2. 中国气象局气象探测中心,北京 100081
2. Meteorological Observation Center, CMA, Beijing 100081
雨滴谱数据对于雷达定量测量降水、云物理研究以及人工增雨至关重要。采用PPP (脉冲对处理) 信号处理方式的天气雷达无法直接给出雨滴谱数据,而风廓线雷达是由功率密度函数 (简称功率谱) 进行信息提取,可以获得降水粒子的多普勒速度分布[1],所以风廓线雷达用于降水探测时有条件给出雨滴谱分布[2-3]。
Wakasugi等[4]假设近地面雨滴谱在服从M-P分布的条件下,利用VHF风廓线雷达估测雨滴谱, Ohno等[5]在以近地面雨滴谱为Gamma分布的假设条件下,用简化的方法利用VHF风廓线雷达资料得到降水率和Z-I之间关系;Kirankumar等[6]及Peters等[7]利用反卷积处理技术对雨滴谱进行反演。近几年,国内也利用风廓线雷达对雨滴谱反演进行了相应研究。黄伟等[8]通过连续方程,利用风廓线雷达5个波束的数据得到大气垂直运动速度,并根据垂直指向波束测出的功率谱反演出雨滴谱;王晓蕾等[9]考虑了气流与降水谱的双峰问题,并用简便方法将其区分后反演得到雨滴谱。
本文采用双高斯拟合方法对布设在北京延庆CFL-08型风廓线雷达获取的降水功率谱资料进行处理,并对雨滴谱进行反演。反演结果表明:双高斯拟合区分湍流谱和降水谱是一种较为方便可行的方法,对风廓线雷达资料反演雨滴谱和风场质量控制具有实用价值。
1 双高斯拟合反演雨滴谱原理和方法降水时,风廓线雷达的返回信号中既有大气湍流产生的信号,又有降水粒子产生的信号,且降水信号一般占主要成分, 湍流与降水回波并存的特点决定了风廓线雷达不但可以用于大气风场探测,获得大气折射率结构常数等参量[10],也完全可以用于探测降水[11-12]。在降水情况下,风廓线雷达探测到的功率谱密度数据中包含了大气湍流、降水粒子等多种回波信号[13],并在结构形式上表现为双峰结构。为了得到精度较高的雨滴谱分布数据,利用双高斯拟合方法将降水谱和湍流谱区分开,然后用去除湍流谱影响的降水谱进行雨滴谱反演。
1.1 双高斯拟合条件对流层风廓线雷达的回波信号产生机制主要为湍流散射[1]。在晴空条件下,假设雷达脉冲体积内为均匀各向同性湍流,在研究湍流脉动量的统计性质时,根据中心极限定理,由于不同尺度的湍块相互之间存在随机相对运动,且其散射特性可以看作相互统计独立,所以湍流脉动量可以看作正态分布[14],因此忽略杂波的干扰,大气湍流回波信号概率分布可以看作正态分布。在湍流速度为高斯分布的大气中,直径为D的降水粒子存在随机的相对运动,使降水回波信号呈涨落特性,粒子的速度概率分布WD (v)[15]为
|
(1) |
式 (1) 中,vD是直径为D的粒子的平均运动速度,vS为其瞬时速度,σ2 (D) 是该粒子的速度方差。由式 (1) 可以看到,粒子的速度概率分布明显呈高斯分布形式,所以大气湍流和降水粒子的回波信号概率分布均可以看作高斯型[16-17]。
风廓线雷达获得的是大气湍流和降水粒子返回信号的功率谱[1],通过对风廓线雷达200个低模式数据的5000个库进行高斯拟合 (包括单高斯和双高斯),发现拟合结果的相关系数为0.868~0.995,其中相关系数超过0.9的占75.22%,相关系数越接近于1,表明拟合的结果与实际值越接近,拟合效果越好,因此利用双高斯拟合处理风廓线雷达功率谱数据并估算雨滴谱具有一定的可行性。
1.2 降水天气下的功率谱设风廓线雷达实测的气流垂直速度为v,vT为假设垂直气流速度为零时,雨滴重力、浮力和摩擦阻力达到平衡时的雨滴下降末速度,因此雨滴实际下降速度w是雨滴下降末速度与气流垂直速度v的矢量和,即
|
(2) |
雷达在实际探测中获得的雨滴散射功率谱sr (w) 和假设垂直气流速度为零的环境中雨滴散射功率谱sr (vT) 的谱型完全相同,但由于大气湍流作用[1],使sr (w) 在速度轴上有v的偏移。
在垂直气流速度为v的环境,雨滴散射功率谱sr (w) 可表示为
|
(3) |
式 (3) 中,⊗表示卷积运算,sr (vT) 表示气流垂直速度为零时的雨滴散射功率谱,ρ (v) 是归一化湍流信号功率谱st (v),可表示为
在降水天气下,风廓线雷达测到的功率谱是湍流信号功率谱st (v) 和雨滴散射功率谱sr (w) 的叠加,即
|
(4) |
在谱型上表现为双峰结构。
1.3 双高斯拟合过程通过对功率谱数据进行双高斯拟合,可将原本的离散点函数化,根据高斯公式,大气湍流功率谱数据可表示为
|
(5) |
降水粒子返回信号功率谱数据可以表示为
|
(6) |
其中, a1是气流谱波峰的高度,b1是气流谱波峰的位置,c1是气流谱波峰谱宽的一半;a2是降水谱波峰的高度,b2是降水谱波峰的位置,c2是降水谱波峰谱宽的一半。
1.4 雨滴谱反演原理Gunn等[18]得出,在垂直气流速度为零的条件下,雨滴的下降末速度vT (D) 与雨滴直径 (D) 存在对应关系,即
|
(7) |
式 (7) 中,C1=9.65 m·s-1,C2=10.3 m·s-1,D为粒子直径,该式的适用条件是雨滴直径范围为0.06 cm≤D≤0.58 cm,其误差不超过3%。
设单个降水粒子返回信号功率密度为Pr (D),粒子数密度为N (D),则降水返回信号的功率谱密度可表示为
|
(8) |
风廓线雷达也属于多普勒天气雷达,利用雷达气象方程时,雷达常数与常规雷达相比可能有一些差异,但差别不大,可以忽略不计[1]。根据雷达气象方程[15]
|
(9) |
其中, Pt为辐射功率,l为馈线损耗,h为一个脉冲时间电磁波传播的距离,G为天线增益,θ为水平波瓣宽度,φ为垂直波瓣宽度,λ为雷达波长,R为探测距离,Di为粒子直径。在风廓线雷达的参数确定后,可直接通过该方程确定Pr (D),用雷达探测的降水粒子返回信号功率谱分布估算得到N (D),即雷达采样部位上的雨滴谱分布。
1.5 双高斯拟合反演雨滴谱流程风廓线雷达输出功率谱经过雷达定标曲线定量定标[19]、去噪等得到雷达天线阵面功率谱,由雷达方程获得较为精确的取样体积内信号功率谱;对其进行双峰分离处理,得到降水谱和空气湍流谱,去除湍流谱对降水谱的影响,可以获得较为精确的静止大气的降水谱。再根据降水粒子与直径的关系和雷达气象方程,可以反演出雨滴谱。流程如图 1所示。
|
|
| 图 1. 双高斯拟合反演雨滴谱流程图 Fig 1. The flow chart of raindrop size distribution retrivals | |
2 资料与分析 2.1 风廓线雷达资料处理 2.1.1 去除噪声
风廓线雷达接收的回波信号包含了气象信号和噪声信号,而噪声信号主要包括雷达本机噪声和大气背景噪声。由于平均噪声功率的精度直接影响到信噪比、谱宽、Cn2等产品的精度,因此在谱数据进一步处理前,必须先求出原始谱平均噪声功率。本文通过确定噪声功率密度门限的方法来确定平均噪声功率,从而将噪声信号去除。
2.1.2 双高斯拟合晴空大气返回信号功率谱密度S (vi) 的一阶矩v为大气运动平均多普勒速度,即
|
(10) |
式 (10) 中,Δvi为单位速度间隔。
由式 (5) 和式 (10),对拟合得到的大气湍流谱st (v) 进行一阶矩,求算出实际大气的运动速度,消除大气垂直运动对雨滴功率谱的影响,得到静止空气中降水粒子的雨滴功率谱,在图上表现为谱线位置的偏移,偏移的距离为v (图 2)。
|
|
| 图 2. 双峰分离及处理 Fig 2. The separation and treatment of double peaks | |
2.1.3 雨滴谱反演
大量观测结果表明,雨滴谱分布一般遵从负指数分布[20],即M-P分布,可用式 (11) 来描述:
|
(11) |
式 (11) 中,N0为雨滴谱分布的浓度参数,λ为尺度参数。利用消除湍流影响的降水谱,根据式 (11) 反演得到雨滴谱分布。
2.2 双高斯拟合应用实例通过对不同强度的降水资料和不同降水类型的降水资料利用双高斯拟合估算雨滴谱,验证该方法的有效性。
2.2.1 雷达参数本文所用试验资料来自北京延庆的UHF频段风廓线雷达,雷达型号为CFL-08,雷达采用五波束模式探测,分别指向天顶、东、南、西、北5个方向,其中倾斜波束与天顶夹角为14°,相应的雷达参数如表 1所示。
|
|
表 1 雷达参数 Table 1 Parameters of radar |
2.2.2 弱降水与强降水
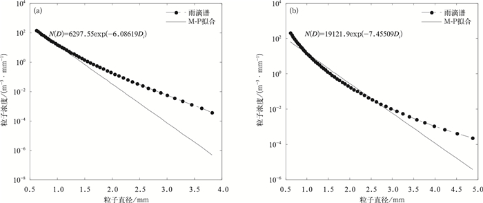
图 3a为2006年8月25日20:45 (北京时,下同) 北京一次降水过程的初始阶段,降水较弱。由图 3a可以看出,在2000 m以上高度出现明显双峰结构,而在2000 m以下双峰不明显。图 3b为2012年7月21日11:05北京一次降水过程的中间阶段,降水较强。由图 3b可以看出,在整个探测高度,功率谱数据呈现明显的双峰结构,分别取2670 m和1590 m高度的功率谱数据进行雨滴谱估计,结果如图 4所示。由图 4可以看出,用分离出的降水谱反演雨滴满足负指数分布,与M-P分布拟合度较高。
|
|
| 图 3. 风廓线雷达垂直波束在2006年8月25日20:45 (a) 和2012年7月21日11:05 (b) 探测的25个距离库的功率谱密度分布 Fig 3. The density of return signal power at 25 different heights detected by the wind profile radar vertical sounding at 2045 BT 25 Aug 2006 (a) and 1105 BT 21 Jul 2012 (b) | |
|
|
| 图 4. 2006年8月25日20:45 2670 m高度 (a) 和2012年7月21日11:05 1590 m高度 (b) 雨滴谱分布 Fig 4. The raindrop size distribution from wind profile radar at the height of 2670 m | |
2.2.3 层状云降水与对流型降水
图 5a为2006年8月25日21:42北京多普勒天气雷达在0.5°仰角探测的降水回波图,图 5b为2012年4月24日03:00北京多普勒天气雷达在1.5°仰角探测的降水回波图。由图 5可以看出,2006年8月25日和2012年4月24日北京延庆地区分别出现对流型降水和层状云降水。本文所采用的风廓线雷达位于如图红点所示的位置,风廓线雷达采用低模式探测,起始探测高度为150 m,结束探测高度为3030 m,时间分辨率为6 min,其中每探测1次,能获取25个距离库的信号功率谱资料。由图 6可以看出,在两次探测过程中,功率谱均呈现出明显的双峰结构,但由于2012年4月24日层状云降水的云底较低,因此在1500 m以上高度降水不明显。
|
|
| 图 5. 2006年8月25日21:42 (a) 和2012年4月24日03:00 (b) 北京地区雷达回波图 Fig 5. The radar echoes of Beijing Region at 2142 BT 25 Aug 2006 (a) and 0300 BT 24 Apr 2012 (b) | |
|
|
| 图 6. 风廓线雷达垂直波束在2006年8月25日21:42 (a) 和2012年4月24日03:00 (b) 探测的25个距离库的功率谱密度分布 Fig 6. The density of return signal power at 25 different heights detected by the wind profile radar vertical sounding at 2142 BT 25 Aug 2006 (a) and 0300 BT 24 Apr 2012 (b) | |
图 7和图 8给出的是2006年8月25日21:00和2012年4月24日03:00观测资料的某一确定高度上双高斯拟合结果和相对应高度上的雨滴谱反演结果,其垂直速度如图中湍流谱波峰位置值,分别为-0.43 m·s-1,0.004 m·s-1;其对应的雨滴谱参数N (D) 和λ分别为5101.71,-5.77和3156.49,-6.00。
|
|
| 图 7. 2006年8月25日1350 m高度功率谱分布和双高斯拟合结果 (a) 以及雨滴谱分布 (b) Fig 7. The density of return signal power and the result of double-Gauss fitting (a) and raindrop size distribution (b) at the height of 1350 m on 25 Aug 2006 | |
|
|
| 图 8. 2012年4月24日1230 m高度功率谱分布和双高斯拟合结果 (a) 以及雨滴谱分布 (b) Fig 8. The density of return signal power and the result of double-Gauss fitting (a) and raindrop size distribution (b) at the height of 1230 m on 24 Apr 2012 | |
由反演得到的雨滴谱可以看出,利用双高斯拟合方法反演得到的雨滴谱在结构上均呈指数分布形式,且与降水强度和降水类型关系不明显。
2.3 结果分析与评估对2006年的降水资料进行双高斯拟合相关系数统计 (如图 9所示)。由图 9可以看出,除了第1个库的相关系数小于0.9以外,其余均高于0.92,说明利用双高斯模型对具有双峰结构的功率谱数据进行拟合,具有较高的拟合度。
|
|
| 图 9. 2006年8月25日21:00 25个库双高斯拟合相关系数分布 Fig 9. The distribution of 25 coefficients of determination at 2100 BT 25 Aug 2006 | |
图 10给出的是对流型降水和层状云降水雨滴谱参数分布。由于本次所采用的层状云降水过程资料云底较低,因此在1.5 km高度以上降水不明显,所以只对其进行了10个库的雨滴谱分布估计。由图 10可以看出,对流型降水的尺度参数明显比层状云降水的尺度参数小,而浓度参数比层状云降水大。这基本与宫福久等[21]和陈宝君等[22]给出的3类降水云的雨滴谱分布结论相符合。其中,层状云降水的浓度参数随高度增加而增加,而对流型降水随着高度的增加变化趋势不明显,拟合的N0和λ值均在大气微波现有研究[23-24]给出的雨滴谱分布参量的范围之内。
|
|
| 图 10. 各个高度上λ (a) 和N0 (b) 的分布 Fig 10. Distributions of λ (a) and N0 (b) at different heights | |
3 小 结
本文利用设在北京延庆的CFL-08风廓线雷达降水资料,对其中不同高度的功率谱数据进行双高斯拟合,并利用拟合结果估算了不同类型降水不同高度上的雨滴谱分布,得到以下结论:
1) 在降水条件下,由于降水粒子的影响,导致风廓线雷达探测的水平风场紊乱。通过高斯拟合可将风廓线雷达返回信号中大气湍流信号和降水信号分离开,这对于水平风场的质量控制有很大作用。
2) 利用高斯拟合将大气信号和降水信号剥离,从而获得校正后的降水谱分布,进而求出较为精确的雨滴谱分布,该方法可行且可靠。
3) 通过对比对流型降水资料和层状云降水资料的处理结果可知,雨滴谱浓度参数层状云降水比对流型降水小,就雨滴谱尺度参数而言,积雨云平均尺度小,而层状云平均尺度大。这是由于积雨云雨滴数密度大,小滴特别多造成的。
降水过程十分复杂,利用风廓线雷达资料估算雨滴谱还存在很多问题,如降水对电磁波的衰减作用,大气湍流对功率谱的展宽及修正问题等。本文未对降水谱sr (vT)⊗ρ (w) 进行反卷积求出降水谱sr (vT),而是直接用sr (vT) 代替sr (vT)⊗ρ (w) 会对结果造成一定的误差,但在空气谱较窄的情况下,该误差较小,影响不明显。
| [1] | 何平. 相控阵风廓线雷达. 北京: 气象出版社, 2006. |
| [2] | 尹忠海, 张沛源. 利用卡尔曼滤波校准方法估算区域降水量. 应用气象学报, 2005, 16, (2): 213–219. DOI:10.11898/1001-7313.20050226 |
| [3] | 何平, 李柏, 吴蕾, 等. 确定风廓线雷达功率谱噪声功率方法. 应用气象学报, 2013, 24, (3): 297–303. DOI:10.11898/1001-7313.20130305 |
| [4] | Wakasugi K, Mizutani A, Matsuo M, et al. A direct method for deriving drop-size distribution and vertical air velocities from VHF Doppler radar spectra. J Atmos Ocean Technol, 1986, 3, (4): 623–629. DOI:10.1175/1520-0426(1986)003<0623:ADMFDD>2.0.CO;2 |
| [5] | Ohno Y, Williams C R, Gage K S.Simplified Method for Rain Rate and Z-R Relation Estimation Using UHF Wind Profiler.29th International Conference on Radar Meteorology, 1999. |
| [6] | Kirankumar N V P, Rao T N, Radhakrishna B, et al. Statistical characteristics of raindrop size distribution in southwest monsoon season. Journal of Applied Meteorology & Climatology, 2008, 47, (2): 576–590. |
| [7] | Peters G, Fischer B, Münster H, et al. Profiles of raindrop size distributions as retrieved by microrain radars. J Appl Meteor, 2005, 44, (12): 1930–1949. DOI:10.1175/JAM2316.1 |
| [8] | 黄伟, 张沛源, 葛润生. 风廓线雷达估测雨滴谱参数. 气象科技, 2002, 30, (6): 334–340. |
| [9] | 王晓蕾, 阮征, 葛润生, 等. 风廓线雷达探测降水云体中雨滴谱的试验研究. 高原气象, 2010, 29, (2): 498–505. |
| [10] | 张旭, 周秀骥. 大气折射率结构系数的观测实验. 应用气象学报, 1994, 5, (1): 19–26. |
| [11] | 何平, 朱小燕, 阮征, 等. 风廓线雷达探测降水过程的初步研究. 应用气象学报, 2009, 20, (4): 465–470. |
| [12] | 阮征, 葛润生, 吴志根. 风廓线仪探测降水云体结构方法的研究. 应用气象学报, 2002, 13, (3): 330–338. |
| [13] | Griesser T, Richner H. Multiple peak processing algorithm for identification of atmospheric signals in Doppler radar wind profiler spectra. Meteorologische Zeitschrift, 1998, 7, (6): 292–302. |
| [14] | 胡非. 湍流、间隙性与大气边界层. 北京: 科学出版社, 1995. |
| [15] | 张培昌, 杜秉玉, 戴铁丕. 雷达气象学. 北京: 气象出版社, 2001. |
| [16] | 费利那A, 斯塔德FA. 雷达数据处理. 北京: 国防工业出版社, 1988. |
| [17] | 智永锋, 张俊, 杨棅政. 基于最大似然估计的一种新的信号处理方法. 西北工业大学学报, 2008, 4: 180–183. |
| [18] | Gunn R, Kinzer G D. The terminal velocity of fall for water droplets in stagnant air. Journal of Meteorology, 1949, 6, (4): 243–248. DOI:10.1175/1520-0469(1949)006<0243:TTVOFF>2.0.CO;2 |
| [19] | 钟刘军, 阮征, 葛润生, 等. 风廓线雷达回波信号强度定标方法. 应用气象学报, 2010, 21, (5): 598–603. DOI:10.11898/1001-7313.20100509 |
| [20] | Marshall J S, Palmer W M K. The distribution of raindrops with size. Journal of meteorology, 1948, 5, (4): 165–166. DOI:10.1175/1520-0469(1948)005<0165:TDORWS>2.0.CO;2 |
| [21] | 宫福久, 刘吉成, 李子华. 三类降水云雨滴谱特征研究. 大气科学, 1997, 21, (5): 607–614. |
| [22] | 陈宝君, 宫福久. 三类降水云雨滴谱分布模式. 气象学报, 1998, 56, (4): 506–512. DOI:10.11676/qxxb1998.046 |
| [23] | 张培昌, 王振会. 大气微波遥感基础. 北京: 气象出版社, 1995: 88–96. |
| [24] | 郑娇恒, 陈宝君. 雨滴谱分布函数的选择:M-P和Gamma分布的对比研究. 气象科学, 2007, 27, (1): 17–25. |
2014, 25 (5): 570-580



