2. 宁波大学宁波市非线性海洋和大气灾害系统协同创新中心,宁波 315211;
3. 浙江省奉化市气象局,奉化 315500
2. Ningbo Collaborative Innovation Center of Nonlinear Hazard System of Ocean and Atmosphere, Ningbo University, Ningbo 315211;
3. Fenghua Meteorological Bureau of Zhejiang Province, Fenghua 315500
海洋上实时测风资料很少,预报和服务需要更多依赖于卫星反演风场和数值预报。美国国家航空航天局 (NASA) 于1999年7月发射的极轨卫星QuikSCAT极大地推动了散射计反演风场资料在天气分析、预报和数值模式中的应用[1-3]。QuikSCAT风场在广阔的洋面上与海岛实测风一致性较好,但近海误差相对较大,原因是陆地对散射信号产生的干扰带来了观测误差[4]。2006年欧洲航天局 (ESA) 发射的星载散射计 (advanced scatterometer, ASCAT) 资料在国外也得到了很好的研究和应用,成为数值预报中海洋上重要的初始场同化资料之一[5]。近年来,很多气象工作者对ASCAT反演风场在中国近海进行检验分析[6-10],提高了对ASCAT产品的认识和应用能力,结果表明ASCAT反演风场具有较好的精度,ASCAT反演风速与距离海岸线较远的浮标观测风速具有较好的一致性,而对于距离海岸线较近的浮标站,观测风速和卫星反演风速相关性较差,反演风速在近海的误差大于较远的开阔海域,安大伟等[11]提出散射计海面非气旋风场块状模糊去除方法,有效解决了ASCAT反演中非气旋区域风场块状模糊问题,但目前利用观测风资料对卫星反演风速进行订正的研究报道不多。
空间一致性检验是气象资料质量控制中一种重要手段,刘小宁等[12]用空间回归检验方法,尹嫦姣等[13]用空间差值检验法进行气象资料质量控制,魏娜等[14]采用二相回归法进行气象资料的均一性检测和订正。何志军等[15]将一定范围内的邻近气象站按四方位进行分组,对浙江省76个自动气象站的气温和降水资料进行实时质量控制。温华洋等[16]提出了基于空间一致性的主备法和差值订正合成法两种数据处理算法,用来解决双套站产生的多套数据处理问题。徐晶晶等[17]还尝试采用一种基于相似误差的模式后处理方法,对风电场风速进行误差订正,减小了预报的均方根误差和中心均方根误差。
本文基于近4年华东沿海14个浮标站观测 (部分站点资料长度为2年) 和ASCAT反演风速进行误差和邻近站点间的误差相关性分析,基于浮标站进行检验和订正方法研究,并使用该方法对ASCAT反演风速进行订正试验,结果表明:该方法有较好的订正效果,可应用于实际业务以提高ASCAT反演风速在近海大风预报和服务中的参考性。
1 资料和方法 1.1 资料ASCAT反演风速 (简称ASCAT风速) 为2010年9月—2014年9月分辨率为12.5 km的METOP-A星近海风速产品,资料来自国家气象中心。选择上海市、浙江省和福建省共14个浮标站 (表 1) 与ASCAT资料对应时次的整点10 min平均风速 (简称浮标站风速),其中浙江省2浮标站资料时间与ASCAT资料一致 (2010年9月—2014年9月),其他浮标站资料时间为2012年9月—2014年9月。浮标站和249个浙江海岛和近岸陆地自动气象站资料来源于浙江省气象信息中心,入库保存时均进行了自动和人工审核,应用时未进行资料质量控制。14个浮标站离岸距离为30~305 km,大部分站离岸距离为60 km左右,浮标站处ASCAT反演风速具有可使用性。
|
|
表 1 浮标站点地理信息 Table 1 Geographical information of buoys |
1.2 插值方法
反距离权重插值:
|
(1) |
带影响半径的反距离权重插值:
|
(2) |
式 (1) 和式 (2) 中,n为相应的样本量,Zp为p点风速,Zi为第i点风速,di为待插点与其邻域内第i点之间的距离,k为指数,k=2。在进行ASCAT风速订正时采用带影响半径的反距离权重插值,Zi为第i点的风速订正值或风速误差,R为影响半径。将某个站点风速订正结果或风速误差应用到周围海区时,其影响必然随着距离的增大而减弱,因此,在式 (1) 的反演距离权重系数基础上乘影响因子 (1-di/R),当di=0时,影响因子为1,当di=R时,影响因子为0,超过影响半径的站点不再考虑。
采用反距离权重法将距离浮标站点最近的9个ASCAT风速插值到浮标站点,以与ASCAT风场相应时次的浮标站风速为标准,计算浮标站处的ASCAT风速误差。将各浮标站的样本按70%和30%的比例分为回归样本和独立检验样本,建立各浮标站点ASCAT风速回归订正方程,通过独立样本检验订正效果。分析浮标站间ASCAT风速误差的相关性,确定影响半径R。根据邻近站点的反演风速误差具有相关性的特点,采用邻近站点的ASCAT风速回归方程订正和风速误差订正两种方法,考虑带影响半径的反距离权重法进行ASCAT风速订正,用浮标站作为待订正站点,评估订正效果。对ASCAT风速进行风速订正试验,并与欧洲中期天气预报中心细网格0时效10 m风速对比。
2 结果分析 2.1 ASCAT风速误差分析由表 2可见,华东区域14个浮标站ASCAT风速误差一般为正,说明ASCAT风速普遍比实际风速偏大,误差最大为洋山浮标站 (A5903)10.03 m·s-1,其次是航道浮标站 (A5902)4.92 m·s-1。误差超过2.0 m·s-1的浮标站共5个,均分布在上海洋山港附近的舟山群岛海区的30~75 km范围内,5个浮标站平均偏差、均方根误差分别为4.79 m·s-1,5.61 m·s-1,而其他站点偏差相对较小 (小于1.20 m·s-1,平均为0.46 m·s-1)。这5个站ASCAT风速明显偏大,可能是由于位于舟山群岛包围中,地形影响明显偏大,需要进行系统误差订正。
|
|
表 2 浮标站ASCAT风速检验 Table 2 Verification of ASCAT velocities at buoys |
2.2 ASCAT风速回归方程和订正效果检验
将每个浮标站样本按70%和30%的比例分为回归样本和独立检验样本,建立ASCAT风速与浮标站风速线性回归方程,通过独立样本对回归方程进行检验。由表 3可知,订正后平均偏差由2.02 m·s-1减小为0.14 m·s-1,均方根误差也大幅减小,特别对订正前误差较大的站点效果很好,洋山浮标站 (A5903) 平均偏差和均方根误差由8.95 m·s-1和10.07 m·s-1降至-0.59 m·s-1和2.61 m·s-1,表明回归订正对减小ASCAT风速误差效果明显,能有效减小系统性偏差。而对于温州浮标站 (58768) 及其以南4个浮标站误差本小于1 m·s-1,这些站ASCAT风速代表性已经很好,未订正。要进行订正的站点集中在华东近海28°N以北海区。
|
|
表 3 回归订正前后ASCAT风速独立检验样本误差对比 Table 3 Error comparison of ASCAT velocities before and after regressions |
2.3 邻近浮标站间ASCAT风速误差的相关分析
上述分析表明回归方法可有效减小ASCAT风速误差,在邻近海区的ASCAT风速误差具有相关性的前提下,将浮标站ASCAT风速订正方程推广应用到邻近海区,对缺少浮标站海区的ASCAT风速进行有效订正。
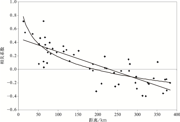
对14个浮标站中两两距离小于400 km的浮标站 (共53组) 进行ASCAT风速误差相关分析,图 1显示了站点间风速误差的相关系数与距离的关系:两站点距离在160 km以内时,风速误差均为正相关,24组中有20组 (83.3%) 达到0.01显著性水平;160 km以上相关不明显,甚至出现负相关。分别用线性和对数进行拟合,拟合优度分别为0.6692和0.6861,对数拟合效果更好,说明相距越小的站点误差正相关增大越多。根据图 1中对数拟合曲线与零线交点和相关系数散点图的分布情况,本文取站点影响半径为160 km。
|
|
| 图 1. 2010年9月—2014年9月站点间ASCAT风速误差相关系数与距离的关系 Fig 1. The distribution of coefficients of ASCAT velocity errors to station distances from Sep 2010 to Sep 2014 | |
2.4 ASCAT风速订正
基于邻近浮标站间ASCAT风速误差的相关分析,考虑用邻近站点回归方程或误差来进行ASCAT风速订正。选取上海和浙江北部共10个浮标站作为风速订正的检验对象,选取距离待订正站点在影响半径160 km范围内的所有浮标站点作为邻近站点,按下面两种方法进行ASCAT风速订正,然后用浮标站实际风速检验订正前后的ASCAT风速误差。
2.4.1 订正方法利用邻近站的回归方程订正即邻站方程订正法。将区域内所有浮标站,用各站历史样本进行线性回归,计算出各站回归方程,将待订正点的ASCAT风速代入选定的邻近浮标站的回归方程进行计算,计算结果减去待订正点的ASCAT风速可得到该邻近浮标站提供的订正值,各邻近浮标站提供的订正值用带影响半径 (160 km) 的反距离权重法进行加权平均得到ASCAT风速的订正值,ASCAT风速加该订正值即可得到订正后的ASCAT风速。对逐个浮标站的全部历史资料进行计算,对比分析订正前后的风速误差 (表 4)。
|
|
表 4 不同订正方法ASCAT风速订正误差对比 Table 4 Comparison of two methods on ASCAT velocity corrections |
利用邻近站点的误差订正即邻站误差订正法。选取待订正站和邻近浮标站的ASCAT风速和观测风速同时存在的时次,当有多个邻近浮标站时允许部分浮标站风缺测,该时次按实际参与的邻近浮标站进行订正。各邻近浮标站的ASCAT风速误差用带影响半径 (160 km) 的反距离权重法加权平均得到待订正站点的ASCAT风速的估算误差,将ASCAT风速减去该估算误差即可得到ASCAT风速的订正结果 (表 4)。
由表 4可知,两种订正方法的结果较为一致:邻站方程订正法、邻站误差订正法订正后平均偏差分别减小1.86 m·s-1(67.9%),1.74 m·s-1(64.2%),均方根误差分别减小1.19 m·s-1(29.2%),0.89 m·s-1(29.6%)。除海礁浮标站 (A5906) 外,对于各站均有较好订正效果,总体来说,两种方法订正结果的差异较小,邻站方程订正法效果略优。海礁浮标站订正没有正效果,因该站ASCAT风速平均偏差仅为0.27 m·s-1(表 2),其ASCAT风速已有较好的代表性,按邻近站对其订正造成风速向下订正的量过大。对于洋山浮标站 (A5903),虽然两种订正方法都有正的效果,但误差减小程度远远没有该站自身回归订正效果明显 (表 3),究其原因是该站误差最大,根据邻近站点的回归方程或风速误差的订正幅度偏小。
2.4.2 ASCAT风速订正试验在前面方法研制时仅使用浮标站资料,未考虑浙江省沿海自动气象站资料。分析2010—2014年浙江舟山浮标站 (58573) 周围海岛和近岸陆地站点风速资料,发现站点平均风速与海拔高度无相关性,与近地层风廓线理论中海拔越高风速越大不一致,其原因是站点风速除受到海拔高度影响外,还受岛屿、地形、周边环境等影响,而这些影响难以用统一的标准去估算,因此,不能将站点风速等同于海面10 m风或只简单地进行高度订正。
基于上述两种订正方法,对海区内ASCAT风速进行订正试验,选择两次大风天气个例 (2014年1月18日08:00(北京时,下同) 和2月18日20:00),以相应时次欧洲中期天气预报中心 (ECMWF) 细网格 (分辨率为0.25°×0.25°) 模式的0时效10 m风速 (简称ECMWF风速) 为标准,计算两种方法的订正误差。为了考察观测资料密度对订正效果的影响,加入浙江海岛和近岸249个自动气象站资料 (应用这些风速资料时未进行高度订正),由于邻站方程订正法需逐站建立回归方程,而自动气象站风速代表性有限,表 4中两种方法误差订正效果差异也不大,故只在邻站误差订正法中加入自动气象站资料考察观测资料密度对订正效果的影响。
两次大风天气个例共有1492个ASCAT风速样本,与ECMWF风速偏差情况:订正前平均偏大1.06 m·s-1,订正后分别减小到0.1~0.3 m·s-1,两种方法均能有效减小平均偏差,考虑自动气象站的邻站风速误差订正后的风速平均偏差最小,说明提高站点分辨率能改进订正效果。图 2给出了2014年1月18日08:00 ASCAT风速订正前后与ECMWF风速的偏差。图 2a为订正前的偏差情况,上海洋山浮标站和黄泽洋船标站附近分别有11 m·s-1和6 m·s-1以上的最大和次大风速偏差中心,舟山群岛附近海区ASCAT风速明显高于ECMWF风速,经邻站方程订正后 (图 2b) 上述两个大值中心偏差已减到1 m·s-1以下,但受上海洋山浮标站和黄泽洋船标站正偏差较大的影响,造成其周围一定范围海区的过度订正 (负偏差),其他海区的偏差订正前后相比变化不大。邻站误差订正法 (图 2c) 效果与图 2b类似,但两个大的偏差中心仍然有3 m·s-1和1 m·s-1以上的正偏差,其周围和北侧海区出现较大范围负偏差,且达到-4 m·s-1以下。考虑浙江近海自动气象站风速 (图 2d),与图 2b和图 2c相比,由于提高了站点分辨率,靠近陆地的近海偏差表现更为复杂、精细,靠近大陆海岸线的浙北近海出现较大范围1~2 m·s-1的负值偏差,表明订正后的ASCAT风速小于ECMWF风速,这是由于大部分近海海岛气象站测风小于舟山浮标站,对ASCAT风速进行了相对大的负值订正。虽然近海海岛测风不能完全等同于海平面10 m风,但也揭示了近海海区受岛屿等小尺度地形影响,风速分布更为复杂,这些负值订正区也可能包含了由于ECMWF风速未考虑岛屿等小地形影响而导致浙江近海风有所偏大所致。
|
|
| 图 2. 2014年1月18日08:00 ASCAT风速订正前后与ECMWF风速的偏差 (单位:m·s-1;黑色圆点为浮标站) (a) 订正前,(b) 邻站方程订正法,(c) 邻站误差订正法,(d) 考虑自动气象站资料的邻站误差订正法 Fig 2. ASCAT wind deviations relative to ECMWF at 0800 BT 18 Jan 2014(unit:m·s-1; dark dots:locations of buoys) (a) without corrections, (b) corrected by regression, (c) corrected by considering errors, (d) corrected by considering errors with AWS data | |
上述分析以ECMWF风速为参考对象,而ECMWF风速自身也可能存在一定误差,所以分析结果也包含了ECMWF风速自身的误差成分。将订正前后ASCAT风速按照反距离权重法、ECMWF风速按双线性法分别插值到海区内有观测资料的浮标站,以浮标站风速为真值进行误差分析,两次过程统计结果表明:订正前平均偏差为2.09 m·s-1,两种方法订正后分别为-1.09 m·s-1和0.02 m·s-1,考虑自动气象站资料的邻站误差订正后为0.30 m·s-1, ECMWF风速平均偏差则为-0.63 m·s-1,与ECMWF风速相比,本文方法订正结果不比ECMWF风速误差大,具有业务应用价值。
3 结论和讨论利用2010—2014年ASCAT反演风速、华东沿海14个浮标站观测资料及浙江近海自动气象站观测资料,分析风速误差并探寻ASCAT风速的订正方法,得到以下结论:
1) 14个浮标站ASCAT风速普遍比实际风速偏大,误差超过2 m·s-1的浮标站有5个,集中在舟山群岛海区,平均偏大4.79 m·s-1,其他海区浮标站平均仅偏大0.46 m·s-1。ASCAT风速误差除了与离岸距离有关,还与站点周围地形有关。
2) 回归方法能明显减小ASCAT风速误差,均方根误差也大幅度减小,平均偏差由2.02 m·s-1减小为0.14 m·s-1,误差较大站点订正效果更好。
3) 邻近站点间ASCAT风速误差存在相关性,且站点间距离越小,误差相关越明显,站点间相距160 km以上误差相关不明显,甚至出现负相关。站点间误差相关系数与距离关系的对数拟合优于线性拟合。
4) 邻站方程订正法、邻站误差订正法订正结果表明:平均偏差和均方根误差有很好的订正效果。两种方法相比,订正效果比较接近,前者略优。
5) 以ECMWF风速为参考进行ASCAT风速订正试验,两种方法能有效减小平均偏差,而考虑自动气象站资料后的邻站误差订正法的平均偏差最小,说明提高站点分辨率能进一步改进订正效果。
本文所用浮标站总体分辨率较低且空间分布不均匀,分析中得出两种订正方法的效果在很大程度上取决于订正所用的邻近站误差情况,而站点距离越近误差相关性越大,所以有必要加快浮标站的建设,形成合理的浮标站观测网。另外,探寻沿海站点测风垂直高度订正方法,将其合理订正为海面10 m风也是增加海面风观测资料的途径之一。
致谢 感谢国家气象中心张增海高级工程师提供ASCAT风速资料。| [1] | 方翔, 咸迪, 李小龙, 等. QuikSCAT洋面风资料及其在热带气旋分析中的应用. 气象, 2007, 33, (3): 33–39. DOI:10.7519/j.issn.1000-0526.2007.03.005 |
| [2] | 鲁小琴, 雷小途. 用地理信息系统改进热带气旋的客观定位精度. 应用气象学报, 2005, 16, (6): 841–848. DOI:10.11898/1001-7313.20050610 |
| [3] | 刘宇迪, 任景鹏, 周鑫. 散射计风场的三维变分对海雾数值模拟的影响. 应用气象学报, 2011, 22, (4): 472–481. DOI:10.11898/1001-7313.20110410 |
| [4] | Osamu Isoguchi, Hiroshi Kawamura. Coastal wind jets flowing into Tsushima and effect on wind-wave development. J Atmos Sci, 2007, 64, (1): 564–578. |
| [5] | Bi L, Jung J A, Morgan M C, et al. Assessment of assimilating ASCATsurface wind retrievals in the NCEP Global Data Assimilation System. Mon Wea Rev, 2011, 139, (11): 3405–3421. DOI:10.1175/2011MWR3391.1 |
| [6] | 沈春, 项杰, 蒋国荣, 等. 中国近海ASCAT风场反演结果验证分析. 海洋预报, 2013, 30, (4): 27–32. DOI:10.11737/j.issn.1003-0239.2013.04.004 |
| [7] | 张增海, 曹越男, 刘涛, 等. ASCAT散射计风场在我国近海的初步检验与应用. 气象, 2014, 40, (4): 473–481. DOI:10.7519/j.issn.1000-0526.2014.04.010 |
| [8] | 高留喜, 朱蓉, 常蕊. QuikSCAT和ASCAT卫星反演风场在中国南海北部的适用性研究. 气象, 2014, 40, (10): 1240–1247. DOI:10.7519/j.issn.1000-0526.2014.10.008 |
| [9] | 谢小萍, 魏建苏, 黄亮. ASCAT近岸风场产品与近岸浮标观测风场对比. 应用气象学报, 2014, 25, (4): 445–453. DOI:10.11898/1001-7313.20140407 |
| [10] | 杨晓君, 张增海. ASCAT洋面风资料在中国北方海域的真实性检验. 海洋预报, 2014, 31, (5): 8–12. DOI:10.11737/j.issn.1003-0239.2014.05.002 |
| [11] | 安大伟, 谷松岩, 杨忠东, 等. 散射计海面非气旋风场块状模糊去除方法. 应用气象学报, 2012, 23, (4): 485–492. DOI:10.11898/1001-7313.20120412 |
| [12] | 刘小宁, 鞠晓慧, 范邵华. 空间回归检验方法在气象资料质量检验中的应用. 应用气象学报, 2006, 17, (1): 37–42. DOI:10.11898/1001-7313.20060106 |
| [13] | 尹嫦姣, 江志红, 吴息, 等. 空间差值检验方法在地面气象资料质量控制中的应用. 气候与环境研究, 2010, 15, (3): 229–236. |
| [14] | 魏娜, 孙娴, 姜创业, 等. 台站迁移对陕西省气温资料均一性的影响及其偏差订正. 气象, 2012, 38, (12): 1532–1537. |
| [15] | 何志军, 封秀燕, 何利德, 等. 气象观测资料的四方位空间一致性检验. 气象, 2010, 36, (5): 118–122. DOI:10.7519/j.issn.1000-0526.2010.05.018 |
| [16] | 温华洋, 华连生, 金素文, 等. 基于空间一致性的双套站数据选取方法探索. 气象, 2013, 39, (8): 1069–1075. DOI:10.7519/j.issn.1000-0526.2013.08.014 |
| [17] | 徐晶晶, 胡非, 肖子牛, 等. 风能模式预报的相似误差订正. 应用气象学报, 2013, 24, (6): 731–740. DOI:10.11898/1001-7313.20130610 |
2015, 26 (6): 735-742



