2. 中国气象局兰州干旱气象研究所,甘肃省干旱气候变化与减灾重点实验室,中国气象局干旱气候变化与减灾重点开放实验室,兰州 730020;
3. 甘肃省气象局,兰州 730020;
4. 中国人民解放军93801部队,武功 712200
2. Institute of Arid Meteorology, Key laboratory of Arid Climatic Change and Reducing Disaster of Gansu Province, Key Open Laboratory of Arid Climatic Change and Disaster, Reduction, CMA, Lanzhou 730020;
3. Gansu Provincial Meteorological Bureau, Lanzhou 730020;
4. 93801 Army of PLA, Wugong 712200
地表粗糙度是陆面过程中的一个重要参数[1]。从空气动力学角度出发,风速廓线上风速为零的位置被定义为地表粗糙度,也称为空气动力学粗糙度。地气相互作用通过改变辐射、地表通量以及土壤热交换等一系列反馈过程影响大气环流,而空气动力学粗糙度反映了地表特征对大气湍流的阻抗作用,是描述陆地表面动量、能量和物质交换与输送重要参数之一,准确估算不同下垫面状况下的空气动力学粗糙度对边界层模式、地气相互作用以及沙尘暴和土壤风蚀有着十分重要的意义[2-5]。
粗糙度长期以来被作为仅与下垫面几何粗糙度有关的空气动力学常数[6],但在应用中人们发现自然界地表多具有非均匀复杂性。对于均匀平坦下垫面,空气动力学粗糙度除了与植被特征有关外,还与风速、摩擦速度以及大气稳定度等因子关系密切。对于非均匀地表,空气动力学粗糙度还与风向有关。另外,地形起伏也会使粗糙度增大[7]。因此,空气动力学粗糙度是粗糙元几何粗糙度以及气流状况相互作用的综合结果[8-12]。有研究对不同下垫面粗糙度和动力因子和热力因子的关系进行了分析,并且给出了拟合关系式[13-14]。粗糙度还有一定的气候效应,对撒哈拉沙漠的降水研究发现,撒哈拉沙漠粗糙度减小时,降水也会明显减小[15]。有研究表明,地表粗糙度的改变总体上受降水影响[16]。降水和气温会直接影响生长季植被的覆盖和高度,从而影响粗糙度的分布[17-18]。
黄土高原地处我国西北地区东部,幅员辽阔,属于半干旱区,由黄土塬、川、沟壑、山、梁、峁、坪等地貌组成,下垫面情况十分复杂。黄土高原海拔为1000~1500 m,年降水量为164~800 mm,气候干躁,降水量少且集中为暴雨,属于温和半湿润气候区向温和半干旱、干旱气候区的过渡带,也是气候变化的敏感地区。黄土高原下垫面表面特征复杂多样,地形起伏变化,这为确定该地区的各陆面参数以及分析陆面参数特征增加了难度。黄土高原降水和气温会直接影响生长季植被的覆盖和高度,因此降水的作用在干旱、半干旱区更突出[19]。
以往研究常忽略地表粗糙度的时间变化特征,即使为均匀地表,由于植被类型不同以及季节变换导致的植物生长状况发生变化等原因,空气动力学粗糙度表现出随植被叶面积指数等因子变化明显。而对于非均匀地表,空气动力学粗糙度不仅随植被状况发生变化,还随风向、风速及摩擦速度等因子变化[7]。对于非均一性下垫面,风速廓线不仅包含了局地下垫面的信息,还包含了气流上游下垫面的信息,所以粗糙度的变化比较复杂[20]。新的观测手段促进了陆面参数新计算方法的发展,同时也拓展了复杂下垫面和非理想观测场地获取具有准确下垫面代表性陆面参数的思路[21]。高志球等[22]利用单层超声风速、温度资料估算非均匀下垫面空气动力学参数的方法, 计算了中国科学院大气物理研究所气象塔附近的下垫面空气动力学粗糙度和零平面位移。
气候和中尺度数值模拟结果对近地层动量和热量通量极为敏感[23], 下垫面的粗糙度对大气边界层湍流特征影响大[24],在近地层湍流动量输送系数计算方案中具有重要作用[25]。目前,虽然有学者对空气动力学粗糙度的时间变化做过一些研究[17-18],但很少有研究提供可用于大气数值模式的、能客观反映空气动力学粗糙度动态变化的参数化关系式。许多野外科学试验确定的表面空气动力学粗糙度也许只能代表典型下垫面空气动力学粗糙度的平均状态,而并不能描述空气动力学粗糙度的动态变化特征,这意味着目前大气数值模式中植被下垫面空气动力学粗糙度的参数化存在明显局限性。
本文利用黄土高原陆面过程观测与试验研究项目 (LOPEX) 参与方兰州大学半干旱气候与环境观测站 (SACOL) 的资料,计算自然植被下垫面下的空气动力学粗糙度,系统分析了其年变化特征,考虑到地形、植被物理特征以及降水和热力条件,探讨了其影响机制,为建立更合理的植被下垫面空气动力学粗糙度参数化关系提供参考。
1 观测场地和观测数据兰州大学半干旱气候与环境观测站 (Semi-Arid Climate and Environment Observatory of Lanzhou University,SACOL) 位于兰州大学榆中校区海拔1965.8 m的萃英山顶上 (35.946°N,104.137°E),属温带半干旱气候,年平均气温为6.7℃,平均年降水量为381.8 mm,相对湿度为63%。山顶全年盛行西北和东南风,年平均风速约为1.6 m/s。观测场占地约8 hm2,下垫面属于典型的黄土高原地貌,塬面梁峁基本为原生植被,植被主要为低矮草地植被,生长圆蕨叶草、艾蒿、碱蓬等植被群落。地形开阔平坦,山顶环境基本属于自然状态,受人类活动的影响较小,观测的气候状况可以代表方圆几百公里半干旱地区气候状况。SACOL站观测环境见图 1a。有关SACOL站的数据应用已有很多,且取得了很好的结果。李宏宇等[18]等分析了陇中黄土高原自然下垫面陆面过程参数,张文煜等[20]利用SACOL站资料对黄土高原半干旱区非均一下垫面粗糙度特征进行了分析,Huang等[26]对黄土高原半干旱区气候与环境进行了研究,张强等[27]探讨了陇中黄土高原自然植被下垫面陆面过程及其参数对降水的响应,孙照萱等[28]对榆中地区陆面过程气候特征进行了研究。
|
|
| 图 1. SACOL站观测环境 (a) 及地形高度 (b) Fig 1. Observation environment (a) and topography (b) of SACOL Site | |
观测塔附近下垫面为半干旱草垫,生长季为4—9月。秋季植被覆盖较密,平均植株高度可达0.3 m;夏季其次,植株平均高0.24 m;春季约为0.15 m;冬季最小,约为0.1 m。图 1b为观测场周围地形图,由图 1b可以看出,观测场所处的翠英山脉大致呈西北—东南走向。观测场附近为黄土高原半干旱区非均一下垫面,以黄土塬岭为主,以观测塔为中心,在180°~230°方向为平坦的山脊。90°~160°方向为一狭长的山谷,谷底海拔约为1945 m,山谷边缘顺主导风向离塔约65 m,越过山谷为一山脊 (海拔约为1955 m),该山脊离塔约为300 m,宽约为50 m,其上有小片树林,平均株高不超过2 m,越过山脊为一宽大的山谷,谷底海拔约为1750 m。210°~330°方向有一宽阔山谷,谷底海拔约为1750 m,山谷边缘离塔约为60 m,底部离塔约为1 km,越过山谷为一山脊,海拔高约为1800 m,距塔约为2 km,该方向上山谷与山脊的植被类型同观测塔附近基本相同,谷底有小片农田[20]。
SACOL站主要观测项目包括脉动风速、温度、水汽浓度、二氧化碳浓度、感热、潜热通量和二氧化碳通量 (采样频率为10 Hz),土壤温度、土壤湿度、土壤热通量、降水和地表红外温度, 气温、湿度、风向和风速、大气压。梯度资料包括塔层气温和塔层湿度,观测高度为1, 2, 4, 8, 12, 16 m和32 m,通量观测主要包括近地层风温脉动、二氧化碳和水汽脉动,观测高度为3 m。
原始脉动数据分别经过去野点、二维坐标旋转、去趋势、超声虚温湿度订正以及WPL修正等步骤,得到湍流通量。文中所用资料为2006年6月—2010年12月的通量和梯度观测资料 (资料为30 min 1次平均)。
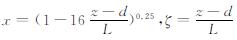
2 数据处理和计算方法含层结订正函数的近地面层风速廓线[29]为
|
(1) |
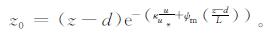
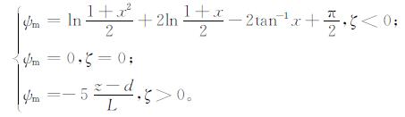
式 (1) 中,z0和d分别为空气动力学粗糙度和零平面位移高度 (单位:m),z为湍流仪器的架设高度 (单位:m),u(z) 为高度z处风速 (单位:m/s),k为卡曼常数 (取为0.4),u*为摩擦速度 (单位:m/s),L是Monin-Obukhov长度 (单位:m),ψm为近地面层风速的稳定度修正函数 (量纲为1)。其中,风速可直接观测得到,d可以由植被特征估算,对于高度为h的植被,d=2/3×h[30],因此根据观测场植被生长情况,分别取春、夏、秋、冬的d值为0.10,0.17,0.20 m和0.07 m;摩擦速度u*和Monin-Obukhov长度L可用通量资料简单计算;ψm可由下列公式计算:
|
(2) |
其中,
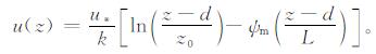
可根据式 (1) 推导出计算空气动力学粗糙度z0的公式:
|
(3) |
为了避免降水对通量资料的影响,从中选取非降水天气条件下的数据进行整理分析,非降水天气是在与降水天相隔2 d以上的基础上定义的。在资料选取方面,为了有效订正风廓线,仅选用|z/L|<2的数据进行分析[31];同时,考虑到静风或风小时资料误差大,在计算和分析梯度和涡动观测系统的风速观测资料时剔除水平风速小于1 m/s的资料[31]。下文中空气动力学粗糙度简称为粗糙度。
3 不同风向粗糙度动态变化SACOL站观测场周围地形地势较为复杂,包括山谷和山脊,属于非均一下垫面,不同风向的地形有所差别。因此首先将风向分为8个区间来研究不同风向的粗糙度的动态变化。图 2a给出了2006年6月—2010年12月8个风向区间的粗糙度月平均值变化图。从整体来看,粗糙度随着时间变化明显,这表明粗糙度的时间变化不能忽略。粗糙度呈一定的周期变化 (周期大致为1年),且不同年份粗糙度的峰值和谷值也有一定差别,表明粗糙度也有一定的年际变化。风向不同,粗糙度有很大差别。其中90°~135°和135°~180°风向粗糙度比较小,270°~315°和315°~360°风向的粗糙度大,变化趋势也不同。图 2b为2006年6月—2010年12月不同风向区间粗糙度年变化,不同风向区间的粗糙度不仅量级有差别,年变化趋势也是不同的。
|
|
| 图 2. 不同风向区间粗糙度2006年6月—2010年12月月平均值 (a) 及年变化 (b) Fig 2. Monthly mean change (a) and monolithic annual variation (b) of aerodynamic roughness length in different wind direction intervals from Jun 2006 to Dec 2010 | |
粗糙度随风向变化实质是随风浪区地形地势及粗糙元而变化[32]。通常风浪区为扇形作用区,对于非均匀地表,不同风向意味着扇形风浪区内粗糙元及其密度与分布均不同,植被影响气流的拖曳力大小,由风浪区粗糙元的几何粗糙度和气流共同作用引起的空气动力学粗糙度随风向而不同。统计不同风向区间的粗糙度平均值 (图 3) 可以看出,不同风向区间粗糙度大小有很大变化,甚至可以相差一个量级。在观测塔90°~160°方向为一狭长的浅谷,植被较测站周围而言较为稀疏和低矮,粗糙度最小;180°~230°方向为平坦的山脊,植被分布比较均匀,粗糙度稍大;210°~330°方向为一宽阔的深谷,且有植被覆盖,粗糙度最大。这是因为下垫面为非均一复杂下垫面,不同风向有植被和没有植被以及植被类型不同粗糙度差别很大。
|
|
| 图 3. 不同风向区间平均粗糙度 (单位:m) Fig 3. The averaged aerodynamic roughness length in different wind direction intervals (unit:m) | |
对于植被覆盖下垫面,地表粗糙状况及气流拖曳力大小受植被叶面积指数以及植被高度的影响。而植被变化主要是由于生长季和非生长季的差别。统计生长季和非生长季粗糙度平均值,生长季为0.09 m,非生长季为0.07 m,这是因为植被高度、密度以及叶面积指数在生长季比较大。
另外, 由图 4中生长季与非生长季粗糙度平均值随着风向的变化可以看出,90°~160°方向生长季和非生长季粗糙度基本上没有差别,说明这个方向影响粗糙度的主要因素不是植被,这与该方向的植被较为稀疏和矮小有关。而其他风向生长季和非生长季粗糙度有差别,说明植被是影响其变化的主要因素,与这些风向的植被特征也相符合。
|
|
| 图 4. 生长季和非生长季粗糙度随风向区间的变化 (单位:m) Fig 4. Variation of aerodynamic roughness length along with wind direction intervals in growing season and non-growing season (unit:m) | |
4 粗糙度年变化规律及其影响因素
由图 5的SACOL站风向频数玫瑰图可以看出,观测场地主导风向为东南风 (SE) 和西北风 (NW),这与SACOL站地形有很大关系。SACOL站所在山脉大致呈西北—东南走向,对东南风和西北风的阻挡作用比较弱。为比较东南、西北两个方向上游不同下垫面对测点粗糙度的影响,将所有的数据资料分别按照112.5°~157.5°代表东南方向,270°~337.5°代表西北方向,分析粗糙度随时间变化。东南风向的粗糙度平均值为0.015 m,西北风向的粗糙度平均值为0.123 m,根据曾剑等[33]和冯建武等[17]研究,东南风向粗糙度的量级与稀疏植被下垫面如退化草地量级相当,可视为植被对粗糙度的影响很小,可忽略;西北风向为草地下垫面,但粗糙度量级与农田下垫面量级相当,因为西北风向地形的起伏也使粗糙度增大了。粗糙度随着风速是减小的,而东南风向风速平均值为4.1 m/s, 明显大于西北风向的2.3 m/s,这可能是地形造成的。
|
|
| 图 5. SACOL站风向频数玫瑰图 Fig 5. Wind frequency rose of SACOL Site | |
由于降水等因素的影响,粗糙度会有一定的年际变化,为了消除不同年份之间粗糙度大小不同造成的影响,这里引入归一化粗糙度z0/za分析粗糙度的年变化。其中, za代表各个年份粗糙度的年平均值。图 6为两个风向区间归一化粗糙度的年变化。由图 6可以看出,东南和西北两个风向的归一化粗糙度随时间的分布差别很大,变化趋势相反。东南风向1月、2月粗糙度较大,然后逐渐下降,7月、8月最小,随后又增加;西北风向1月、2月较小,然后逐渐增加,6月、7月达到最大,随后又逐渐减小。东南风向影响粗糙度的主要因素不是植被,而由于该方向植被较为稀疏矮小,可忽略植被的影响,可以推测粗糙度年变化与稳定度年变化相关。图 7a为稳定度的年变化,可以看出,东南风向归一化粗糙度的年变化趋势与稳定度的年变化趋势一致。西北风向粗糙度主要受植被影响,而降水对植被的影响很大。由图 7b可知,西北风向归一化粗糙度年变化与降水量年变化较一致。因为榆中地处黄土高原半干旱区,下垫面为自然植被,降水和气温会直接影响生长季植被的覆盖和高度,植被覆盖的变化进而改变地表粗糙度,所以粗糙度与降水的变化趋势较一致。可见在榆中地区,从降水对粗糙度的间接作用来看,降水增多有利于西北地区防风固沙以及生态系统的恢复。
|
|
| 图 6. 归一化粗糙度年变化及其与时间拟合曲线 (a) 东南风向,(b) 西北风向 Fig 6. Annual variation of normalized aerodynamic roughness length and fits for relation between roughness length and time in two wind directions of southeast (a) and northwest (b) | |
|
|
| 图 7. 稳定度 (a) 与降水量 (b) 年变化 Fig 7. Annual variations of stability (a) and precipitation (b) | |
图 8给出了归一化粗糙度与稳定度和降水量相关性散点图,东南风向和西北风向的归一化粗糙度分别与稳定度和降水量有较好的相关关系,相关系数分别为0.42和0.67。即东南风向归一化粗糙度随着稳定度的增大而增大,粗糙度的年变化趋势与稳定度相关;而西北风向归一化粗糙度随着降水量的增大而增大,粗糙度的年变化趋势与降水量相关。
|
|
| 图 8. 东南风向归一化粗糙度与稳定度 (a) 及西北风向归一化粗糙度与降水量 (b) 散点分布 Fig 8. Scatter plots of normalized aerodynamic roughness length in the southeast with stability (a) and normalized roughness length in the nrothwest with precipitation (b) | |
由图 6可知,总体来说,粗糙度与时间有较好的相关性。可给出归一化粗糙度与时间的参数化关系,用下面一组正弦函数来表示:
|
(4) |
其中,t为时间,以月为单位;wd表示风向。拟合关系式相关系数分别达到0.49和0.82,标准差分别为0.2323和0.1981。该式对陆面过程模式中定量描述植被下垫面动态变化的粗糙度有参考意义。
5 结论与讨论本文利用SACOL站资料研究粗糙度的年变化特征及其影响机理,主要结论如下:
1) SACOL站下垫面为非均一复杂下垫面,不同风向有植被和没有植被以及植被类型不同粗糙度差别很大,大小甚至可以相差一个量级,且生长季粗糙度明显大于非生长季。
2) 根据盛行风向以及地形特征选取两个风向区间,东南风向的粗糙度平均值为0.015 m,粗糙度量级与稀疏植被下垫面如退化草地量级相当,可忽略植被;西北风向的粗糙度平均值为0.123 m,粗糙度量级与农田下垫面量级相当。
3) 东南和西北两个风向的归一化粗糙度随时间分布差别大,变化趋势相反。东南风向归一化粗糙度与稳定度年变化较一致, 西北风向归一化粗糙度与降水量年变化较一致。两个风向归一化粗糙度与时间的参数化关系可以用一组正弦函数来表示。
致谢 兰州大学半干旱气候与环境观测站 (SACOL) 提供了陆面过程资料,中国气象局兰州干旱气象研究所的沙莎为本论文提供了帮助,在此表示感谢。| [1] | 史学丽. 陆面过程模式研究简评. 应用气象学报, 2001, 12, (1): 102–112. |
| [2] | Wang G Y, Huang J P, Guo W D, et al. Observation analysis of land-atmosphere interactions over the Loess Plateau of northwest China. J Geophys Res, 2010, 115: D00K17. DOI:10.1029/2009JD013372 |
| [3] | Irannejad P, Shao Y P. Description and validation of the atmosphere-land-surface interaction scheme (ALSIS) with HAPEX and Cabauw data. Global Planet Change, 1998, 19: 87–114. DOI:10.1016/S0921-8181(98)00043-5 |
| [4] | Shao Y P. Physics and Modeling of Wind Erosion. London:Kluwer Academic Publishers, 2000: 99–100. |
| [5] | Monteith J L. Principles of Environmental Physics. London: Edward Arnold, 1973. |
| [6] | 曹文俊. 粗糙长度综述. 气象, 1991, 17, (4): 45–47. DOI:10.7519/j.issn.1000-0526.1991.04.012 |
| [7] | 周艳莲, 孙晓敏, 朱治林, 等. 几种不同下垫面地表粗糙度动态变化及其对通量机理模型模拟的影响. 中国科学: D辑, 2006, 36, (增刊I): 244–254. |
| [8] | 朱彩英, 张仁华, 王劲峰, 等. 运用SAR图像和TM热红外图像定量反演地表空气动力学粗糙度的二维分布. 中国科学:D辑, 2004, 34, (3): 385–393. |
| [9] | Tetsuya H, Michiaki S, Kazuo K. Regional roughness parameters and momentum fluxes over a complex area. J Appl Meteor, 1996, 35: 2179–2190. DOI:10.1175/1520-0450(1996)035<2179:RRPAMF>2.0.CO;2 |
| [10] | Schmid H P, Bunzli B. The influence of surface texture on the effective roughness length. Quart J Roy Meteor Soc, 1995, 121: 1–21. DOI:10.1002/(ISSN)1477-870X |
| [11] | 梅凡民, RajotJ, AlfaroS, 等. 平坦沙地的空气动力学粗糙度变化及其物理意. 自然科学进展, 2006, 16, (3): 325–330. |
| [12] | 贾立, 王介民, MassimoM. 绿洲-沙淇符合地表条件下的局地和有效粗糙度. 气象学报, 1999, 57, (3): 171–182. |
| [13] | Zhang Q, Zeng J, Yao T. Interaction of aerodynamic roughness length and windflow conditions and its parameterization over vegetation surface. Chinese Science Bulltin, 2012, 57, (13): 1559–1567. DOI:10.1007/s11434-012-5000-y |
| [14] | Zhang Q, Yao T, Yue P, et al. The influences of thermodynamic characteristics on aerodynamic roughness length over land surface. Acta Meteor Sinica, 2013, 27, (2): 249–262. DOI:10.1007/s13351-013-0209-5 |
| [15] | Sud Y C, Smith W E. Influence of local land-surface processes on the Indian monsoon:A numerical study. J Climate Appl Meteor, 1985, 24, (10): 1015–1036. DOI:10.1175/1520-0450(1985)024<1015:IOLLSP>2.0.CO;2 |
| [16] | Mwenderaa E J, Feyen J. Effects of tillage and rainfall on soil surface roughness and properties. Soil Technology, 1994, 7, (1): 93–103. DOI:10.1016/0933-3630(94)90010-8 |
| [17] | 冯健武, 刘辉志, 王雷, 等. 半干旱区不同下垫面地表粗糙度和湍流通量整体输送系数变化特征. 中国科学:D辑, 2012, 42, (1): 24–33. |
| [18] | 李宏宇, 张强, 史晋森, 等. 黄土高原自然植被下垫面陆面物理参数研究. 气象学报, 2010, 70, (5): 1137–1148. |
| [19] | 丹利, 谢明. 基于MODIS资料的贵州植被叶面积指数的时空变化及其对气候的响应. 气候与环境研究, 2009, 14, (5): 455–464. |
| [20] | 张文煜, 张宇, 陆晓静, 等. 黄土高原半干旱区非均一下垫面粗糙度分析. 高原气象, 2009, 28, (4): 763–768. |
| [21] | Zhang Q, Huang R H, Tian H. The study on parameterization scheme of surface turbulent momentum and sensible over Gobi underlying surface. Adv Atmos Sci, 2003, 20, (1): 1–7. DOI:10.1007/BF03342045 |
| [22] | 高志球, 卞林根, 逯昌贵, 等. 城市下垫面空气动力学参数的估算. 应用气象学报, 2002, 13, (增刊I): 26–33. |
| [23] | 丁一汇. 地表通量的计算问题. 应用气象学报, 1997, 8, (1): 29–35. |
| [24] | 赵志强, 郑乃廷. 不同下垫面的大气边界层湍流扩散特征. 应用气象学报, 1998, 9, (4): 478–484. |
| [25] | 胡艳冰, 高志球, 沙文钰, 等. 六种近地层湍流动量输送系数计算方案对比分析. 应用气象学报, 2007, 18, (3): 407–411. |
| [26] | Huang J P, Zhang W, Zuo J Q, et al. An overview of the semi-arid climate and environment research observatory over the Loess Plateau. Adv Atmos Sci, 2008, 25, (6): 1–16. |
| [27] | 张强, 李宏宇, 张立阳, 等. 陇中黄土高原自然植被下垫面陆面过程及其参数对降水波动的气候响应. 物理学报, 2013, 62, (1): 019201. DOI:10.7498/aps.62.019201 |
| [28] | 孙照萱, 张强, 李宏宇. 黄土高原地区榆中陆面过程气候特征观测试验研究//第27届中国气象学会年会干旱半干旱区地气相互作用分会场论文集. 2010. |
| [29] | StullR B. 边界层气象学导论. (杨长新, 译). 北京: 气象出版社, 1991: 279–287. |
| [30] | Blihco R G, Partheniades E. Turbulence characteristics in free surface flows over smooth and rough boundaries. J Hyd Res, 1971, 9: 43–69. DOI:10.1080/00221687109500337 |
| [31] | 张宏昇, 陈家宜. 非单一水平均匀下垫面空气动力学参数的确定. 应用气象学报, 1997, 8, (3): 310–315. |
| [32] | Zhou Y L, Sun X M, Zhang R H, et al.The Improvement and Validation of the Model for Retrieving the Effective Roughness Length on TM Pixel Scale//Proceeding of IGRASS.2005. |
| [33] | 曾剑, 张强, 王胜. 中国北方不同气候区不同天气陆面过程区域特征差异//第27届中国气象学会年会干旱半干旱区地气相互作用分会场论文集. 2010. |
2014, 25 (4): 454-462



