,差异在1个量级以内,考虑到在不同云室进行检测,两次检测结果还是很相似的。因此,基于上述讨论,本研究的检测结果可靠,具有参考价值。当然,这毕竟仅是一次检测实验,需要在同一平台上开展更深入、设计更完善的实验进一步验证。
4 结论与讨论使用1200 L等温云室对两个厂家生产的三七炮弹的成核率进行检测,结果表明:
1) 两厂家炮弹成核率检测结果拟合值量级均在109~1012/(g·AgI)(检测温度-6℃至-20℃),样品2成核率明显高于样品1,两样品成核率拟合值相差最大达8.4倍。
2) 本次检测结果与国内历次检测结果的对比发现,不同实验检测的成核率差异较大,同一温度段成核率相差最大可达4个量级。以-14℃为分界点,本次检测的两样品成核率在负温高温段均高于其他历次检验结果。两样品在具有指示意义的-10℃下的成核率,比以往检测结果高,最高相差2~3个量级。不同检测实验结果存在较大差异说明,采用同一平台开展成核率统一检测十分必要。
本次检测采用的1200 L等温云室,在云室容积、温度控制、云室造雾、冰晶计数等技术上有较大改进,有效降低了温度变化、云室通雾、冰晶检测等因素对成核率结果的影响。一些因素对成核率检测影响仍存在,如实验过程中由于过冷雾的消耗,维持云室内雾环境,需进行补雾操作,由于没有控制雾温的仪器,常温雾在进入云室前虽经过预冷,但其温度可能仍高于或低于云室,从而对云室内温度和水汽饱和度造成扰动,导致成核率检测误差。这种情况在负温低温段影响较大,因低温段活化的冰核数较多,使雾的维持时间变短,补雾量较多。
此外,本次检测实验中发现炮弹中催化剂装填方式、炮弹储存时间及催化剂本身性能的差异,可能会对炮弹的成核效率造成影响,因此,建议对用于人工影响天气实验和外场作业的业务用弹建立定期检测制度,以保证人工影响天气外场作业更加有效。
| [1] | Scheafer V J. The production of ice crystals in a cloud of supercooled water droplets. Science, 1946, 104, (2707): 457–459. DOI:10.1126/science.104.2707.457 |
| [2] | Vonnegut B. The nucleation of ice formation by silver iodide. J Appl Phys, 1947, 18, (7): 593–595. DOI:10.1063/1.1697813 |
| [3] | 盛裴轩, 毛节泰, 李建国, 等. 大气物理学. 北京: 北京大学出版社, 2003. |
| [4] | 酆大雄. 燃耗AgI丙酮溶液产生冰核气溶胶. 气象, 1991, 17, (3): 3–7. DOI:10.7519/j.issn.1000-0526.1991.03.001 |
| [5] | 章澄昌. 人工影响天气概论. 北京: 气象出版社, 1992: 248–254. |
| [6] | 酆大雄, 陈汝珍, 蒋耿旺, 等. 三种含AgI的气溶胶在水面欠饱和条件下成冰性能的实验研究. 应用气象学报, 1990, 1, (1): 57–62. |
| [7] | 陈万奎, 严采翻, 吴心遂, 等. 碘化银消除过冷低云试验结果. 应用气象学报, 1992, 3, (增刊Ⅰ): 59–66. |
| [8] | 胡志晋. 层状云人工增雨机制、条件和方法的探讨. 应用气象学报, 2001, 12, (增刊Ⅰ): 10–13. |
| [9] | 姚展予. 中国气象科学研究院人工影响天气研究进展回顾. 应用气象学报, 2006, 17, (6): 786–795. DOI:10.11898/1001-7313.20060616 |
| [10] | 杨绍忠, 楼小凤, 黄庚, 等. 一个观测冰核的15L混合云室. 应用气象学报, 2007, 18, (5): 716–728. DOI:10.11898/1001-7313.20070508 |
| [11] | 苏正军, 郑国光, 关立友, 等. 含AgI人工冰核粒子的电镜分析. 应用气象学报, 2008, 19, (2): 137–144. DOI:10.11898/1001-7313.20080226 |
| [12] | 李大山, 章澄昌, 许焕斌, 等. 人工影响天气现状与展望. 北京: 气象出版社, 2002: 223–224. |
| [13] | 成核率检定小组. 三七高炮碘化银炮弹冰核生成率的检定. 气象, 1975, 1: 10–11. DOI:10.7519/j.issn.1000-0526.1975.01.006 |
| [14] | 张铮. 降雨弹成核率鉴定的误差分析. 大气科学, 1981, 5, (3): 326–331. |
| [15] | 石安英, 樊慧新, 丛澜, 等. "三七"炮弹聚能分散碘化银成冰核效率的试验研究. 大气科学, 1982, 6, (3): 315–323. |
| [16] | 陈汝珍, 酆大雄. 箭载催化剂冰核生成率的检定. 气象学报, 1985, 43, (1): 26–34. DOI:10.11676/qxxb1985.003 |
| [17] | 杨绍忠, 楼小凤, 酆大雄, 等. 含AgI三七炮弹的成核率改进试验. 气象学报, 2005, 63, (增刊Ⅰ): 56–62. |
| [18] | 游来光, 王广河, 酆大雄. 人工增雨新催化技术系统研究. 气象科技, 2002, 30, (增刊Ⅰ): 1–18. |
| [19] | 酆大雄, 王云卿, 陈汝珍, 等. 一个用于人工冰核研究的2 m3等温云室. 气象学报, 1990, 48, (1): 72–79. DOI:10.11676/qxxb1990.009 |
| [20] | 苏正军, 郑国光, 关立友, 等. 一个用于催化剂成冰性能检测的新型等温云室. 高原气象, 2009, 28, (4): 827–835. |
| [21] | 杨绍忠. 含碘化银人工冰核检测问题. 气象, 2006, 32, (1): 25–31. |
| [22] | 游来光. 人工增雨新催化技术系统研究. 北京: 中国气象科学研究院, 1999. |
| [23] | 酆大雄. 云室中两种检测冰晶方法的比较. 气象, 2003, 29, (1): 17–19. DOI:10.7519/j.issn.1000-0526.2003.01.004 |
| [24] | 酆大雄, 陈汝珍, 蒋耿旺, 等. 高效碘化银焰火剂及其成冰性能的研究. 气象学报, 1995, 53, (1): 82–90. DOI:10.11676/qxxb1995.009 |
2016, 27 (2): 140-147



