2. 河南省气象科学研究所,郑州 450003
2. Henan Institute of Meteorological Sciences, Zhengzhou 450003
气候变化对农业产生影响已是不争的事实[1],冬小麦是我国重要的粮食作物,大量研究表明,气候变暖背景下,我国冬小麦生产发生了各种有利或不利的变化[2-3],并可能在未来受到进一步影响[4-6]。在冬小麦主产的河南、甘肃、山西等地,存在灌溉条件较差、甚至无灌溉条件的麦区,冬小麦生产以雨养为主,对气候条件的依赖极大。探讨气候变化对雨养冬小麦的影响规律,对于排除灌溉等人为因素干扰,单纯分析气候条件改变对农业生产的影响规律有重要意义。
雨养小麦的水分利用效率,直接受最终产量和全生育期耗水量的影响,可反映自然条件下作物耗水量与干物质生产及籽粒产量的关系,揭示初级生产力与作物蒸散两个过程的耦合[7-9],是农业生产适应气候变化的重要指标之一。近年来,我国学者在气候变化对小麦水分利用效率的影响研究针对产量水平的居多[10-13],成果主要分为两类,一是利用历史资料统计,通过实测产量和推算的作物耗水量,计算水分利用效率研究其影响因子和变化规律[14-15],并结合数理分析方法,研究水分利用效率对温度、降水等因子的敏感程度[16];二是通过开展田间试验,设置不同的CO2浓度、温度梯度或水分条件,评价气候变化影响下水分利用效率的变化[17-18]。
在未来气候变化的影响预测方面,随着作物模型[19]和区域气候模式[20]的发展,诸多学者已对未来冬麦区的产量给出了预测结论,但由于缺乏对作物耗水量的推算,因此,关于未来气候变化条件下水分利用效率的变化规律、主要影响因素等方面研究成果鲜见报道。在各种区域气候模式中,英国Hadley气候中心开发的区域气候模式PRECIS,可输出未来气候变化情景下的逐日气象资料,是目前我国农业气象领域研究应用最广泛的区域气候模式之一[21];REGCM4.0模式源自国际理论物理研究中心,模拟RCP气候情景,即典型浓度路径 (Representative Concentration Pathways,RCP),是新一代的温室气体排放情景,更能满足气候变化影响评估需求和科研针对性[22-23]。本文利用PRECIS和REGCM4.0两种区域气候模式输出的4种不同气候变化情景数据,估算气候变化对雨养冬小麦水分利用效率的影响,为冬小麦提高水分利用效率和开展农业适应气候变化研究提供参考。
1 资料和方法 1.1 资料 1.1.1 资料来源本文选用无灌溉条件或灌溉条件较差的河南渑池 (34.77°N,111.77°E)、河南宜阳[24](34.5°N,112.18°E)、甘肃西峰 (35.44°N,107.38°E)、甘肃天水 (34.35°N,105.45°E) 及山西临汾 (36.04°N,113.00°E) 为代表站。其中,西峰、天水冬小麦产量 (1981—2010年) 源于该地区经相关部门审核后的农业气象观测数据,其他代表站产量资料 (1961—2010年) 源于各省统计年鉴。与产量资料对应时段的历史气象资料源于国家气象信息中心数据库。
土壤含水量是计算作物实际耗水量的重要数据,本文获取的渑池站、宜阳站1995—2010年每月8日、18日、28日测定的10~50 cm土壤逐层重量含水率源于河南省气象局;西峰站、天水站和临汾站土壤水分资料为1992—2010年每月8日、18日、28日测定的10~50 cm土壤层的土壤相对湿度,源于中国气象科学数据共享服务网。
1.1.2 区域气候情景资料为综合判断未来气候变化对雨养冬小麦水分利用效率的影响,本文选用两种区域气候模式PRECIS和REGCM4.0输出的未来气候情景资料。PRECIS模拟的A2情景为国内或区域资源情景,反映区域性合作,对新技术适应较慢,人口继续增长;B2情景为区域可持续发展情景,假定生态环境改善具有区域性[25],模型的输出量为基础情景 (1961—1990年) 和未来的逐日气象资料,水平分辨率为50 km×50 km。RegCM4.0模式进行了RCP4.5情景和RCP8.5情景下的长期气候变化模拟,其中,RCP4.5情景为2100年辐射强迫稳定在4.5 W·m-2,RCP8.5情景为2100年辐射强迫上升至8.5 W·m-2。RegCM4.0的模拟输出量为基础情景 (1961—2005年) 和未来的逐月平均资料,水平分辨率为0.5°×0.5°。
对格点化的区域气候模式资料,采用最近临法插值到站点尺度。
1.2 雨养冬小麦气象产量模拟针对各代表站产量资料特点,在指数、线性、对数、多项式等拟合方程中,选择与产量变化趋势相关性最高的方程拟合冬小麦趋势产量,发现各代表站均以三次多项式拟合相关系数最高。
|
(1) |
|
(2) |
|
(3) |
|
(4) |
|
(5) |
其中,Yt为趋势产量,R为相关系数,式 (1)、式 (2) 中x为1961年开始的年代序数,式 (3)、式 (4) 中x为1981年开始的年代序数,式 (5) 中x为1961年开始的年代序数。从实际产量中减去趋势产量,即为当年的气象产量。
根据前人的研究结果,热量资源和降水资源是影响冬小麦气象产量的主要因子[26-27],为了与气候情景资料统一,对冬小麦气象产量与冬小麦生长季的逐月温度和降水资料进行相关分析,气象要素包括逐月最高气温Tmax(i)、最低气温Tmin(i)、平均气温Tave(i);全生育期平均最高气温Tmax、最低气温Tmin和平均气温Tave,逐月降水量P(i) 及全生育期降水量P,i表示月份,当i为9~12时,代表的是上一年的月份。筛选与气象产量相关系数较高的气象要素,利用多元线性回归模型开展雨养冬小麦气象产量模拟。根据各地冬小麦播种和收获时期,资料统计的时段河南麦区为10月—次年5月,山西麦区为10月—次年6月,甘肃麦区为9月—次年6月。
1.3 作物耗水量的计算与模拟由于土壤水分资料年代序列相对较短,本文利用数理方法,将冬小麦耗水量资料反推至与产量资料年代同步,以获取较长序列的相应数据,为开展气候变化影响研究提供基础。
在雨养农区,一般水埋较深,地下水补给量可记为0,冬小麦生长季降水量一般不大,径流量可视为0,渗漏量L也可忽略不计[28-29],几乎无灌溉条件,因此,土壤水分平衡方程可简化为
|
(6) |
式 (6) 中,ET为时段内的作物耗水量,W1为时段初0~50 cm深度的土壤含水量 (单位:mm),W2为时段末相同深度的土壤含水量 (单位:mm),P为时段内的有效降水量 (单位:mm)。令ΔW= W1-W2,W1和W2分别为冬小麦播种前一旬和收获当旬的土壤含水量,ΔW即为全生育期土壤水分变化量。
式 (6) 中土壤含水量的计算参考下式[30]
|
(7) |
ρ为地段实测土壤容重 (单位:g·cm-3),h为土层厚度 (单位:cm),v为土壤重量含水率 (单位:%)。
土壤相对湿度向重量含水率的转换可利用
|
(8) |
式 (8) 中,r为土壤相对湿度 (单位:%),f为田间持水量 (用重量含水率表示)。
根据已有的土壤水分资料,可以计算出冬小麦播种至收获期间的ΔW,而对于无观测资料的年份,由于雨养麦区ΔW主要受降水补给和蒸发蒸腾消耗的影响,在同一站点土壤类型和质地基本不变的情况下,这些因素主要与气象因子密切相关[31-32],因此,与冬小麦气象产量模拟的方法相同,筛选出与ΔW相关性较高的气象因子,并建立多元回归模型,可推算出无土壤水分资料年代的ΔW以及未来气候变化情景下的ΔW,再与全生育期降水量累加,即为作物耗水量的模拟值。
1.4 气候变化对冬小麦水分利用效率的影响估算冬小麦水分利用效率用U表示[11]:
|
(9) |
式 (9) 中,Y为雨养冬小麦单产,ET为冬小麦耗水量。
在区域气候模式资料可靠性检验的基础上,分别利用未来2021—2050年,4种气候变化情景资料驱动冬小麦气象产量模型、土壤耗水量模型,从而计算不同情景下的冬小麦气象产量、耗水量。
在比较水分利用效率变化情况时,将近30年 (1981—2010年) 平均值作为比较对象,故将估算的未来气象产量与近30年冬小麦平均趋势产量相加,得到不同气候变化情景下的冬小麦估算产量。虽然趋势产量恒定不变的假设与社会技术水平的发展趋势不符,可能低估未来的冬小麦产量,但这种假设可重点考虑气候条件的改变对冬小麦产量和水分利用效率的影响,排除社会技术等气候变化影响分析的干扰因素。
2 结果与分析 2.1 冬小麦气象产量模型构建表 1列出了与冬小麦气象产量相关系数较高的气象因子及其多元回归模型系数,其中,渑池站、宜阳站和临汾站的回归模型达到0.05显著性水平。由表 1可以看出,各代表站的冬小麦气象产量均与降水量呈正相关关系。其中,河南、山西代表站冬小麦气象产量与全生育期降水量的正相关显著,并主要与冬小麦返青期 (2月) 和拔节—抽穗期 (4月) 降水的正相关关系显著。在渑池、宜阳和临汾地区,越冬前气温对气象产量的负影响显著,虽然冬前气温偏高有利于分蘖增加和群体结构的扩大,但气温偏低有利于冬小麦越冬锻炼和壮苗形成,并有利于春化作用的进行。在西峰和临汾地区,气象产量还与灌浆期 (5月) 气温呈负相关,这可能是气温过高导致灌浆时间缩短造成的。
|
|
表 1 代表站冬小麦气象产量线性回归模型参数 Table 1 Parameters of linear regression model for meteorological yield of winter wheat at representative stations |
2.2 产量资料模拟的可靠性检验
利用区域气候模式的基础情景资料,分别驱动表 1中各代表站的气象产量模型,回代模拟历史气象产量的变化,并将模拟结果与实际气象产量对比,从而检验区域气候模式资料的适用性。根据各气候情景资料的时段,以及冬小麦跨年生长的特性,PRECIS气候情景资料与实际气象产量资料的交叉年份,河南、山西代表站点为1962—1990年,甘肃代表站为1981—1990年;REGCM4.0输出资料与实际气象产量资料的交叉年份,河南、山西代表站点为1962—2005年,甘肃代表站为1981—2005年。
由于气象产量本身变异性较大,利用两种气候模式,大部分站点模拟的气象产量达到0.1显著性水平。其中,PRECIS模式渑池站、宜阳站气象产量模拟结果与实际产量相关性达到0.05显著性水平,REGCM4.0模式除天水站模拟效果相对较差以外,其余各站的显著性水平均在0.05以上,由此模拟出的冬小麦单产均达极显著水平 (表 2)。因此,利用区域气候模式与气象产量模拟模型相结合的方法,可以较合理的估计冬小麦产量,用这种方法估算未来冬小麦产量变化是可行的。
|
|
表 2 代表站产量模拟相关系数 Table 2 Correlation coefficient for yield simulation |
2.3 土壤水分变化量模拟模型
表 3列出了各代表站与ΔW相关系数较高的气象因子及多元回归模型参数,其中, 宜阳站回归模型达到0.01显著性水平,其余站点回归模型达到0.05的显著性水平。可以看出,各站ΔW与降水量以负相关关系为主,尤其是抽穗灌浆成熟期间 (4—6月),降水量越大,ΔW的变化量越小,即降水量较大时,作物的水分利用主要源于降水,对土壤中储存的水分消耗较小。平均温度在一定范围内升高加剧土壤水分蒸发和作物蒸腾,尤其在冬小麦生长旺盛期更为明显,大部分站点ΔW与5月或6月平均气温呈显著正相关,临汾站ΔW还与Tmax(6) 呈显著负相关,这可能是温度过高导致叶片气孔关闭,蒸腾作用减弱。由于土壤水分资料与区域气候模式资料基本无交叉,因此没有开展区域气候模式对ΔW的模拟检验。
|
|
表 3 代表站冬小麦全生育期土壤水分变化量线性回归模型参数 Table 3 Parameters of linear regression model for soil water variation of the whole growing season of winter wheat at representative stations |
2.4 气候变化对水分利用效率的影响 2.4.1 水分利用效率的历史变化
1961—2010年渑池、宜阳、临汾地区雨养冬小麦平均单产呈三次多项式曲线变化 (达到0.01显著性水平),1981年以前产量增幅较稳定,之后年际间波动增大 (图 1a);冬小麦耗水量年际变化规律不显著,且年际间波动大 (图 1b);水分利用效率的变化接近于幂函数 (达到0.01显著性水平),20世纪80年代以前稳定、快速增加,从60年代平均为3.1 kg·mm-1·hm-2增长到了80年代平均为10.0 kg·mm-1·hm-2,随后水分利用效率呈波动式增长趋势,21世纪平均为13.9 kg·mm-1·hm-2,增长速度较前期略减缓 (图 1c)。
|
|
| 图 1. 渑池站、宜阳站、临汾站雨养冬小麦平均产量 (a)、平均耗水量 (b) 及平均水分利用效率 (c) 的年际变化 Fig 1. Annual variation of average value of yield (a), water consumption (b) and water use efficiency (c) of rain-fed winter wheat for Mianchi, Yiyang and Linfen stations | |
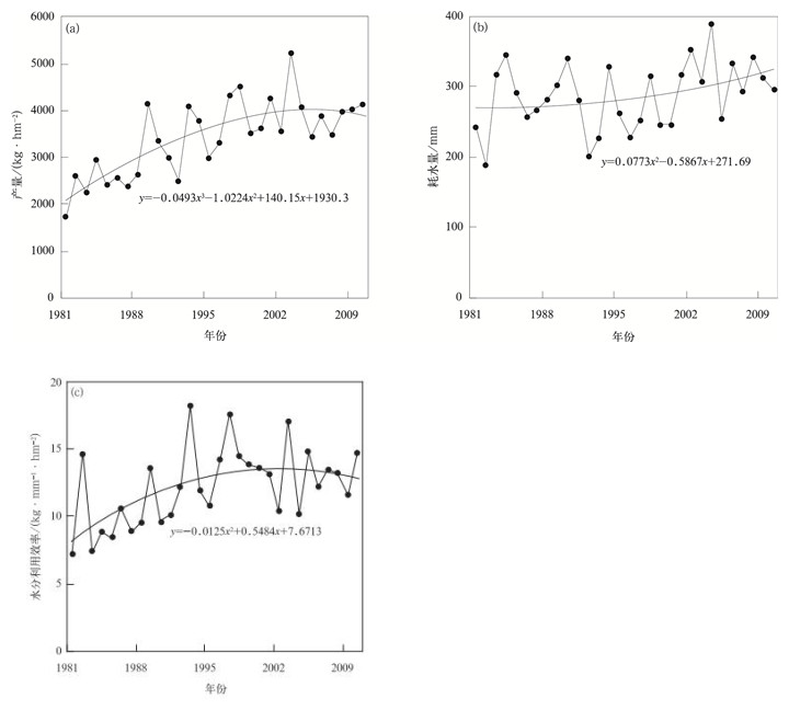
从5个站1981—2010年平均结果看,近30年雨养冬小麦产量按三次多项式曲线变化 (达到0.01显著性水平),21世纪以前增长速度较快 (图 2a);冬小麦实际耗水量也呈波动式增长趋势 (达到0.05显著性水平)(图 2b)。冬小麦单产变异系数 (23.5%) 高于实际耗水量变异系数 (16.6%),这决定了雨养冬小麦的水分利用效率必然也存在较大波动。
|
|
| 图 2. 代表站雨养冬小麦平均产量 (a)、平均耗水量 (b) 及平均水分利用效率 (c) 的年际变化 Fig 2. Annual variation of average value of yield (a), water consumption (b) and water use efficiency (c) of rain-fed winter wheat for representative stations | |
雨养冬小麦水分利用效率平均值从大到小,依次为甘肃代表站 (13.19 kg·mm-1·hm-2)、山西代表站 (12.86 kg·mm-1·hm-2)、河南代表站 (11.28 kg·mm-1·hm-2)。各代表站平均水分利用效率值按一元二次曲线变化 (达到0.01显著性水平),变异系数为23.7%,极大值出现在2003年前后,2003年以后有略减趋势 (图 2c)。
2.4.2 气候变化对水分利用效率的影响与1981—2010年平均值相比,估算的2021—2050年冬小麦全生育期耗水量表现为不同程度的增加 (图 3a),各地、各情景平均增加6.2%。PRECIS模式模拟,耗水量的增幅A2情景 (7.2%) 大于B2情景 (3.2%),REGCM4.0模式模拟,耗水量增幅RCP8.5情景 (9.4%) 大于RCP4.5情景 (5.1%);RCP情景模拟的平均耗水增量 (7.2%) 高于A2情景和B2情景模拟的平均增量 (5.2%)。其中,渑池站和天水站在A2情景和RCP8.5情景下耗水量增加相对较多,表明这些地区未来30年气候资源变化可能较其他地区更明显,雨养冬小麦生产也将受到较显著影响。
|
|
| 图 3. 不同条件下冬小麦耗水量 (a)、产量 (b) 及水分利用效率 (c) 的估算值 Fig 3. Estimated value for water consumption (a), yield (b) and water use efficiency (c) of winter wheat under different conditions at representative stations | |
预计2021—2050年各地产量与1981—2010年平均值相比有增有减,不同情景下各地平均产量变化率为1.4%(图 3b)。A2和B2情景下,渑池、西峰和临汾地区平均减产3.6%,0.4%和4.5%,且减产率A2情景大于B2情景;而宜阳和天水地区则分别平均增产4.9%和3.2%,且增产率B2情景大于A2情景;RCP的两种情景下,渑池和临汾地区分别平均减产2.3%和2.0%,且减产率RCP4.5情景大于RCP8.5情景,宜阳、西峰和天水地区则分别增产0.3%,12.6%和5.9%,增产趋势为RCP8.5情景大于RCP4.5情景。大部分站点RCP情景模拟的冬小麦产量高于A2情景和B2情景。
由图 3c可以看出,除渑池站B2情景以及西峰站所有情景水分利用效率的估算值略增外,各地区雨养冬小麦水分利用效率均有不同程度减少,平均减少率为3.8%,其中,A2情景和B2情景平均,渑池站、宜阳站、天水站及临汾站的水分利用效率分别减少4.4%,3.6%,4.4%和11.2%,且减少率A2情景大于B2情景;RCP的两种情景下上述4个代表站则分别平均减少9.3%,1.6%,6.2%和14.8%,减少率RCP8.5情景大于RCP4.5情景。
由上面的分析可知,气候变化对雨养冬小麦单产的影响存在差异,估算的未来冬小麦产量整体变化幅度不大,但水分利用效率减小,且个别地区减幅较大,耗水量增加是主要原因。根据两种区域气候模式的预测,2021—2050年各代表站冬小麦生长发育的不同时期温度均有不同程度增加,将进一步加剧植株的水分蒸腾及田间土壤水分消耗;同时,区域气候模式输出的不同情景下的部分区域的降水量也有一定程度增加,因此,冬小麦耗水量呈增加趋势。
2.4.3 未来气候变化背景下水分利用效率的年际变化及变率从各代表站平均的未来水分利用效率年际变化曲线 (图 4) 看,利用REGCM4.0模式输出的气候资料,水分利用效率的平均值随年际变化显著递减 (达到0.05显著性水平),表明RCP情景下,不仅水分利用效率的平均值较1981—2010年减小,水分利用效率受到的负影响存在逐年加剧的趋势;而A2情景和B2情景资料估算的水分利用效率年际变化表现为不显著的递增趋势,表明RCP情景比A2情景、B2情景对雨养冬小麦水分利用效率的负影响更大。
|
|
| 图 4. 不同气候模式输出的未来水分利用效率年际变化 (直线代表变化趋势) Fig 4. Annual variation of water use efficiency by different climate models in the future (straight lines denote trends) | |
2021—2050年各代表站4种气候情景下的水分利用效率存在较大的年际间波动,但与1981—2010年相比,这种波动随水分利用效率估算值的减小而减小 (表 4),各代表站平均变异系数A2情景大于B2情景,RCP4.5情景大于RCP8.5情景,且A2情景和B2情景输出的水分利用效率平均变率大于RCP情景,由于雨养冬小麦对气候条件的依赖性很强,表明RCP情景的气候波动性较A2情景、B2情景小,雨养冬小麦对水分的利用相对稳定。
|
|
表 4 雨养冬小麦水分利用效率的变异系数 (单位:%) Table 4 Variable coefficient of water use efficiency for rain-fed winter wheat (unit:%) |
3 结论和讨论
1) 渑池站、宜阳站和临汾站1961—2010年水分利用效率接近幂函数增长,5个代表站1981—2010年的平均水分利用效率呈二次曲线变化,最大值出现在2003年前后。与1981年以前相比,1981—2010年水分利用效率的年际间波动性明显增大。
2) 两种区域气候模式、4种气候变化情景的估算结果均表明:2021—2050年气候变化导致雨养麦区耗水量增加,水分利用效率进一步降低,未来耗水量的增加是水分利用效率减小的主要原因,同时,水分利用效率的变异系数减小。
3) 4种气候变化情景相比较,水分利用效率的减小量A2情景大于B2情景,RCP8.5情景大于RCP4.5情景。从水分利用效率的减小幅度和年际变化趋势综合比较,RCP情景比A2情景、B2情景对雨养冬小麦水分利用效率的负面影响更大,但RCP情景下水分利用效率的年际间波动相对较小。
本文在估算未来气候变化对水分利用效率的影响时,未考虑冬小麦品种的更替及冬小麦生产对气候变化的自适应过程,因此,可能低估未来雨养冬小麦的产量及对水分的吸收利用,同时,由于土壤水分资料较少,耗水量的计算还存在一些不确定因素。另一方面,未来气候变化对农业的影响估算,很大程度上依赖于气候变化情景资料,因此,利用不同的区域气候模式,可能会得出一些差异性的结论。实际上,气候变化对作物水分利用效率的影响是多因素的,从作物产量水平上看,多数研究结果表明,植物水分利用效率与降水量呈负相关,但随着水分限制条件的进一步加强,植物水分利用效率逐渐升高至一定水平后下降[33],同时,热量条件、CO2浓度等环境条件的改变也会使作物产量和耗水规律发生相应变化[34],因此,气温、降水、CO2的协同作用对冬小麦水分利用效率的影响是一个系统而复杂的问题,水分利用效率的变化阈值、变化规律、决定性因子等方面仍有较大的探索空间。从本文估算的未来雨养冬小麦水分利用效率可能降低的结论看,水分利用效率降低的主要原因是气候变化导致未来冬小麦耗水量进一步增加,要改善水分利用效率降低的状况,应以提高冬小麦单产为主要目标,在气候条件无法改变的情况下,可通过变更种植品种、改变密度和种植方式等措施,减少无效水分消耗,提高冬小麦产量及水分利用效率。
致谢 感谢国家气候中心提供的利用区域气候模式所进行的中国区域未来气候变化模拟结果。| [1] | 刘桂芳, 卢鹤立. 全球变暖背景下的中国西部地区气候变化研究进展. 气象与环境科学, 2009, 32, (4): 69–73. |
| [2] | 王馥棠. 近十年来我国气候变暖影响研究的若干进展. 应用气象学报, 2002, 13, (6): 755–766. |
| [3] | 王建英, 韩相斌, 王超, 等. 豫东北主要农作物对气候变暖的响应. 气象与环境科学, 2009, 32, (1): 43–46. |
| [4] | 居辉, 熊伟, 许吟隆, 等. 气候变化对我国小麦产量的影响. 作物学报, 2005, 31, (10): 1340–1343. DOI:10.3321/j.issn:0496-3490.2005.10.017 |
| [5] | 田展, 刘纪远, 曹明奎. 气候变化对中国黄淮海农业区小麦生产影响模拟研究. 自然资源学报, 2006, 21, (4): 598–607. DOI:10.11849/zrzyxb.2006.04.013 |
| [6] | 刘月岩, 刘会灵, 乔匀周, 等. CO2浓度升高对不同水分条件下冬小麦生长和水分利用的影响. 中国生态农业学报, 2013, 21, (11): 1365–1370. |
| [7] | 郭安红, 刘庚山, 安顺清, 等. 有限供水对冬小麦根系生长发育的影响及其对底墒的利用特征. 应用气象学报, 2002, 13, (5): 621–626. |
| [8] | 张丛志, 张佳宝, 赵炳梓, 等. 作物对水分胁迫的响应及水分利用效率的研究进展. 节水灌溉, 2007, (5): 1–6. |
| [9] | 赵鸿, 杨启国, 邓振镛, 等. 半干旱雨养区小麦光合作用、蒸腾作用及水分利用效率特征. 干旱地区农业研究, 2007, 25, (1): 125–130. |
| [10] | 罗俊杰, 黄高宝. 底墒对旱地冬小麦产量和水分利用效率的影响研究. 灌溉排水学报, 2009, 28, (3): 102–104. |
| [11] | 李俊, 于沪宁, 刘苏峡. 冬小麦水分利用效率及其环境影响因素分析. 地理学报, 1997, 52, (6): 552–560. |
| [12] | 董宝娣, 师长海, 乔匀周, 等. 不同灌溉条件下不同类型冬小麦产量水分利用效率差异原因分析. 中国生态农业学报, 2011, 9, (19): 1096–1103. |
| [13] | 惠海滨, 林琪, 刘义国, 等. 灌水量和灌水期对超高产小麦灌浆期光合特性及产量的影响. 西北农业学报, 2012, 21, (8): 77–83. |
| [14] | 董浩, 陈雨海, 周勋波. 灌溉和种植方式对冬小麦耗水特性及干物质生产的影响. 应用生态学报, 2013, 24, (7): 1871–1878. |
| [15] | 臧贺藏, 刘云鹏, 余鹏, 等. 水氮限量供给下两个高产小麦品种物质积累与水分利用特征. 麦类作物学报, 2012, 32, (4): 689–695. DOI:10.7606/j.issn.1009-1041.2012.04.016 |
| [16] | 姚玉璧, 王润元, 杨金虎, 等. 黄土高原半湿润区气候变化对冬小麦生育及水分利用效率的影响. 西北植物学报, 2011, 31, (11): 2290–2297. |
| [17] | 俞满源, 黄占斌, 山仑. 不同水分条件下CO2浓度升高对植物生长及水分利用效率的影响. 中国生态农业学报, 2003, 11, (3): 110–112. |
| [18] | 王美玉, 赵天宏, 张巍巍, 等. CO2浓度升高与温度、干旱相互作用对植物生理生态过程的影响. 干旱地区农业研究, 2007, 25, (2): 99–103. |
| [19] | 熊伟. CERES-Wheat模型在我国小麦区的应用效果及误差来源. 应用气象学报, 2009, 20, (1): 88–94. DOI:10.11898/1001-7313.20090111 |
| [20] | 石英, 高学杰, 吴佳, 等. 华北地区未来气候变化的高分辨率数值模拟. 应用气象学报, 2010, 21, (5): 580–589. DOI:10.11898/1001-7313.20100507 |
| [21] | 王培娟, 张佳华, 谢东辉, 等. A2和B2情景下冀鲁豫冬小麦气象产量估算. 应用气象学报, 2011, 2, (5): 549–557. DOI:10.11898/1001-7313.20110504 |
| [22] | Gao X J, Shi Y, Zhang D F, et al. Climate change in China in the 21st century as simulated by a high resolution regional climate model. Chinese Science Bulletin, 2012, 57, (10): 1188–1195. DOI:10.1007/s11434-011-4935-8 |
| [23] | Gao X J, Shi Y, Song R Y, et al. Reduction of future monsoon precipitation over China:Comparison between a high resolution RCM simulation and the driving GCM. Meteorology and Atmospheric Physics, 2008, 100: 73–86. DOI:10.1007/s00703-008-0296-5 |
| [24] | 朱自玺, 刘荣花, 方文松, 等. 华北地区冬小麦干旱评估指标研究. 自然灾害学报, 2003, 12, (1): 145–150. |
| [25] | 许吟隆. 应用Hadley中心RCM发展中国高分辨率区域气候情景. 气候变化通讯, 2004, 3, (5): 6–8. |
| [26] | 钱锦霞, 郭建平. 郑州地区冬小麦产量构成要素的回归模型. 应用气象学报, 2012, 23, (4): 500–504. DOI:10.11898/1001-7313.20120414 |
| [27] | 陈怀亮, 张雪芬, 赵国强, 等. 河南省春季气候变化及其对小麦产量构成要素的影响. 气象与环境科学, 2006, (1): 47–52. |
| [28] | 蒲金涌, 冯建英, 姚晓红, 等. 甘肃黄土高原土壤农业水分常数分布特征. 干旱地区农业研究, 2005, 26, (3): 205–209. |
| [29] | 方文松, 陈怀亮, 李树岩, 等. 南阳市土壤湿度与气候变化的关系分析. 气象与环境科学, 2007, 30, (4): 13–16. |
| [30] | 国家气象局. 农业气象观测规范 (上卷). 北京: 气象出版社, 1993. |
| [31] | 蒲金涌, 王润元, 王鹤龄, 等. 甘肃陇东黄土高原陆面实际蒸散测算方法比较研究. 土壤通报, 2014, 45, (1): 32–38. |
| [32] | 杨娜, 刘良明, 向大享, 等. 由常规地面气象观测要素估算土壤湿度. 华中师范大学学报, 2010, 44, (3): 527–530. |
| [33] | 周洁, 张志强, 孙阁, 等. 不同土壤水分条件下杨树人工林水分利用效率对环境因子的响应. 生态学报, 2013, 33, (5): 1465–1474. |
| [34] | 王庆伟, 于大炮, 代力民, 等. 全球气候变化下植物水分利用效率研究进展. 应用生态学报, 2010, 21, (12): 3255–3265. |
2015, 26 (3): 300-310



