2. 中国气象科学研究院灾害天气国家重点实验室,北京 100081
2. State Key Laboratory of Severe Weather, Chinese Academy of Meteorological Sciences, Beijing 100081
M分量发生在回击过程之后的通道微弱发光阶段,并伴随有通道亮度的突然增加和电场的快速变化[1]。Malan等[2]于20世纪30年代首次发现了这一现象并将其命名为M分量,其光脉冲信号表现为对称的形式。后来,研究者由触发闪电观测发现,M过程中光强的增加与典型幅值为数百安培和上升时间为数百微秒的电流脉冲相关[3]。但它与回击电流脉冲明显不同,只发生于任何通过通道底部的电流结束之后,通常表现出亚微秒的上升时间[4]。M分量通常产生转移到地面上的电荷为0.1~0.2 C,小于继后回击脉冲大约1个量级[5]。但少量的M过程峰值电流可以达到上千安培,有时可以与较小回击的电流峰值相比较。另外,研究也发现M分量有助于长连续电流的形成。因此,M分量的研究有益于深化雷电防护机理的认识。但是自然闪电的出现具有较强的随机性[6], 很难实现对其进行闪电定位[7-8]以及近距离的声光电综合观测[9]。所以,利用人工触发闪电获得近距离处地闪的多种参量,进而研究其物理过程,是一种行之有效的方法[10]。
M分量能够在电流及电磁场同步探测资料中表现出来。在电流资料中,M分量表现为一个基本对称的电流脉冲波形;电场资料中,M分量以持续时间较短的U形变化为主要特征;磁场资料中,M分量的特征与电场中的特征较为相似。Thottappillil等[11]测量并初步给出了M分量峰值电流、10%~90%上升时间等相关特征。张义军等[12]研究分析了空中触发闪电的特性,发现回击有强辐射发生,而之后的M分量没有发现较强的10 MHz辐射,但有较强的磁场变化。虽然,目前对M过程有一定了解,但对于M分量产生的物理机制仍存在许多疑问,其电磁场波形特征并不明确,因此,通过对M分量的特征参数进行提取和分析,有助于进一步认识M分量特性。
研究M分量多从其电流特征着手,但其电流的直接测量存在很多困难,如何实现其电流的反演,显得重要且必要。同时,利用闪电放电的回击电磁场特征反演回击电流的研究工作已应用于LLS闪电定位网络等诸多定位系统中[13-14]。
除了利用远距离电磁场资料进行反演计算的应用之外,在美国新墨西哥州的触发闪电中也曾利用近距离磁场来反演电流[15]。在国内,为了研究触发闪电的近距离磁场,周忠华等[16]对近距离的磁场和电场进行了同步测量,大致估算出先导上升速度以及闪电通道中的电流大小等。
考虑到M过程的重要性,在以往研究的基础上拟通过人工引雷同步获得的电磁场和电流资料,对M过程特征参量进行综合统计分析,在此基础上,通过电场和磁场与电流之间的相关性分析,研究其线性电流反演的可操作性。
1 资料获取与数据预处理本研究所使用的资料为2008—2010年广州从化人工触发闪电的电流资料、近距离电场资料和磁场资料。3年内质量可靠的资料包括18次回击,共31次M分量,其中12次回击后的连续电流过程中出现了M分量,出现比例为66.7%, 这一结果略高于Malan等[17]通过光学和电场观测得到的40%。电流和电磁场观测方式如下:电流波形资料通过串接在回击通道中的同轴分流器直接测量,带宽为DC-200 MHz,测量量程为±2 kA,电流噪声电平为电流测量量程的3‰。电场变化波形通过距离引流杆约80 m处的快天线来测量,所使用的快天线带宽为200 Hz~2 MHz,其时间常数能够正确呈现尺度为毫秒量级的M过程的波形。磁场波形由测量近距离磁场的大量程磁天线测量,与引流杆的直线距离同样是80 m左右,时间常数为2 ms,带宽范围为200 Hz~500 KHz。以上电流、电场以及磁场资料均采用DL750示波器同步采集存储,采样率是10 MSa/s,记录长度为2 s,预触发位置为40%。
M分量以持续时间较短的U形 (或钩状) 电场变化为主要特征,即在近距离观测到的M分量电场变化以负电场变化开始,紧接着是一略大的正电场变化[1]。图 1给出了2010年7月21日15:00 (北京时,下同) 同步观测到的触发闪电第2次回击之后的M分量电流、近距离电场和磁场的波形。由图 1可知,3种资料中M分量几乎同时发生了相应的变化。在电场波形上M分量表现出了明显的U形变化,具有明显的对称结构特征。在电流波形上,M分量呈现单极性,峰值小于回击峰值,上升沿时间大于回击的上升沿时间,波形也呈对称结构。近距离磁场资料上,由于叠加了静磁场和辐射场,导致波形并不标准。通过观察放大之后的波形 (图 2) 不难发现,磁场资料与电流资料的时间尺度对应性较好,整体波形同样表现出良好的对称性。
|
|
| 图 1. 触发闪电第2次回击的电场、通道底部电流、磁场变化波形 Fig 1. The electric filed,channel base current and magnetic field changes of the second return stoke in triggered lightning | |
|
|
| 图 2. 第2次回击后一次M分量的放大图 Fig 2. The enlarged waveform of once M-component after second return stroke in triggering lightning | |
由于所用资料中电流与电磁场数据带宽不同,导致不同数据间波形存在差异,影响了提取参数的准确性,同时考虑到近距离电磁场存在静场、感应场、辐射场等分量,其电流与电磁场间关系较为复杂。参考德国Peissenberg塔和日本Fukui烟囱的上行闪电以及美国佛罗里达和中国山东的人工触发闪电试验发现,虽然M过程大多在百微秒量级,但不同地区不同类型的地闪电流资料中M分量的各项特征参量具有较大的分布范围。依据Thottappillil等[3]和赵阳等[18]对M过程时间尺度的统计结果发现,波形的持续时间通常为0.5~2 ms,10%~90%上升时间大多在100~500 μs区间。基于此,通过编程设计了通带范围为500 Hz~20 kHz的带通滤波器,对所有数据进行了滤波处理,以期获得M分量带宽范围内的有效数据。这一带通范围的选择,符合M分量的带宽范围,既可以有效滤除低频上连续电流的影响,又不会丢失M分量的关键信息,如上升时间等。图 3为图 1中电流资料滤波前后的对比图,电场和磁场的滤波效果与此类似。如图 3所示,虽然滤波处理的确损失了20 kHz以上的快脉冲和500 Hz以下的慢变化成分,但是对于M分量所在的频率范围而言,计算结果保留了M分量的绝大部分信息。观察对比图不难发现,通过滤波去除了连续电流等一些慢变化的干扰,使得M分量这类较快变化过程更加清晰明了,易于分辨和提取。滤波后,选取全部峰值大于本底噪声2倍的M分量进行统计分析,并且保证每1个磁场或者电场的M分量数据都有相应的电流数据与之对应。
|
|
| 图 3. 滤波前 (a) 与滤波后 (b) 电流变化 Fig 3. The current data before filtering (a) and after filtering (b) | |
2 M分量波形特征及相关分析 2.1 电流与电磁场资料的统计特性
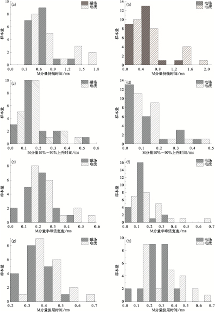
本文对经过滤波处理后的电流、电场和磁场资料,分别提取了一些重要的波形参数进行对比分析,M过程的开始点和结束点是以拐点作为判定标准。现以电流资料的各个分析参量为例,详细说明各个参量的意义,电场与磁场特征参量的定义与此类似。电流资料提取的参数如图 4所示,其中IM为M分量的电流幅度,根据开始点到峰值的差别计算;TM是M分量的持续时间,即从M过程开始到结束的时间;TR为10%~90%上升沿时间,指在上升沿上幅值的10%处到幅值90%处的时间;TW是波尾时间,指M过程波峰到结束点的时间;TH是半峰值宽度,表示从上升沿50%幅值处到下降沿50%幅值位置的时间。表 1~3分别给出了电流、电场和磁场资料中提取出的M分量各项参数信息的统计结果。图 5为电流与电磁场资料上M分量的持续时间、上升时间、半峰值宽度、波尾时间和时间间隔等5项参数的统计分布直方图。
|
|
| 图 4. M过程特征参量示意图 Fig 4. Characteristic parameters of M-component | |
|
|
表 1 电流资料中M分量参数的统计结果 Table 1 Statistic results of M-component parameters for current waveform |
|
|
表 2 电场资料中M分量参数的统计结果 Table 2 Statistic results of M-component parameters for electric field waveform |
|
|
表 3 磁场资料中M分量参数的统计结果 Table 3 Statistic results of M-component parameters for magnetic field waveform |
|
|
| 图 5. 电磁场与电流持续时间直方图 (a) 磁场与电流持续时间,(b) 电场与电流持续时间,(c) 磁场与电流上升时间,(d) 电场与电流上升时间,(e) 磁场与电流半峰值宽度,(f) 电场与电流半峰值宽度,(g) 磁场与电流波尾时间, (h) 电场与电流波尾时间 Fig 5. The statistic histograms of duration magnetic and electric versus current (a) duration of magnetic versus current, (b) duration of electric versus current, (c) rise time of magnetic versus current, (d) rise time of electric versus current, (e) half-peak width of magnetic versus current, (f) half-peak width of electric versus current, (g) decline time of magnetic versus current, (h) decline time of electric versus current | |
电流资料 (表 1) 表明,M分量电流幅度的几何平均值为0.34 kA,标准偏差为0.39 kA,这一统计结果较Thottappillil等[3]给出的0.12 kA的结果偏大,但小于Miki等[19]统计德国Peissenberg塔数据得到的0.51 kA,造成这一结果可能是由于人工触发闪电和高塔上的上行闪电不同,以及不同的地理条件造成的统计样本不同;10%~90%上升时间的几何平均值为0.11 ms,标准偏差0.11 ms;持续时间的几何平均值为0.53 ms,标准偏差为0.41 ms;波尾时间的几何平均值为0.31 ms,标准偏差为0.13 ms;半峰值宽度的几何平均值为0.17 ms,标准偏差为0.13 ms。
电场资料 (表 2) 表明,M分量电场相对变化的几何平均值为0.38,标准偏差为0.51;持续时间的几何平均值为0.49 ms,标准偏差为0.24 ms, 小于Thottappillil等[11]对佛罗里达自然闪电分析得到0.9 ms,由自然闪电落点的不确定性可知,自然闪电的通道距离一般较远,因此可以认为造成这一结果的原因除了统计样本不同外,也有测量系统距闪电通道的距离,以及滤波带来的影响;10%~90%上升时间的几何平均值为0.12 ms,标准偏差为0.12 ms;波尾时间的几何平均值为0.28 ms,标准偏差为0.09 ms;半峰值宽度的几何平均值为0.15 ms,标准偏差为0.07 ms。
磁场资料 (表 3) 表明,M分量磁感应强度的几何平均值为2.76×10-5 T,标准偏差为5.87×10-5 T;持续时间的算术平均值为0.68 ms,几何平均值为0.65 ms,标准偏差为0.24 ms;10%~90%上升时间的算术平均值为0.19 ms,几何平均值为0.16 ms,标准偏差0.12 ms;波尾时间的算术平均值为0.38 ms,几何平均值为0.37 ms,标准偏差为0.1 ms。
由以上结果可知,电磁场资料与电流资料中M分量的各项参数的统计结果十分接近,且标准偏差较小数据比较稳定,上述统计结果表明三者具有较好的一致性。另外,上述结论是对3种不同数据进行合理滤波处理后得到的,根据以往的研究结果,可以认为在500 Hz~20 kHz通带范围内,保留了M分量的主要成分,滤波处理虽然降低了原始数据的带宽,但对于M过程本身来说,其通带范围与M分量的时间尺度相匹配,统计结果具有实际应用价值。
另外,结合图 5的结果可以发现,除M分量时间间隔外,电磁场与电流资料中M分量的其他时间参数大体上满足对数正态分布。其中,图 5a和图 5b表示电磁场与电流持续时间的统计直方图,图 5a中磁场持续时间分布区间为[0.4 ms, 1.5 ms],电流持续时间分布区间为[0.4 ms, 1.84 ms],二者集中分布在0.6 ms附近,图 5b中电场持续时间分布区间为[0.18 ms, 1.44 ms],电流持续时间分布区间为[0.18 ms, 1.84 ms],集中分布于0.4 ms附近,显然电磁场与电流的持续时间集中分布在1.2 ms以下,而1.5 ms以上的区间则只有少量电流数据而没有电磁场数据。图 5c中磁场上升时间总体分布为[0.06 ms, 0.56 ms], 电流上升时间总体分布为[0.02 ms, 0.5 ms],二者在0.1 ms处的分布较为集中,图 5d中电场数据分布于[0.06 ms, 0.5 ms],电流数据分布于[0.02 ms, 0.5 ms],电流与电磁场上升时间主要分布在[0, 0.2 ms]这一区间内,分布范围较为一致。图 5e上磁场的半峰值宽度分布范围是[0.06 ms, 0.46 ms],电流的半峰值宽度分布范围是[0.12 ms, 0.6 ms], 集中在[0.1 ms, 0.3 ms]这一区域,而图 5f中电场的半峰值宽度分布于[0.08 ms, 0.36 ms]上,电流的半峰值宽度分布于[0.06 ms, 0.6 ms]上,并且集中在[0.1 ms, 0.2 ms]上。图 5g所示磁场的波尾时间分布区间为[0.24 ms, 0.64 ms],电流的波尾时间分布区间为[0.3 ms, 0.62 ms],图 5h中电场的波尾时间分布区间为[0.1 ms, 0.46 ms],电流的波尾时间分布区间为[0.12 ms, 0.62 ms],可知3种资料在这一项参数上的分布差异较明显。通过上述分析还发现,各项参数分布的概率最大值点基本与几何平均值基本吻合。
2.2 电流与电磁场的波形相关分析图 6分别给出了电流对应电场和磁场资料上,M分量幅值、持续时间、10%~90%上升时间和波尾时间的统计散点分布图。表 4给出了电流与电磁场资料各项参数的相关性。图 6a为电流与磁场峰值的散点图,二者的相关系数为0.93。基于传输线模型的电磁场计算公式[1]如下,式 (1) 等号右边第1项为静磁场,是近距离时磁场的主要分量,第2项为辐射场,远距离时磁场的主要分量:
|
(1) |
|
|
| 图 6. 磁场与电流峰值 (a) 及电场与电流峰值 (b) 散点图 Fig 6. Scatter of amplitude of current versus magnetic (a) and current versus electric (b) | |
|
|
表 4 电流与电磁场资料各项参数的相关分析 Table 4 Correlation of parameters of current and electromagnetic field waveform |
式 (1) 中, μ0=4π×10-7T·m·A-1, 为真空磁导率。由式 (1) 可知,对于确定观测位置,电流与磁场峰值存在确定的计算关系式。因为前期对数据进行了滤波,所以预处理之后的信号低频成分大幅减少,辐射场所占的比例相对较大,滤波后的结果类似于远距离测得的磁场数据,其电流磁场波形存在线性相关性。假设回击速度为常量,远距离上磁感应强度与回击电流峰值呈线性关系,因此可以认为二者相关性较高,并且真实可信。图 6b为电流与电场峰值的散点图,二者也具有较好的线性相关性,其相关系数为0.86。初步解释如下,根据传输线电流模式,回击电场与回击电流满足下列关系[14],
|
(2) |
经过带通滤波处理后,式 (2) 可以化简为
|
(3) |
保留的信号以辐射场分量为主,同样假设回击速度为常量,远距离电场与电流也呈线性关系,可以认为计算得到的相关系数真实可靠。
值得注意的是,本文所用的电场峰值是相对值,与绝对值相差k倍,二者线性相关,因此不会对各项参量的统计结果及相关性造成影响。其中,图 6a是电流与磁场在峰值上的散点图,大体上满足线性关系I=0.06B+0.11,相关系数为0.93,这与Hussein等[20]给出的高大建筑物引发的上行闪电回击电流峰值与磁场强度峰值的关系式类似。图 6b是电流与相对电场变化在峰值上的散点图,二者之间的关系为I=0.7E+0.1,相关系数为0.86。上述关系式表明:闪电的M过程其电流特征 (尤其是峰值电流) 能够从其电磁场波形特征获得。
为了通过M过程电磁场的波形获得电流波形,同样对波形之间的时间尺度参数进行相关分析。如表 4所示,电流与磁场、电流与电场在持续时间上的相关系数为0.62和0.64。电流与磁场10%~90%上升时间的相关系数为0.86;电流与电场10%~90%上升时间的相关系数为0.69,磁场与电流在10%~90%上升时间上同样表现出了很好的相关性。电流与磁场、电流与电场在半峰值时间的相关系数分别为0.76和0.77。电流与磁场、电流与电场在波尾时间上的相关系数分别为0.48和0.45,相比前3项参数,该项参数相关性略低。上述相关系数结果表明,电流与电磁场波形之间在时间尺度上存在一定相关性,但其线性相关程度并不令人满意,研究工作需进一步加强。
3 小结本文基于2008—2010年广州从化人工触发闪电的通道底部电流、近距离电场以及近距离磁场资料,对触发闪电M过程的电流和电磁场特征及相关性进行研究, 统计分析发现:
1) 电场、电流和磁场上持续时间的几何平均值分别为0.49 ms,0.53 ms和0.65 ms;10%~90%上升时间的几何平均值分别为0.12 ms,0.11 ms和0.16 ms;波尾时间的几何平均值分别为0.28 ms,0.31 ms和0.37 ms;半峰值宽度的几何平均值分别为0.15 ms,0.17 ms和0.21 ms。电流与磁场峰值的几何平均值分别为0.34 kA和2.76×10-5T。
2) 电场与电流波形上M分量峰值的相关系数为0.86,磁场与电流波形上M分量峰值的相关系数为0.93。可见,电流与磁场资料表现出了很好相关性,这一点为电磁场反演电流峰值奠定了良好的基础。
3) M分量在波形时间相关性具有如下特征:持续时间方面,电场与电流的相关系数为0.64,磁场与电流波形的相关系数为0.62;10%~90%上升时间方面,电场与电流和磁场与电流波形的相关系数分别为0.69和0.86;波尾时间方面,电场与电流波形的相关系数为0.39,磁场与电流波形的相关系数为0.55;半峰值宽度方面,电场与电流和磁场与电流波形的相关系数分别为0.77和0.76。
由于幅值、持续时间和10%~90%上升时间反映了M分量的几何形状特征,因此通过上述统计计算得到的相关性可知,本次试验中电流、磁场和电场资料上的M分量在几何形状上具有一定的一致性,并且相对于电场资料,磁场资料表现出了更强的相关性,在波形上有明显的相似性,幅度上也有一定的相关性。
本文从理论推导和实测资料分析两个方面,共同验证了电磁场与电流资料的相关性,为电磁场反演电流的计算提供了基础,尤其是峰值方面较好的相关性,使得利用M过程电磁场峰值数据反演电流峰值成为可能。波形时间尺度相关性方面,部分参量的相关系数较低,影响了整个波形的形状相关性。因此,还需要从物理模型入手,进一步完善M过程电流波形的反演工作。
| [1] | 王道洪, 郄秀书, 郭昌明. 雷电与人工引雷. 上海: 上海交通大学出版社, 2000: 131–132. |
| [2] | Malan D J, Collens H. Progressive Lightning Ⅲ—The Fine Structure of Return Lightning Strokes. Proc R Soc London:Ser A, 1937, 162: 175–203. DOI:10.1098/rspa.1937.0175 |
| [3] | Thottappillil R, Goldberg J D, Rakov V A, et al. Properties of M components from currents measured at triggered lightning channel base. J Geophys Res, 1995, 100: 25711–25720. DOI:10.1029/95JD02734 |
| [4] | Fisher R J, Schnetzer G H, Thottappillil R, et al. Parameters of triggered-lightning flashes in Florida and Alabama. J Geophys Res, 1993, 98: 22887–22908. DOI:10.1029/93JD02293 |
| [5] | Rakov V A, Uman M A. Lightning:Physics and Effects. New York: Cambridge University Press, 2003. |
| [6] | 李俊, 张义军, 吕伟涛, 等. 一次多回击自然闪电的高速摄像观测. 应用气象学报, 2008, 19, (4): 401–411. DOI:10.11898/1001-7313.20080403 |
| [7] | 郑栋, 孟青, 吕伟涛, 等. 北京及其周边地区夏季地闪活动时空特征分析. 应用气象学报, 2005, 16, (5): 638–644. DOI:10.11898/1001-7313.20050510 |
| [8] | 张文娟, 孟青, 吕伟涛, 等. 时间差闪电监测网的误差分析和布局优化. 应用气象学报, 2009, 20, (4): 402–410. DOI:10.11898/1001-7313.20090403 |
| [9] | 张义军, 孟青, 马明, 等. 闪电探测技术发展和资料应用. 应用气象学报, 2006, 17, (5): 611–620. DOI:10.11898/1001-7313.20060504 |
| [10] | 李俊, 吕伟涛, 张义军, 等. 一次多分叉多接地的空中触发闪电过程. 应用气象学报, 2010, 21, (1): 95–100. DOI:10.11898/1001-7313.20100113 |
| [11] | Thottappillil R, Rakov V A, Uman M A. K and M changes in close lightning ground flashes in Florida. J Geophys Res, 1990, 95: 18631–18640. DOI:10.1029/JD095iD11p18631 |
| [12] | 张义军, 刘欣生, 王才伟, 等. 空中人工触发闪电试验及特性分析. 高原气象, 1998, 17, (1): 55–64. |
| [13] | Rachidi F, Bermudez J L, Rubinstein M, et al. On the estimation of lightning peak currents from measured fields using lightning location systems. Journal of Electrostatics, 2004, 60: 121–129. DOI:10.1016/j.elstat.2004.01.010 |
| [14] | Uman M A, Krider E P. A review of natural lightning:Experimental data and modeling. IEEE Tansactions on Electromagnetic Compata-bility, 1982, 24, (2): 79–112. |
| [15] | Hubert P, Laroche P. Triggered lighting in New Mexico. J Geophys Res, 1984, 89, (2): 2511–2521. |
| [16] | 周忠华, 刘欣生. 人工触发闪电放电电流的间接测量及其特征分析. 高原气象, 1993, 12, (1): 67–76. |
| [17] | Malan D J, Schonland B F J. Progressive Lightning, 7, Directly Correlated Photographic and Electrical Studies of Lightning from Near Thunderstorm. Proc R Soc London: Ser A, 1947: 485–503. |
| [18] | 赵阳, 郄秀书, 陈明理, 等. 人工触发闪电中的M分量特征. 高原气象, 2011, 30, (2): 508–517. |
| [19] | Miki M, Shindo T, Rakov V A, et al.Characterization of Current Pulses Superimposed on The Continuous Current in Upward Lightning Initiated From Tall Objects and in Rocket-Triggered Lightning//Paper of 28th International Conference on Lightning Protection.Kanazawa, Japan, 2006. |
| [20] | Hussein A M, Janischewskyj W, Chang J S, et al. Simultaneous measurement of lightning parameters for strokes to the Toronto Canadian National Tower. J Geophys Res, 1995, 100, (5): 8853–8861. |
2013, 24 (4): 446-454



