2. 北京华云星地通科技有限公司,北京 100081
2. Beijing Huayun Shinetek Satellite Application Engineering Technology Company Limited, Beijing 100081
风云三号 (FY-3) 气象卫星是实现全球、全天候、多光谱、三维、定量遥感的我国第2代极地轨道气象卫星系列。FY-3(01) 批为试验应用卫星,共两颗,卫星代号分别为FY-3A和FY-3B。卫星装载的可见光红外扫描辐射计 (VIRR) 光谱范围为0.43~12.5 μm,共10个通道,地面水平分辨率为1.1 km,扫描范围为±55.4°[1]。FY-3B/VIRR有1个短波红外通道 (3.55~3.93 μm) 和2个长波红外通道即分裂窗通道 (10.3~11.3 μm,11.5~12.5 μm) 可用于估计海表温度 (SST)。
在红外波段,海洋表面发射的辐射接近于黑体。理论上,如果洋面和卫星之间没有大气的吸收和发射,通过单通道就可以估计SST。实际上,离表红外辐射在达到卫星探测器之前已被大气削弱,因此必须进行大气订正[2]。水汽与CO2,CH4,NO2和气溶胶是决定红外辐射大气削弱的主要因子,其中水汽引起的吸收影响最大[3]。为了准确反演SST,人们先后提出了多种解决表层红外辐射大气吸收问题的技术。Prabhakara等[4]利用早期星载辐射计的亮温差得到了合理精度的SST估计值。为了提高SST估算精度,引入多种修正方法。1985年McClain等[5]基于海温与红外通道亮温和分裂窗亮温差呈线性关系这一假设提出的多通道海温 (MC) 算法是NOAA的第1个业务海温算法,使用多年。1987年Cornillon等[6]引入了卫星天顶角对大气路径的修订,1988年Walton等[7]基于亮温的非线性大气订正提出了交叉海温 (CP) 算法。1998年Walton[8]提出了基于第1猜测海温非线性海温 (NL) 算法,并成为NOAA的业务海温算法。NOAA/NESDIS早在1991年就使用NL (CP的简化版本) 作为业务海温算法,后来采用白天分裂窗NL算法,夜间三通道NL算法作为业务海温算法[9]。Wu等[10]在进行GOES-8/9 SST反演时在海温算法中添加分裂窗亮温差的二次项,这一算法也一直用于中国气象局国家卫星气象中心的静止气象卫星海温反演业务。Francois等[11]基于SAFREE探空廓线利用RTTOV辐射传输模式建立了模拟亮温库,以此为基础导出了一系列海温反演算法。王保华[12]将MC算法应用于FY-1C极轨气象卫星业务海温产品,并对海温精度进行检验。
FY-3/VIRR SST反演精度依赖于VIRR仪器的性能、定位精度和定标的精度,还依赖于云检测产品的精度。提高风云气象卫星的应用水平亟待解决的问题之一是做好数据预处理、数据处理方面的研究工作[13],由于存在卫星辐射测量误差、反演算法误差、地气系统辐射的相互影响,导致反演产品存在误差,需要通过产品的真实性检验比对、分析反演产品精度,并通过检验结果改进反演算法[14]。海表温度是天气预报、气候监测、诊断和预测业务以及气候数值模拟研究的重要输入参数[15-21]。目前FY-3气象卫星业务系统的SST反演采用白天多通道海温反演 (MC),FY-3B/VIRR SST直接选取云检测产品中的确信晴空进行SST反演,但温度整体偏低,尤其是东南亚附近海域,均方根误差超过3℃。用于匹配的现场海温来自世界气象组织全球通信系统 (GTS),现场海温没有进行质量控制;匹配数据集字段少,仅能用于MC回归,不利于一次匹配多次回归建模分析。本文针对上述问题进行了如下改进:选用来自NESDIS/STAR通过质量控制的现场海温、扩充了匹配数据集 (MDB) 结构,并以此为基础,进行多算法回归建模及精度评估,确定FY-3B/VIRR SST (简称FY-3B SST) 的最优算法,引入空间一致性检验及气候阈值检验,抑制云污染等。
1 数据与处理 1.1 数据来源 1.1.1 遥感数据FY-3B/VIRR L1B数据和云检测数据分别来自国家卫星气象中心FY-3(01) 批地面应用系统数据预处理系统 (DPPS) 和产品生产系统 (PGS)。轨道数据以5 min段 (2048×1800像元)、HDF5格式存储,星下点空间分辨率为1.1 km。
1.1.2 实测数据实测现场海温数据来自NESDIS/STAR (http://www.star.nesdis.noaa.gov/),现场海温数据以月为单位、HDF4格式存储,内含现场海温的质量控制信息。用于FY-3B/VIRR匹配数据集的建立和FY-3B/VIRR反演海温的质量检验。
1.1.3 NOAA-19匹配数据集NOAA-19匹配数据集来自NESDIS/STAR (http://www.star.nesdis.noaa.gov/),以月为单位、文本格式存储。每个月的匹配数据集有与之对应的最优算法的回归统计信息。本研究使用2010年全年12个月的匹配数据集,用于回归建模及精度评估。
1.1.4 分析场海温日平均IOSST (optimum interpolation SST) 海温来自NOAA/NCDC (ftp://eclipse.ncdc.noaa.gov/),分辨率为0.25°×0.25°,netCDF格式存储,用于FY-3B/VIRR反演海温的质量检验。
1981—2010年月平均海温数据集来自NOAA/ESRL (http://www.esrl.noaa.gov/),分辨率为1°×1°,netCDF格式存储,用于FY-3B/VIRR非线性海温反演和气候阈值的确定。
1.2 数据处理以5 min段FY-3B/VIRR LIB数据、云检测数据和现场海温数据为输入,按1.1 km的空间分辨率和1 h的时间分辨率进行匹配,满足晴空海洋及匹配条件的像元为1个匹配样本,建立了2012年8月—2013年3月的全球逐月FY-3B/VIRR匹配数据集。与业务系统原匹配数据集相比,选择NESDIS/STAR经质量控制的现场海温替代来自全球通信系统的未经质量控制的现场海温;对匹配数据集的结构进行扩充,由原来的11个字段扩充到51个字段,添加以匹配像元为中心的3×3数据块的晴空像元数量、陆地像元数量、最大亮温、最小亮温、标准差、中值、平均值等字段;针对SST所用的上游产品 (FY-3B/VIRR云检测业务产品) 存在漏判的现象,采用在样本海选基础上进行样本优选的策略,使得样本选择更合理。即凡是云检测产品中标识为“确信晴空”的像元均根据条件进行匹配,生成海选样本。在海选样本的基础上,根据浮标的类型、质量控制信息,选取高精度的匹配样本;对海选样本进行空间一致性检验和海温阈值检验,从而剔除云像元的干扰。
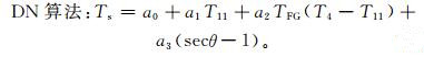
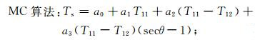
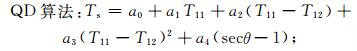
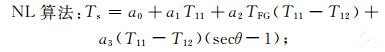
2 算法与改进 2.1 FY-3B SST算法本节给出FY-3B SST的5个回归模型,其中3个回归模型白天、夜间均适用于海温反演,另外2个回归模型仅适用于夜间海温反演,因计算中采用3.7 μm通道亮温,而短波红外窗区受太阳反射和散射的影响,在白天的海温反演中无法使用。为了便于后续分析,为每个回归模型定义了相应的名称,如表 1所示 (其中QD算法源自文献[10],其余算法源自NESDIS/STAR)。
|
|
表 1 FY-3B/VIRR SST算法命名表 Table 1 List of acronyms of FY-3B/VIRR SST Algorithm |
海温算法公式如下:
|
(1) |
|
(2) |
|
(3) |
|
(4) |
|
(5) |
其中,Ts表示反演海温,T4,T11和T12分别表示3.7 μm,10.8 μm和12 μm通道亮温,a0~a5表示回归系数,θ表示卫星天顶角, TFG表示第1猜测SST,本文选用1981—2010年月平均OISST作为第1猜测SST。另外,式 (1)~式 (3) 既可用于白天,也可用于夜间,式 (4)~式 (5) 仅适用于夜间。为方便表达,“_D”表示白天算法,“_N”表示夜间算法。
2.2 回归算法改进和云检测质量控制回归算法在原FY-3B SST业务系统最小二乘回归的基础上,进行二次回归。即在最小二乘回归 (一次回归) 的基础上,将回归系数带入匹配数据集,得到各样本的反演海温,反演海温偏差大于2倍标准差的样本被剔除,再进行一次最小二乘回归 (二次回归),得到最终的回归系数。利用NOAA-19/AVHRR 2010年12个月的匹配数据集,对NL_D算法和TC_N算法进行二次回归,与一次回归相比,NL_D算法回归精度提高21%,TC_N算法回归精度提高30%。
在云检测方面加强了质量控制。针对目前云检测存在漏判的现象,构建了3×3数据块,并在此基础上进行了空间一致性检验,剔除3×3数据块内晴空像元亮温差大的像元 (视为云像元);引入30年月平均海温气候阈值作为参考SST,进行气候阈值检验,超过气候阈值的像元视为有云像元。
图 1a为2013年4月30日11:00(世界时,下同)5 min段L1B数据中10.8 μm通道亮温的灰度图像,图 1b为对应的云检测产品图像,图 1c为改进后SST产品图像 (白色为云或缺省值),从红色框定区域的对比可以看出,云检测漏判的云在SST产品中被检出。FY-3B/VIRR业务SST算法直接利用云检测产品中的确信晴空海洋像元进行SST反演,引入了云污染。改进后的SST反演算法引入的空间一致性检验和气候阈值检验,使云污染 (尤其是夜间) 现象得到抑制,从而提高SST的反演精度。
|
|
| 图 1. FY-3B/VIRR 2013年4月30日11:00 10.8 μm通道亮温图像 (a)、云检测产品 (b) 及改进后SST产品 (c) Fig 1. Images of FY-3B/VIRR at 1100 UTC 30 April 2013(a) bright temperature image of 10.8 μm, (b) cloud image, (c) SST image | |
3 精度评估与分析 3.1 FY-3B SST算法精度评估
在2012年8月—2013年3月FY-3B/VIRR匹配数据集 (称为版本1,即MDB_V1) 的基础上,针对2.1节的5种回归模型,进行了建模分析及FY-3B SST各算法的精度评估。精度评估以月匹配数据集为单位进行,所用样本为非独立样本,白天月平均样本为7302个,夜间月平均样本为7942个,SST算法的精度情况如图 2和图 3所示。由图 2可以看出,对于白天算法,NL_D算法最优,QD_D算法次之,MC_D算法稍差 (R为相关系数),这与基于NOAA-19/AVHRR匹配数据集的算法精度结论一致。由图 3可以看出,对于夜间算法,NL_N算法最优,QD_N算法次之,其后依次为TC_N算法、MC_N算法、DN_N算法,这一精度顺序与基于NOAA-19/AVHRR匹配数据集的算法精度排序结果不同,夜间短波红外窗区的理论优势并没有表现出来。
|
|
| 图 2. 2012年8月—2013年3月3种白天SST算法的精度曲线 Fig 2. Statistics time series of three daytime SST algorithms with respect to in situ SST from August 2012 to March 2013 | |
|
|
| 图 3. 2012年8月—2013年3月5种夜间SST算法的精度曲线 Fig 3. Statistics time series of five nighttime SST algorithms with respect to in situ SST from August 2012 to March 2013 | |
通过对夜间FY-3B/VIRR MDB_V1(月平均样本量为7942) 中反演SST与浮标海温残差的分析及阈值调整,剔除了误差大的样本,生成了匹配数据集版本2(MDB_V2,月平均样本量为5455)。基于MDB_V2,再次对FY-3B SST夜间5种算法进行建模分析与精度评估 (图 3)。由图 3可知,5种夜间算法中TC_N算法最优,NL_N算法次之,其后依次为QD_N算法、MC_N算法、DN_N算法,这一精度顺序与基于NOAA-19/AVHRR匹配数据集的算法精度的排序结果基本一致,但夜间利用3.7 μm通道的DN_N算法始终最差。
对于FY-3B SST反演算法,MDB_V1和MDB_V2哪个更优,需要通过SST产品质量检验判定。通过对比基于MDB_V1的NL_N算法与基于MDB_V2的TC_N算法反演出的FY-3B SST产品质量,发现基于MDB_V2的TC_N算法存在类似于百叶窗的条带现象 (图 4),通过与FY-3B/VIRR定标人员沟通,证实了这一现象。因此,对于FY-3B/VIRR,无论白天还是夜间,NL算法最优。
|
|
| 图 4. 2013年4月26日11:55 SST图像 (a) 基于MDB_V2的TC算法,(b) 基于MDB_V1的NL算法 Fig 4. SST images at 1155 UTC 26 April 2013 (a) TC based on MDB_V2, (b) NL based on MDB_V1 | |
3.2 FY-3B反演SST的质量检验
卫星测得的表层红外辐射由10 μm厚度以上的海水发出,因此测得的是表层海温,现场观测仪器测得的是水体温度,二者有区别。表层海温和水体温度的差别有时会达到几度,尤其是在白天晴空微风的条件下[22]。因此,利用水体海温对卫星反演的表层海温产品进行真实性检验存在局限性。本文未对反演海温和现场海温之间的差异进行订正,反演算法的回归系数由卫星观测亮温和与之匹配的现场水体海温回归计算得到。因此,反演算法得到的海温反映了表层温度的变化,但总体而言,它代表了水体温度。通常作为质量检验参考的海温产品有两种[22-24]:现场海温和全球分析场海温。国外卫星海温产品也采用这两种海温进行质量检验。
3.2.1 基于现场海温的FY-3B SST质量检验以现场海温为参考海温的FY-3B SST质量检验基于2012年10—2013年3月共6个月的MDB_V1进行,以2012年10月—12月样本 (白天共20287个,夜间共22862个) 进行回归,分别得到白天和夜间的回归系数,再以2013年1—3月的独立样本进行质量检验。白天最优算法NL_D的独立样本为21133个,均方根误差为0.41℃,泊松相关系数为99.8%;夜间最优算法NL_N的独立样本为21353个,均方根误差为0.43℃,泊松相关系数为99.8%。
基于匹配数据集,对比FY-3B/VIRR与NOAA-19/AVHRR最优算法精度发现:NOAA-19/AVHRR的TC_N算法和DN_N算法精度高,且3.7 μm通道的使用明显地提高了夜间海温反演的精度,这是由于夜间短波红外窗区对水汽的敏感性较低[8, 21]。NOAA-19/AVHRR TC_N算法精度优于NL_D算法,而FY-3B/VIRR NL_D算法的精度优于TC_N算法。正常情况下,由于白天海洋表面非均匀加热,卫星反演表层海温和现场水体海温之间差异白天大于夜间[23]。FY-3B/VIRR NL_D算法精度优于TC_N算法是因为FY-3B/VIRR白天云检测精度优于夜间,同时FY-3B/VIRR 3.7 μm通道的性能没有像NOAA-19/AVHRR那样发挥其夜间的理论优势。
表 2给出了TC_N算法a0~a5的取值,可以看出:NOAA-19/AVHRR 3.7 μm通道亮温的系数大于11 μm和12 μm通道 (即|a2|大于|a1|和|a3|),而FY-3B/VIRR 3.7 μm通道亮温的系数小于11 μm和12 μm通道 (即|a2|小于|a1|和|a3|)。说明对于NOAA-19/AVHRR,3.7 μm通道对海温估计的贡献大于分裂窗通道,而对于FY-3B/VIRR,3.7 μm通道对海温估计的贡献小于分裂窗通道,这也印证了FY-3B/VIRR 3.7 μm通道的性能没有NOAA-19/AVHRR理想。
|
|
表 2 TC_N算法回归统计信息 Table 2 The regression information of TCSST Algorithm |
3.2.2 基于分析场海温的FY-3B SST质量检验
由于分析场海温具有时效性好,全球覆盖且质量均一的优点,常作为卫星反演海温的检验源数据[22-24]。
以分析场海温为参考海温的FY-3B SST质量检验基于2013年4月的SST反演产品进行 (回归系数来自2013年3月MDB_V1)。首先将0.25° × 0.25°的OISST双线性插值到FY-3B/VIRR仪器像元,L2 SST误差分析是在5 min段FY-3B SST减去插值后的OISST基础上进行的。表 3给出了各算法的质量检验结果。
|
|
表 3 2013年4月FY-3B/VIRR SST算法的误差统计 Table 3 Validation statistics of FY-3B/VIRR SST algorithms in April 2013 |
由表 3可以看出,对于3种白天算法,NL_D算法最优,QD_D算法精度略优于MC_D算法,但QD_D算法的有效海温像元数不及MC_D算法。对于5种夜间算法,无论是全部样本还是偏差在2℃以内的样本 (选择和参考海温与OISST偏差在2℃以内的样本进行误差控制方法参见文献[25-26]),无论是有效海温像元数还是算法精度NL_N算法均优势明显,为最优;TC_N算法精度为次优,但有效海温像元数明显处于劣势;QD_N算法和MC_N算法精度相当,QD_N算法略有优势,但MC_N算法的有效海温像元数比QD_N算法多;DN_N算法精度最差,夜间短波红外窗区的理论优势未表现出来。
综上所述,对于FY-3B/VIRR L2 SST产品,无论白天或夜间,在各海温算法中NL算法最优,均方根误差最小,且有效海温像元数最多。
表 4给出了2013年4月最优算法NL的误差统计结果。NL_D和NL_N算法偏差分别为-0.62℃和-0.43℃,标准偏差小于1.5℃。如果选用与OISST偏差在2℃以内的样本进行误差统计,NL_D和NL_N算法偏差分别为-0.24℃和0.04℃,标准偏差小于0.84℃。NOAA的PFSST[25]将海温质量分为7个等级,质量等级差的 (即等级为1和2) 两类样本均方根误差为4.6℃,而质量等级高的 (即等级为6和7) 两类样本均方根误差分别为0.69℃和0.59℃。由此可见,对反演SST进行质量分级,用最优样本进行误差统计,有利于提高SST产品的可用性。
|
|
表 4 2013年4月FY-3B/VIRR NL算法误差统计结果 Table 4 Monthly validation statistics for FY-3B/VIRR NL in April 2013 |
3.3 算法改进
匹配算法方面,选择来自NESDIS/STAR的高精度浮标资料取代来自全体通信系统 (GTS) 的无质量控制信息的浮标资料,从而避免回归阶段引入额外的输入误差;对匹配数据集的结构进行扩充,为后续误差分析提供便利条件;选择样本海选加优选的策略,使样本选择更加合理。
回归算法方面,在原有最小二乘回归的基础上,利用NOAA-19/AVHRR 2010全年的匹配数据集进行二次回归。与一次回归相比,白天MC_D算法的回归精度提高21%,夜间TC_N算法的回归精度提高30%。基于NOAA-19/AVHRR匹配数据集,进行了多算法回归建模分析及精度评估,白天最优算法为NL_D算法,夜间最优算法为TC_N算法,最优算法的确定与NESDIS/STAR一致。
反演算法方面,引入空间一致性检验和气候阈值检验,使云污染 (尤其是夜间) 现象得到抑制。这些改进有利于提高海温产品的精度。
4 小结利用FY-3B/VIRR气象卫星资料和高精度浮标资料按1.1 km的空间分辨率和1 h的时间分辨率进行匹配,建立了自2012年8月—2013年3月的逐月全球匹配数据集,并在该基础上进行了回归建模和多算法精度评估,得到如下结论:
1) FY-3B/VIRR SST白天和夜间的最优算法均为NL算法。
2) 3.7 μm通道对夜间SST算法的贡献小于分裂窗通道。
3) 基于匹配数据集版本2的TC_N算法存在类似百叶窗的条带现象。
以2012年10—12月匹配数据集求得的回归系数、以2013年1—3月的独立样本进行反演海温的质量检验,与浮标海温相比,NL_D和NL_N算法的均方根误差分别为0.41℃和0.43℃。基于2013年4月5 min段L2 SST产品,反演海温和日平均OISST相比,NL_D和NL_N算法的均方根误差分别为1.45℃和1.5℃。选择与OISST偏差在2℃以内的样本,NL_D和NL_N算法的均方根误差分别为0.82℃和0.84℃。
为了平衡海温产品覆盖度与精度,提高海温产品的可用性,通过海温质量控制进行逐像元海温质量标识是下一步的工作重点。
致谢 本工作得到国家卫星气象中心许健民院士的大力支持与悉心指导,也得到了卢乃锰研究员、张甲珅研究员、杨忠东研究员和唐世浩研究员的大力支持与帮助,在此表示感谢。感谢美国国家海洋与大气管理局卫星应用研究中心 (NOAA/NESDIS/STAR) 提供的现场海温和NOAA-19/AVHRR匹配数据集,感谢美国国家海洋与大气管理局国家气候中心 (NOAA/NCDC) 提供的雷诺兹最优插值海温OISST数据,感谢美国国家海洋与大气管理局地球系统研究实验室 (NOAA/ESRL) 提供的30年月平均海温。| [1] | 杨军, 董超华. 新一代风云极轨气象卫星业务新产品及应用. 北京: 科学出版社, 2010. |
| [2] | Minnett P. The regional optimization of infrared measurements of sea surface temperature from space. Journal of Geophysical Research: Oceans (1978-2012), 1990, 95, (C8): 13497–13510. DOI:10.1029/JC095iC08p13497 |
| [3] | Barton I, Cechet R. Comparison and optimization of AVHRR sea surface temperature algorithms. J Atmos Ocean Technol, 1989, 6: 1083–1089. DOI:10.1175/1520-0426(1989)006<1083:CAOOAS>2.0.CO;2 |
| [4] | Prabhakara C, Dalu G, Kunde V G. Estimation of sea surface temperature from remote sensing in the 11-to 13-μm window region. J Geophys Res, 1974, 79, (33): 5039–5044. DOI:10.1029/JC079i033p05039 |
| [5] | McClain E P, Pichel WG, Walton C C. Comparative performance of AVHRR-based multichannel sea surface temperatures. J Geophys Res, 1985, 90, (11): 11587–11601. |
| [6] | Cornillon P, Gilman C. Processing and analysis of large volumes of satellite-derived thermal infrared data. Journal of Geophysical Research:Oceans (1978-2012), 1987, 92, (C12): 12993–13002. DOI:10.1029/JC092iC12p12993 |
| [7] | Walton C, Pichel W. The development and operational application of nonlinear algorithms for the measurement of sea surface temperatures with the NOAA polar-orbiting environmental satellites. J Geophys Res, 1998, 103, (C12): 27999–28012. DOI:10.1029/98JC02370 |
| [8] | Walton C C. Nonlinear multichannel algorithms for estimating sea surface temperature with AVHRR satellite data. J Applied Meteor, 1988, 27: 115–124. DOI:10.1175/1520-0450(1988)027<0115:NMAFES>2.0.CO;2 |
| [9] | Li X, Pichel W, Maturi E, et al. Deriving the operational nonlinear multichannel sea surface temperature algorithm coefficients for NOAA-15 AVHRR/3. Int J Remote Sens, 2001, 22, (4): 699–704. DOI:10.1080/01431160010013793 |
| [10] | Wu X Q, Paul W M, Gary S W. Estimation of sea surface temperatures using GOES-8/9 radiance measurements. Bull Amer Meteor Soc, 1999, 80: 1127–1138. DOI:10.1175/1520-0477(1999)080<1127:EOSSTU>2.0.CO;2 |
| [11] | François C, Brisson A. Definition of a radiosounding database for sea surface brightness temperature simulations:Application to sea surface temperature retrieval algorithm determination. Remote Sens Environ, 2002, 81, (2): 309–326. |
| [12] | 王保华. 极轨气象卫星业务产品SST反演方法及精度检验. 气象科技, 2001, 29, (1): 27–30. |
| [13] | 许健民, 杨军, 张志清, 等. 我国气象卫星的发展与应用. 气象, 2010, 36, (7): 94–100. DOI:10.7519/j.issn.1000-0526.2010.07.016 |
| [14] | 李俊, 方宗义. 卫星气象的发展——机遇与挑战. 气象, 2012, 38, (2): 129–146. DOI:10.11898/1001-7313.20120201 |
| [15] | 陈丽娟, 袁媛, 杨明珠, 等. 海温异常对东亚夏季风影响机理的研究进展. 应用气象学报, 2013, 24, (5): 521–532. DOI:10.11898/1001-7313.20130502 |
| [16] | 袁杰, 巩远发, 魏凤英, 等. 关键区海温年代际异常对我国东部夏季降水影响. 应用气象学报, 2013, 24, (3): 268–277. DOI:10.11898/1001-7313.20130302 |
| [17] | 韩雪, 魏凤英, 董敏, 等. 统计预报海温场驱动的CAM3.1模式预报试验. 应用气象学报, 2009, 20, (3): 303–311. DOI:10.11898/1001-7313.20090306 |
| [18] | 杨素雨, 严华生. 冬季北太平洋南北海温异常对我国汛期雨带类型的影响研究. 应用气象学报, 2007, 18, (2): 193–201. DOI:10.11898/1001-7313.20070233 |
| [19] | 李秀萍, 罗勇, 郭品文, 等. 春夏季赤道中东太平洋海温异常变化与东亚夏季风关系的研究. 应用气象学报, 2006, 17, (2): 176–182. DOI:10.11898/1001-7313.20060208 |
| [20] | 周晓霞, 王盘兴, 祝昌汉, 等. 全球海温异常年代际分量的方差贡献及其与中国气候异常的相关. 应用气象学报, 2005, 16, (1): 96–104. DOI:10.11898/1001-7313.20050113 |
| [21] | Martin S. 蒋兴伟, 译. 海洋遥感导论. 北京: 海洋出版社, 2008. |
| [22] | Ignatov A.GOES-R Advanced Baseline Imager Algorithm Theoretical Basis Document for Sea Surface Temperature.2010.[2013-07-26]. http://www.goes-r.gov/products/ATBDs/baseline/baseline-SST-v2.0.pdf. |
| [23] | Dash P, Ignatov A, Kihai Y, et al.The SST quality monitor (SQ UAM).J Tech, 2010:27, doi:10.1175/2010JTECHO756.1, 1899-1917. doi:10.1175/2010JTECHO756.1. |
| [24] | 王素娟, 陆风, 张鹏, 等. FY2海面温度产品质量检验方法与误差分析. 气象, 2013, 39, (10): 1331–1336. DOI:10.7519/j.issn.1000-0526.2013.10.011 |
| [25] | Kilpatrick K A, Podesta G P, Evans R. Overview of the NOAA/NASA advanced very high resolution radiometer Pathfinder algorithm for sea surface temperature and associated matchup database. J Geophys Res, 2001, 106, (C5): 9179–9197. DOI:10.1029/1999JC000065 |
| [26] | 毛志华, 朱乾坤, 潘德炉. 卫星遥感业务系统海表温度误差控制方法. 海洋学报, 2003, 25, (5): 49–57. |
2014, 25 (6): 701-710



